Investigation of Acoustic Properties on Wideband Sound-Absorber Composed of Hollow Perforated Spherical Structure with Extended Tubes and Porous Materials
Abstract
1. Introduction
2. Theoretical Analyses
2.1. Impedance Model of Melamine Foam
2.2. Impedance Model of the Hollow Perforated Spherical Structure with Extended Tubes (HPSET)
2.3. Normal Incidence Sound Absorption of HPSET with a Melamine Foam
3. Simulation Results and Discussion
3.1. Analytical Study of Normal Incidence Sound Absorption Coefficient of the HPSET with a Melamine Foam
3.2. Parametric Study of the Sound Absorption Coefficient of HPSET with a Melamine Foam
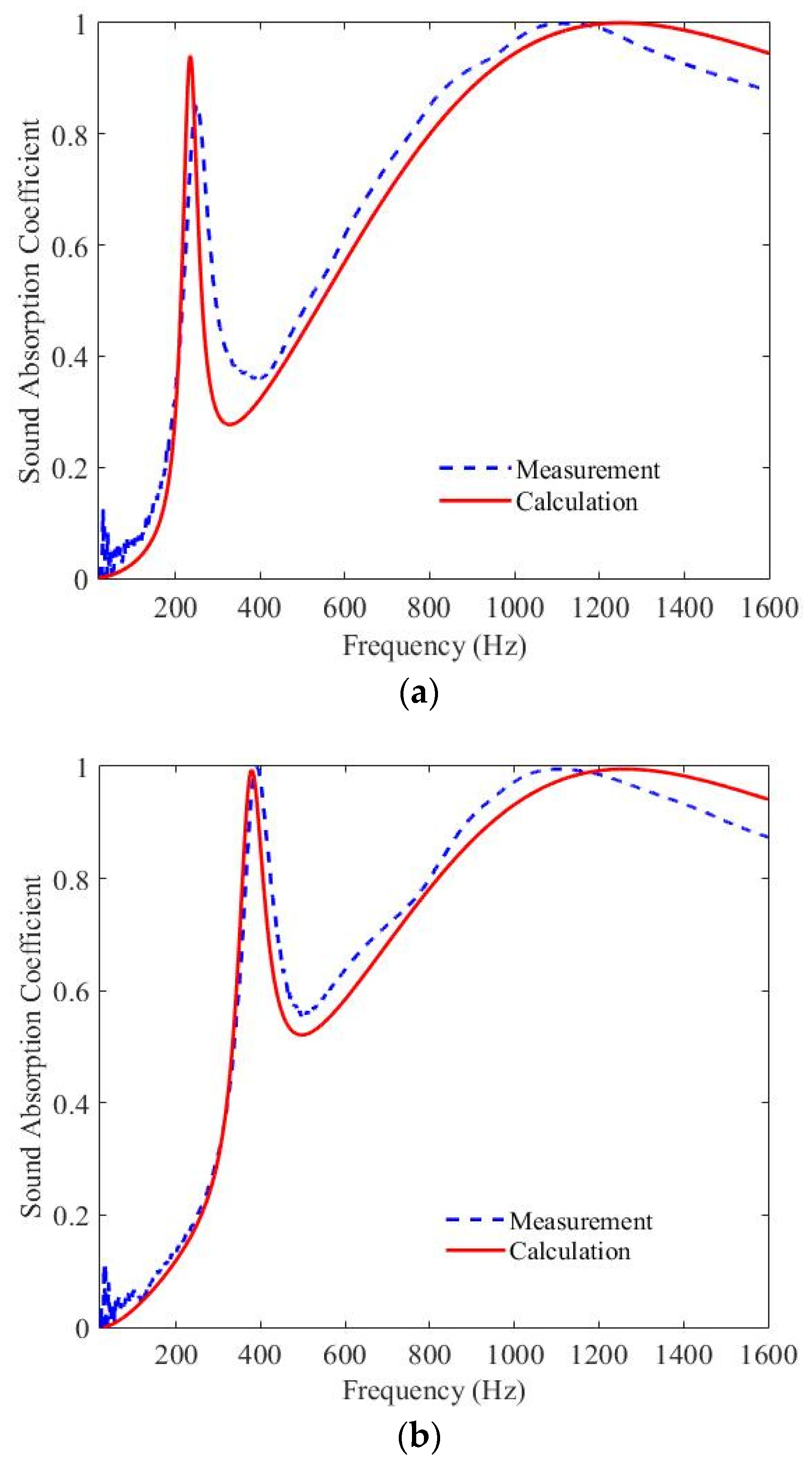
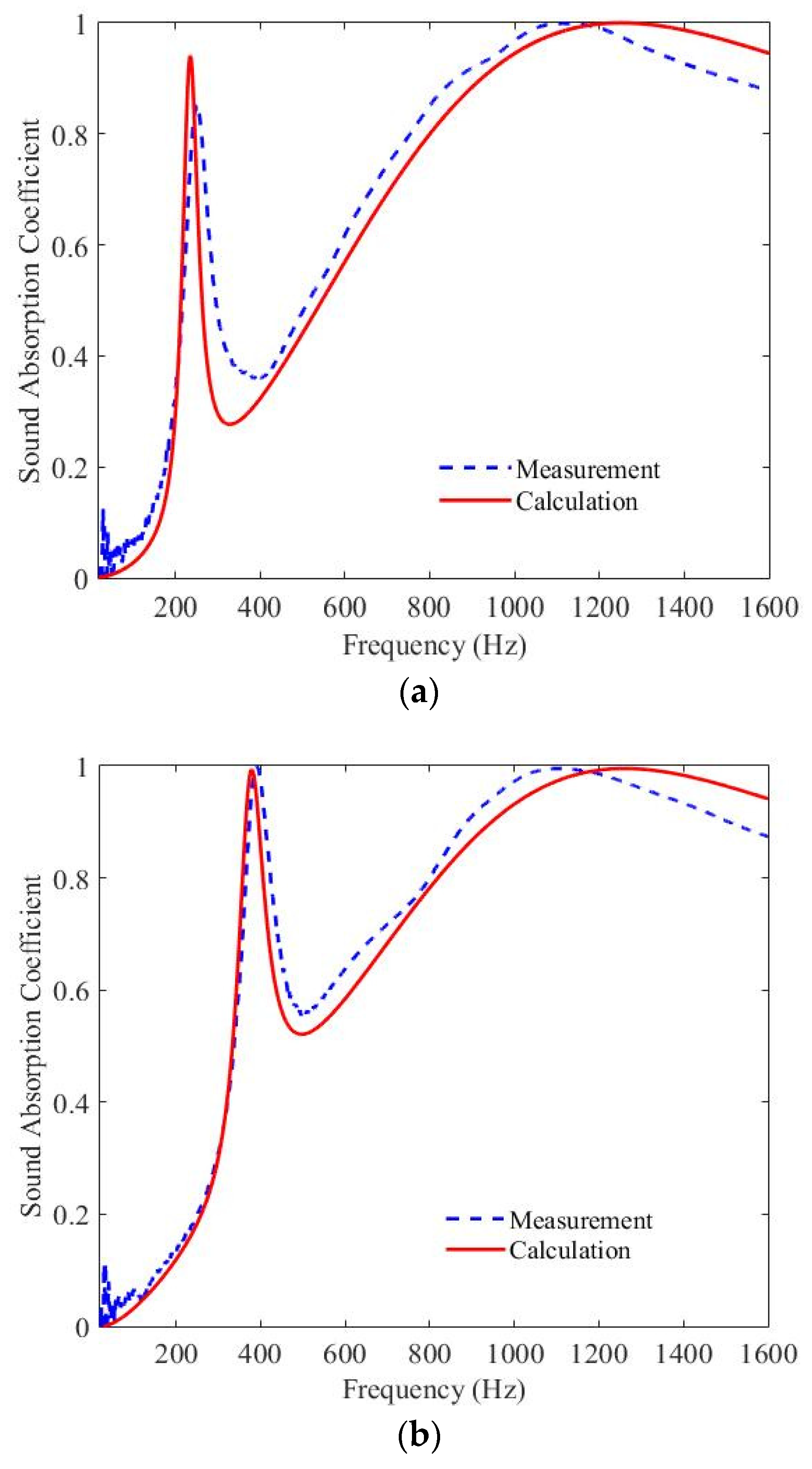
4. Experimental Validation
5. Conclusions
Author Contributions
Funding
Conflicts of Interest
References
- Imashiro, Y.; Hasegawa, S.; Matsumoto, T. Melamine Resin Foam. U.S. Patent No. 5,413,853, 9 May 1995. [Google Scholar]
- Thom, A. Melamine Resin Foam. U.S. Patent No. 6,350,511, 26 February 2002. [Google Scholar]
- Fuchs, H. Alternative fibreless absorbers—New tools and materials for noise control and acoustic comfort. Acta. Acoust. 2001, 87, 414–422. [Google Scholar]
- Perrot, C.; Chevillotte, F.; Panneton, R. Dynamic viscous permeability of an open-cell aluminum foam: Computations vs experiments. J. Appl. Phys. 2008, 103, 024909. [Google Scholar] [CrossRef]
- Trinh, V.H.; Hoang, M.T.; Perrot, C.; Langlois, V.; Khidas, Y.; Pitois, O. A systematic link between microstructure and acoustic properties of foam: A detailed study on the effects of membranes. In Proceedings of the 6th Biot Conference of Poromechanics, Paris, France, 9–13 June 2017. [Google Scholar]
- Park, J.H.; Minn, K.S.; Lee, H.R.; Yang, S.H.; Yu, C.B.; Pak, S.Y.; Oh, C.S.; Song, Y.S.; Kang, Y.J.; Youn, J.R. Cell openness manipulation of low density polyurethane foam for efficient sound absorption. J. Sound Vib. 2017, 406, 224–236. [Google Scholar] [CrossRef]
- Park, J.H.; Yang, S.H.; Lee, H.R.; Yu, C.B.; Pak, S.Y.; Oh, C.S.; Kang, Y.J.; Youn, J.R. Optimization of low frequency sound absorption by cell size control and multiscale poroacoustics modeling. J. Sound Vib. 2017, 397, 17–30. [Google Scholar] [CrossRef]
- Kidner, M.; Gardner, B.; Fuller, C. Improvements in Low Frequency Insertion Loss Blankets: Experimental Investigation. J. Sound Vib. 2006, 294, 466–472. [Google Scholar] [CrossRef]
- Fuller, C.; Kidner, M.; Li, X.; Hansen, C. Active-Passive Heterogeneous for Control of Vibration and Sound Radiation. In Proceedings of the 2004 International Symposium on Active Control of Sound and Vibration, Williamsburg, VA, USA, 20–22 September 2004. [Google Scholar]
- Fuller, C. Sound absorption using acoustic meta materials. In Proceedings of the Inter-Noise 2012, New York, NY, USA, 19–22 August 2012. [Google Scholar]
- Groby, J.P.; Lagarrigue, C.; Brouard, B.; Dazel, O.; Tournat, V.; Nennig, B. Enhancing the absorption properties of acoustic porous plates by periodically embedding Helmholtz resonators. J. Acout. Soc. Am. 2015, 137, 273–280. [Google Scholar] [CrossRef] [PubMed]
- Groby, J.P.; Lagarrigue, C.; Brouard, B.; Dazel, O.; Tournat, V.; Nennig, B. Using simple shape three-dimensional rigid inclusions to enhance porous layer absorption. J. Acout. Soc. Am. 2014, 136, 1139–1148. [Google Scholar] [CrossRef] [PubMed]
- Lin, L.; Wang, Z.; Jiang, Z. Effect of sound-absorbing material on a micro-perforated absorbing construction. Acta. Acust. 2010, 35, 385–391. [Google Scholar]
- Li, D.; Chang, D.; Liu, B.; Tian, J. Improving the sound absorption bandwidth of micro-perforated panel by adding porous sound absorbing materials. In Proceedings of the Internoise 2014, Melbourne, Australia, 16–19 November 2014. [Google Scholar]
- Lu, Y.; Li, X.; Tian, J.; Wei, W. The perforated panel resonator with flexible tube bundle and its acoustical measurements. In Proceedings of the Internoise 2001, The Hague, The Netherlands, 27–30 August 2001. [Google Scholar]
- Li, D.; Chang, D.; Liu, B. Enhancing the low frequency sound absorption of a perforated panel by parallel-arranged extended tubes. Appl. Acoust. 2016, 102, 126–132. [Google Scholar] [CrossRef]
- Li, D.; Chang, D.; Liu, B. Enhanced low- to mid-frequency sound absorption using parallel-arranged perforated plates with extended tubes and porous material. Appl. Acoust. 2017, 127, 316–323. [Google Scholar] [CrossRef]
- Li, D.; Chang, D.; Liu, B. Diffuse sound absorptive properties of parallel-arranged perforated plates with extended tubes and porous materials. Materials 2020, 13, 1091. [Google Scholar] [CrossRef]
- Simon, F. Long Elastic Open Neck Acoustic Resonator for low frequency absorption. J. Sound Vib. 2018, 421, 1–16. [Google Scholar] [CrossRef]
- Johnson, D.L.; Koplik, J.; Dashen, R. Theory of dynamic permeability and tortuosity in fluid-saturated porous media. J. Fluid Mech. 1987, 176, 379–402. [Google Scholar] [CrossRef]
- Lafarge, D.; Lemarinier, P.; Allard, J.F.; Tarnow, V. Dynamic compressibility of air in porous structures and audible frequencies. J. Acout. Soc. Am. 1997, 102, 1995–2006. [Google Scholar] [CrossRef]
- Stinson, R.; Daigle, G. Electronic system for the measurement of flow resistance. J. Acout. Soc. Am. 1988, 83, 2422–2428. [Google Scholar] [CrossRef]
- Iwase, T.; Izumi, Y.; Kawabata, R. A New Measuring Method for Sound Propagation by Using Sound Tube without Any Air Spaces. In Proceedings of the 1998 International Congress on Noise Control Engineering, Christchurch, New Zealand, 16–18 November 1998. [Google Scholar]
- Salissou, Y.; Panneton, R. Wideband characterization of the complex wave and characteristic impedance of sound absorbers. J. Acout. Soc. Am. 2010, 128, 2868–2876. [Google Scholar] [CrossRef] [PubMed]
- Panneton, R.; Olny, X. Acoustical determination of the governing viscous dissipation in porous media. J. Acout. Soc. Am. 2006, 119, 2027–2040. [Google Scholar] [CrossRef]
- Olny, X.; Panneton, R. Acoustical determination of the governing thermal dissipation in porous media. J. Acout. Soc. Am. 2008, 123, 814–824. [Google Scholar] [CrossRef]
- Available online: https://rokcell.matelys.com/ (accessed on 4 December 2020).
- Maa, D.Y. Theory and design of micro-perforated sound absorbing constructions. Sci. Sin. 1975, 18, 55–71. [Google Scholar]
- Maa, D.Y. Microperforated-panel wideband absorbers. Noise Control Eng. J. 1987, 29, 77–84. [Google Scholar] [CrossRef]
- Allard, J.; Atalla, N. Propagation of Sound in Porous Media: Modelling Sound Absorbing Materials, 2nd ed.; Wiley and Sons: London, UK, 2009; Chapter 2. [Google Scholar]
- ISO 10524-2. Acoustics—Determination of Sound Absorption Coefficient and Impedance in Impedance Tubes—Part 2: Transfer Function Method; ISO: Geneva, Switzerlad, 1998. [Google Scholar]






| Parameters | α∞ | Λ (μm) | Λ’ (μm) | |||
|---|---|---|---|---|---|---|
| Melamine foam | 9354 ± 390 | 0.993 ± 0.001 | 1.04 ± 0.02 | 107 ± 5 | 223 ± 23 | 23 ± 2 |
| Parameters | d0 (mm) | t (mm) | N | 2R (mm) |
|---|---|---|---|---|
| HPSET1 | 4.9 | 10 | 2 | 65 |
| HPSET2 | 4.9 | 10 | 5 | 65 |
Publisher’s Note: MDPI stays neutral with regard to jurisdictional claims in published maps and institutional affiliations. |
© 2020 by the authors. Licensee MDPI, Basel, Switzerland. This article is an open access article distributed under the terms and conditions of the Creative Commons Attribution (CC BY) license (http://creativecommons.org/licenses/by/4.0/).
Share and Cite
Li, D.; Jiang, Z.; Li, L.; Liu, X.; Wang, X.; He, M. Investigation of Acoustic Properties on Wideband Sound-Absorber Composed of Hollow Perforated Spherical Structure with Extended Tubes and Porous Materials. Appl. Sci. 2020, 10, 8978. https://doi.org/10.3390/app10248978
Li D, Jiang Z, Li L, Liu X, Wang X, He M. Investigation of Acoustic Properties on Wideband Sound-Absorber Composed of Hollow Perforated Spherical Structure with Extended Tubes and Porous Materials. Applied Sciences. 2020; 10(24):8978. https://doi.org/10.3390/app10248978
Chicago/Turabian StyleLi, Dengke, Zhongcheng Jiang, Lin Li, Xiaobo Liu, Xianfeng Wang, and Mu He. 2020. "Investigation of Acoustic Properties on Wideband Sound-Absorber Composed of Hollow Perforated Spherical Structure with Extended Tubes and Porous Materials" Applied Sciences 10, no. 24: 8978. https://doi.org/10.3390/app10248978
APA StyleLi, D., Jiang, Z., Li, L., Liu, X., Wang, X., & He, M. (2020). Investigation of Acoustic Properties on Wideband Sound-Absorber Composed of Hollow Perforated Spherical Structure with Extended Tubes and Porous Materials. Applied Sciences, 10(24), 8978. https://doi.org/10.3390/app10248978
