Next Article in Journal
Feasibility Study of Pump Units with Various Direct-On-Line Electric Motors Considering Cable and Transformer Losses
Previous Article in Journal
Evaluation of Tensile Shear Strength under Salt Spray Test on Dissimilar Metal Spot Welding of Aluminum Alloy and Galvannealed Steel Sheet
 
 
Font Type:
Arial Georgia Verdana
Font Size:
Aa Aa Aa
Line Spacing:
Column Width:
Background:
Article

Langmuir Probe Diagnostics with Optical Emission Spectrometry (OES) for Coaxial Line Microwave Plasma

School of Electronic Science and Engineering and Terahertz Science and Technology Key Laboratory of Sichuan Province, University of Electronic Science and Technology of China, Chengdu 610054, China
*
Author to whom correspondence should be addressed.
Appl. Sci. 2020, 10(22), 8117; https://doi.org/10.3390/app10228117
Submission received: 28 October 2020 / Revised: 9 November 2020 / Accepted: 12 November 2020 / Published: 16 November 2020
(This article belongs to the Section Optics and Lasers)

Abstract

Featured Application

Plasma diagnostics with a dirty Langmuir Probe.

Abstract

The Langmuir probe is a feasible method to measure plasma parameters. However, as the reaction progresses in the discharged plasma, the contamination would be attached to the probe surface and lead to a higher incorrect electron temperature. Then, the electron density cannot be obtained. This paper reports a simple approach to combining the Langmuir probe and the optical emission spectrometry (OES), which can be used to obtain the electron temperature to solve this problem. Even the Langmuir probe is contaminative, the probe current–voltage (I–V) curve with the OES spectra also gives the approximate electron temperature and density. A homemade coaxial line microwave plasma source driven by a 2.45 GHz magnetron was adopted to verify this mothed, and the electron temperature and density in different pressure (40–80 Pa) and microwave power (400–800 W) were measured to verify that it is feasible.

1. Introduction

In industrial plasma processing, such as microwave plasma chemical vapor deposition (PECVD) [1,2,3], it would be useful to directly control plasma properties such as electron temperature and density [4]. For plasma diagnostics, the Langmuir is widely used [5,6]. A Langmuir probe means a probe placed in charged plasma. Though measuring the current–voltage (I–V) curve, the plasma’s electron temperature and density can be estimated. A lot of Langmuir probe structures have been researched by a lot of institutions around the world to monitor various plasmas.
However, when the Langmuir probe is used to measure plasma for a long time, especially in PECVD, as the plasma reaction proceeds, the Langmuir probe will adsorb impurities and become dirty. Moreover, if the electron temperature and density are obtained by calculating this dirty Langmuir probe (I–V) curve, the electron temperature and density would be incorrect [4,7,8,9]. The contamination on the probe surface is very common in various probe designs. The contamination has become a significant problem that limits the application of the Langmuir probe.
The optical emission spectrometry (OES) is a non-intrusive plasma diagnostics method, which is easy to performed, and it is also frequently used in studies of plasma [10,11,12]. Therefore, the plasma reaction cannot bring contamination to the OES. During the plasma reaction, OES can stably measure reliable electron temperature. The Langmuir can measure both the electron temperature and electron density. Both electron temperature and electron density are very important for diagnosing plasma. However, as the plasma reaction progresses, the contamination is attached to the probe surface. Most of these clean probe methods need to interrupt the plasma reaction. However, in the experiment, the result shows that the contamination on the Langmuir probe has little effect on the ion saturation current, as reported in other articles [7,8,13]. In other words, the ion saturation does not change. Therefore, if the electron temperature Tev can be measured by optical emission spectrometry (OES), the electron density can be calculated from the I–V curve of the probe with contamination. Therefore, combining the Langmuir probe and OES, both electron temperature and density would be measured, even if the probe has been contaminated. In other words, the cleaning interval of the Langmuir probe would be significantly extended.
Based on the above proposal, a verification experiment is carried on and presented in this paper. The experiment has been done in a homemade coaxial line microwave plasma source driven by 2.45 GHz magnetron and using argon as feeding gas. The results show that the contaminative Langmuir probe I–V curve with the OES can give the approximately electron temperature and density. Besides, by measuring the electron temperature and density under different pressures (40–80 Pa) and microwave power (400–800 W), it is proved that this method is feasible.

2. Experiment Setup

The schematic diagram of the microwave-generated plasma system used in the experiment is shown in Figure 1.
The magnetron was used to generate continuous-wave signals at a fixed output frequency of 2.45 GHz. The output power of the magnetron varied from 0–800 W. The output wave was launched into the WR340 waveguide using TE10 mode to transfer. An isolation circulator with a water load in an isolated way was connected to the magnetron. A waveguide coaxial connecter was used for waves to enter the coaxial plasma reaction chamber from the WR340 waveguide. An automated, three stobs tuner was used to match the impedance, so that the maximum amount of power could be coupled with the plasma.
This reaction cavity used a coaxial waveguide for microwave transmission. The external diameter of the coaxial waveguide was 150 mm, and its inner conductor was 8 mm. A hollow glass rod was used to surround the coaxial inner diameter. The inner diameter of the glass tube was 29 mm, and the external diameter was 33 mm. Using two O-ring seals to form a vacuum-sealed cavity in the middle of the glass rod’s outer wall, both ends of the glass rod were connected to an O-ring seal to form a vacuum-sealed cavity between the glass rod’s outer wall and the reaction cavity inner surface. There were several KF flanges on the outer wall of the cavity, and the Langmuir probe was mounted on a KF flange, which is shown in detail in Figure 2.
In the experiment, firstly, a vacuum pump was used to pump the pressure below 10 Pa. Then, the argon flow rate was adjusted to stabilize the working pressure to 80 Pa. After entering the microwave with 800 W power, the plasma was discharged, and the light could be observed from the observation window, as shown in Figure 3.

3. The Method of Electron Density and Temperature by Langmuir Probes

For low-temperature plasmas (<10 eV), the Langmuir probes are generally used to measure the plasma density and electron temperature. A Langmuir probe consists of a bare wire or metal disk, immersed in the plasma, with a sweep voltage to collect electron and ions [5]. In this study, the probe had a 1.0 mm diameter and was 20 mm long, suspended in a 12 mm tube with the vacuum seal at the upper end. The probe tip was a tungsten rod 1 mm in diameter and 8 mm long.
When a probe is immersed in plasmas, the current is dependent on the ions current and the electron current. By loading a sweeping voltage on the probe, the I–V curve of the probe is obtained. According to the different current composition, the I-V curve can be divided into three regions [5]:
(1)
Ion saturation region.
(2)
Transition region.
(3)
Electron saturation region where ions are repelled, but electrons are attracted to the probe.
When a negative voltage is applied on the probe, the positive ions approach to the probe. However, there is an electronic shield on the probe surface, which is the electron Debye length.
The ion saturation region means the probe voltage (Vp) on the probe is sufficiently negative to collect all the ions with the Bohm velocity. The ions are accelerated through a “pre-sheath” to the required energy. When T e T i , the ion saturation current is determined by the electron temperature. Therefore, ion saturation current is, approximately, [7,14,15,16]:
I sat = 0.605 A probe ne kT e mi
Here, e is the electron charge, k is Boltzmann constant, Te is electron temperature, A probe is the surface area of the probe, mi is the ion mass. n is the plasma density in this paper, and we only consider the case where electron density and ion density are equal.
In the transition region, the current consists of both electron current and ions current. Compared to electron current, the ion current is negligible.
The electron current is expressed as follows:
I e = I e 0 exp [ e ( V p V s ) kT e ]
I e 0 = ne ( kT e 2 π m e ) 1 / 2 A probe
Here, Vs is the space potential, I e is the electron current, I e 0 is the saturation electron current. Equation (4) can be achieved by transforming Equation (2). Equation (4) shows that the slope of the (ln I)–Vp curve is exactly 1/TeV (which is convenient to write kTe/e as Te/V, the electron temperature in eV) and is a good measure of the electron temperature [5,7].
lnI e = 1 T ev ( V p V s ) + lnI e 0
Bring the result of Tev into Equation (1), the plasma density (n) can be obtained.
When the plasma is just charged, the I–V curve of the Langmuir probes immersed in coaxial microwave driven plasma is shown in Figure 4, which is measured under the argon fill pressure Pa = 80 Pa and microwave power Mpower = 800 W. The applied voltage on Langmuir probes is AC 60 V-50 Hz.
As shown in Figure 4, when the voltage is positive, the voltage curve is consistent with the current curve. When the voltage is negative, the current curve first decreases with the voltage and then becomes smooth at around about −20 V. This is because +60 V does not make the probe current reach the electron saturation region. Therefore, when the voltage increases from 0 V to 60 V, the current also increases exponentially. When the voltage is less than −20 V, the ion current variation is very small (less than 0.005 mA), and it enters the ion saturation region. Combining the voltage curve and the current curve, the I–V curve of the Langmuir probes containing ion saturation region and transition region can be obtained.
From the I–V curve of the Langmuir probes, the (ln I−Vp) curve slope in the transition region is 0.736, namely Tev.probe = 1.3578 eV. In addition, the average current in the ion saturation current region is 0.0613 mA, namely Isat = 0.0613 mA. Inserting the parameters in Table 1 into Equation (1), it can be found that the density of the plasma is n = 1.3569 × 10 16   m 3 .
The Langmuir probe is a feasible method to measure the plasma. However, as the plasma reaction progresses, there is gradually some phase difference between the voltage curve and the current curve, and the current is decreased compared with the beginning, as shown in Figure 5.
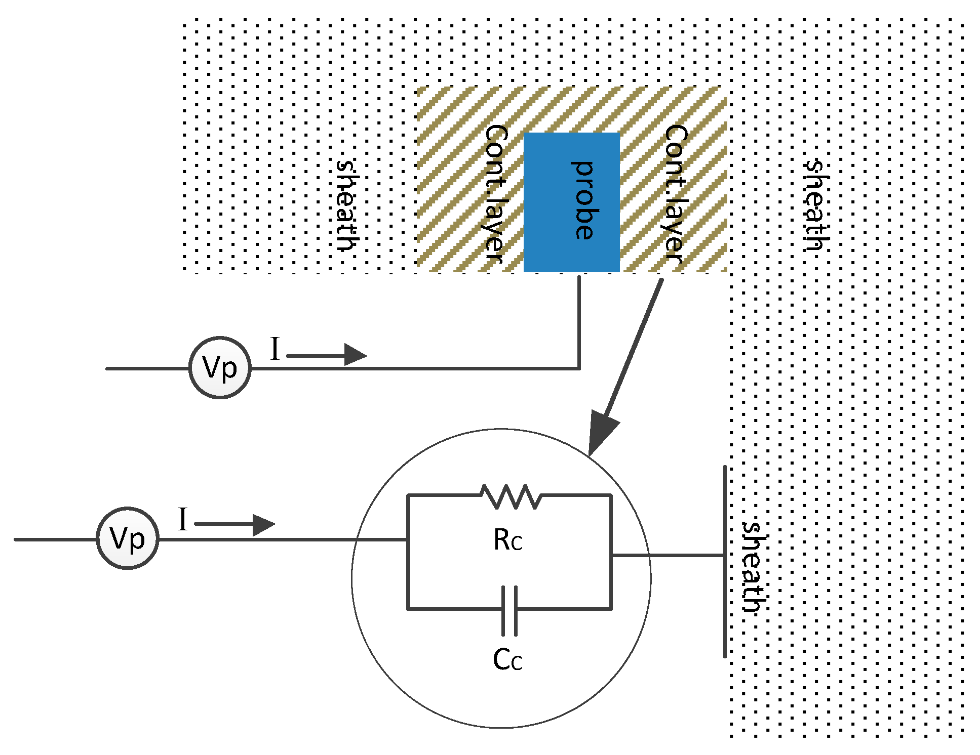
It is generally considered that hysteresis and current decrease are caused by surface contamination. These two features are well explained by the equivalent circuit model, reported by Hirao and Oyama (1972), as shown in Figure 6 [13].
Figure 6 shows that the contamination layer on the probe surface might cause the capacitor Cc and the resister Rc. The Cc and Rc make the hysteresis and current decreased. Therefore, if the power supply of the Langmuir probe is changed from AC to DC, the effect of the capacitor Cc can be counteracted. Loading DC supply on the Langmuir probe and sweeping the voltage from −60 V to +60 V, the I–V curve can be obtained, as shown in Figure 7.
Although the effect of capacitance is eliminated, resistance will still cause erroneous information. It is well known that the contamination attached to the probe surface leads to a higher incorrect electron temperature.
From Figure 7, it can be seen that there is no significant change in ion saturation current. Other studies on probes also show that the contamination on the probe has little effect on ion saturation current [7,8,13]. When the voltage is less than −48 V, the ion current of the probe with contaminations enters the ion-electron saturation region. The average current in this region is 0.0601 mA and is close to the ion saturation of the clean Langmuir probe.
The probe surface cleaning can be done in several ways, such as ion bombardment, warm probe, and emissive probe [17,18,19]. However, most of these methods need to interrupt the plasma reaction. Even the probe has been cleaned, the probe also would be contaminated. In the chemical reaction process such as PECVD, the contamination would be in several minutes. From the above presentation, the Isat can also be measured by the probe with contamination. The electron density n in Equation (4) can be calculated from the I–V curve of the probe with contamination, if the electron temperature Tev is measured by optical emission spectrometry (OES).

4. The Method of Electron Temperature by OES

Because this coaxial line plasma is discharged in the enclosed cavity, and the gas flow rate is relatively low, it is usually considered to work at local thermodynamic equilibrium (LTE) [20]. In this case, electron temperature T e can be determined by the relative intensity of two or more spectral lines of the atoms, which have the same ionized stage. In LTE condition, the radiation energy density can be expressed as [21]:
ε mn = 1 4 π N m A mn hv mn
where the subscripts m and n denotes the upper level and the lower energy level of the particles, respectively. ε mn is the emission coefficients, N m is the particles density of upper level, A mn is the transition probability. hv mn is the energy of the transition, where v mn is the frequency of the radiant wave. Using the speed of the light c, the wavelength of the emission light   λ mn is given by
λ mn = c v mn
This leads immediately to
ε mn = 1 4 π N m A mn hc / λ mn
In complete LTE at the temperature T e (eV), Maxwell–Boltzmann statistics must be applied.
N m N n = g m g n exp ( E m E n kT e )
where g is the statistical weight of the level, E is the energy of the level in eV, k is the Boltzmann constant factor. The emission intensity measured by spectrometer can be written as
I i = ε i V Ω T i r η i λ i
where V is the volume of the measured plasma, Ω is the acceptance of solid angle,   T i r is the transmittance of the plasma,   η i is the efficiency of the spectrometer. The emission coefficients of the two spectral lines can be expressed by the following formula according to Equation (10); hence, the spectral is measured with a fixed position and the same spectrometer [22].
I 1 I 2 = ε 1 ε 2 = λ 2 A 1 g 1 λ 1 A 2 g 2 exp ( E 2 E 1 kT e )
The subscript denotes the chosen spectrum lines. Take the natural logarithm of both sides of Equation (10) leads immediately to
ln ( I 1 λ 1 A 2 g 2 I 2 λ 2 A 2 g 2 ) = E 1 E 2 kT e
Since multiple spectral lines are used to improve accuracy, taking only one spectral line, Equation (11) can be written as:
ln ( λ i I i A i g i ) = 1 kT e E i + C
where C is a constant. Through measurements and NIST atomic spectra database [23], all values except Te . oes are known. Substituting the adopted spectral lines into Equation (12), by fitting the curve’s slope, the electron temperature Tev . oes can be calculated.
The spectrum of this coaxial line plasma is shown in Figure 8, which is measured under the argon fill pressure Pa = 80 Pa and the microwave power Mpower = 800 W.
The spectrum indicates two kinds of particles, nitrogen molecule (N2) and Ar. N2 comes from air residue. The air residue is also one of the important causes of probe contamination. Compared with the nitrogen molecule, the peak of this spectrum of Ar I is very obvious with high intensity, which improves the accuracy of measurement of Tev . oes . Although there are many spectral lines of Ar, this does not mean that all spectral lines are suitable for calculating electron temperature, because some spectral lines have a superposition of other spectral lines with a different wavelength, which is very close; besides, the presence of Stark broadening and Doppler broadening would decrease accuracy. Therefore, those spectral lines with a smaller FWHM should be selected. The parameters required by the selected spectrum lines in this article are given in Table 2.
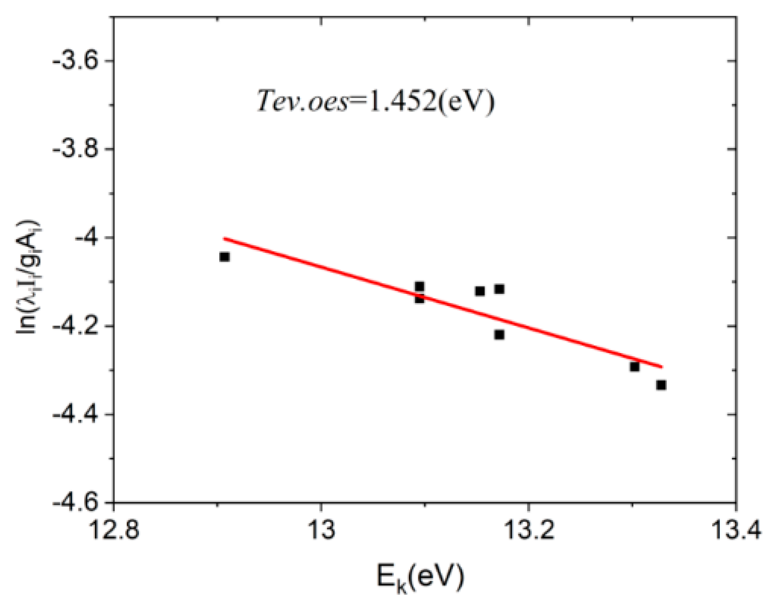
Using the peak value of the normalized intensity in Figure 9 and the parameters in Table 2, the value of the specified spectral line can be calculated. Draw multiple points and perform linear regression; the line’s slope can be used to calculate the electron temperature. The result is presented in Figure 10 and is determined to be 1.452 eV in this configuration. If the electron temperature Tev.oes = 1.452 eV obtained by OES and the ion saturation current Isat = 0.0601 mA obtained by the probe with contamination is taken into Equation (4), the electron density can be obtained, which is n = 1.2839 × 10 16   m 3 .

5. Result and Conclusions

To confirm the reliability of the Langmuir probe and OES, experiments were carried out at different microwave powers and different air pressures. The electron temperature was measured by the clean probe, the probe with contamination, and optical emission spectroscopy method. The electron density was measured by the clean probe, the OES(contribute the Tev.oes), and the probe with contamination(contribute the Isat). The result is shown in Figure 10.
Figure 10 shows that the contamination attached to the probe surface leads to higher incorrect electron temperatures. The electron temperatures obtained by the probe with contamination are about 20 eV higher than the temperatures obtained by the clean probe. When the higher incorrect electron temperatures are used to calculate the density, the result will be significantly less than the correct electron density. Comparing the temperature obtained by OES, the clean probe, and the probe with contamination, the temperature Tev.oes obtained by OES is much closer to Tev.probe obtained by the clean probe than by probe with contamination. The Tev.oes is slightly higher than that Tev.probe obtained by the clean probe, which is maybe caused by the OES measurements only presenting the temperature of a part of electrons, especially the high-energy electrons [20]. The difference between these two electron temperatures decreases as the temperature drops. When the electron temperatures are lower than 1.5 eV, Tev.oes is basically equal to Tev.probe. Therefore, in the low-temperature plasma, especially below 1.5 eV, the electron temperature obtained by OES is accurate. For the high-temperature plasma, the electron temperature obtained may be higher than the correct electron temperature. Moreover, when the Tev.oes is brought into Equation (4), the slightly lower density is obtained in the same Isat. Using this electron temperature, Tev.oes can obtain the approximate electron density from the I–V curve of the Langmuir probe with contamination.
Figure 10 also shows that the electron density is increased with improving microwave power; meanwhile, the electron temperature does not change significantly. Variation of electron density and temperature with pressure are also presented. The results show that when the pressure increases, both the electron density and temperature are decreased.
This paper reports that a simple method to solve the contamination is attached to the probe surface, as the plasma reaction progresses. The electron temperature Tev and electron density n are important parameters in plasma diagnosis. The contamination on the probe surface leads to a higher electron temperature than the correct value. Then, the correct electron density cannot be obtained. The optical emission spectrometry (OES) can be used to solve this problem by obtaining the electron temperature. In addition, the electron temperature obtained by OES spectra can be used to calculate the electron density in the contaminative Langmuir probe I–V curve. The electron temperature and density in different pressure (40–80 Pa) and microwave power (400–800 W) are measured. It shows that this electron temperature and density obtained by this method are close to the clean probe. Therefore, the contaminative Langmuir probe with the OES can give the approximate electron temperature and density, and the cleaning interval of the Langmuir probe could be significantly extended.

Author Contributions

C.C. and W.F. contributed to the overall study design, analysis, and writing of the manuscript. C.Z., D.L., M.H., and Y.Y. provided technical support and revised the manuscript. All authors have read and agreed to the published version of the manuscript.

Funding

This work was supported by the National Key Research and Development Program of China under 2019YFA0210202, the National Natural Science Foundation of China under Grant 61971097, the Sichuan Science and Technology Program under Grant 2018HH0136, and the Terahertz Science and Technology Key Laboratory of Sichuan Province Foundation under Grant THZSC201801.

Conflicts of Interest

The authors declare no conflict of interest.

References

  1. Liehr, M.; Dieguez-Campo, M. Microwave PECVD for large area coating. Surf. Coat. Technol. 2005, 200, 21–25. [Google Scholar] [CrossRef]
  2. Gosar, Ž.; Đonlagić, D.; Pevec, S.; Kovăc, J.; Mozetĭc, M.; Primc, G.; Vesel, A.; Zaplotnik, R. Deposition Kinetics of Thin Silica-Like Coatings in a Large Plasma Reactor. Materials 2019, 12, 3238. [Google Scholar] [CrossRef] [PubMed]
  3. Cole, M.T.; Milne, W.I. Plasma Enhanced Chemical Vapour Deposition of Horizontally Aligned Carbon Nanotubes. Materials 2013, 6, 2262–2273. [Google Scholar] [CrossRef] [PubMed]
  4. Šamara, V.; Booth, J.; Marneffe, J.D.; Milenin, A.P.; Brouri, M.; Boullart, W. A dc-pulsed capacitively coupled planar Langmuir probe for plasma process diagnostics and monitoring. Plasma Sources Sci. Technol. 2012, 21, 65004. [Google Scholar] [CrossRef]
  5. Chen, F.F. Langmuir probe diagnostics. In Proceedings of the 2003 IEEE–International Conference on Plasma Science (ICOPS), Jeju, Korea, 2–5 June 2003. [Google Scholar]
  6. Regodón, G.F.; Díaz-Cabrera, J.M.; Fernández Palop, J.I.; Ballesteros, J. Influence of the Ion Mass in the Radial to Orbital Transition in Weakly Collisional Low-Pressure Plasmas Using Cylindrical Langmuir Probes. Appl. Sci. 2020, 10, 5727. [Google Scholar] [CrossRef]
  7. Cherrington, B.E. The Use of Electrostatic Probes for Plasma Dianostics—A Review. Plasma Chem. Plasma Process. 1982, 2, 113–140. [Google Scholar] [CrossRef]
  8. Abe, T.; Oyama, K. An Introduction to Space Instrumentation, 1st ed.; Terra Pub: Okusawa, Tokyo, 2013. [Google Scholar]
  9. Naz, M.Y.; Shukrullah, S.; Ghaffar, A.; Rehman, N.U.; Khan, Y. Test of a new tip material for Langmuir probe diagnostic. J. Appl. Mech. Tech. Phys. 2016, 57, 211–218. [Google Scholar] [CrossRef]
  10. Kau, L.; Huang, H.; Chang, H.; Hsieh, Y.; Lee, C.; Fuh, Y.; Li, T.T. Correlation of Impedance Matching and Optical Emission Spectroscopy during Plasma-Enhanced Chemical Vapor Deposition of Nanocrystalline Silicon Thin Films. Coatings 2019, 9, 305. [Google Scholar] [CrossRef]
  11. Strutynski, C.; Teulé-Gay, L.; Danto, S.; Cardinal, T. Optical Emission Detector Based on Plasma Discharge Generation at the Tip of a Multimaterial Fiber. Sensors 2020, 20, 2353. [Google Scholar] [CrossRef] [PubMed]
  12. Tu, X.; Chéron, B.G.; Yan, J.H.; Cen, K.F. Electrical and spectroscopic diagnostic of an atmospheric double arc argon plasma jet. Plasma Sources Sci. Technol. 2007, 16, 803–812. [Google Scholar] [CrossRef]
  13. Irao, K.; Oyama, K. A Cirtical Study on the Realiability of Electron Temperature Measurements with a Langmuir Probe. J. Geomagn. Geoelectr. 1972, 24, 415–427. [Google Scholar]
  14. Riemann, K.-U. The Bohn sheath criterion and sheath formation. J. Phys. D 1991, 24, 493–518. [Google Scholar] [CrossRef]
  15. Severn, G.D. A note on the plasma sheath and the Bohm criterion. Am. J. Phys. 2007, 75, 92–94. [Google Scholar] [CrossRef]
  16. Merlino, R.L. Understanding Langmuir probe current-voltage characteristics. Am. J. Phys. 2007, 75, 1078–1085. [Google Scholar] [CrossRef]
  17. Strele, D.; Koepke, M.; Schrittwieser, R.; Winkler, P. Simple heatable Langmuir probe for alkali plasmas. Rev. Sci. Instrum. 1997, 68, 3751–3754. [Google Scholar] [CrossRef]
  18. Amatucci, W.E.; Koepke, M.E.; Sheridan, T.E.; Alport, M.J.; Carroll, J.J. Self-cleaning Langmuir probe. Rev. Sci. Instrum. 1993, 64, 1253–1256. [Google Scholar] [CrossRef]
  19. Kalčík, J. Application of warm langmuir probe in the plasma measurements inside plasma-chemical. Czechoslov. J. Phys. 1995, 45, 241–248. [Google Scholar] [CrossRef]
  20. Qayyum, A.; Deeba, F.; Ahmad, S.; Ahmad, Z.; Naseer, M.U.; Shah, S.I.W.; Hussain, S.; Zakaullah, M. Optical Emission and Langmuir Probe Diagnostic Measurements in DC Electrode Pulse Discharge in Nitrogen. High Temp. 2019, 57, 821–831. [Google Scholar] [CrossRef]
  21. Griem, H.R. Plasma Spectroscopy; McGraw-Hill: New York, NY, USA, 1964. [Google Scholar]
  22. Hao, X.; Song, G. Spectral Analysis of the Plasma in Low-Power Laser/Arc Hybrid Welding of Magnesium Alloy. IEEE Trans. Plasma Sci. 2009, 37, 76–82. [Google Scholar]
  23. National Institute of Standards and Technology Data Base. Available online: http://physics.nist.gov/PhysRefData/ASD/lines_form.html (accessed on 9 October 2020).
Figure 1. Schematic diagram of the coaxial microwave-driven plasma with Langmuir probe and emission spectroscopy.
Figure 1. Schematic diagram of the coaxial microwave-driven plasma with Langmuir probe and emission spectroscopy.
Applsci 10 08117 g001
Figure 2. The structure of the coaxial reaction cavity and the Langmuir probe.
Figure 2. The structure of the coaxial reaction cavity and the Langmuir probe.
Applsci 10 08117 g002
Figure 3. Coaxial line plasma driven by 800 W microwave at fill pressure of 80 Pa.
Figure 3. Coaxial line plasma driven by 800 W microwave at fill pressure of 80 Pa.
Applsci 10 08117 g003
Figure 4. The I–V curve of the clean Langmuir probe (a) the voltage and current curve, (b) I–V curve.
Figure 4. The I–V curve of the clean Langmuir probe (a) the voltage and current curve, (b) I–V curve.
Applsci 10 08117 g004
Figure 5. The voltage and current curve of the Langmuir probe with contamination.
Figure 5. The voltage and current curve of the Langmuir probe with contamination.
Applsci 10 08117 g005
Figure 6. Equivalent circuit of the electrode contamination.
Figure 6. Equivalent circuit of the electrode contamination.
Applsci 10 08117 g006
Figure 7. The I–V curve of the clean Langmuir probe and the probe with contaminations driven by DC supply.
Figure 7. The I–V curve of the clean Langmuir probe and the probe with contaminations driven by DC supply.
Applsci 10 08117 g007
Figure 8. The spectrum of the coaxial line plasma driven by 800 W microwave at the pressure of 80 Pa.
Figure 8. The spectrum of the coaxial line plasma driven by 800 W microwave at the pressure of 80 Pa.
Applsci 10 08117 g008
Figure 9. Liner fit for data of specified spectral lines driven by 800 W microwave at the pressure of 80 Pa.
Figure 9. Liner fit for data of specified spectral lines driven by 800 W microwave at the pressure of 80 Pa.
Applsci 10 08117 g009
Figure 10. The microwave power and pressure against the electron density and temperature measured by the probe and optical emission spectrometry (OES). (a,b) The microwave power changes at the pressure of 80 Pa, (c,d) the pressure changes at the microwave power of 800 W.
Figure 10. The microwave power and pressure against the electron density and temperature measured by the probe and optical emission spectrometry (OES). (a,b) The microwave power changes at the pressure of 80 Pa, (c,d) the pressure changes at the microwave power of 800 W.
Applsci 10 08117 g010
Table 1. Parameters of the coaxial microwave driven plasma and Langmuir probes used to measure electron temperature and density.
Table 1. Parameters of the coaxial microwave driven plasma and Langmuir probes used to measure electron temperature and density.
ParametersSymbolValueUnits
Ion speciesAr+
Ion massmi 6.7 × 10 26 kg
Microwave powerMpower800W
PressurePa80Pa
Probe diameterdprobe1mm
Probe lengthlprobe8mm
Table 2. Spectroscopic data of chosen lines for determination of electron temperature [23].
Table 2. Spectroscopic data of chosen lines for determination of electron temperature [23].
λi (nm)Ai (s−1)giEki (eV)
706.72173.80 × 106513.30223
763.51052.45 × 107513.17178
772.42071.17 × 107313.32786
801.47859.30 × 106513.09487
866.79432.43 × 106313.15314
912.29671.89 × 107312.90702
922.44985.00 × 106513.17178
978.45021.47 × 106513.09487
Publisher’s Note: MDPI stays neutral with regard to jurisdictional claims in published maps and institutional affiliations.

Share and Cite

MDPI and ACS Style

Chen, C.; Fu, W.; Zhang, C.; Lu, D.; Han, M.; Yan, Y. Langmuir Probe Diagnostics with Optical Emission Spectrometry (OES) for Coaxial Line Microwave Plasma. Appl. Sci. 2020, 10, 8117. https://doi.org/10.3390/app10228117

AMA Style

Chen C, Fu W, Zhang C, Lu D, Han M, Yan Y. Langmuir Probe Diagnostics with Optical Emission Spectrometry (OES) for Coaxial Line Microwave Plasma. Applied Sciences. 2020; 10(22):8117. https://doi.org/10.3390/app10228117

Chicago/Turabian Style

Chen, Chi, Wenjie Fu, Chaoyang Zhang, Dun Lu, Meng Han, and Yang Yan. 2020. "Langmuir Probe Diagnostics with Optical Emission Spectrometry (OES) for Coaxial Line Microwave Plasma" Applied Sciences 10, no. 22: 8117. https://doi.org/10.3390/app10228117

APA Style

Chen, C., Fu, W., Zhang, C., Lu, D., Han, M., & Yan, Y. (2020). Langmuir Probe Diagnostics with Optical Emission Spectrometry (OES) for Coaxial Line Microwave Plasma. Applied Sciences, 10(22), 8117. https://doi.org/10.3390/app10228117

Note that from the first issue of 2016, this journal uses article numbers instead of page numbers. See further details here.

Article Metrics

Back to TopTop