Photodegradation of Phenolic Compounds from Water in the Presence of a Pd-Containing Exhausted Adsorbent
Abstract
1. Introduction
2. Materials and Methods
2.1. Obtaining and Characterization of the Pd-Based Photocatalyst
2.2. Application of the Pd-Based Photocatalyst in the Degradation Process of Phenol
3. Results and Discussion
3.1. Characterization of the Pd-Based Photocatalyst
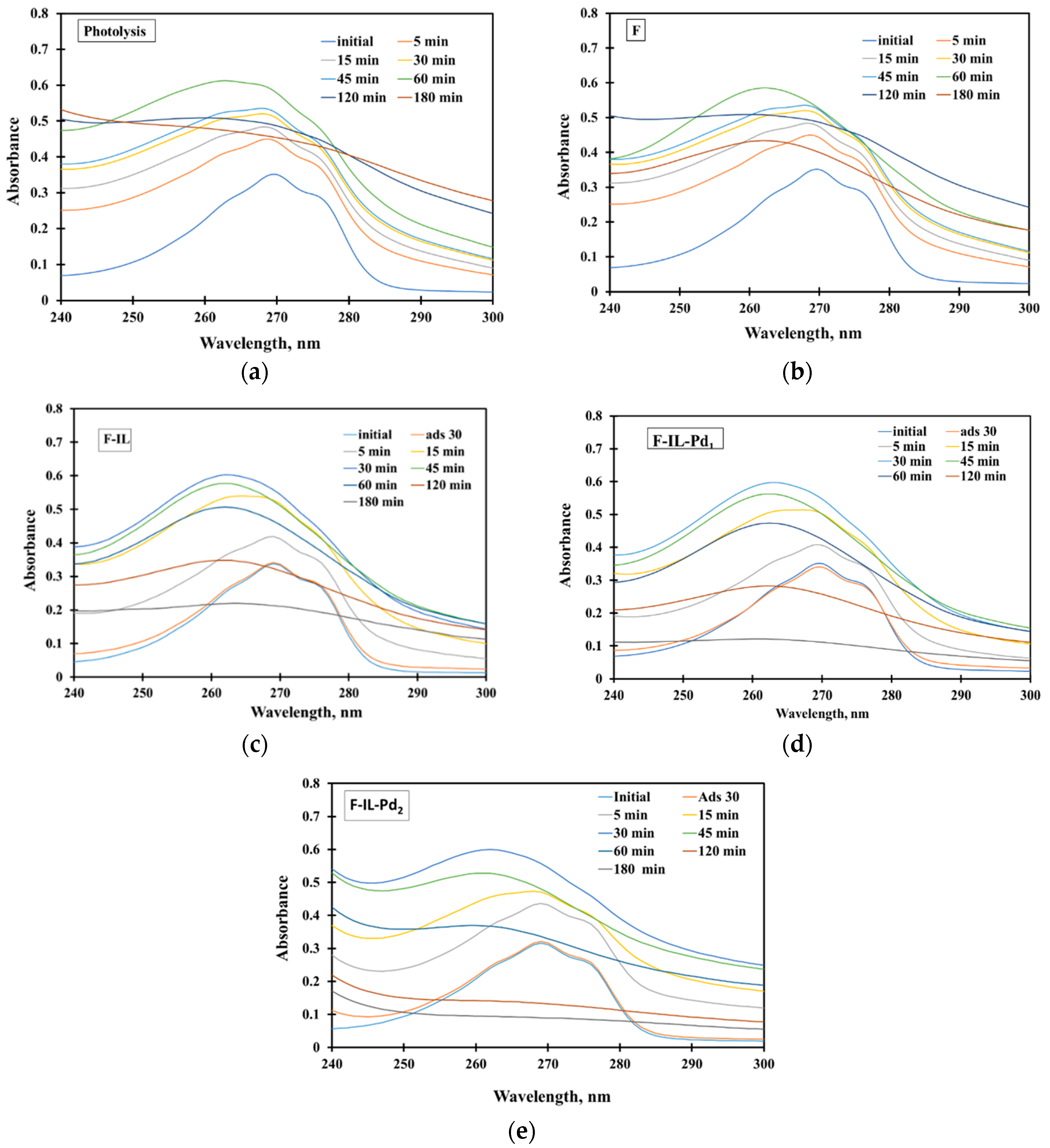
3.2. Application of the Pd-Based Photocatalyst in the Degradation Process of Phenol
3.2.1. Influence of the Photocatalyst Nature
3.2.2. Influence of the S:L Ratio
3.2.3. Influence of the Photocatalyst Reuse
3.2.4. Mechanism of Phenol Degradation
4. Conclusions
Author Contributions
Funding
Acknowledgments
Conflicts of Interest
References
- Xie, F.; Fan, R.; Yi, Q.; Fan, Z.; Zhang, Q.; Luo, Z. Adsorption recovery of Pd(II) from aqueous solutions by persimmon residual based bio-sorbent. Hydrometallurgy 2016, 165, 323–328. [Google Scholar] [CrossRef]
- Seo, Y.; Morimoto, S. Analyzing Platinum and Palladium Consumption and Demand Forecast in Japan. Resources 2017, 6, 61. [Google Scholar] [CrossRef]
- Cieszynska, A.; Wisniewski, M. Selective extraction of palladium(II) from hydrochloric acid solutions with phosphonium extractants. Sep. Purif. Technol. 2011, 80, 385–389. [Google Scholar] [CrossRef]
- Paiva, A.P.; Ortet, O.; Carvalho, G.I.; Nogueira, C.A. Recovery of palladium from a spent industrial catalyst through leaching and solvent extraction. Hydrometallurgy 2017, 171, 394–401. [Google Scholar] [CrossRef]
- Cieszynska, A.; Regel-Rosocka, M.; Wisniewski, M. Extraction of Palladium(II) Ions from Chloride Solutions with Phosphonium Ionic Liquid Cyphos®IL101. Pol. J. Chem. Technol. 2007, 9, 99–101. [Google Scholar] [CrossRef]
- Schoeman, E.; Bradshaw, S.M.; Akdogan, G.; Eksteen, J.J. The recovery of platinum, palladium, and gold from a cyanide heap solution, with use of ion exchange resins. In Proceedings of the 5th International Platinum Conference “A Catalyst for Change”, Sun City, South Africa, 18–20 September 2012; pp. 729–742. [Google Scholar]
- Els, E.; Lorenzen, L.; Aldrich, C. The recovery of palladium with the use of ion exchange resins. Miner. Eng. 1997, 10, 1177–1181. [Google Scholar] [CrossRef]
- Wołowicz, A.; Hubicki, Z. Comparison of strongly basic anion exchange resins applicability for the removal of palladium(II) ions from acidic solutions. Chem. Eng. J. 2011, 171, 206–215. [Google Scholar] [CrossRef]
- Kim, S.; Lee, C.K.; Lee, J.-C.; Rhee, K.-I.; Sohn, H.-J.; Kang, T. Electrowinning of Platinum Using a Modified Cyclone Reactor. Resour. Process. 2004, 51, 48–51. [Google Scholar] [CrossRef][Green Version]
- Di Natale, F.; Orefice, M.; La Motta, F.; Erto, A.; Lancia, A. Unveiling the potentialities of activated carbon in recovering palladium from model leaching solutions. Sep. Purif. Technol. 2017, 174, 183–193. [Google Scholar] [CrossRef]
- Das, N. Recovery of precious metals through biosorption—A review. Hydrometallurgy 2010, 103, 180–189. [Google Scholar] [CrossRef]
- Mack, C.; Wilhelmi, B.; Duncan, J.; Burgess, J.E. Biosorption of precious metals. Biotechnol. Adv. 2007, 25, 264–271. [Google Scholar] [CrossRef]
- Snyders, C.; Bradshaw, S.; Akdogan, G.; Eksteen, J. The effect of temperature, cyanide and base metals on the adsorption of Pt, Pd and Au onto activated carbon. Hydrometallurgy 2014, 149, 132–142. [Google Scholar] [CrossRef]
- Nagireddi, S.; Katiyar, V.; Uppaluri, R. Pd(II) adsorption characteristics of glutaraldehyde cross-linked chitosan copolymer resin. Int. J. Biol. Macromol. 2017, 94, 72–84. [Google Scholar] [CrossRef]
- Cataldo, S.; Gianguzza, A.; Pettignano, A. Sorption of Pd(II) ion by calcium alginate gel beads at different chloride concentrations and pH. A kinetic and equilibrium study. Arab. J. Chem. 2016, 9, 656–667. [Google Scholar] [CrossRef]
- Kochkar, H.; Turki, A.; Bergaoui, L.; Berhault, G.; Ghorbel, A. Study of Pd(II) adsorption over titanate nanotubes of different diameters. J. Colloid Interface Sci. 2009, 331, 27–31. [Google Scholar] [CrossRef] [PubMed]
- Liu, L.; Liu, S.; Zhang, Q.; Li, C.; Bao, C.; Liu, X.; Xiao, P. Adsorption of Au(III), Pd(II), and Pt(IV) from Aqueous Solution onto Graphene Oxide. J. Chem. Eng. Data 2012, 58, 209–216. [Google Scholar] [CrossRef]
- Cieszynska, A.; Wisniewski, M. Extraction of palladium(II) from chloride solutions with Cyphos®IL 101/toluene mixtures as novel extractant. Sep. Purif. Technol. 2010, 73, 202–207. [Google Scholar] [CrossRef]
- Regel-Rosocka, M.; Rzelewska, M.; Baczynska, M.; Janus, M.; Wisniewski, M. Removal of palladium(II) from aqueous chloride solutions with Cyphos phosphonium ionic liquids as metal ion carriers for liquid-liquid extraction and transport across polymer inclusion membranes. Physicochem. Probl. Miner. Process 2015, 51, 621–631. [Google Scholar] [CrossRef]
- Sharma, S.; Wu, C.-M.; Koodali, R.T.; Rajesh, N. An ionic liquid-mesoporous silica blend as a novel adsorbent for the adsorption and recovery of palladium ions, and its applications in continuous flow study and as an industrial catalyst. RSC Adv. 2016, 6, 26668–26678. [Google Scholar] [CrossRef]
- Sharma, S.; Rajesh, N. Synergistic influence of graphene oxide and tetraoctylammonium bromide (frozen ionic liquid) for enhanced adsorption and recovery of palladium from an industrial spent catalyst. J. Environ. Chem. Eng. 2016, 4, 4287–4298. [Google Scholar] [CrossRef]
- Jouannin, C.; Vincent, C.; Dez, I.; Gaumont, A.-C.; Vincent, T.; Guibal, E. Study of Alginate-Supported Ionic Liquid and Pd Catalysts. Nanomaterials 2012, 2, 31–53. [Google Scholar] [CrossRef] [PubMed]
- Lupa, L.; Popa, A.; Vodă, R.; Negrea, P.; Ciopec, M.; Vasile, A. Strontium adsorption on ionic liquid impregnated Florisil: Fixed-bed column studies. Sep. Sci. Technol. 2016, 51, 2554–2564. [Google Scholar] [CrossRef]
- Lupa, L.; Negrea, A.; Ciopec, M.; Negrea, P.; Vodă, R. Ionic liquids impregnated onto inorganic support used for thallium adsorption from aqueous solutions. Sep. Purif. Technol. 2015, 155, 75–82. [Google Scholar] [CrossRef]
- Lupa, L. Palladium Adsorption on Ionic Liquid Impregnated Florisil. Available online: https://search.proquest.com/openview/bf90ac3233e145b6bb595911461326f8/1?pq-origsite=gscholar&cbl=1536338 (accessed on 23 January 2020).
- Decision No 1386/2013/EU of the European Parlament and of the Council of 20 November 2013—On a General Union Environment Action Programme to 2020 ‘Living Well, within the Limits of Our Planet’. Available online: https://eur-lex.europa.eu/legal-content/EN/TXT/?uri=CELEX%3A32013D1386 (accessed on 15 November 2020).
- Lin, H.; Liu, Y.; Deng, J.; Zhang, K.; Zhang, X.; Xie, S.; Zhao, X.; Yang, J.; Han, Z.; Dai, H. Au−Pd/mesoporous Fe2O3: Highly active photocatalysts for the visible-light-driven degradation of acetone. J. Environ. Sci. 2018, 70, 74–86. [Google Scholar] [CrossRef]
- Meng, X.; Li, Z.; Zhang, Z. Highly efficient degradation of phenol over a Pd-BiOBr Mott–Schottky plasmonic photocatalyst. Mater. Res. Bull. 2018, 99, 471–478. [Google Scholar] [CrossRef]
- Meng, X.; Meng, X. Pd-doped Bi2MoO6 plasmonic photocatalysts with enhanced visible light photocatalytic performance. Appl. Surf. Sci. 2017, 392, 169–180. [Google Scholar] [CrossRef]
- Zhang, K.; Liu, Y.; Deng, J.; Xie, S.; Zhao, X.; Yang, J.; Han, Z.; Dai, H. Co–Pd/BiVO4: High-performance photocatalysts for the degradation of phenol under visible light irradiation. Appl. Catal. B Environ. 2018, 224, 350–359. [Google Scholar] [CrossRef]
- Lupa, L.; Cocheci, L.; Pode, R.; Hulka, I. Phenol adsorption using Aliquat 336 functionalized Zn-Al layered double hydroxide. Sep. Purif. Technol. 2018, 196, 82–95. [Google Scholar] [CrossRef]
- Seftel, E.; Puscasu, M.; Mertens, M.; Cool, P.; Carja, G. Assemblies of nanoparticles of CeO2–ZnTi-LDHs and their derived mixed oxides as novel photocatalytic systems for phenol degradation. Appl. Catal. B Environ. 2014, 157–166. [Google Scholar] [CrossRef]
- Seftel, E.; Puscasu, M.; Mertens, M.; Cool, P.; Carja, G. Fabrication of CeO2/LDHs self-assemblies with enhanced photocatalytic performance: A case study on ZnSn-LDH matrix. Appl. Catal. B Environ. 2015, 164, 251–260. [Google Scholar] [CrossRef]
- Selishchev, D.; Kolobov, N.; Bukhtiyarov, A.; Gerasimov, E.; Gubanov, A.; Kozlov, D. Deposition of Pd nanoparticles on TiO2 using a Pd(acac) 2 precursor for photocatalytic oxidation of CO under UV-LED irradiation. Appl. Catal. B Environ. 2018, 235, 214–224. [Google Scholar] [CrossRef]
- Fan, Q.; He, S.; Hao, L.; Liu, X.; Zhu, Y.; Xu, S.; Zhang, F. Photodeposited Pd Nanoparticles with Disordered Structure for Phenylacetylene Semihydrogenation. Sci. Rep. 2017, 7, 42172. [Google Scholar] [CrossRef] [PubMed]
- Maicu, M.; Hidalgo, M.; Colón, G.; Navío, J.A. Comparative study of the photodeposition of Pt, Au and Pd on pre-sulphated TiO2 for the photocatalytic decomposition of phenol. J. Photochem. Photobiol. A Chem. 2011, 217, 275–283. [Google Scholar] [CrossRef]
- Nickheslat, A.; Amin, M.-M.; Izanloo, H.; Fatehizadeh, A.; Mousavi, S.M. Phenol Photocatalytic Degradation by Advanced Oxidation Process under Ultraviolet Radiation Using Titanium Dioxide. J. Environ. Public Heal. 2013, 2013, 815310. [Google Scholar] [CrossRef]
- Laoufi, N.A.; Tassalit, D.; Bentahar, F. The degradation of phenol in water solution by TiO2 photocatalysis in a helical reactor. Glob. NEST J. 2013, 10, 404–418. [Google Scholar] [CrossRef]
- Dewidar, H.; Nosier, S.; El-Shazly, A. Photocatalytic degradation of phenol solution using Zinc Oxide/UV. J. Chem. Heal. Saf. 2018, 25, 2–11. [Google Scholar] [CrossRef]
- Yilleng, M.T.; Gimba, E.C.; Ndukwe, G.I.; Bugaje, I.M.; Rooney, D.W.; Manyar, H.G. Batch to continuous photocatalytic degradation of phenol using TiO2 and Au-Pd nanoparticles supported on TiO2. J. Environ. Chem. Eng. 2018, 6, 6382–6389. [Google Scholar] [CrossRef]












| Element | Atomic Conc. (%) | Mass Conc. (%) |
|---|---|---|
| C | 20.25 | 11.91 |
| Pd | 2.76 | 14.39 |
| O | 53.68 | 42.06 |
| Si | 19.40 | 26.68 |
| Mg | 1.85 | 2.20 |
| P | 0.32 | 0.48 |
| Cl | 0.52 | 0.90 |
| Na | 1.22 | 1.38 |
| Element | Assignment | Binding Energy (eV) | Relative Conc. (%) |
|---|---|---|---|
| C 1 s | Caliphatic | 285 * | 98.25 |
| Chetero | 286.6 | 1.75 | |
| Pd 3d | Pd2+ | 337.2 | 86.27 |
| Pd4+ | 338.5 | 13.73 |
| Photocatalyst | Phenol Initial Concentration, mg/L | Degradation Degree, % | Treatment Time, min | References |
|---|---|---|---|---|
| Titanium dioxide-coated on the inner and outer quartz glass tubes | 30 | 50 | 300 | [37] |
| Titanium dioxide (TiO2) Degussa P25 (80% anatase, 20% rutile) | 20 | 83.9 | 360 | [38] |
| ZnO | 25 | 78.2 | 90 | [39] |
| 0.5% Pd-0.5% Au/TiO2 | 94.11 | 69 | 5520 | [40] |
| F-IL-Pd | 20 | 78.6 | 180 | Present work |
Publisher’s Note: MDPI stays neutral with regard to jurisdictional claims in published maps and institutional affiliations. |
© 2020 by the authors. Licensee MDPI, Basel, Switzerland. This article is an open access article distributed under the terms and conditions of the Creative Commons Attribution (CC BY) license (http://creativecommons.org/licenses/by/4.0/).
Share and Cite
Lupa, L.; Cocheci, L.; Trica, B.; Coroaba, A.; Popa, A. Photodegradation of Phenolic Compounds from Water in the Presence of a Pd-Containing Exhausted Adsorbent. Appl. Sci. 2020, 10, 8440. https://doi.org/10.3390/app10238440
Lupa L, Cocheci L, Trica B, Coroaba A, Popa A. Photodegradation of Phenolic Compounds from Water in the Presence of a Pd-Containing Exhausted Adsorbent. Applied Sciences. 2020; 10(23):8440. https://doi.org/10.3390/app10238440
Chicago/Turabian StyleLupa, Lavinia, Laura Cocheci, Bogdan Trica, Adina Coroaba, and Adriana Popa. 2020. "Photodegradation of Phenolic Compounds from Water in the Presence of a Pd-Containing Exhausted Adsorbent" Applied Sciences 10, no. 23: 8440. https://doi.org/10.3390/app10238440
APA StyleLupa, L., Cocheci, L., Trica, B., Coroaba, A., & Popa, A. (2020). Photodegradation of Phenolic Compounds from Water in the Presence of a Pd-Containing Exhausted Adsorbent. Applied Sciences, 10(23), 8440. https://doi.org/10.3390/app10238440

