Next Article in Journal
Compressed-Sensing Magnetic Resonance Image Reconstruction Using an Iterative Convolutional Neural Network Approach
Previous Article in Journal
Identification of Breast Malignancy by Marker-Controlled Watershed Transformation and Hybrid Feature Set for Healthcare
 
 
Font Type:
Arial Georgia Verdana
Font Size:
Aa Aa Aa
Line Spacing:
Column Width:
Background:
Article

The Influence of Classroom Illumination Environment on the Efficiency of Foreign Language Learning

1
School of Foreign Languages, Dalian Polytechnic University, Dalian 116034, China
2
School of Knowledge Science, Japan Advanced Institute of Science and Technology, Nomi 923-1292, Japan
3
Research Institute of Photonics, Dalian Polytechnic University, Dalian 116034, China
*
Author to whom correspondence should be addressed.
Appl. Sci. 2020, 10(6), 1901; https://doi.org/10.3390/app10061901
Submission received: 14 February 2020 / Revised: 6 March 2020 / Accepted: 6 March 2020 / Published: 11 March 2020
(This article belongs to the Section Optics and Lasers)

Abstract

This paper investigated foreign language learning efficiency in four different illumination environments (in different illuminance and color temperatures), focusing on the influence of the illumination environment on foreign language learners’ sentimental status, by means of foreign language skills testing in mind-map, objective evaluation of physiological reaction, and subjective evaluation of psychological reaction. It was shown that in different illumination environments, the language skills of foreign language learners were different, and their psychological and physiological reactions varied, which influenced the efficiency of foreign language learning. The results indicated that the ideal learning space was in high illuminance and low color temperature, which increased the stimulation in foreign language learners; promoted the formation of optimistic sentiment; and enhanced their interest in, and the quality and efficiency of, foreign language learning.

1. Introduction

Sentiment factor in language learning is attracting more and more attention with the emergence and development of humanistic psychology. In language teaching, “sentiment” refers to the learners’ emotions, feeling, mood, and attitude, among other factors in learning process [1]. Foreign language learning is closely related to sentiment, as sentimental factors can not only reflect the learners’ physiological and psychological status but also influence their learning efficiency [2]. Human acquisition of external information is derived 80% or more from vision [3], thus foreign language learners’ sentimental factors may, to a certain degree, be stimulated or induced by classroom learning conditions.
In classrooms, illumination is a very important design factor [4]. Illumination affects not only visual response but also nonvisual reactions, such as performance, mood, and attention [5,6,7,8]. Improvements in the quality of illumination environments increase productivity in students and teachers [9]. Different illumination environments in a classroom will trigger different sentiments, which may influence learners’ ability to concentrate and attendance [10]. Indoor illumination will cause the following reactions generally: it will affect information processing, result in physiological change, and affect psychological reactions of sentiment or mood [11]. In this paper, the influence of indoor illumination on foreign language learning efficiency was researched in the following three aspects: foreign language skills testing, the objective evaluation of physiological reaction, and the subjective evaluation of psychological reaction (Figure 1). The three aspects were correlated, and formed a reaction process that influenced the sentimental status of foreign language learning and, finally, influenced the efficiency of foreign language learning.
This paper set up four illumination environments by different illuminance and color temperatures, tested foreign language learners’ language skills, and made subjective and objective assessments of their physiological and psychological reactions through foreign language vocabulary association skills testing in mind-map, stress value determination by salivary amylase activity, and questionnaires on sentimental status related to “concentration” and “association”. In addition, this paper analyzed the influence of illumination environment on foreign language learning efficiency, in order to recommend what kind of illuminating condition might best improve foreign language learners’ optimistic sentiment, create their perfect learning status, and increase their learning efficiency.
Lighting arrangements can be used to enhance the clarity, relaxation, and pleasantness of a room [12]. In recent years, it has been considered to be an effective method to define the “pleasing zone” of lighting environments in terms of the combination of illuminances and color temperatures. The Kruithof curve indicates that combinations at high (low) illuminances and high (low) color temperatures could be pleasing zones [13]. Figure 2 shows the pleasing zone defined by Kruithof. Feeling comfortable is the primary condition for the ideal classroom lighting environment. This paper assumes that Kruithof ‘s pleasing zone is a comfortable classroom lighting environment, and the experiment was conducted based on different combination of illuminances and color temperatures within Kruithof ‘s pleasing zone in order to determine a sound classroom lighting environment for foreign language learning.

2. Methods

The participants consisted of 50 2nd-year university students in the Japanese department of a language institute in Dalian city (five groups, 10 students per group). These students were all comparable in Japanese language skills and were all holders of an N2 certificate for Japanese as a foreign language. The laboratory was four classrooms of this university, which were all designed to be closed spaces without natural light, with all the windows covered by curtains.
The duration was four weeks, and the working hours were from 13:00 to 15:00. Table 1 shows the four illumination environments. The average illuminance value of the classroom should not be less than 300 lx, and the appropriate color temperature range of light source should be 3300 K–5500 K [14]. In this paper, we set a high (low) illuminance of 650 lx (325 lx) and a high (low) color temperature of 5000 K (4000 K). The four different combinations of illuminance and color temperature were all within the range of Kruithof‘s pleasing zone. In all four conditions, the testing sequence was the same: quiescence for 5 min, salivary amylase activity testing for 2 min, Japanese vocabulary association testing in mind-map for 5 min, and subjective questionnaire survey on “concentration” and “association” for 3 min. In avoidance of any visual impact of cumulative lighting conditions, every group took a rest of 10 min between cases to relax or relieve their visual fatigue before changing into another illuminating condition so that they could test in the next step with a brand-new visual status.

3. Japanese Vocabulary Association Test in Mind-Map

Mind-map is an association tool that develops thinking by using free association. It is useful for the development of creative thinking skills and the application of foreign language knowledge [15]. Japanese vocabulary association testing may determine Japanese language learners’ linguistic information processing capability and reflect the application or practice of linguistic knowledge. This paper analyzed Japanese language learning efficiency by investigating the efficiency of Japanese vocabulary free association. Within 5 min, all participants wrote down words connected to the Japanese words offered in the mind-map; the more words they wrote down, the more efficient they were. For the minimization of varied linguistic difficulty in different illumination environments, the words offered in mind-map were all general terms like foods and lifestyles.

3.1. Results

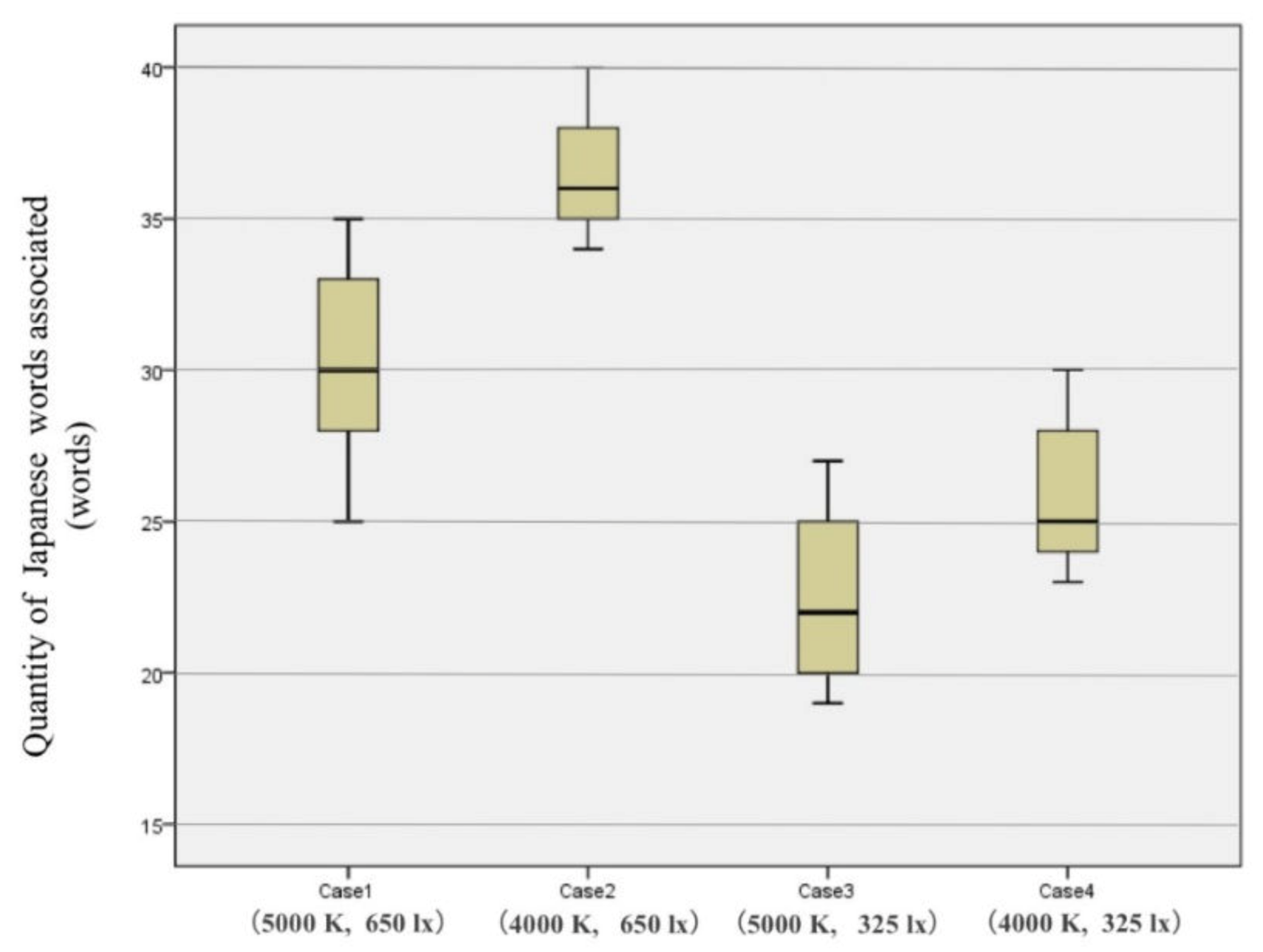
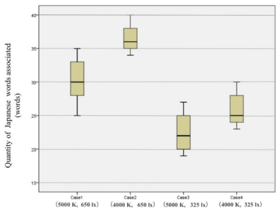
Table 2 and Figure 3 show every group’s averages for the quantity of words written down. The results show that in different illumination environments, the quantity of associated Japanese words was different. The sequence from the largest quantity to the least quantity was Case 2 (4000 K, 650 lx), Case 1 (5000 K, 650 lx), Case 4 (4000 K, 325 lx), and Case 3 (5000 K, 325 lx).

3.2. Evaluation and Analysis

Based on the comparison of every group’s quantity of associated Japanese words in four illumination environments (Figure 4), a t-test was made (Table 3). In 5000 K high color temperature conditions, Case 1 efficiency of Japanese vocabulary mind-map association in high illuminance was obviously higher than Case 3 efficiency in low illuminance (t = 5.295, df = 4, p = 0.006 (p < 0.01)); in the 4000 K low color temperature conditions, Case 2 efficiency in high illuminance was obviously higher than Case 4 efficiency in low illuminance (t = 12.159, df = 4, p = 0.000 (p < 0.01)).
It is shown that no matter the difference in color temperature, the variation of illuminance caused obvious difference in the efficiency of Japanese vocabulary association, for example, Case 1 and Case 2 in high illuminance showed higher efficiency of Japanese vocabulary mind-map association, in particular Case 2 in high illuminance and low color temperature (4000 K, 650 lx). The illuminating condition of high illuminance and low color temperature was more helpful to Japanese vocabulary association in mind-map, which developed linguistic information processing and practice and improved the learning efficiency.

4. Determination of Salivary Amylase Activity

Traditional illumination research focused on subjective evaluation experiments, whose flawed data repetition, accuracy, and traceability have impaired the universality of results; therefore, objective physiological evaluation is becoming the mainstream in illumination testing [16]. Different illumination environments will have different influences on human sympathetic nerves; when the sympathetic nerves are excited, salivary amylase secretion will increase, salivary amylase activity will increase, and stress will increase [17]. The salivary amylase activity value detected by salivary amylase meter may observe the participants’ stress status under different illumination environments, to objectively evaluate the participants’ physiological reactions.
A moderate stress status may be achieved through the creation of an ideal illuminating condition, to form a certain momentum for learning and increase learning efficiency.
In this experiment, before entering into the designed illuminating condition, participants were first kept static for 5 min in a (3000 K, 200 lx) illuminating condition, and tested for salivary amylase activity, whose value would be used to evaluate the stress in quiescence. Later, participants entered into the designed four illumination environments; were kept static for 5 min; and then tested for salivary amylase activity, whose value would be used to evaluate the stress in different illumination environments.

4.1. Results

Table 4 shows every group’s salivary amylase activity in different illumination environments, whose value was measured in KU/L, where KU/L = 1000 U/1000 ML = 1 U/ML, representing how active the amylase was in saliva. The stress evaluation depended on the change rate of salivary amylase activity.
N   =   A B A × 100 %    
where N is the change rate (%) of salivary amylase activity, A is the value measured before entry into the designed illuminating condition, and B is the value measured after entry into the designed illuminating condition. After entry into the designed illuminating condition, the change rate is positive when the salivary amylase activity is lowering, indicating relieving stress (sympathetic nerves are static); on the contrary, in the designed illuminating condition, the change rate is negative when the salivary amylase activity is rising, indicating increasing stress (sympathetic nerves are excited).
Due to individual difference of participants, the maximum difference of salivary amylase activity values between different participants was nearly 80 KU/L, so every group’s measured values were averaged (Table 4). According to these statistics, in different illumination environments the salivary amylase activity value was different, in a sequence from high to low: Case 3 (5000 K, 325 lx), Case 1 (5000 K, 650 lx), Case 4 (4000 K, 325 lx), and Case 2 (4000 K, 650 lx), i.e., higher values appeared in higher stress while lower values appeared in lower stress (Figure 5). The change rate of salivary amylase activity was positive in Case 2 (4000 K, 650 lx) and Case 4 (4000 K, 325 lx), respectively, and 0.09% in Case 2 and 0.13% in Case 4, which meant that in these two illumination environments, Japanese language learning stress was reduced; the change rate was negative in Case 3 (5000 K, 325 lx) and Case 1 (5000 K, 650 lx), respectively, and −0.24% in Case 3 and −0.19% in Case 1, which meant that in these two illumination environments, Japanese language learning stress was increased.

4.2. Evaluation and Analysis

The results of comparison in Figure 6 are subject to t-test (Table 5). In terms of color temperature, in high color temperature (5000 K) conditions, there was no significant difference between Case 1 in high illuminance and Case 3 in low illuminance. Similarly, in low color temperature (4000 K) conditions, there was no significant difference between Case 2 in high illuminance and Case 4 in low illuminance. On the other hand, in high illuminance (650 lx) conditions, the salivary amylase activity value was significantly higher in high color temperature Case 1 than in low color temperature Case 2 (t = 3.627, df = 4, p = 0.022 (p < 0.05)). In low illuminance (325 lx) conditions, the activity value was significantly higher in high color temperature Case 3 than in low color temperature Case 4 (t = 3.451, df = 4, p = 0.026 (p < 0.05)). It was indicated that the salivary amylase activity value varied with color temperature, and the effect of illuminance was minimal. Especially in high color temperature Case 1 and Case 3 conditions, salivary amylase activity values were very high.
In different illumination environments, stress varied in the process of Japanese vocabulary association. It was shown that the low color temperature illuminating condition of Case 2 (4000 K, 650 lx) generated moderate stress. Instead, the high color temperature illumination environments of Case 1 (5000 K, 650 lx) and Case 3 (5000 K, 325 lx) were prone to generate high stress due to cold light. An ideal illuminating condition, with moderate stress, may form a certain momentum and enthusiasm for Japanese language learning and generate an efficient learning outcome.

5. Subjective Evaluation Questionnaire on “Concentration” and “Association”

Cognition and sentiment are inseparable in foreign language learning [18,19]. In the view of educational psychology, one of the most important influencers in the learning process is the learner’s sentiment [20]. A high concentration of “concentration” and “association” may lead to superb learning sentiment. The highest score of the questionnaire in this paper was 5, which. allowed the participants to make self-assessment subjectively on “concentration” and “association”, respectively, right after Japanese vocabulary association testing in different illumination environments, which surveyed the participants’ psychological reactions and sentimental feelings and explored the influences of different illumination environments on learning efficiency.

5.1. Results

The results are shown in Figure 7, Figure 8 and Figure 9. Figure 7 shows the average values of subjective evaluation on “concentration” and “association”, and Figure 8 and Figure 9 show the comparisons of scores on “concentration” and “association” of every group in four different illumination environments.

5.2. Evaluation and Analysis

Through comparison, it is shown that “concentration” and “association” varied in different illumination environments. The scoring sequence from high to low was Case 2 (4000 K, 650 lx), Case 1 (5000 K, 650 lx), Case 4 (4000 K, 325 lx), and Case 3 (5000 K, 325 lx).
Both “concentration” and “association” were largely influenced by illuminance. In high illuminance condition, the scores were higher, while in low illuminance condition, the scores were lower, a tendency that was similar to the Japanese vocabulary mind-map association efficiency in different illumination environments. High illuminance condition brought about broad vision, which promoted learners’ attentiveness in Japanese language learning, drove their associative development, and helped to increase Japanese language learning efficiency.

6. Conclusions

The creation of a sound classroom illuminating condition is an efficient way to increase learners’ enthusiasm and optimism toward learning. This paper analyzed the influence of different illumination environments on Japanese language learners by testing and verifying their Japanese language skills, physiological reactions, and psychological reactions, through Japanese vocabulary mind-map association testing, salivary amylase activity determination, and a questionnaire on “concentration” and “association” evaluation. Specifically, the mind-map association efficiency of Japanese vocabulary was largely influenced by illuminance but only slightly influenced by color temperature, with the Japanese vocabulary association efficiency being especially high in the illuminating condition of high illuminance and low color temperature. The salivary amylase activity values detected in different illumination environments showed that in the high color temperature illuminating condition, Japanese language learners’ stress was increased, while in the low color temperature illuminating condition, the stress was moderate. In high illuminance and low color temperature conditions in particular, Japanese language learners showed moderate stress, formed certain momentum for learning, and increased their Japanese language learning efficiency. According to subjective evaluation results, Japanese language learners’ “concentration” and “association” were greatly influenced by illuminance, and in high illuminance condition the efficiency of “concentration” and “association” were even higher. Overall, the current results showed that the illuminating condition of high illuminance (650 lx) and low color temperature (4000 K), which is in the range of Kruithof’s pleasing zone, was the most ideal classroom illuminating condition for Japanese language learning efficiency. It indicated that the findings in this paper match Kruithof’s rule well.
However, certain limitations should be noted. First, the experimental subjects were limited only to Japanese language learners in China. Although the sample size was sufficient to investigate the influence of illumination environment, it is still a small number for the generalization of results. In the future, it will be necessary to conduct an experiment with a larger number of subjects of foreign language learners and to analyze the results further. Second, the ideal illumination environment may vary depending on culture or geographical location because people in different cultures and regions of the world will have different emotional responses to the same color temperatures and illuminance. For foreign language learners in different cultures and regions, further investigation and verification are required to confirm whether ideal foreign language learning effects can also be achieved under the illumination environment found in this paper. Third, this study has limited implications for the classroom illumination environment, as this study is still considered exploratory. In future work, color rendering index, uniformity in ratio of illuminance, and glare may be considered for the determination of an ideal illumination environment for foreign language learning.

Author Contributions

T.L. proposed the methodology and did the theory architecture; T.Y. did the research direction; Z.W. did the experiment design and draft writing; and H.G. did the SPSS analysis and validation. All authors have read and agree to the published version of the manuscript.

Funding

This work was supported by China Scholarship Council (Grant number: 201908050172).

Conflicts of Interest

The authors declare no conflicts of interest.

References

  1. Arnold, J. Affect in Language Learning; Cambridge University Press: Cambridge, UK, 1999. [Google Scholar]
  2. Chang, W.J. The influence of learner’s sentimental factor on foreign language learning. Cult. Educ. Materals J. 2018, 41, 210–211. [Google Scholar]
  3. Cai, J.Q.; Chen, K.; Hu, L.M.; Du, P. A new method of assessing LED lighting impact on the visual comfort level. China Illum. Eng. J. 2013, 24, 22–26. [Google Scholar]
  4. Castilla, N.; Llinares, C.; Bravo, J.M.; Blanca, V. Subjective assessment of university classroom environment. Build. Environ. 2017, 122, 72–81. [Google Scholar] [CrossRef]
  5. Mills, P.R.; Tomkins, S.C.; Schlangen, L.J.M. The effect of high correlated colour temperature office lighting on employee well being and work performance. J. Circadian Rhythm. 2007, 5, 1–9. [Google Scholar] [CrossRef] [PubMed]
  6. Mukae, H.; Sato, M. The effect of color temperature of lighting source on the autonomic nervous functions. Ann. Physiol. Anthropol. 1992, 11, 533–538. [Google Scholar] [CrossRef] [PubMed]
  7. Yandan, J.J.C.D.L. The Non-visual biological effect of lighting and its practical meaning. China Illum. Eng. J. 2009, 20, 25–28. [Google Scholar]
  8. Yasukouchi, A.; Ishibashi, K. Non-visual effects of the color temperature of fluorescent lamps on physiological aspects in humans. J. Physiol. Anthropol. Appl. Hum. Sci. 2005, 24, 41–43. [Google Scholar] [CrossRef] [PubMed]
  9. Hughes, P.C. School lighting for the total person a psycho-biological approach. CEFP J. 1981, 19, 4–7. [Google Scholar]
  10. O’Neill, D.J.; Oates, A.D. The impact of school facilities on student achievement, behavior, attendance, and teacher turn- over rate in central Texas middle schools. Educ. Facil. Plan 2001, 36, 14–22. [Google Scholar]
  11. Cai, J.Q.; Du, P.; Wen, R.R. The effect of illumination light environment on visual comfort. Des. Community 2016, 16, 58–63. [Google Scholar]
  12. Durak, A.; Camgöz-Olguntürk, N.; Cengiz, Y.; Güvenç, D.; Gürçinar, Y. Impact of lighting arrangements and illuminances on different impressions of a room. Build.Environ. 2007, 42, 3476–3482. [Google Scholar] [CrossRef]
  13. Kruithof, A.A. Tubular luminance lamps for general illumination. Philips Tech. Rev. 1941, 6, 65–96. [Google Scholar]
  14. Hygienic Standard for Day Lighting and Artificial Lighting for Middle and Elementary School, GB 7793-2010. Available online: http://www.jianbiaoku.com/webarbs/book/13450/327408.shtml (accessed on 10 March 2020).
  15. Buzan, T.; Buzan, B. The Mind Map Book; BBC Active Press: Harlow, UK, 2010. [Google Scholar]
  16. Cai, J.Q.; Gao, W.; Guo, Y.; Hao, W.T.; Du, P.; Wen, R.R.; Yang, X.X. Discussion on the fundamental research and standard Developing of Healthy Lighting. China Illum. Eng. J. 2017, 25, 24–28. [Google Scholar]
  17. Haginoya, H.; Saeki, Y. The usefulness of salivary α-amylase activity to evaluate degree of stress. Jpn. J. Nurs. Art Sci. 2012, 10, 19–28. [Google Scholar]
  18. Liu, F.G.; Zhang, J.L. Influence of sentiment factors on foreign language teaching and learning. J. Zhejiang Wanli Univ. 2006, 19, 158–160. [Google Scholar]
  19. Swain, M. The inseparability of cognition and emotion in second language learning. Lang. Teach. 2013, 46, 195–207. [Google Scholar] [CrossRef]
  20. Shu, D.F.; Zhuang, Z.X. Modern Foreign Language Teaching: Theory, Practice and Methodology; Shanghai Foreign Language Education Press: Shanghai, China, 2000. [Google Scholar]
Figure 1. Evaluation modes on the efficiency of foreign language learning in different illumination environments.
Figure 1. Evaluation modes on the efficiency of foreign language learning in different illumination environments.
Applsci 10 01901 g001
Figure 2. The Kruithof curve.
Figure 2. The Kruithof curve.
Applsci 10 01901 g002
Figure 3. Average quantity of associated Japanese words in different illumination environments.
Figure 3. Average quantity of associated Japanese words in different illumination environments.
Applsci 10 01901 g003
Figure 4. Comparison of the quantity of associated Japanese words in different illumination environments.
Figure 4. Comparison of the quantity of associated Japanese words in different illumination environments.
Applsci 10 01901 g004
Figure 5. Averages of salivary amylase activity values in different illumination environments.
Figure 5. Averages of salivary amylase activity values in different illumination environments.
Applsci 10 01901 g005
Figure 6. Comparison of salivary amylase activity values in different illumination environments.
Figure 6. Comparison of salivary amylase activity values in different illumination environments.
Applsci 10 01901 g006
Figure 7. Average scores of evaluation on “concentration” and “association” in different illumination environments.
Figure 7. Average scores of evaluation on “concentration” and “association” in different illumination environments.
Applsci 10 01901 g007
Figure 8. Comparison of subjective evaluation on “concentration” in different illumination environments.
Figure 8. Comparison of subjective evaluation on “concentration” in different illumination environments.
Applsci 10 01901 g008
Figure 9. Comparison of subjective evaluation on “association” in different illumination environments.
Figure 9. Comparison of subjective evaluation on “association” in different illumination environments.
Applsci 10 01901 g009
Table 1. Illumination environments.
Table 1. Illumination environments.
CaseIlluminance/lxColor Temperature/K
Case 16505000
Case 26504000
Case 33255000
Case 43254000
Table 2. Quantity of associated Japanese words of every group in different illumination environments.
Table 2. Quantity of associated Japanese words of every group in different illumination environments.
GroupCase 1Case 2Case 3Case 4
Group 135402730
Group 230352023
Group 328362528
Group 433382225
Group 525341924
Table 3. T-test results.
Table 3. T-test results.
Paired Differences
MeanStd. DeviationStd. Error Mean95% Confidence Interval of the DifferencetdfSig. (2-Tailed)
LowerUpper
Pair 1
(Case 1–Case 2)
−6.4001.9490.871−8.820−3.979−7.34140.002
Pair 2
(Case 1–Case 3)
7.6003.2091.4353.61511.5845.29540.006
Pair 3
(Case 1–Case 4)
4.2003.5631.593−0.2248.6242.63540.058
Pair 4
(Case 2–Case 3)
14.0002.0000.89411.51616.48315.65240.000
Pair 5
(Case 2–Case 4)
10.6001.9490.8718.17913.02012.15940.000
Pair 6
(Case 3–Case 4
−3.4000.8940.400−4.510−2.289−8.50040.001
Table 4. Salivary amylase activity level in different illumination environments (KU/L).
Table 4. Salivary amylase activity level in different illumination environments (KU/L).
GroupQuiescenceCase 1Case 2Case 3Case 4
Group 15365415743
Group 23842355136
Group 34849456236
Group 44648345344
Group 53453324630
Table 5. T-test results.
Table 5. T-test results.
Paired Differences
MeanStd. DeviationStd. Error Mean95% Confidence Interval of the DifferencetdfSig. (2-Tailed)
LowerUpper
Pair 1
Case 1–Case 2
1.4008.6313.8603.28224.7173.62740.002
Pair 2
Case 1–Case 3
−2.40012.6015.635−18.04613.246−0.42640.692
Pair 3
Case 1–Case 4
13.6008.0803.6133.56623.6333.76340.020
Pair 4
Case 2–Case 3
16.4004.6152.063−22.130−10.669−7.94640.001
Pair 5
Case 2–Case 4
−0.4009.2894.154−11.93411.134−0.09640.928
Pair 6
Case 3–Case 4
16.00010.3684.6363.12628.8733.45140.026

Share and Cite

MDPI and ACS Style

Liu, T.; Yuizono, T.; Wang, Z.; Gao, H. The Influence of Classroom Illumination Environment on the Efficiency of Foreign Language Learning. Appl. Sci. 2020, 10, 1901. https://doi.org/10.3390/app10061901

AMA Style

Liu T, Yuizono T, Wang Z, Gao H. The Influence of Classroom Illumination Environment on the Efficiency of Foreign Language Learning. Applied Sciences. 2020; 10(6):1901. https://doi.org/10.3390/app10061901

Chicago/Turabian Style

Liu, Ting, Takaya Yuizono, Zhisheng Wang, and Haiwen Gao. 2020. "The Influence of Classroom Illumination Environment on the Efficiency of Foreign Language Learning" Applied Sciences 10, no. 6: 1901. https://doi.org/10.3390/app10061901

APA Style

Liu, T., Yuizono, T., Wang, Z., & Gao, H. (2020). The Influence of Classroom Illumination Environment on the Efficiency of Foreign Language Learning. Applied Sciences, 10(6), 1901. https://doi.org/10.3390/app10061901

Note that from the first issue of 2016, this journal uses article numbers instead of page numbers. See further details here.

Article Metrics

Back to TopTop