Remaining Useful Life Estimation of Bearings Using Data-Driven Ridge Regression
Abstract
1. Introduction
2. Related Works
3. RUL Prediction Method
4. Health Indicator Construction
4.1. Feature Extraction
- Time domain feature: Simple statistical features of time domain signals can serve as health indicators for predicting RUL. For instance, the average value or variance of a specific signal increases as the system performance degrades [7]. Furthermore, the higher-order statistics provide insight into system behavior through the third moment (skewness) and fourth moment (kurtosis) of the signal [4]. We use various statistical metrics of the time domain analysis including mean, standard deviation, RMS, skewness, kurtosis, maximum-to-minimum difference, sum of the square called energy, signal median absolute deviation, peak value divided by the RMS called crest factor, and RMS divided by the mean of the absolute value called shape factor.
- Frequency domain feature: Spectral analysis extracts the useful features for predicting RUL, such as bearings, gears, and engines [7,11]. The frequency domain features include power bandwidth, mean frequency, signal-to-noise ratio, and local maxima of the power spectrum of the signal. For example, the peak value of a signal spectrum or the frequency at which the peak magnitude occurs is changed as the machine degrades. The mean frequency, kurtosis, skewness of the power spectrum, and mean and standard deviation of the local maxima of the power spectrum are used as the statistical features of the frequency domain.
- Time–frequency domain feature: Another way to quantify the chaotic behavior is the time–frequency spectral properties such as spectral kurtosis and spectral entropy. Spectral kurtosis, for example, in the frequency domain, is considered a powerful method for the RUL prediction of the wind turbine [42]. Furthermore, the time–frequency moment effectively characterizes the frequency changes in time of non-stationary signals [43]. The short-time Fourier transform technique is used to capture the time-varying frequency behavior because the classical Fourier analysis fails to analyze the time-varying behavior. The conditional spectral moment of the time–frequency distribution of a signal is computed for a given sampling rate and order between 2 and 4. We then use the statistical metrics such as mean, standard deviation, skewness, and kurtosis of the conditional spectral moment with different orders.
4.2. Feature Postprocessing
5. Parameter Estimation of Degradation Model
6. Evaluation Setup
6.1. PHM Challenge Problem
6.2. Bayesian Approach
7. Performance Evaluation
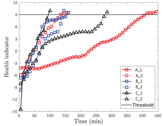
7.1. Feature Extraction and Postprocessing
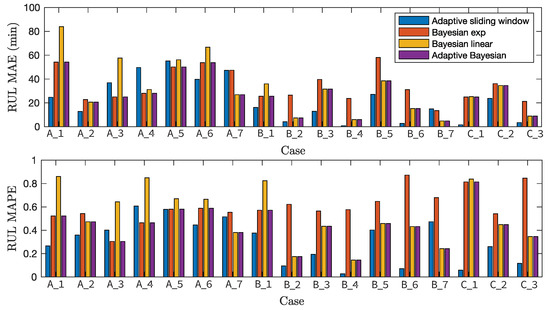
7.2. RUL Evaluation
8. Conclusions
Author Contributions
Funding
Conflicts of Interest
References
- Lu, B.; Durocher, D.B.; Stemper, P. Predictive maintenance techniques. IEEE Ind. Appl. Mag. 2009, 15, 52–60. [Google Scholar] [CrossRef]
- Vichare, N.M.; Pecht, M.G. Prognostics and health management of electronics. IEEE Trans. Components Packag. Technol. 2006, 29, 222–229. [Google Scholar] [CrossRef]
- Jasiulewicz-Kaczmarek, M.; Legutko, S.; Piotr, K. Maintenance 4.0 technologies—New opportunities for sustainability driven maintenance. Manag. Prod. Eng. Rev. 2020, 11, 74–87. [Google Scholar]
- Jardine, A.K.; Lin, D.; Banjevic, D. A review on machinery diagnostics and prognostics implementing condition-based maintenance. Mech. Syst. Signal Process. 2006, 20, 1483–1510. [Google Scholar] [CrossRef]
- Heng, A.; Tan, A.C.; Mathew, J.; Montgomery, N.; Banjevic, D.; Jardine, A.K. Intelligent condition-based prediction of machinery reliability. Mech. Syst. Signal Process. 2009, 23, 1600–1614. [Google Scholar] [CrossRef]
- Jasiulewicz-Kaczmarek, M.; Gola, A. Maintenance 4.0 Technologies for Sustainable Manufacturing—An Overview. IFAC PapersOnLine 2019, 52, 91–96. [Google Scholar] [CrossRef]
- Nandi, S.; Toliyat, H.A.; Li, X. Condition monitoring and fault diagnosis of electrical motors—A review. IEEE Trans. Energy Convers. 2005, 20, 719–729. [Google Scholar] [CrossRef]
- Gebraeel, N. Sensory-updated residual life distributions for components with exponential degradation patterns. IEEE Trans. Autom. Sci. Eng. 2006, 3, 382–393. [Google Scholar] [CrossRef]
- Jin, X.; Zhao, M.; Chow, T.W.S.; Pecht, M. Motor bearing fault diagnosis using trace ratio linear discriminant analysis. IEEE Trans. Ind. Electron. 2014, 61, 2441–2451. [Google Scholar] [CrossRef]
- Zhu, J.; Chen, N.; Peng, W. Estimation of Bearing Remaining Useful Life Based on Multiscale Convolutional Neural Network. IEEE Trans. Ind. Electron. 2019, 66, 3208–3216. [Google Scholar] [CrossRef]
- Heng, A.; Zhang, S.; Tan, A.C.; Mathew, J. Rotating machinery prognostics: State of the art, challenges and opportunities. Mech. Syst. Signal Process. 2009, 23, 724–739. [Google Scholar] [CrossRef]
- Park, P.; Marco, P.D.; Shin, H.; Bang, J. Fault Detection and Diagnosis Using Combined Autoencoder and Long Short-Term Memory Network. Sensors 2019, 19, 4612. [Google Scholar] [CrossRef]
- Moosavi-Dezfooli, S.; Fawzi, A.; Fawzi, O.; Frossard, P. Universal adversarial perturbations. In Proceedings of the IEEE Conference on Computer Vision and Pattern Recognition, Honolulu, HI, USA, 21–26 July 2017; pp. 86–94. [Google Scholar]
- Szegedy, C.; Zaremba, W.; Sutskever, I.; Bruna, J.; Erhan, D.; Goodfellow, I.; Fergus, R. Intriguing properties of neural networks. In Proceedings of the International Conference on Learning Representations, Banff, AB, Canada, 14–16 April 2014; pp. 1–10. [Google Scholar]
- Zheng, S.; Song, Y.; Leung, T.; Goodfellow, I. Improving the robustness of deep neural networks via stability training. In Proceedings of the IEEE Conference on Computer Vision and Pattern Recognition, Las Vegas, NV, USA, 27–30 June 2016; pp. 4480–4488. [Google Scholar]
- Bojarski, M.; Testa, D.D.; Dworakowski, D.; Firner, B.; Flepp, B.; Goyal, P.; Jackel, L.D.; Monfort, M.; Muller, U.; Zhang, J.; et al. End to end learning for self-driving cars. arXiv 2018, arXiv:1604.07316. [Google Scholar]
- Julian, K.D.; Lopez, J.; Brush, J.S.; Owen, M.P.; Kochenderfer, M.J. Policy compression for aircraft collision avoidance systems. In Proceedings of the IEEE/AIAA 35th Digital Avionics Systems Conference, Sacramento, CA, USA, 25–30 September 2016; pp. 1–10. [Google Scholar]
- Xiang, W.; Musau, P.; Wild, A.A.; Lopez, D.M.; Hamilton, N.; Yang, X.; Rosenfeld, J.A.; Johnson, T.T. Verification for machine learning, autonomy, and neural networks survey. arXiv 2018, arXiv:1810.01989. [Google Scholar]
- Botvinick, M.; Ritter, S.; Wang, J.X.; Kurth-Nelson, Z.; Blundell, C.; Hassabis, D. Reinforcement learning, fast and slow. Trends Cogn. Sci. 2019, 23, 408–422. [Google Scholar] [CrossRef]
- Wang, Y.; Ma, E.W.M.; Chow, T.W.S.; Tsui, K. A two-step parametric method for failure prediction in hard disk drives. IEEE Trans. Ind. Inform. 2014, 10, 419–430. [Google Scholar] [CrossRef]
- Park, P.; Ergen, S.C.; Fischione, C.; Lu, C.; Johansson, K.H. Wireless network design for control systems: A survey. IEEE Commun. Surv. Tutor. 2018, 20, 978–1013. [Google Scholar] [CrossRef]
- Lei, Y.; Li, N.; Guo, L.; Li, N.; Yan, T.; Lin, J. Machinery health prognostics: A systematic review from data acquisition to RUL prediction. Mech. Syst. Signal Process. 2018, 104, 799–834. [Google Scholar] [CrossRef]
- Cubillo, A.; Perinpanayagam, S.; Esperon-Miguez, M. A review of physics-based models in prognostics: Application to gears and bearings of rotating machinery. Adv. Mech. Eng. 2016, 8. [Google Scholar] [CrossRef]
- Si, X.-S.; Wang, W.; Hu, C.-H.; Zhou, D.-H. Remaining useful life estimation a review on the statistical data driven approaches. Eur. J. Oper. Res. 2011, 213, 1–14. [Google Scholar] [CrossRef]
- Tian, Z.; Liao, H. Condition based maintenance optimization for multi-component systems using proportional hazards model. Reliab. Eng. Syst. Saf. 2011, 96, 581–589. [Google Scholar] [CrossRef]
- Qian, Y.; Yan, R.; Hu, S. Bearing Degradation Evaluation Using Recurrence Quantification Analysis and Kalman Filter. IEEE Trans. Instrum. Meas. 2014, 63, 2599–2610. [Google Scholar] [CrossRef]
- Kozłowski, E.; Mazurkiewicz, D.; Zabinski, T.; Prucnal, S.; Sep, J. Machining sensor data management for operation-level predictive model. Expert Syst. Appl. 2020, 159, 113600. [Google Scholar] [CrossRef]
- Soualhi, A.; Medjaher, K.; Zerhouni, N. Bearing Health Monitoring Based on HilbertHuang Transform, Support Vector Machine, and Regression. IEEE Trans. Instrum. Meas. 2015, 64, 52–62. [Google Scholar] [CrossRef]
- Benkedjouh, T.; Medjaher, K.; Zerhouni, N.; Rechak, S. Fault prognostic of bearings by using support vector data description. In Proceedings of the IEEE Conference on Prognostics and Health Management, Denver, CO, USA, 18–21 June 2012; pp. 1–7. [Google Scholar]
- Sutrisno, E.; Oh, H.; Vasan, A.S.S.; Pecht, M. Estimation of remaining useful life of ball bearings using data driven methodologies. In Proceedings of the IEEE Conference on Prognostics and Health Management, Denver, CO, USA, 18–21 June 2012; pp. 1–7. [Google Scholar]
- Wang, P.; Youn, B.D.; Hu, C. A generic probabilistic framework for structural health prognostics and uncertainty management. Mech. Syst. Signal Process. 2012, 28, 622–637. [Google Scholar] [CrossRef]
- Liu, Z.; Zuo, M.J.; Qin, Y. Remaining useful life prediction of rolling element bearings based on health state assessment. J. Mech. Eng. Sci. 2016, 230, 314–330. [Google Scholar] [CrossRef]
- Mosallam, A.; Medjaher, K.; Zerhouni, N. Data-driven prognostic method based on Bayesian approaches for direct remaining useful life prediction. J. Intell. Manuf. 2016, 27, 1037–1048. [Google Scholar] [CrossRef]
- Yu, Y.; Hu, C.; Si, X.; Zhang, J. Degradation data-driven remaining useful life estimation in the absence of prior degradation knowledge. J. Control Sci. Eng. 2017, 2017, 4375690. [Google Scholar]
- Liu, R.; Meng, G.; Yang, B.; Sun, C.; Chen, X. Dislocated time series convolutional neural architecture: An intelligent fault diagnosis approach for electric machine. IEEE Trans. Ind. Inform. 2017, 13, 1310–1320. [Google Scholar] [CrossRef]
- Jing, L.; Wang, T.; Zhao, M.; Wang, P. An adaptive multi-sensor data fusion method based on deep convolutional neural networks for fault diagnosis of planetary gearbox. Sensors 2017, 17, 414. [Google Scholar] [CrossRef]
- Ince, T.; Kiranyaz, S.; Eren, L.; Askar, M.; Gabbouj, M. Real-time motor fault detection by 1-d convolutional neural networks. IEEE Trans. Ind. Electron. 2016, 63, 7067–7075. [Google Scholar] [CrossRef]
- Guo, L.; Lei, Y.; Li, N.; Yan, T.; Li, N. Machinery health indicator construction based on convolutional neural networks considering trend burr. Neurocomputing 2018, 292, 142–150. [Google Scholar] [CrossRef]
- Ren, L.; Cui, J.; Sun, Y.; Cheng, X. Multi-bearing remaining useful life collaborative prediction: A deep learning approach. J. Manuf. Syst. 2017, 43, 248–256. [Google Scholar] [CrossRef]
- Zhao, R.; Yan, R.; Wang, J.; Mao, K. Learning to monitor machine health with convolutional Bi-directional LSTM networks. Sensors 2017, 17, 273. [Google Scholar] [CrossRef]
- Goodfellow, I.; Bengio, Y.; Courville, A. Deep Learning; MIT Press: Cambridge, MA, USA, 2016. [Google Scholar]
- Saidi, L.; Ali, J.B.; Bechhoefer, E.; Benbouzid, M. Wind turbine high-speed shaft bearings health prognosis through a spectral Kurtosis- derived indices and SVR. Appl. Acoust. 2017, 120, 1–8. [Google Scholar] [CrossRef]
- Loughlin, P.; Cakrak, F.; Cohen, L. Conditional moments analysis of transients with application to helicopter fault data. Mech. Syst. Signal Process. 2000, 14, 511–522. [Google Scholar] [CrossRef]
- Chakraborty, S.; Gebraeel, N.; Lawley, M.; Wan, H. Residual-life estimation for components with non-symmetric priors. IIE Trans. 2009, 41, 372–387. [Google Scholar] [CrossRef]
- Nectoux, P.; Gouriveau, R.; Medjaher, K.; Ramasso, E.; Chebel-Morello, B.; Zerhouni, N.; Varnier, C. PRONOSTIA: An experimental platform for bearings accelerated degradation tests. In Proceedings of the IEEE International Conference on Prognostics and Health Management, Denver, CO, USA, 18–21 June 2012; pp. 1–8. [Google Scholar]








| Statistical Features | |
|---|---|
| Time domain | mean, standard deviation, RMS, maximum-to-minimum difference, skewness, |
| kurtosis, energy, signal median absolute deviation, crest factor and shape factor | |
| Frequency domain | mean frequency, skewness, and kurtosis of the power spectrum and |
| mean and standard deviation of the local maxima of the power spectrum | |
| Time–frequency domain | mean, standard deviation, skewness and kurtosis of |
| the conditional spectral moment with different orders between 2 and 4 |
| Operating Condition A | Operating Condition B | Operating Condition C | |
|---|---|---|---|
| Load force (N) | 4000 | 4200 | 5000 |
| Speed (rpm) | 1800 | 1650 | 1500 |
| Training dataset | Bearing , Bearing | Bearing , Bearing | Bearing , Bearing |
| Testing dataset | Bearing , Bearing , | Bearing , Bearing , | Bearing |
| Bearing , Bearing , | Bearing , Bearing , | ||
| Bearing | Bearing |
Publisher’s Note: MDPI stays neutral with regard to jurisdictional claims in published maps and institutional affiliations. |
© 2020 by the authors. Licensee MDPI, Basel, Switzerland. This article is an open access article distributed under the terms and conditions of the Creative Commons Attribution (CC BY) license (http://creativecommons.org/licenses/by/4.0/).
Share and Cite
Park, P.; Jung, M.; Di Marco, P. Remaining Useful Life Estimation of Bearings Using Data-Driven Ridge Regression. Appl. Sci. 2020, 10, 8977. https://doi.org/10.3390/app10248977
Park P, Jung M, Di Marco P. Remaining Useful Life Estimation of Bearings Using Data-Driven Ridge Regression. Applied Sciences. 2020; 10(24):8977. https://doi.org/10.3390/app10248977
Chicago/Turabian StylePark, Pangun, Mingyu Jung, and Piergiuseppe Di Marco. 2020. "Remaining Useful Life Estimation of Bearings Using Data-Driven Ridge Regression" Applied Sciences 10, no. 24: 8977. https://doi.org/10.3390/app10248977
APA StylePark, P., Jung, M., & Di Marco, P. (2020). Remaining Useful Life Estimation of Bearings Using Data-Driven Ridge Regression. Applied Sciences, 10(24), 8977. https://doi.org/10.3390/app10248977

