Antioxidant and Potentially Anti-Inflammatory Properties in Pasta Fortified with Onion Skin
Abstract
1. Introduction
2. Materials and Methods
2.1. Materials
2.2. Pasta Production
2.3. Preparation of Extracts
2.4. Determination of Phenolic Acid Content (PAC)
2.5. HPLC Analysis
2.6. Antioxidant Activities
2.7. Inhibition of Lipoxygenase (LOX) Activity
2.8. Statistical Analysis
3. Results and Discussion
3.1. Phenolic Compound Content
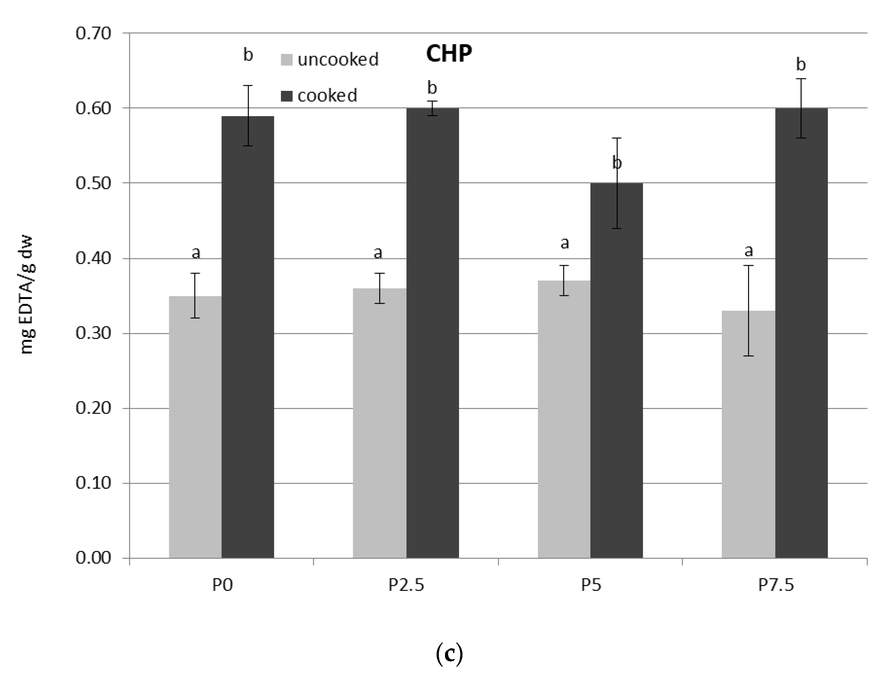
3.2. Antioxidant Activity
3.3. Anti-Inflammatory Properties
4. Conclusions
Author Contributions
Funding
Conflicts of Interest
References
- FAO. Available online: http://faostat.fao.org/site/567/default.aspx#ancor (accessed on 2 August 2019).
- Michalak-Majewska, M.; Czernecki, T.; Radzki, W. Effect of age and gender on consumption of different forms of alliaceous vegetables and their dietary supplements in south-east Europe. Polish J. Commod. Sci. 2015, 3, 50–57. [Google Scholar]
- Marrelli, M.; Amodeo, V.; Statti, G.; Conforti, F. Biological properties and bioactive components of Allium cepa L.: Focus on potential benefits in the treatment of obesity and related comorbidities. Molecules 2019, 24, 119. [Google Scholar] [CrossRef] [PubMed]
- Shafiq, S.; Shakir, M.; Ali, Q. Medicinal uses of onion (Allium cepa L.): An overview. Life Sci. J. 2017, 14, 100–107. [Google Scholar]
- Bhattacharjee, S.; Sultana, A.; Sazzad, M.H.; Islam, M.A.; Ahtashom, M.M.; Asaduzzaman, M. Analysis of the proximate composition and energy values of two varieties of onion (Allium cepa L.) bulbs of different origin: A comparative study. Int. J. Nutr. Food Sci. 2013, 2, 246–253. [Google Scholar] [CrossRef]
- Lee, J.; Mitchell, A.E. Quercetin and isorhamnetin glycosides in onion (Allium cepa L.): Varietal comparison, physical distribution, coproduct evaluation, and long-term storage stability. J. Agric. Food Chem. 2011, 59, 857–863. [Google Scholar] [CrossRef]
- Özcan, M.M.; Süleyman, D.; Uslu, N. Effect of species on total phenol, antioxidant activity and phenolic compounds of different wild onion bulbs. J. Food Meas. Charact. 2018, 12, 902–905. [Google Scholar] [CrossRef]
- Sharma, K.; Mahato, N.; Nile, S.H.; Lee, E.T.; Lee, Y.R. Economical and environmentally-friendly approaches for usage of onion (Allium cepa L.) waste. Food Funct. 2016, 7, 3354–3369. [Google Scholar] [CrossRef]
- Sindhu, R.; Gnansounou, E.; Rebello, S.; Binod, P.; Varjani, S.; Thakur, I.; Shekhar, N.R.B.; Pandey, A. Conversion of food and kitchen waste to value-added products. J. Environ. Manag. 2019, 241, 619–630. [Google Scholar] [CrossRef]
- Benítez, V.; Mollá, E.; Martín-Cabrejas, M.A.; Aguilera, Y.; López-Andréu, F.J.; Cools, K.; Terry, L.A.; Esteban, R.M. Characterization of industrial onion wastes (Allium cepa L.): Dietary fibre and bioactive compounds. Plant. Food Hum. Nutr. 2011, 66, 48–57. [Google Scholar] [CrossRef]
- Gawlik-Dziki, U.; Kaszuba, K.; Piwowarczyk, K.; Świeca, M.; Dziki, D.; Czyż, J. Onion skin—raw material for the production of supplement that enhances the health-beneficial properties of wheat bread. Food Res. Inter. 2015, 73, 97–106. [Google Scholar] [CrossRef]
- Wiczkowski, W.; Nèmeth, K.; Buciński, A.; Piskuła, M.K. Bioavailability of quercetin from flesh scales and dry skin of onion in rats. Pol. J. Food Nutr. Sci. 2003, 12, 95–99. [Google Scholar]
- Wiczkowski, W.; Romaszko, J.; Bucinski, A.; Szawara-Nowak, D.; Honke, J.; Zieliński, H.; Piskuła, M.K. Quercetin from shallots (Allium cepa L. var. aggregatum) is more bioavailable than its glucosides. J. Nutr. 2008, 138, 885–888. [Google Scholar] [CrossRef] [PubMed]
- Ahmed, M.; Eun, J.B. Flavonoids in fruits and vegetables after thermal and nonthermal processing: A review. Crit. Rev. Food Sci. Nutr. 2018, 58, 3159–3188. [Google Scholar] [CrossRef] [PubMed]
- Nèmeth, K.; Takàcsova, M.; Piskuła, M.K. Effect of cooking on yellow onion quercetin. Pol. J. Food Nutr. Sci. 2003, 12, 170–174. [Google Scholar]
- Michalak-Majewska, M.; Teterycz, D.; Muszyński, S.; Radzki, W.; Sykut-Domańska, E. Influence of onion skin powder on nutritional and quality attributes of wheat pasta. PLoS ONE 2020, 15, 0227942. [Google Scholar] [CrossRef]
- Sęczyk, Ł.; Świeca, M.; Gawlik-Dziki, U. Nutritional and health-promoting properties of bean paste fortified with onion skin in the light of phenolic—food matrix interactions. Food Funct. 2015, 6, 3560–3566. [Google Scholar] [CrossRef]
- Sayed, H.S.; Hassan, N.M.M.; El khalek, M.H.A. The effect of using onion skin powder as a source of dietary fiber and antioxidants on properties of dried and fried noodles. Curr. Sci. Int. 2014, 3, 468–475. [Google Scholar]
- Gawlik-Dziki, U.; Świeca, M.; Dziki, D.; Baraniak, B.; Tomiło, J.; Czyż, J. Quality and antioxidant properties of breads enriched with dry onion (Allium cepa L.) skin. Food Chem. 2013, 138, 1621–1628. [Google Scholar] [CrossRef]
- Tonyali, B.; Sensoy, I. The effect of onion skin powder addition on extrudate properties. Acta Hortic. 2017, 1152, 393–398. [Google Scholar] [CrossRef]
- Mourtzinos, I.; Prodromidis, P.; Grigorakis, S.; Makris, D.P.; Biliaderis, C.G.; Moschakis, T. Natural food colorants derived from onion wastes: Application in a yoghurt product. Electrophoresis 2018, 39, 1975–1983. [Google Scholar] [CrossRef]
- Pucciarini, L.; Ianni, F.; Petesse, V.; Pellati, F.; Brighenti, V.; Volpi, C.; Gargaro, M.; Natalini, F.; Clementi, C.; Sardella, R. Onion (Allium cepa L.) skin: A rich resource of biomolecules for the sustainable production of colored biofunctional textiles. Molecules 2019, 24, 634. [Google Scholar] [CrossRef] [PubMed]
- Krishnan, M.; Prabhasankar, P. Health based pasta: Redefining the concept of the next generation convenience food. Crit. Rev. Food Sci. Nutr. 2012, 52, 9–20. [Google Scholar] [CrossRef] [PubMed]
- Trigo, J.P.; Alexandre, E.M.M.C.; Saraiva, J.A.; Pintado, M.E. High value-added compounds from fruit and vegetable by-products—Characterization, bioactivities, and application in the development of novel food products. Crit. Rev. Food Sci. Nutr. 2019, 11, 1–29. [Google Scholar] [CrossRef] [PubMed]
- Jalgaonkar, K.; Jha, S.K.; Mahawar, M.K. Influence of incorporating defatted soy flour, carrot powder, mango peel powder, and moringa leaves powder on quality characteristics of wheat semolina-pearl millet pasta. J. Food Proc. Preserv. 2018, 42, e13575. [Google Scholar] [CrossRef]
- Padalino, L.; Conte, A.; Lecce, L.; Likyova, D.; Sicari, V.; Pellicanò, T.M.; Poiana, M.; Del Nobile, M.A. Functional pasta with tomato by-product as a source of antioxidant compounds and dietary fibre. Czech. J. Food Sci. 2017, 35, 48–56. [Google Scholar]
- Pasqualone, A.; Punzi, R.; Trani, A.; Summo, C.; Paradiso, V.M.; Caponio, F.; Gambacorta, G. Enrichment of fresh pasta with antioxidant extracts obtained from artichoke canning by-products by ultrasound-assisted technology and quality characterisation of the end product. Int. J. Food Sci. Technol. 2017, 52, 2078–2087. [Google Scholar] [CrossRef]
- Kaur, G.; Sharma, S.; Nagi, H.P.S.; Dar, B.N. Functional properties of pasta enriched with variable cereal brans. J. Food Sci. Technol. 2012, 49, 467–474. [Google Scholar] [CrossRef]
- Gallegos-Infante, J.A.; Rocha-Guzman, N.E.; Gonzalez-Laredo, R.F.; Ochoa-Martínez, L.A.; Corzo, N.; Bello-Perez, L.A.; Medina-Torres, L.; Peralta-Alvarez, L.E. Quality of spaghetti pasta containing Mexican common bean flour (Phaseolus vulgaris L.). Food Chem. 2010, 119, 1544–1549. [Google Scholar] [CrossRef]
- Padalino, L.; D’Antuono, I.D.; Durante, M.; Conte, A.; Cardinali, A.; Linsalata, V.; Mita, G.; Logrieco, A.F.; Del Nobile, M.A. Use of olive oil industrial by-product for pasta enrichment. Antioxidants 2018, 7, 59. [Google Scholar] [CrossRef]
- Liu, T.; Hamid, N.; Kantono, K.; Pereira, L.; Farouk, M.; Knowles, S.O. Effects of meat addition on pasta structure, nutrition and in vitro digestibility. Food Chem. 2016, 213, 108–114. [Google Scholar] [CrossRef]
- Lu, X.; Brennan, M.A.; Serventi, L.; Liu, J.; Guan, W.; Brennan, C.S. Addition of mushroom powder to pasta enhances the antioxidant content and modulates the predictive glycaemic response of pasta. Food Chem. 2018, 264, 199–209. [Google Scholar] [CrossRef] [PubMed]
- Złotek, U. Antioxidative, potentially anti-inflammatory, and antidiabetic properties, as well as oxidative stability and acceptability, of cakes supplemented with elicited basil. Food Chem. 2018, 243, 168–174. [Google Scholar] [CrossRef] [PubMed]
- Szaufer-Hajdrych, M. Phenolic acids in leaves of species of the Aquilegia genus. Herba Polonica 2004, 50, 10–14. [Google Scholar]
- Ko, E.Y.; Nile, S.H.; Sharma, K.; Li, G.H.; Park, S.W. Effect of different exposed lights on quercetin and quercetin glucoside content in onion (Allium cepa L.). Saudi J. Biol. Sci. 2015, 22, 398–403. [Google Scholar] [CrossRef] [PubMed]
- Re, R.; Pellegrini, N.; Proteggente, A.; Pannala, A.; Yang, M.; Rice-Evans, C. Antioxidant activity applying an improved ABTS radical cation decolorization assay. Free Radic. Biol. Med. 1999, 26, 1231–1237. [Google Scholar] [CrossRef]
- Guo, J.T.; Lee, H.L.; Chiang, S.H.; Lin, H.I.; Chang, C.Y. Antioxidant properties of the extracts from different parts of broccoli in Taiwan. J. Food Drug Anal. 2001, 9, 96–101. [Google Scholar] [CrossRef]
- Oyaizu, M. Studies on products of browning reaction antioxidative activities of products of browning reaction prepared from glucosamine. Jpn. J. Nutr. 1986, 44, 307–315. [Google Scholar] [CrossRef]
- Szymanowska, U.; Jakubczyk, A.; Baraniak, B.; Kur, A. Characterisation of lipoxygenase from pea seeds (Pisum sativum var. Telephone L.). Food Chem. 2009, 116, 906–910. [Google Scholar] [CrossRef]
- Galani, J.H.Y.; Patel, J.S.; Patel, N.J.; Talati, J.G. Storage of fruits and vegetables in refrigerator increases their phenolic acids but decreases the total phenolics, anthocyanins and vitamin c with subsequent loss of their antioxidant capacity. Antioxidants 2017, 6, 59. [Google Scholar] [CrossRef]
- Fuad, T.; Prabhasankar, P. Role of ingredients in pasta product quality: A review on recent development. Crit. Rev. Food Sci. Nutr. 2010, 50, 787–798. [Google Scholar] [CrossRef]
- Fu, B.X.; Chiremba, C.; Pozniak, C.J.; Wang, K.; Nam, S. Total phenolic and yellow pigment contents and antioxidant activities of durum wheat milling fractions. Antioxidants 2017, 6, 78. [Google Scholar] [CrossRef] [PubMed]
- Fares, C.; Platani, C.; Baiano, A.; Menga, V. Effect of processing and cooking on phenolic acid profile and antioxidant capacity of durum wheat pasta enriched with debranning fractions of wheat. Food Chem. 2010, 119, 1023–1029. [Google Scholar] [CrossRef]
- Rajeswari, G.; Susanna, S.; Prabhasankar, P.; Rao, G.V. Influence of onion powder and its hydrocolloid blends on pasta dough, pasting, microstructure, cooking and sensory characteristics. Food Biosci. 2013, 4, 13–20. [Google Scholar] [CrossRef]
- Jambrec, D.; Sakač, M.; Mišan, A.; Mandić, A. Effect of autoclaving and cooking on phenolic compounds in buckwheat-enriched whole wheat tagliatelle. J. Cereal Sci. 2015, 66, 1–9. [Google Scholar] [CrossRef]
- Aranibar, C.; Pigni, N.B.; Martinez, M.; Aguirre, A.; Ribotta, P.; Wunderlin, D.; Borneo, R. Utilization of a partially-deoiled chia flour to improve the nutritional and antioxidant properties of wheat pasta. LWT Food Sci. Technol. 2018, 89, 381–387. [Google Scholar] [CrossRef]
- Zhu, F.; Li, J. Physicochemical and sensory properties of fresh noodles fortified with ground linseed (Linum usitatissimum). LWT Food Sci. Technol. 2019, 101, 847–853. [Google Scholar] [CrossRef]
- Sharma, K.; Ko, E.Y.; Assefa, A.D.; Ha, S.; Nile, S.H.; Lee, E.T.; Park, S.W. Temperature-dependent studies on the total phenolics, flavonoids, antioxidant activities, and sugar content in six onion varieties. J. Food Drug Anal. 2015, 23, 243–252. [Google Scholar] [CrossRef]
- Lesjak, M.; Beara, I.; Simin, N.; Pintać, D.; Majkić, T.; Bekvalac, K.; Orčić, D.; Mimica-Dukić, N. Antioxidant and anti-inflammatory activities of quercetin and its derivatives. J. Func. Food. 2018, 40, 68–75. [Google Scholar] [CrossRef]
- Michalak-Majewska, M.; Sołowiej, B.; Sławińska, A. Antioxidant activity, technological and rheological properties of baked rolls containing dried onions (Allium cepa L.). J. Food Proc. Preserv. 2017, 41, e12914. [Google Scholar] [CrossRef]
- Borrelli, G.M.; Troccoli, A.; Di Fonzo, N.; Fares, C. Durum wheat lipoxygenase activity and other quality parameters that affect pasta colour. Cereal Chem. 1999, 76, 335–340. [Google Scholar] [CrossRef]
- Moyo, S.M.; Mavumengwana, V.; Kayitesi, E. Effects of cooking and drying on phenolic compounds and antioxidant activity of African green leafy vegetables. Food Rev. Int. 2018, 34, 248–264. [Google Scholar] [CrossRef]
- Melini, V.; Meliniand, F.; Acquistucci, R. Phenolic Compounds and Bioaccessibility Thereof inFunctional Pasta. Antioxidants 2020, 9, 343. [Google Scholar] [CrossRef] [PubMed]
- Makris, D.P.; Rossiter, J.T. Domestic processing of onion bulbs (Allium cepa) and asparagus spears (Asparagus officinalis): Effect on flavonol content and antioxidant status. J. Agric. Food Chem. 2001, 49, 3216–3222. [Google Scholar] [CrossRef] [PubMed]
- Hirota, S.; Shimoda, T.; Takahama, U. Tissue and spatial distribution of flavonol and peroxidase in onion bulbs and stability of flavonol glucosides during boiling of the scales. J. Agric. Food Chem. 1998, 46, 3497–3502. [Google Scholar] [CrossRef]
- Grzelak-Błaszczyk, K.; Milala, J.; Kosmala, M.; Kołodziejczyk, K.; Sójka, M.; Czarnecki, A.; Klewicki, R.; Juśkiewicz, J.; Fotschki, B.; Jurgoński, A. Onion quercetin monoglycosides alter microbial activity and increase antioxidant capacity. J. Nutr. Biochem. 2018, 56, 81–88. [Google Scholar] [CrossRef]
- Grzelak-Błaszczyk, K.; Milala, J.; Kołodziejczyk, K.; Sójka, M.; Czarnecki, A.; Kosmala, M.; Klewicki, R.; Fotschki, B.; Jurgoński, A.; Juśkiewicz, J. Protocatechuic acid and quercetin glucosides in onions attenuate changes induced by high fat diet in rats. Food Funct. 2020, 11, 3585–3597. [Google Scholar] [CrossRef]
- Assefa, A.D.; Jeong, Y.J.; Kim, D.J.; Jeon, Y.A.; Lee, J.R.; Ko, H.C.; Baek, H.J.; Sung, J.S. Assessing phenolic content and antioxidant potential diversity in Allium plants using multivariate data analysis. Funct. Hortic. 2018, 59, 759–773. [Google Scholar] [CrossRef]
- Kaur, C.; Joshi, S.; Kapoor, H.C. Antioxidants in onion (Allium cepa L) cultivars grown in India. J. Food Biochem. 2009, 33, 184–200. [Google Scholar] [CrossRef]
- Ndolo, V.U.; Beta, T. Distribution of carotenoids in endosperm, germ, and aleurone fractions of cereal grain kernels. Food Chem. 2013, 139, 663–671. [Google Scholar] [CrossRef]
- Žilić, S.; Serpen, A.; Akillioğlu, G.; Janković, M.; Gökmen, V. Distributions of phenolic compounds, yellow pigments and oxidative enzymes in wheat grains and their relation to antioxidant capacity of bran and debranned flour. J. Cereal Sci. 2012, 56, 652–658. [Google Scholar] [CrossRef]





| Compounds | Raw Pasta Materials | |
|---|---|---|
| SE | OS | |
| PAC (µg/g DW) | 2.74 ± 0.46 a | 28.65 ± 3.14 b |
| Q (mg/g DW) | 0.00 ± 0.00 a | 18.74 ± 0.14 b |
| Q 4′ G (mg/g DW) | 0.00 ± 0.00 a | 4.99 ± 0.18 b |
| Antioxidant activity | SE | OS |
| ABTS+· (mg Trolox/g DW) | 0.09 ± 0.03 a | 4.10 ± 0.93 b |
| RP (mg Trolox/g DW) | 2.36 ± 0.65 a | 9.08 ± 0.69 b |
| CHP (mg EDTA/g DW) | 0.08 ± 0.02 a | 1.01 ± 0.01 b |
| Anti-inflammatory activity | SE | OS |
| LOX inhibition (IC50 mg DW/mL) | 0.2759 ± 0.0029 b | 0.0044 ± 0.0000 a |
| PAC | Q | |
|---|---|---|
| ABTS+· | 0.930 | 0.912 |
| RP | 0.808 | 0.798 |
| CHP | 0.768 | 0.760 |
| LOXI | −0.532 | −0.466 |
Publisher’s Note: MDPI stays neutral with regard to jurisdictional claims in published maps and institutional affiliations. |
© 2020 by the authors. Licensee MDPI, Basel, Switzerland. This article is an open access article distributed under the terms and conditions of the Creative Commons Attribution (CC BY) license (http://creativecommons.org/licenses/by/4.0/).
Share and Cite
Michalak-Majewska, M.; Złotek, U.; Szymanowska, U.; Szwajgier, D.; Stanikowski, P.; Matysek, M.; Sobota, A. Antioxidant and Potentially Anti-Inflammatory Properties in Pasta Fortified with Onion Skin. Appl. Sci. 2020, 10, 8164. https://doi.org/10.3390/app10228164
Michalak-Majewska M, Złotek U, Szymanowska U, Szwajgier D, Stanikowski P, Matysek M, Sobota A. Antioxidant and Potentially Anti-Inflammatory Properties in Pasta Fortified with Onion Skin. Applied Sciences. 2020; 10(22):8164. https://doi.org/10.3390/app10228164
Chicago/Turabian StyleMichalak-Majewska, Monika, Urszula Złotek, Urszula Szymanowska, Dominik Szwajgier, Piotr Stanikowski, Małgorzata Matysek, and Aldona Sobota. 2020. "Antioxidant and Potentially Anti-Inflammatory Properties in Pasta Fortified with Onion Skin" Applied Sciences 10, no. 22: 8164. https://doi.org/10.3390/app10228164
APA StyleMichalak-Majewska, M., Złotek, U., Szymanowska, U., Szwajgier, D., Stanikowski, P., Matysek, M., & Sobota, A. (2020). Antioxidant and Potentially Anti-Inflammatory Properties in Pasta Fortified with Onion Skin. Applied Sciences, 10(22), 8164. https://doi.org/10.3390/app10228164

