Synthesis and Application in Cell Imaging of Acridone Derivatives
Abstract
1. Introduction
2. Materials and Methods
2.1. Chemicals
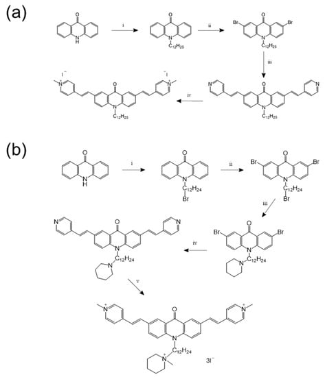
2.2. Synthesis and Identification of MeAcd12C and MeAcd12P
2.3. Apparatus
2.4. Characterization
2.5. Determination of Quantum Yield
2.6. Cell Culture and Cellular Imaging
3. Results
3.1. Subsection
3.1.1. Molecular Design
3.1.2. Photophysical Properties of MeAcd12C and MeAcd12P
3.1.3. Optical Properties of MeAcd12C and MeAcd12P
3.1.4. Systemic Cytotoxicity
3.1.5. Cellular Imaging Application
3.1.6. Investigation of Cellular Imaging Application
4. Discussion
5. Conclusions
6. Patents
Supplementary Materials
Author Contributions
Funding
Acknowledgments
Conflicts of Interest
References
- Hou, S.; Lan, X.J.; Li, W.; Yan, X.L.; Chang, J.J.; Yang, X.H.; Sun, W.; Xiao, J.H.; Li, S. Design, synthesis and biological evaluation of acridone analogues as novel STING receptor agonists. Bioorg. Chem. 2020, 95, 103556. [Google Scholar] [CrossRef] [PubMed]
- Kelly, J.X.; Smilkstein, M.J.; Brun, R.; Wittlin, S.; Cooper, R.A.; Lane, K.D.; Janowsky, A.; Johnson, R.A.; Dodean, R.A.; Winter, R.; et al. Discovery of dual function acridones as a new antimalarial chemotype. Nature 2009, 459, 270–273. [Google Scholar] [CrossRef] [PubMed]
- Shoji, A.; Hasegawa, T.; Kuwahara, M.; Ozaki, H.; Sawai, H. Chemico-enzymatic synthesis of a new fluorescent-labeled DNA by PCR with a thymidine nucleotide analogue bearing an acridone derivative. Bioorg. Med. Chem. Lett. 2007, 17, 776–779. [Google Scholar] [CrossRef] [PubMed]
- Su, T.L.; Lin, C.T.; Chen, C.H.; Huang, H.M. Synthesis of biotinylated glyfoline for immunoelectron microscopic localization. Bioconjug. Chem. 2000, 11, 278–281. [Google Scholar] [CrossRef] [PubMed]
- Dheyongera, J.P.; Geldenhuys, W.J.; Dekker, T.G.; Van der Schyf, C.J. Synthesis, biological evaluation, and molecular modeling of novel thioacridone derivatives related to the anticancer alkaloid acronycine. Bioorganic Med. Chem. 2005, 13, 689–698. [Google Scholar] [CrossRef] [PubMed]
- Guilbaud, N.; Léonce, S.; Tillequin, F.; Koch, M.; Hickman, J.A.; Pierré, A. Acronycine derivatives as promising antitumor agents. Anti-Cancer Drugs 2002, 13, 445–449. [Google Scholar] [CrossRef] [PubMed]
- Niemira, M.; Borowa-Mazgaj, B.; Bader, S.B.; Moszyńska, A.; Ratajewski, M.; Karaś, K.; Kwaśniewski, M.; Krętowski, A.; Mazerska, Z.; Hammond, E.M.; et al. Anticancer Imidazoacridinone C-1311 is Effective in Androgen-Dependent and Androgen-Independent Prostate Cancer Cells. Biomedicines 2020, 8, 292. [Google Scholar] [CrossRef]
- Sondhi, S.M.; Singh, J.; Rani, R.; Gupta, P.P.; Agrawal, S.K.; Saxena, A.K. Synthesis, anti-inflammatory and anticancer activity evaluation of some novel acridine derivatives. Eur. J. Med. Chem. 2010, 45, 555–563. [Google Scholar] [CrossRef]
- Kamata, J.; Okada, T.; Kotake, Y.; Niijima, J.; Nakamura, K.; Uenaka, T.; Yamaguchi, A.; Tsukahara, K.; Nagasu, T.; Koyanagi, N.; et al. Synthesis and evaluation of novel pyrimido-acridone, -phenoxadine, and -carbazole as topoisomerase II inhibitors. Chem. Pharm. Bull. 2004, 52, 1071–1081. [Google Scholar] [CrossRef][Green Version]
- Chow, W.-C.; Zhou, G.-J.; Wong, W.-Y. Electron-Deficient Acridone Derivatives as a New Functional Core Towards Low-Bandgap Metallopolyynes. Macromol. Chem. Phys. 2007, 208, 1129–1136. [Google Scholar] [CrossRef]
- Qi, J.; Hu, X.; Dong, X.; Lu, Y.; Lu, H.; Zhao, W.; Wu, W. Towards more accurate bioimaging of drug nanocarriers: Turning aggregation-caused quenching into a useful tool. Adv. Drug Deliv. Rev. 2019, 143, 206–225. [Google Scholar] [CrossRef] [PubMed]
- Roy, P.; Jha, A.; Yasarapudi, V.B.; Ram, T.; Puttaraju, B.; Patil, S.; Dasgupta, J. Ultrafast bridge planarization in donor-π-acceptor copolymers drives intramolecular charge transfer. Nat. Commun. 2017, 8, 1716. [Google Scholar] [CrossRef] [PubMed]
- Gao, H.; Gao, Y.; Wang, C.; Hu, D.; Xie, Z.; Liu, L.; Yang, B.; Ma, Y. Anomalous Effect of Intramolecular Charge Transfer on the Light Emitting Properties of BODIPY. ACS Appl. Mater. Interfaces 2018, 10, 14956–14965. [Google Scholar] [CrossRef] [PubMed]
- Sasaki, S.; Drummen, G.P.C.; Konishi, G.-i. Recent advances in twisted intramolecular charge transfer (TICT) fluorescence and related phenomena in materials chemistry. J. Mater. Chem. C 2016, 4, 2731–2743. [Google Scholar] [CrossRef]
- Wang, D.; Tang, B.Z. Aggregation-Induced Emission Luminogens for Activity-Based Sensing. Acc. Chem. Res. 2019, 52, 2559–2570. [Google Scholar] [CrossRef]
- Zhang, N.; Chen, H.; Fan, Y.; Zhou, L.; Trépout, S.; Guo, J.; Li, M.H. Fluorescent Polymersomes with Aggregation-Induced Emission. ACS Nano 2018, 12, 4025–4035. [Google Scholar] [CrossRef]
- Zhang, H.; Rominger, F.; Bunz, U.H.F.; Freudenberg, J. Aggregation-Induced Emission of Triphenyl-Substituted Tristyrylbenzenes. Chemistry 2019, 25, 11218–11222. [Google Scholar] [CrossRef]
- Cai, X.; Xie, N.; Li, Y.; Lam, J.W.Y.; Liu, J.; He, W.; Wang, J.; Tang, B.Z. A smart AIEgen-functionalized surface with reversible modulation of fluorescence and wettability. Mater. Horiz. 2019, 6, 2032–2039. [Google Scholar] [CrossRef]
- Gao, H.; Zhao, X.; Chen, S. AIEgen-Based Fluorescent Nanomaterials: Fabrication and Biological Applications. Molecules 2018, 23, 419. [Google Scholar] [CrossRef]
- Ding, H.; Li, J.; Xie, G.; Lin, G.; Chen, R.; Peng, Z.; Yang, C.; Wang, B.; Sun, J.; Wang, C. An AIEgen-based 3D covalent organic framework for white light-emitting diodes. Nat. Commun. 2018, 9, 5234. [Google Scholar] [CrossRef]
- Cai, X.; Mao, D.; Wang, C.; Kong, D.; Cheng, X.; Liu, B. Multifunctional Liposome: A Bright AIEgen-Lipid Conjugate with Strong Photosensitization. Angew. Chem. Int. Ed. Engl. 2018, 57, 16396–16400. [Google Scholar] [CrossRef] [PubMed]
- He, X.; Zhao, Z.; Xiong, L.H.; Gao, P.F.; Peng, C.; Li, R.S.; Xiong, Y.; Li, Z.; Sung, H.H.; Williams, I.D.; et al. Redox-Active AIEgen-Derived Plasmonic and Fluorescent Core@Shell Nanoparticles for Multimodality Bioimaging. J. Am. Chem. Soc. 2018, 140, 6904–6911. [Google Scholar] [CrossRef] [PubMed]
- Dong, Y.; Liu, B.; Yuan, Y. AIEgen based drug delivery systems for cancer therapy. J. Control Release 2018, 290, 129–137. [Google Scholar] [CrossRef] [PubMed]
- Lin, H.-H.; Chan, Y.-C.; Chen, J.-W.; Chang, C.-C. Aggregation-induced emission enhancement characteristics of naphthalimide derivatives and their applications in cell imaging. J. Mater. Chem. 2011, 21, 3170–3177. [Google Scholar] [CrossRef]
- Tsai, Y.-L.; Chang, C.-C.; Kang, C.-C.; Chang, T.-C. Effect of different electronic properties on 9-aryl-substituted BMVC derivatives for new fluorescence probes. J. Lumin. 2007, 127, 41–47. [Google Scholar] [CrossRef]
- Hsu, R.-J.; Hsu, Y.-C.; Chen, S.-P.; Fu, C.-L.; Yu, J.-C.; Chang, F.-W.; Chen, Y.-H.; Liu, J.-M.; Ho, J.-Y.; Yu, C.-P. The triterpenoids of Hibiscus syriacus induce apoptosis and inhibit cell migration in breast cancer cells. BMC Complement. Altern. Med. 2015, 15, 65. [Google Scholar] [CrossRef]
- Bangal, P.R.; Panja, S.; Chakravorti, S. Excited state photodynamics of 4-N,N-dimethylamino cinnamaldehyde: A solvent dependent competition of TICT and intermolecular hydrogen bonding. J. Photochem. Photobiol. A Chem. 2001, 139, 5–16. [Google Scholar] [CrossRef]
- Zhou, Y.; Xiao, Y.; Chi, S.; Qian, X. Isomeric Boron−Fluorine Complexes with Donor−Acceptor Architecture: Strong Solid/Liquid Fluorescence and Large Stokes Shift. Org. Lett. 2008, 10, 633–636. [Google Scholar] [CrossRef]
- Chakraborty, B.; Mitra, P.; Basu, S. Spectroscopic exploration of drug–protein interaction: A study highlighting the dependence of the magnetic field effect on inter-radical separation distance formed during photoinduced electron transfer. RSC Adv. 2015, 5, 81533–81545. [Google Scholar] [CrossRef]
- Murahari, M.; Prakash, K.V.; Peters, G.J.; Mayur, Y.C. Acridone-pyrimidine hybrids- design, synthesis, cytotoxicity studies in resistant and sensitive cancer cells and molecular docking studies. Eur. J. Med. Chem. 2017, 139, 961–981. [Google Scholar] [CrossRef]
- Alwan, W.S.; Mahajan, A.A.; Rane, R.A.; Amritkar, A.A.; Naphade, S.S.; Yerigiri, M.C.; Karpoormath, R. Acridone-based antitumor agents: A mini-review. Anti-Cancer Agents Med. Chem. 2015, 15, 1012–1025. [Google Scholar] [CrossRef] [PubMed]
- Xu, L.; Li, S.; Liang, Z.; Lin, H.; Fu, R. Acridone suppresses the proliferation of human breast cancer cells in vitro via ATP-binding cassette subfamily G member 2. Oncol. Lett. 2018, 15, 2651–2654. [Google Scholar] [CrossRef] [PubMed]
- Xia, Y.F.; Chu, H.J.; Kuang, G.F.; Jiang, G.J.; Che, Y.C. Inhibition effects of acridone on the growth of breast cancer cells in vivo. Eur. Rev. Med. Pharmacol. Sci. 2018, 22, 2356–2363. [Google Scholar] [CrossRef] [PubMed]
- Chiang, Y.C.; Lai, Z.L.; Chen, C.M.; Chang, C.C.; Liu, B. Construction of emission-tunable nanoparticles based on a TICT-AIEgen: Impact of aggregation-induced emission versus twisted intramolecular charge transfer. J. Mater. Chem. B 2018, 6, 2869–2876. [Google Scholar] [CrossRef] [PubMed]
- Chen, J.W.; Chang, C.C. A Dual Anticancer Efficacy Molecule: A Selective Dark Cytotoxicity Photosensitizer. ACS Appl. Mater. Interfaces 2016, 8, 29883–29892. [Google Scholar] [CrossRef]






Publisher’s Note: MDPI stays neutral with regard to jurisdictional claims in published maps and institutional affiliations. |
© 2020 by the authors. Licensee MDPI, Basel, Switzerland. This article is an open access article distributed under the terms and conditions of the Creative Commons Attribution (CC BY) license (http://creativecommons.org/licenses/by/4.0/).
Share and Cite
Chan, Y.-C.; Li, C.-Y.; Lai, C.-W.; Wu, M.-W.; Tseng, H.-J.; Chang, C.-C. Synthesis and Application in Cell Imaging of Acridone Derivatives. Appl. Sci. 2020, 10, 8708. https://doi.org/10.3390/app10238708
Chan Y-C, Li C-Y, Lai C-W, Wu M-W, Tseng H-J, Chang C-C. Synthesis and Application in Cell Imaging of Acridone Derivatives. Applied Sciences. 2020; 10(23):8708. https://doi.org/10.3390/app10238708
Chicago/Turabian StyleChan, Yung-Chieh, Chia-Ying Li, Chin-Wei Lai, Min-Wei Wu, Hao-Jui Tseng, and Cheng-Chung Chang. 2020. "Synthesis and Application in Cell Imaging of Acridone Derivatives" Applied Sciences 10, no. 23: 8708. https://doi.org/10.3390/app10238708
APA StyleChan, Y.-C., Li, C.-Y., Lai, C.-W., Wu, M.-W., Tseng, H.-J., & Chang, C.-C. (2020). Synthesis and Application in Cell Imaging of Acridone Derivatives. Applied Sciences, 10(23), 8708. https://doi.org/10.3390/app10238708

