HI-Sky: Hash Index-Based Skyline Query Processing
Abstract
1. Introduction
- We propose an index structure, which is a fusion of the hash index and grid partitioning (simply HashGrid). HashGrid manages data by grid location address (GLAD), which is a special form of the hash key. We assign GLAD to each grid-partitioned region and perform a region-wise data comparison. This enables us to prune the data space without access to the entire dataset.
- We propose a hash index-based skyline (HI-Sky), which is a skyline query method that utilizes the features of HashGrid. HI-Sky computes the skyline through HashGrid using data that only belong to regions not dominated by other GLADs, which is therefore predicted to contain the skyline. This feature allows HI-Sky to avoid accessing unnecessary data that cannot be a skyline and simultaneously performs the dominance test using GLAD to enable efficient computation of the skyline only when domination is possible.
- We demonstrate the superiority of HI-Sky through various experiments. Specifically, we compare the index creation time and skyline query processing time with state-of-the-art skyline query methods including sort-filter skyline (SFS) [16,17], BBS [6,7], and Z-SKY [10,11] in a single system environment. The results of our experiment demonstrate that HI-Sky can generate indices faster than other methods and perform faster skyline query processing at higher dimensions by effectively reducing the number of dominance tests.
2. Related Study
2.1. Traditional Skyline Computation
2.2. Index Based Skyline Computation
2.3. Parallel and Distributed Skyline Computation
3. Hash Index-Based Skyline Query Processing
3.1. Hash Index for Skyline
3.2. Hash Index-Based Skyline Query Processing
3.2.1. Background
3.2.2. Data Space Pruning Step
3.2.3. Skyline Computation Step
3.2.4. Skyline Computation using HI-Sky
4. Performance Evaluation
4.1. Experimental Environment
4.2. Result of Experiments
4.2.1. Comparison of Changes in np
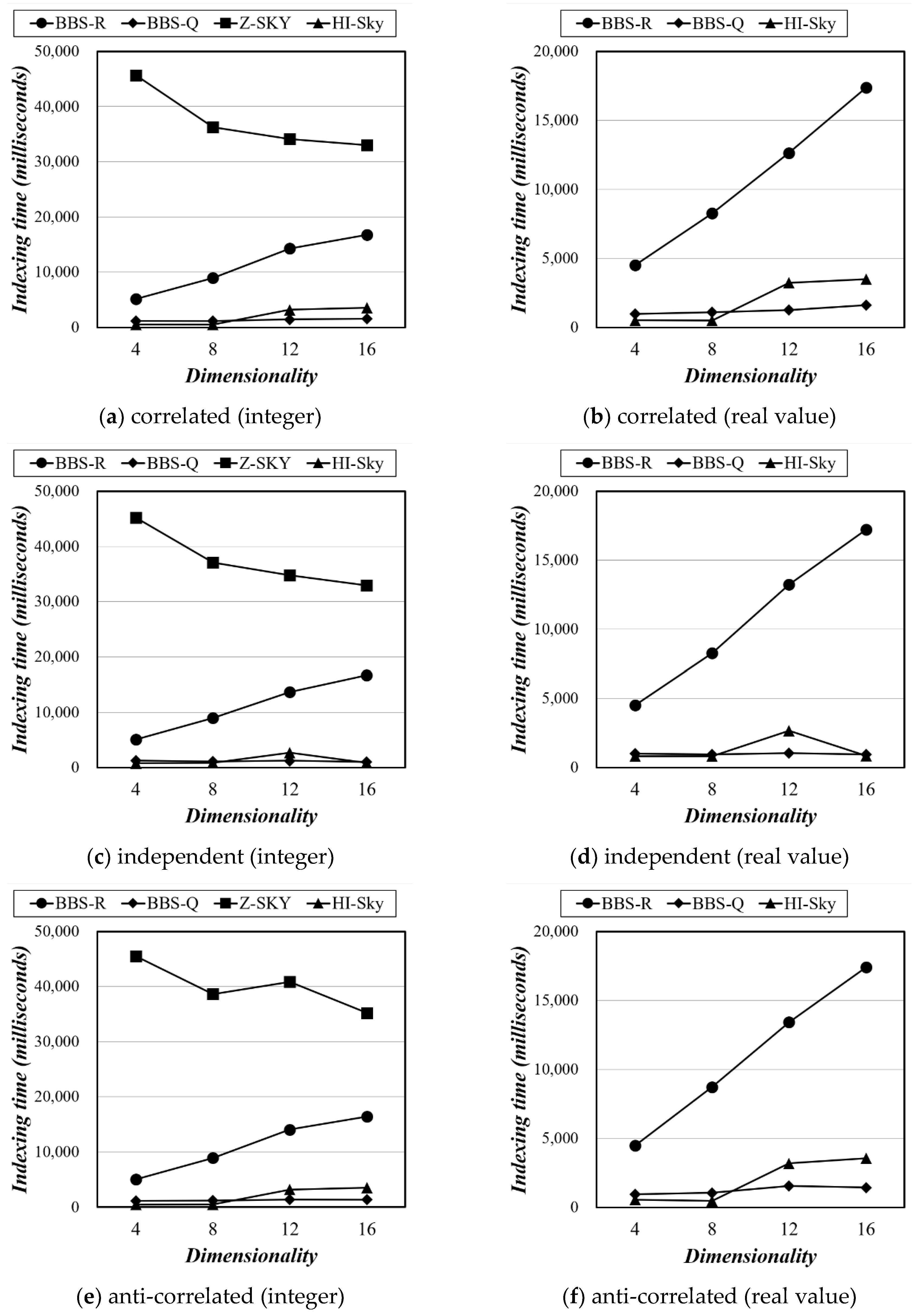
4.2.2. Comparison of Indexing Time
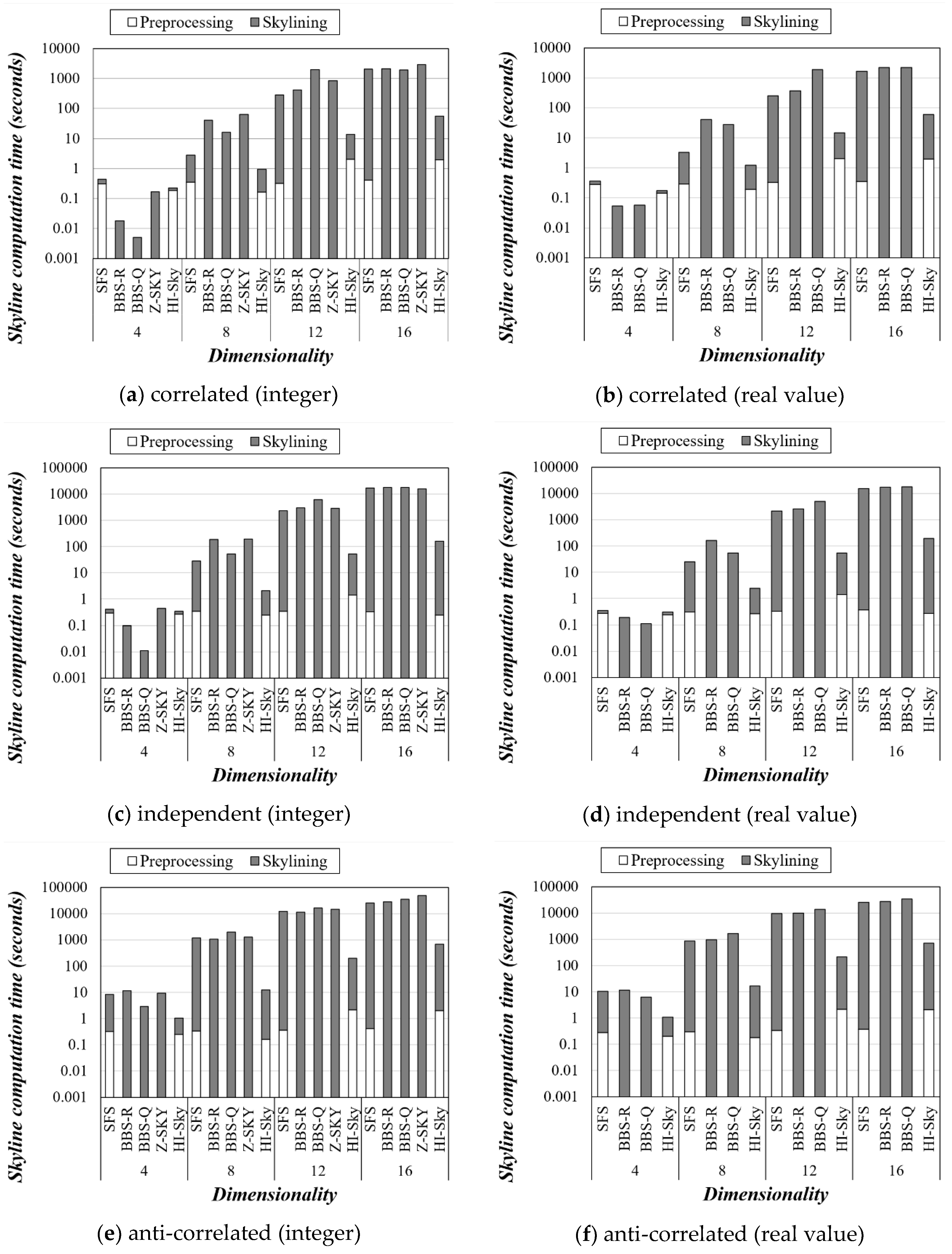
4.2.3. Comparison of Skyline Computation Time
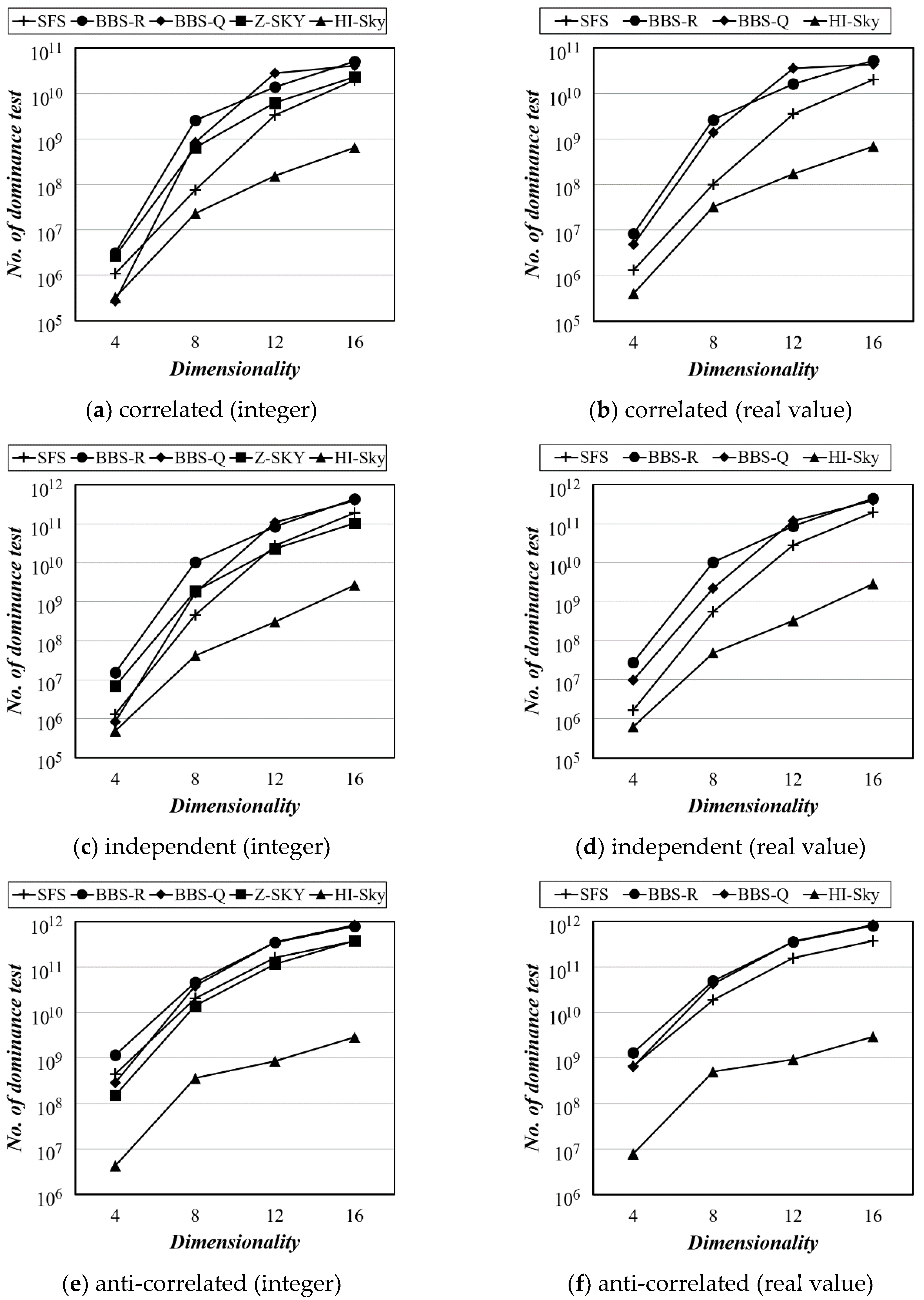
4.2.4. Comparison of a Number Dominance Test
4.2.5. Comparisons Using Real-World Dataset
5. Conclusions
Author Contributions
Funding
Conflicts of Interest
References
- Chomicki, J.; Ciaccia, P.; Meneghetti, N. Skyline queries, front and back. ACM SIGMOD Rec. 2013, 42, 6–18. [Google Scholar] [CrossRef]
- Cui, B.; Lu, H.; Xu, Q.; Chen, L.; Dai, Y.; Zhou, Y. Parallel distributed processing of constrained skyline queries by filtering. In Proceedings of the IEEE 24th International Conference on Data Engineering, Cancun, Mexico, 7–12 April 2008; pp. 546–555. [Google Scholar]
- Nasridinov, A.; Ihm, S.-Y.; Park, Y.-H. Skyline-based aggregator node selection in wireless sensor networks. Int. J. Distrib. Sens. Netw. 2013, 9, 356194. [Google Scholar] [CrossRef]
- Skoutas, D.; Sacharidis, D.; Simitsis, A.; Sellis, T. Ranking and clustering web services using multicriteria dominance relationships. IEEE Trans. Serv. Comput. 2010, 3, 163–177. [Google Scholar] [CrossRef]
- Park, Y.; Min, J.-K.; Shim, K. Parallel computation of skyline and reverse skyline queries using mapreduce. Proc. VLDB Endow. 2013, 6, 2002–2013. [Google Scholar] [CrossRef]
- Papadias, D.; Tao, Y.; Fu, G.; Seeger, B. An optimal and progressive algorithm for skyline queries. In Proceedings of the 2003 ACM SIGMOD International Conference on Management of Data, San Diego, CA, USA, 9–12 June 2003; pp. 467–478. [Google Scholar]
- Lin, X.; Xu, J.; Hu, H.; Lee, W.-C. Authenticating location-based skyline queries in arbitrary subspaces. IEEE Trans. Knowl. Data Eng. 2014, 26, 1479–1493. [Google Scholar] [CrossRef]
- Guttman, A. R-trees: A dynamic index structure for spatial searching. SIGMOD Rec. 1984, 14, 47–57. [Google Scholar] [CrossRef]
- Berchtold, S.; Keim, D.; Kriegel, H. An index structure for high-dimensional data. In Readings in Multimedia Computing and Networking; Morgan Kaufmann: Burlington, MA, USA, 2001; pp. 451–462. [Google Scholar]
- Lee, K.C.; Lee, W.-C.; Zheng, B.; Li, H.; Tian, Y. Z-sky: An efficient skyline query processing framework based on z-order. Int. J. Very Large Data Bases 2010, 19, 333–362. [Google Scholar] [CrossRef]
- Lee, K.; Zheng, B.; Li, H.; Lee, W.-C. Approaching the skyline in Z order. In Proceedings of the 33rd International Conference on Very large data Bases, Vienna, Austria, 23–27 September 2007; pp. 279–290. [Google Scholar]
- Gaede, V.; Günther, O. Multidimensional access methods. ACM Comput. Surv. 1998, 30, 170–231. [Google Scholar] [CrossRef]
- Lawder, J.K.; King, P.J.H. Using Space-Filling Curves for Multi-dimensional Indexing. In Proceedings of the 17th British National Conference on Databases, Exeter, UK, 3–5 July 2000; pp. 20–35. [Google Scholar]
- Zhang, S.; Mamoulis, N.; Cheung, D.W. Scalable skyline computation using object-based space partitioning. In Proceedings of the 2009 ACM SIGMOD International Conference on Management of Data, New York, NY, USA, 29 June–2 July 2009; pp. 483–494. [Google Scholar]
- Borzsonyi, S.; Kossmann, D.; Stocker, K. The Skyline operator. In Proceedings of the 17th International Conference on Data Engineering, Heidelberg, Germany, 2–6 April 2001; pp. 421–430. [Google Scholar]
- Chomicki, J.; Godfrey, P.; Gryz, J.; Liang, D. Skyline with presorting. In Proceedings of the 19th International Conference on Data Engineering, Bangalore, India, 5–8 March 2003; pp. 717–719. [Google Scholar]
- Chomicki, J.; Godfrey, P.; Gryz, J.; Liang, D. Skyline with presorting: Theory and optimizations. Intell. Inf. Process. Web Min. 2005, 31, 595–604. [Google Scholar]
- Vlachou, A.; Doulkeridis, C.; Kotidis, Y. Angle-based space partitioning for efficient parallel skyline computation. In Proceedings of the 2008 ACM SIGMOD International Conference on Management of Data, Vancouver, BC, Canada, 9–12 June 2008; pp. 227–239. [Google Scholar]
- Zhang, B.; Zhou, S.; Guan, J. Adapting Skyline Computation to the MapReduce Framework: Algorithms and Experiments. In Proceedings of the 16th International Conference on Database Systems for Advanced Applications, Hong Kong, China, 22–25 April 2011; pp. 403–414. [Google Scholar]
- Chen, L.; Hwang, K.; Wu, J. MapReduce Skyline Query Processing with a New Angular Partitioning Approach. In Proceedings of the 2012 IEEE 26th International Parallel and Distributed Processing Symposium Workshops & PhD Forum, Shanghai, China, 21–25 May 2012; pp. 2262–2270. [Google Scholar]
- Han, X.; Li, J.; Yang, D.; Wang, J. Efficient Skyline Computation on Big Data. IEEE Trans. Knowl. Data Eng. 2013, 25, 2521–2535. [Google Scholar] [CrossRef]
- Park, Y.; Min, J.-K.; Shim, K. Efficient Processing of Skyline Queries Using MapReduce. IEEE Trans. Knowl. Data Eng. 2017, 29, 1031–1044. [Google Scholar] [CrossRef]
- Islam, M.S.; Liu, C.; Rahayu, W.; Anwar, T. Q+Tree: An Efficient Quad Tree based Data Indexing for Parallelizing Dynamic and Reverse Skylines. In Proceedings of the 25th ACM International Conference on Information and Knowledge Management, Indianapolis, IN, USA, 24–28 October 2016; pp. 1291–1300. [Google Scholar]
- Tang, M.; Yu, Y.; Aref, W.G.; Malluhi, Q.M.; Ouzzani, M. Efficient Parallel Skyline Query Processing for High-Dimensional Data. IEEE Trans. Knowl. Data Eng. 2018, 30, 1838–1851. [Google Scholar] [CrossRef]
- Eldawy, A.; Mokbel, M.F. Spatialhadoop: A mapreduce framework for spatial data. In Proceedings of the 2015 IEEE 31st International Conference on Data Engineering, Seoul, Korea, 13–17 April 2015; pp. 1352–1363. [Google Scholar]
- Pertesis, D.; Doulkeridis, C. Efficient skyline query processing in spatialhadoop. Inf. Syst. 2015, 54, 325–335. [Google Scholar] [CrossRef]
- Bayer, R.; McCreight, E. Organization and maintenance of large ordered indexes. In Software Pioneers; Springer: Berlin/Heidelberg, Germany, 2002; pp. 245–262. [Google Scholar]
- Jensen, C.; Lin, D.; Ooi, B. Query and update efficient B+-tree based indexing of moving objects. In Proceedings of the 30th International Conference on Very Large Data Bases, Toronto, Canada, 31 August–3 September 2004; pp. 768–779. [Google Scholar]
- Lee, M.L.; Hsu, W.; Jensen, C.S.; Cui, B.; Teo, K.L. Supporting frequent updates in R-trees: A bottom-up approach. In Proceedings of the 29th International Conference on Very Large Data Bases, Berlin, Germany, 9–12 September 2003; pp. 608–619. [Google Scholar]
- Lehman, T.J.; Carey, M.J. A Study of Index Structures for Main Memory Database Management Systems. In Proceedings of the 12th International Conference on Very Large Data Bases, Kyoto, Japan, 25–28 August 1986; pp. 294–303. [Google Scholar]
- Song, Z.; Roussopoulos, N. Hashing moving objects. In Proceedings of the International Conference on Mobile Data Management, Hong Kong, China, 8–10 January 2001; pp. 161–172. [Google Scholar]
- Ihm, S.-Y.; Nasridinov, A.; Park, Y.-H. Grid-PPPS: A Skyline Method for Efficiently Handling Top-k Queries in Internet of Things. J. Appl. Math. 2014, 2014, 1–10. [Google Scholar] [CrossRef]
- Rocha-Junior, J.B.; Vlachou, A.; Doulkeridis, C.; Nørvåg, K. AGiDS: A grid-based strategy for distributed skyline query processing. In Proceedings of the International Conference on Data Management in Grid and P2P Systems, Linz, Austria, 1–2 September 2009; pp. 12–23. [Google Scholar]
- Huerta, R.; Mosqueiro, T.; Fonollosa, J.; Rulkov, N.F.; Rodriguez-Lujan, I. Online decorrelation of humidity and temperature in chemical sensors for continuous monitoring. Chemom. Intell. Lab. Syst. 2016, 157, 169–176. [Google Scholar] [CrossRef]
- Gani, A.; Siddiqa, A.; Shamshirband, S.; Hanum, F. A survey on indexing techniques for big data: Taxonomy and performance evaluation. Knowl. Inf. Syst. 2015, 46, 241–284. [Google Scholar] [CrossRef]
- Belussi, A.; Migliorini, S.; Eldawy, A. Detecting skewness of big spatial data in SpatialHadoop. In Proceedings of the 26th ACM SIGSPATIAL International Conference on Advances in Geographic Information Systems, New York, NY, USA, 6–9 November 2018; pp. 432–435. [Google Scholar]












© 2020 by the authors. Licensee MDPI, Basel, Switzerland. This article is an open access article distributed under the terms and conditions of the Creative Commons Attribution (CC BY) license (http://creativecommons.org/licenses/by/4.0/).
Share and Cite
Choi, J.-H.; Hao, F.; Nasridinov, A. HI-Sky: Hash Index-Based Skyline Query Processing. Appl. Sci. 2020, 10, 1708. https://doi.org/10.3390/app10051708
Choi J-H, Hao F, Nasridinov A. HI-Sky: Hash Index-Based Skyline Query Processing. Applied Sciences. 2020; 10(5):1708. https://doi.org/10.3390/app10051708
Chicago/Turabian StyleChoi, Jong-Hyeok, Fei Hao, and Aziz Nasridinov. 2020. "HI-Sky: Hash Index-Based Skyline Query Processing" Applied Sciences 10, no. 5: 1708. https://doi.org/10.3390/app10051708
APA StyleChoi, J.-H., Hao, F., & Nasridinov, A. (2020). HI-Sky: Hash Index-Based Skyline Query Processing. Applied Sciences, 10(5), 1708. https://doi.org/10.3390/app10051708

