Fragmented Rockfall Volume Distribution from Photogrammetry-Based Structural Mapping and Discrete Fracture Networks
Abstract
Featured Application
Abstract
1. Introduction
2. Materials and Methods
2.1. Ground-Based Photogrammetry and Structural Mapping
2.2. Fragmented Rockfall Volume Surveys
2.3. Persistent Discrete Fracture Network (DFN)
2.4. DFN-Based Volume Calculations
3. Study Sites
3.1. Tornado Mountain
3.2. Site S042
4. Results
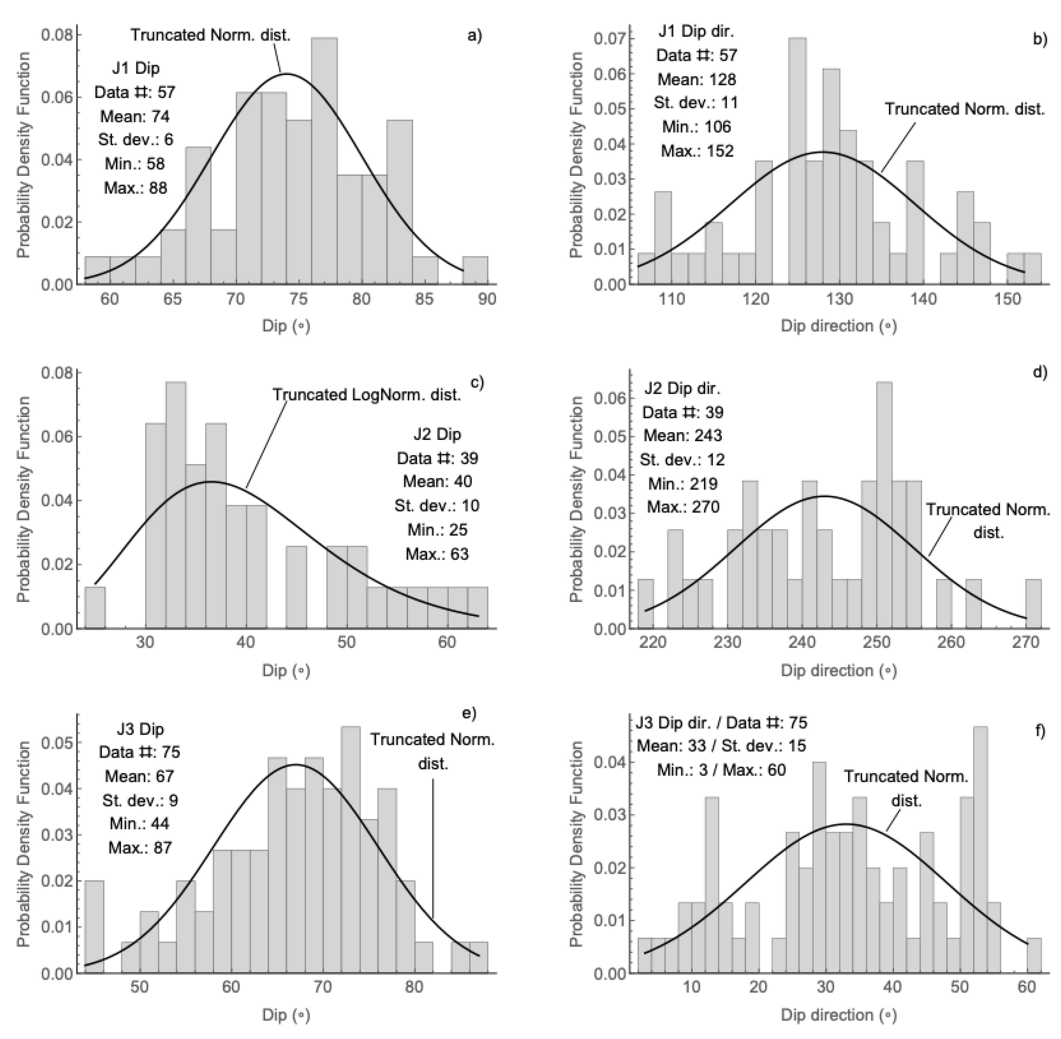
4.1. Tornado Mountain
4.2. Site S042
5. Discussion and Conclusions
Author Contributions
Funding
Acknowledgments
Conflicts of Interest
References
- Heim, A. Bergsturz und Menschenleben; Zürich Fretz and Wasmuth Verlag: Bern, Switzerland, 1932. [Google Scholar]
- Ladd, G.E. Landslides, subsidences and rock-falls: As problems for the railroad engineer. In American Railway Engineering Association Proceedings; AREA: Chicago, IL, USA, 1935. [Google Scholar]
- B, G.B.; Sharpe, C.F.S. Landslides and Related Phenomena: A Study of Mass-Movements of Soil and Rock. Geogr. J. 1938, 92, 276. [Google Scholar] [CrossRef]
- Grove, J.M. The Incidence of Landslides, Avalanches, and Floods in Western Norway during the Little Ice Age. Arct. Alp. Res. 1972, 4, 131. [Google Scholar] [CrossRef]
- Peckover, F.L.; Kerr, J.W.G. Treatment and maintenance of rock slopes on transportation routes. Can. Geotech. J. 1977, 14, 487–507. [Google Scholar] [CrossRef]
- Evans, S.; Hungr, O. The assessment of rockfall hazard at the base of talus slopes. Can. Geotech. J. 1993, 30, 620–636. [Google Scholar] [CrossRef]
- Dorren, L.K.A. A review of rock fall mechanics and modeling approaches. Prog. Phys. Geogr. 2003, 27, 69–87. [Google Scholar] [CrossRef]
- Guzzetti, F.; Reichenbach, P.; Ghigi, S. Rockfall Hazard and Risk Assessment Along a Transportation Corridor in the Nera Valley, Central Italy. Environ. Manag. 2004, 34, 191–208. [Google Scholar] [CrossRef] [PubMed]
- Hungr, O.; Evans, S.G.; Hazzard, J. Magnitude and frequency of rock falls and rock slides along the main transportation corridors of southwestern British Columbia. Can. Geotech. J. 1999, 36, 224–238. [Google Scholar] [CrossRef]
- Leroi, E. Global rockfalls risk management process in ‘La Désirade‘ Island (French West Indies). Landslides 2005, 2, 358–365. [Google Scholar] [CrossRef]
- Bunce, C.M.; Cruden, D.M.; Morgenstern, N.R. Assessment of the hazard from rock fall on a highway. Can. Geotech. J. 1997, 34, 344–356. [Google Scholar] [CrossRef]
- Baillifard, F.; Jaboyedoff, M.; Sartori, M. Rockfall hazard mapping along a mountainous road in Switzeland using a GIS-based parameter rating approach. Nat. Hazards Earth Syst. Sci. 2003, 3, 431–438. [Google Scholar] [CrossRef]
- Corominas, J.; Copons, R.; Moya, J.; Vilaplana, J.M.; Altimir, J.; Amigó, J. Quantitative assessment of the residual risk in a rockfall protected area. Landslides 2005, 2, 343–357. [Google Scholar] [CrossRef]
- Frattini, P.; Crosta, G.; Carrara, A.; Agliardi, F. Assessment of rockfall susceptibility by integrating statistical and physically-based approaches. Geomorphology 2008, 94, 419–437. [Google Scholar] [CrossRef]
- Lan, H.; Martin, C.D.; Zhou, C.; Lim, C.H. Rockfall hazard analysis using LiDAR and spatial modeling. Geomorphology 2010, 118, 213–223. [Google Scholar] [CrossRef]
- Macciotta, R.; Martin, C.D.; Morgenstern, N.R.; Cruden, D.M. Quantitative risk assessment of slope hazards along a section of railway in the Canadian Cordillera—a methodology considering the uncertainty in the results. Landslides 2015, 13, 115–127. [Google Scholar] [CrossRef]
- Macciotta, R.; Martin, C.D.; Cruden, D.M.; Hendry, M.; Edwards, T. Rock fall hazard control along a section of railway based on quantified risk. Georisk: Assess. Manag. Risk Eng. Syst. Geohazards 2017, 11, 272–284. [Google Scholar] [CrossRef]
- Macciotta, R.; Martin, C.D. Preliminary approach for prioritizing resource allocation for rock fall hazard investigations based on susceptibility mapping and efficient three-dimensional trajectory modelling. Bull. Int. Assoc. Eng. Geol. 2018, 78, 2803–2815. [Google Scholar] [CrossRef]
- Mineo, S. Comparing rockfall hazard and risk assessment procedures along roads for different planning purposes. J. Mt. Sci. 2020, 17, 653–669. [Google Scholar] [CrossRef]
- Macciotta, R.; Gräpel, C.; Keegan, T.; Duxbury, J.; Skirrow, R. Quantitative risk assessment of rock slope instabilities that threaten a highway near Canmore, Alberta, Canada: Managing risk calculation uncertainty in practice. Can. Geotech. J. 2020, 57, 337–353. [Google Scholar] [CrossRef]
- Scavia, C.; Barbero, M.; Castelli, M.; Marchelli, M.; Peila, D.; Torsello, G.; Vallero, G. Evaluating Rockfall Risk: Some Critical Aspects. Geosciences 2020, 10, 98. [Google Scholar] [CrossRef]
- Yu, B.; Yi, W.; Zhao, H. Experimental study on the maximum impact force by rock fall. Landslides 2017, 15, 233–242. [Google Scholar] [CrossRef]
- Corominas, J.; Matas, G.; Ruiz-Carulla, R. Quantitative analysis of risk from fragmental rockfalls. Landslides 2018, 16, 5–21. [Google Scholar] [CrossRef]
- Macciotta, R.; Martin, C.D.; Cruden, D.M. Probabilistic estimation of rockfall height and kinetic energy based on a three-dimensional trajectory model and Monte Carlo simulation. Landslides 2014, 12, 757–772. [Google Scholar] [CrossRef]
- Giacomini, A.; Buzzi, O.; Renard, B.; Giani, G. Experimental studies on fragmentation of rock falls on impact with rock surfaces. Int. J. Rock Mech. Min. Sci. 2009, 46, 708–715. [Google Scholar] [CrossRef]
- Gili, J.; Ruiz, R.; Matas, G.; Corominas, J.; Lantada, N.; Núñez-Andrés, M.A.; Mavrouli, O.; Buill, F.; Moya, J.; Prades, A.; et al. Experimental study on rockfall fragmentation: In situ test design and first results. In Landslides and Engineered Slopes. Experience, Theory and Practice; Informa UK Limited: London, UK, 2016; pp. 983–990. [Google Scholar]
- Fornaro, M.; Peila, D.; Nebbia, M. Block falls on rock slopes - application of a numerical simulation program to some real cases. In Proceedings of the 6th International Congress IAEG, Amsterdam, The Netherlands, 6–10 August 1990. [Google Scholar]
- Salciarini, D.; Tamagnini, C.; Conversini, P. Numerical approaches for rockfall analysis: A comparison. In Proceedings of the 18th IMACS world congress/MODSIM09, Cairns, Australia, 13–17 July 2009. [Google Scholar]
- Wang, Y.; Tonon, F. Discrete Element Modeling of Rock Fragmentation upon Impact in Rock Fall Analysis. Rock Mech. Rock Eng. 2010, 44, 23–35. [Google Scholar] [CrossRef]
- Matas, G.; Lantada, N.; Corominas, J.; Gili, J.A.; Ruiz-Carulla, R.; Prades, A. RockGIS: A GIS-based model for the analysis of fragmentation in rockfalls. Landslides 2017, 40, 455–1578. [Google Scholar] [CrossRef]
- Ruiz-Carulla, R.; Corominas, J.; Mavrouli, O. A fractal fragmentation model for rockfalls. Landslides 2016, 14, 875–889. [Google Scholar] [CrossRef]
- Ruiz-Carulla, R.; Corominas, J.; Mavrouli, O. A methodology to obtain the block size distribution of fragmental rockfall deposits. Landslides 2015, 12, 815–825. [Google Scholar] [CrossRef]
- Elmouttie, M.; Poropat, G.V. A Method to Estimate In Situ Block Size Distribution. Rock Mech. Rock Eng. 2011, 45, 401–407. [Google Scholar] [CrossRef]
- Lambert, C.; Thoeni, K.; Giacomini, A.; Casagrande, D.; Sloan, S.W. Rockfall Hazard Analysis From Discrete Fracture Network Modelling with Finite Persistence Discontinuities. Rock Mech. Rock Eng. 2012, 45, 871–884. [Google Scholar] [CrossRef]
- Macciotta, R.; Martin, C.D. Remote structural mapping and discrete fracture networks to calculate rock fall volumes at Tornado Mountain, British Columbia. In Proceedings of the 49th US Rock Mechanics/Geomechanics Symposium, San Francisco, CA, USA, 28 June–1 July 2015. [Google Scholar]
- Grenon, M.; Matasci, B.; Jaboyedoff, M.; Stock, G.M. Discrete fracture network modeling using Coltop3D for rockfall potential assessment at Glacier Point, Yosemite Valley. In Proceedings of the First International Conference on Discrete Fracture Network Engineering, Vancouver, BC, Canada, 19–22 October 2014. [Google Scholar]
- Palleske, C.; Kennedy, C.; Hutchinson, D.J.; Diederichs, M.S. Methods for using photogrammetry in the generation of discrete fracture networks for block size estimation. In Proceedings of the First International Conference on Discrete Fracture Network Engineering, Vancouver, BC, Canada, 19–22 October 2014. [Google Scholar]
- ADAM Technology, 3DM Analyst and CalibCam. Available online: https://www.adamtech.com.au (accessed on 1 July 2020).
- Rocscience Inc. Dips. Available online: https://www.rocscience.com/software/dips (accessed on 31 July 2020).
- Wolfram. Wolfram Mathematica. Available online: https://www.wolfram.com/mathematica (accessed on 31 July 2020).
- Obregon, C.; Mitri, H. Probabilistic approach for open pit bench slope stability analysis–A mine case study. Int. J. Min. Sci. Technol. 2019, 29, 629–640. [Google Scholar] [CrossRef]
- Mielke, P.W.; Benjamin, J.R.; Cornell, C.A. Probability, Statistics and Decision for Civil Engineers. J. Am. Stat. Assoc. 1971, 66, 923. [Google Scholar] [CrossRef]
- Klohn Crippen Berger Ltd. S42 Spray Lakes Rockfall—Preliminary Design Report; Alberta Transportation: Edmonton, AB, Canada, 2016. [Google Scholar]













| Joint Set | Dip (°) | Distribution | Dip Direction (°) | Distribution | Spacing (m) | Distribution |
|---|---|---|---|---|---|---|
| 1 | 50–70 | Uniform within the range | 300–350 | Uniform within the range | 0.2–2 | Triangular within the range and mode at 0.6 |
| 2 | 65–85 | Uniform within the range | 160–180 | Uniform within the range | 0.4–2 | Triangular within the range and mode at 0.6 |
| 3 | 65–85 | Uniform within the range | 100–130 | Uniform within the range | 0.4–2 | Triangular within the range and mode at 0.6 |
| 4 | 75–90 | Uniform within the range | 0–10 | Uniform within the range | 0.4–2 | Triangular within the range and mode at 0.6 |
| Joint Set | Dip Dist. Fit | Dip Direction Dist. Fit |
|---|---|---|
| 1 | 0.78 | 0.27 |
| 2 | 0.13 | 0.55 |
| 3 | 0.21 | 0.25 |
| Joint Set | Min | Mean | Max | Distribution Adopted |
|---|---|---|---|---|
| 1 | 0.1 | 0.5 | 2.4 | Triangular, mode = 0.5 |
| 2 | 0.1 | 0.3 | 0.4 | Triangular, mode = 0.3 |
| 3 | 0.1 | 1.0 | 2.8 | Triangular, mode = 1.0 |
© 2020 by the authors. Licensee MDPI, Basel, Switzerland. This article is an open access article distributed under the terms and conditions of the Creative Commons Attribution (CC BY) license (http://creativecommons.org/licenses/by/4.0/).
Share and Cite
Macciotta, R.; Gräpel, C.; Skirrow, R. Fragmented Rockfall Volume Distribution from Photogrammetry-Based Structural Mapping and Discrete Fracture Networks. Appl. Sci. 2020, 10, 6977. https://doi.org/10.3390/app10196977
Macciotta R, Gräpel C, Skirrow R. Fragmented Rockfall Volume Distribution from Photogrammetry-Based Structural Mapping and Discrete Fracture Networks. Applied Sciences. 2020; 10(19):6977. https://doi.org/10.3390/app10196977
Chicago/Turabian StyleMacciotta, Renato, Chris Gräpel, and Roger Skirrow. 2020. "Fragmented Rockfall Volume Distribution from Photogrammetry-Based Structural Mapping and Discrete Fracture Networks" Applied Sciences 10, no. 19: 6977. https://doi.org/10.3390/app10196977
APA StyleMacciotta, R., Gräpel, C., & Skirrow, R. (2020). Fragmented Rockfall Volume Distribution from Photogrammetry-Based Structural Mapping and Discrete Fracture Networks. Applied Sciences, 10(19), 6977. https://doi.org/10.3390/app10196977

