Influence of Crack Geometry on Dynamic Damage of Cracked Rock: Crack Number and Filling Material
Abstract
1. Introduction
2. SHPB Test
2.1. Experimental Setup
2.2. Specimen Preparation
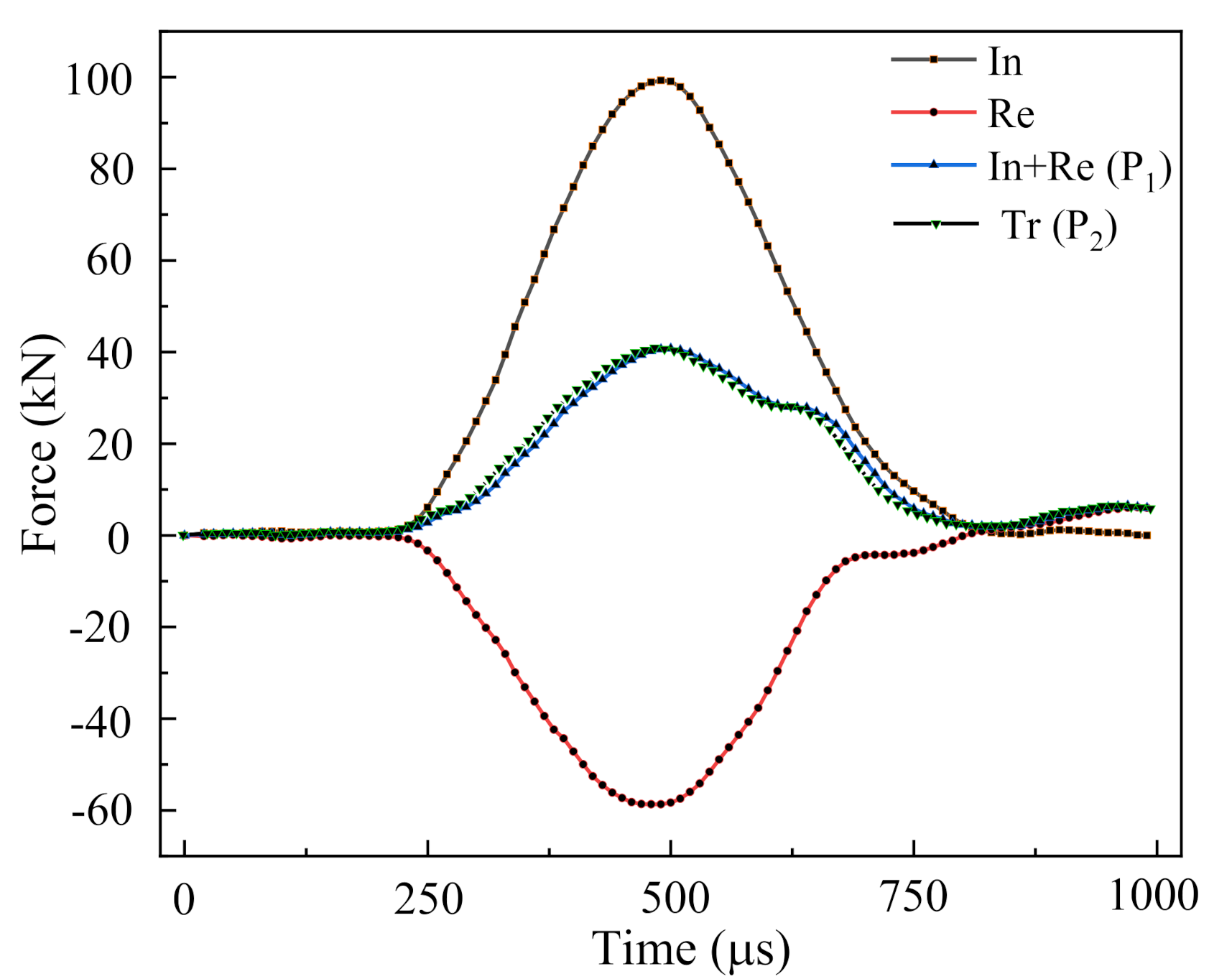
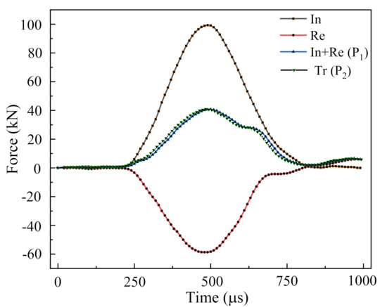
2.3. Typical Strain Gauge Records
3. SHPB Test Results and Analysis
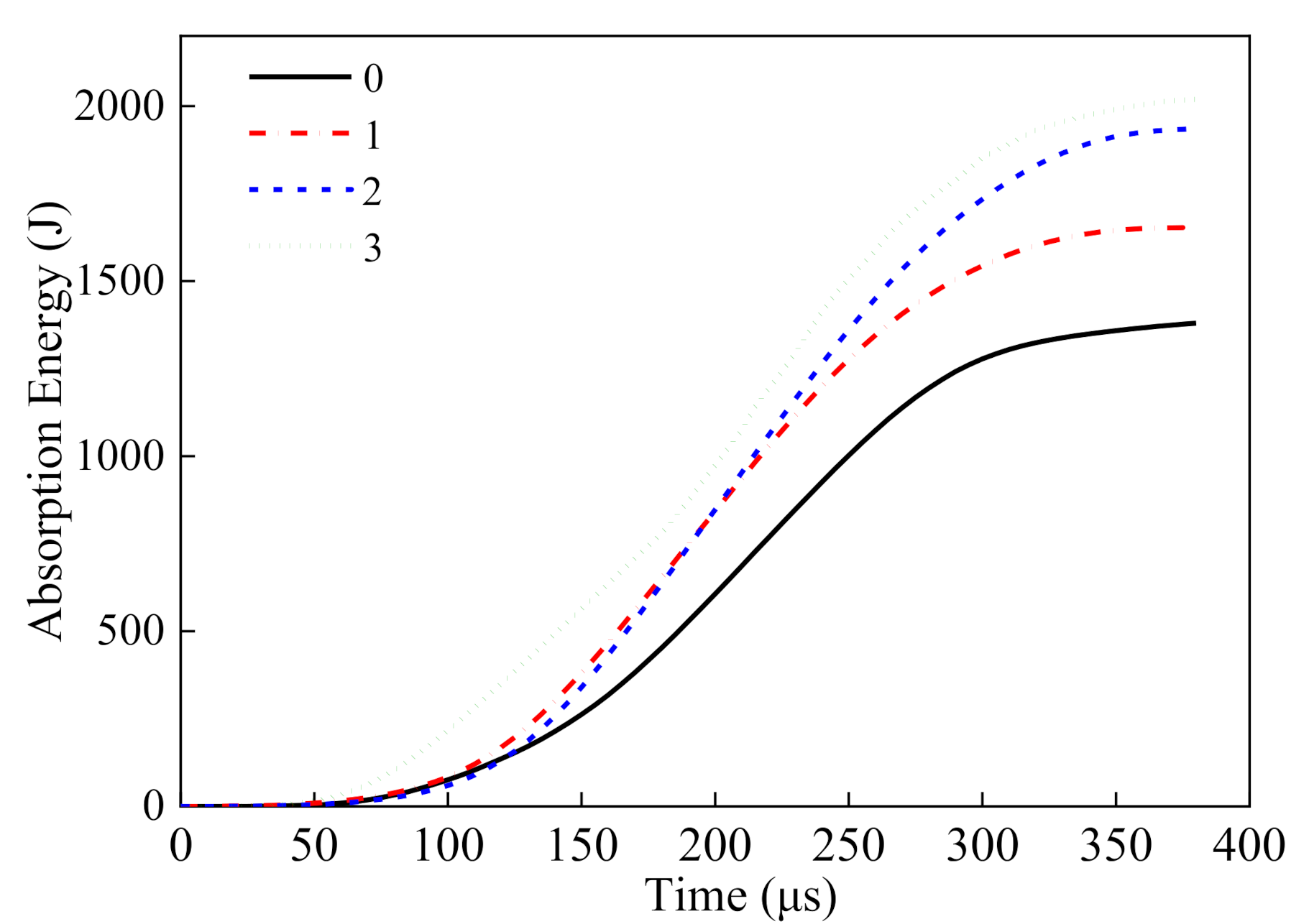
3.1. Energy Analysis
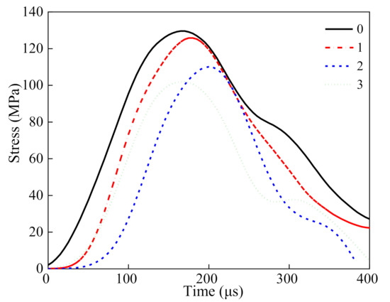
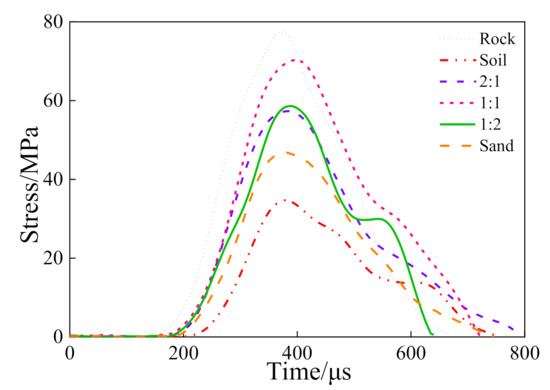
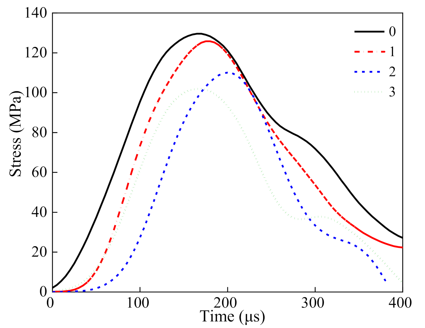
3.2. Dynamic Damage
4. Conclusions
- The SHPB test results demonstrate that the dynamic damage of cracked rock is obviously influenced by the geometric characteristics of cracks. With different spatial geometry, the energy absorption and the damage variable of the cracked rock is different during the impact process.
- The energy absorption and damage variable increased with the increasing number of cracks, which suggests that cracked rock with more joints usually holds a lower strength.
- The different strengths or cohesion of the filling material resulted in different strengths of cracked rock. The filling material that has great strength and high cohesion can contribute more strength. As a result, the corresponding energy absorption and dynamic variable decrease accordingly. The cracked rock filled with material with great strength and good cohesion always has a higher strength.
Author Contributions
Funding
Informed Consent Statement
Data Availability Statement
Conflicts of Interest
References
- Uenishi, K. On a possible role of Rayleigh surface waves in dynamic slope failures. Int. J. Géoméch. 2010, 10, 153–160. [Google Scholar] [CrossRef]
- Bai, Y.; Yang, G. Fine root mortality increased by earthquake induced landslides. Open J. Earthq. Res. 2016, 5, 172–176. [Google Scholar] [CrossRef][Green Version]
- Li, N.; Chen, W.; Zhang, P.; Swoboda, G. The mechanical properties and a fatigue-damage model for jointed rock masses subjected to dynamic cyclical loading. Int. J. Rock Mech. Min. Sci. 2001, 38, 1071–1079. [Google Scholar] [CrossRef]
- Zhou, X.; Yang, H. Micromechanical modeling of dynamic compressive responses of mesoscopic heterogenous brittle rock. Theor. Appl. Fract. Mech. 2007, 48, 1–20. [Google Scholar] [CrossRef]
- Wang, Z.; Wang, R.; Qiu, H.; Li, T. Dynamic modeling of the crack deformation in dry/gas-saturated rocks with increasing normal stress. J. Nat. Gas Sci. Eng. 2016, 34, 170–177. [Google Scholar] [CrossRef]
- Gentier, S.; Riss, J.; Archambault, G.; Flamand, R.; Hopkins, D. Influence of fracture geometry on shear behavior. Int. J. Rock Mech. Min. Sci. 2000, 37, 161–174. [Google Scholar] [CrossRef]
- Xie, H.; Wang, J.-A.; Xie, W.-H. Fractal effects of surface roughness on the mechanical behavior of rock joints. Chaos, Solitons Fractals 1997, 8, 221–252. [Google Scholar] [CrossRef]
- Fardin, N.; Stephansson, O.; Jing, L. The scale dependence of rock joint surface roughness. Int. J. Rock Mech. Min. Sci. 2001, 38, 659–669. [Google Scholar] [CrossRef]
- Wu, W.; Zhu, J.B.; Zhao, J. Dynamic response of a rock fracture filled with viscoelastic materials. Eng. Geol. 2013, 160, 1–7. [Google Scholar] [CrossRef]
- Le, H.; Sun, S.; Kulatilake, P.H.S.W.; Wei, J. Effect of grout on mechanical properties and cracking behavior of rock-like specimens containing a single flaw under uniaxial compression. Int. J. Géoméch. 2018, 18, 04018129. [Google Scholar] [CrossRef]
- Peng, J.; Rong, G.; Jiang, M. Variability of crack initiation and crack damage for various rock types. Arab. J. Geosci. 2018, 11, 265. [Google Scholar] [CrossRef]
- Byun, J.-H.; Lee, J.-S.; Park, K.; Yoon, H.-K. Prediction of crack density in porous-cracked rocks from elastic wave velocities. J. Appl. Geophys. 2015, 115, 110–119. [Google Scholar] [CrossRef]
- Wang, C.; Zhao, Y.; Zhao, Y.; Wan, W. Study on the interaction of collinear cracks and wing cracks and cracking behavior of rock under uniaxial compression. Adv. Civ. Eng. 2018, 2018, 1–10. [Google Scholar] [CrossRef]
- Taylor, L.M.; Chen, E.-P.; Kuszmaul, J.S. Microcrack-induced damage accumulation in brittle rock under dynamic loading. Comput. Methods Appl. Mech. Eng. 1986, 55, 301–320. [Google Scholar] [CrossRef]
- Ju, Y.; Sudak, L.; Xie, H. Study on stress wave propagation in fractured rocks with fractal joint surfaces. Int. J. Solids Struct. 2007, 44, 4256–4271. [Google Scholar] [CrossRef]
- Chen, X.; Li, J.C.; Cai, M.F.; Zou, Y.; Zhao, J. Experimental study on wave propagation across a rock joint with rough surface. Rock Mech. Rock Eng. 2015, 48, 2225–2234. [Google Scholar] [CrossRef]
- Chen, X.; Li, J.C.; Cai, M.F.; Zou, Y.; Zhao, J. A further study on wave propagation across a single joint with different roughness. Rock Mech. Rock Eng. 2016, 49, 2701–2709. [Google Scholar] [CrossRef]
- Li, J.; Li, H.; Zhao, J. Study on wave propagation across a single rough fracture by the modified thin-layer interface model. J. Appl. Geophys. 2014, 110, 106–114. [Google Scholar] [CrossRef]
- Li, J.-C.; Li, N.; Li, H.; Zhao, J. An SHPB test study on wave propagation across rock masses with different contact area ratios of joint. Int. J. Impact Eng. 2017, 105, 109–116. [Google Scholar] [CrossRef]
- Huang, X.; Qi, S.; Xia, K.; Shi, X. Particle crushing of a filled fracture during compression and its effect on stress wave propagation. J. Geophys. Res. Solid Earth 2018, 123, 5559–5587. [Google Scholar] [CrossRef]
- Cai, J.; Zhao, J. Effects of multiple parallel fractures on apparent attenuation of stress waves in rock masses. Int. J. Rock Mech. Min. Sci. 2000, 37, 661–682. [Google Scholar] [CrossRef]
- Zhao, J.; Zhao, X.; Cai, J. A further study of P-wave attenuation across parallel fractures with linear deformational behaviour. Int. J. Rock Mech. Min. Sci. 2006, 43, 776–788. [Google Scholar] [CrossRef]
- Zhu, J.; Zhao, X.; Li, J.; Zhao, G.; Zhao, J. Normally incident wave propagation across a joint set with the virtual wave source method. J. Appl. Geophys. 2011, 73, 283–288. [Google Scholar] [CrossRef]
- Chai, S.B.; Li, J.-C.; Zhang, Q.B.; Li, H.B.; Li, N.N. Stress wave propagation across a rock mass with two non-parallel joints. Rock Mech. Rock Eng. 2016, 49, 4023–4032. [Google Scholar] [CrossRef]
- Kolsky, H. An Investigation of the Mechanical Properties of Materials at very High Rates of Loading. Proc. Phys. Soc. Sect. B 2002, 62, 676–700. [Google Scholar] [CrossRef]
- Lindholm, U. Some experiments with the split Hopkinson pressure bar∗. J. Mech. Phys. Solids 2002, 12, 317–335. [Google Scholar] [CrossRef]
- An overview of some recent progress in rock dynamics research. In Advances in Rock Dynamics and Applications; Zhou, Y., Zhao, J., Eds.; Informa UK Limited: London, UK, 2011; pp. 5–33. [Google Scholar]
- Zhang, Q.; Zhao, J. A review of dynamic experimental techniques and mechanical behaviour of rock materials. Rock Mech. Rock Eng. 2013, 47, 1411–1478. [Google Scholar] [CrossRef]
- Xia, K.; Yao, W. Dynamic rock tests using split Hopkinson (Kolsky) bar system—A review. J. Rock Mech. Geotech. Eng. 2015, 7, 27–59. [Google Scholar] [CrossRef]
- Xia, K.; Yao, W.; Wu, B. Dynamic rock tensile strengths of Laurentian granite: Experimental observation and micromechanical model. J. Rock Mech. Geotech. Eng. 2017, 9, 116–124. [Google Scholar] [CrossRef]
- Yao, W.; Xu, Y.; Yu, C.; Xia, K. A dynamic punch-through shear method for determining dynamic Mode II fracture toughness of rocks. Eng. Fract. Mech. 2017, 176, 161–177. [Google Scholar] [CrossRef]
- Yao, W.; Xia, K.; Jha, A.K. Experimental study of dynamic bending failure of Laurentian granite: Loading rate and pre-load effects. Can. Geotech. J. 2019, 56, 228–235. [Google Scholar] [CrossRef]
- Chen, R.; Xia, K.; Dai, F.; Lu, F.; Luo, S. Determination of dynamic fracture parameters using a semi-circular bend technique in split Hopkinson pressure bar testing. Eng. Fract. Mech. 2009, 76, 1268–1276. [Google Scholar] [CrossRef]
- Dai, F.; Chen, R.; Iqbal, M.; Xia, K. Dynamic cracked chevron notched Brazilian disc method for measuring rock fracture parameters. Int. J. Rock Mech. Min. Sci. 2010, 47, 606–613. [Google Scholar] [CrossRef]
- Frew, D.J.; Forrestal, M.J.; Chen, W. Pulse shaping techniques for testing brittle materials with a split Hopkinson pressure bar. Exp. Mech. 2002, 42, 93–106. [Google Scholar] [CrossRef]
- Frew, D.J.; Forrestal, M.J.; Chen, W. A split Hopkinson pressure bar technique to determine compressive stress-strain data for rock materials. Exp. Mech. 2001, 41, 40–46. [Google Scholar] [CrossRef]
- Gerlach, R.; Sathianathan, S.K.; Siviour, C.; Petrinic, N. A novel method for pulse shaping of Split Hopkinson tensile bar signals. Int. J. Impact Eng. 2011, 38, 976–980. [Google Scholar] [CrossRef]
- Wang, Y.; Cui, F. Energy evolution mechanism in process of Sandstone failure and energy strength criterion. J. Appl. Geophys. 2018, 154, 21–28. [Google Scholar] [CrossRef]
- Yang, Y. Continuum damage mechanics analysis on strength of rock. Chin. J. Rock Mech. Eng. 1999, 1, 24–28. [Google Scholar]
- Zuo, Q.; DiSilvestro, D.; Richter, J. A crack-mechanics based model for damage and plasticity of brittle materials under dynamic loading. Int. J. Solids Struct. 2010, 47, 2790–2798. [Google Scholar] [CrossRef]













| Filling Materials | Normal Stress (kPa) | Strength (kPa) | Cohesive Strength (kPa) |
|---|---|---|---|
| ISO sand | 100 | 125 | 0.20 |
| 200 | 242 | ||
| 300 | 382 | ||
| 400 | 489 | ||
| Liaoning soil | 100 | 109 | 37.60 |
| 200 | 128 | ||
| 300 | 153 | ||
| 400 | 179 |
Publisher’s Note: MDPI stays neutral with regard to jurisdictional claims in published maps and institutional affiliations. |
© 2020 by the authors. Licensee MDPI, Basel, Switzerland. This article is an open access article distributed under the terms and conditions of the Creative Commons Attribution (CC BY) license (http://creativecommons.org/licenses/by/4.0/).
Share and Cite
Wang, F.; Wang, S.; Xiu, Z. Influence of Crack Geometry on Dynamic Damage of Cracked Rock: Crack Number and Filling Material. Appl. Sci. 2021, 11, 250. https://doi.org/10.3390/app11010250
Wang F, Wang S, Xiu Z. Influence of Crack Geometry on Dynamic Damage of Cracked Rock: Crack Number and Filling Material. Applied Sciences. 2021; 11(1):250. https://doi.org/10.3390/app11010250
Chicago/Turabian StyleWang, Feili, Shuhong Wang, and Zhanguo Xiu. 2021. "Influence of Crack Geometry on Dynamic Damage of Cracked Rock: Crack Number and Filling Material" Applied Sciences 11, no. 1: 250. https://doi.org/10.3390/app11010250
APA StyleWang, F., Wang, S., & Xiu, Z. (2021). Influence of Crack Geometry on Dynamic Damage of Cracked Rock: Crack Number and Filling Material. Applied Sciences, 11(1), 250. https://doi.org/10.3390/app11010250
