Probing Collisional Plasmas with MCRS: Opportunities and Challenges
Abstract
1. Introduction
2. Theory
2.1. Resonant Behavior of a Standing Microwave
2.2. Perturbations
2.3. Plasma’s Permittivity
2.4. Non-Collisional Plasmas
2.5. Collisional Plasmas
2.6. Examples of Prior Studies of Collisional Plasmas
2.6.1. Electron Dynamics
2.6.2. Acoustic Waves
2.7. Brief Summary
3. Results and Discussion
3.1. Increased Accuracy in the Permittivity
3.1.1. Size of Frequency Step vs. Number of Averages
3.1.2. Influence of the Quality Factor
3.2. Contributors to Changes in the Resonant Behavior
3.2.1. Contributors to Perturbations in the Cavity
3.2.2. Influence of the Cavity Walls’ Temperature
3.3. Inhomogenous Plasmas
3.4. Accuracy in
3.5. Lower Limit for the Permittivity
3.5.1. Plasma at an Antinode
3.5.2. Plasma at a Node
3.6. Penetration of the Microwave Field into the Plasma
4. Recommendations
- Investigating the laser-droplet interaction in extreme ultraviolet light sources [56] during the laser pre-pulse impact, main pulse impact, and temporal plasma afterglow phase using MCRS could contribute to improved insight in the dynamics under these complex and highly interesting conditions;
- Experimenting on tunable monochromatic ionizing radiation—e.g., from a free-electron laser [57,58,59,60]—makes the interpretation of measurement data easier and could, for example, be used to gain a fundamental understanding of photoionization processes and improved design of an ionizing beam monitor based on MCRS [14,49];
- Developing a multiple-frequency microwave interferometer could enable the investigation of plasmas, which do not allow for the presence of a cavity as is the case in the experiment described in, e.g., reference [61]. Advantageous of such a system is that the permittivity is different for each frequency and a fit function can be used to improve the accuracy of the results. This approach would be additionally accurate when frequencies well below and above the electron collision frequency are used;
- The background ionization plays an important role in the ignition of a plasma [62]. This property is very difficult to measure directly and the required resolution of MCRS is now within reach thanks to recent developments. Two MCRS-based approaches to investigate the background ionization level are proposed below:
- -
- The first approach requires a change in the collision frequency without a change in the electron density and the collision frequency of one of the states, which can be obtained by e.g., calculations based on cross-section data. As the expected changes in resonant behavior are only and (for = 50 GHz, = 1 THz, m and = 3.5 GHz), it will require a high sensitivity in the measurement approach;
- -
- In the second approach, no restrictions to changes in the electron dynamics are required. The collision frequencies and electron densities need to be determined which requires the usage of at least two resonant modes or another diagnostic method to determine the collision frequencies.
The polarizability of the medium depends on its temperature [17] and this complicates the execution of the proposed experiments. Other factors which need to be taken into account are the expansion of the cavity volume and the change in conductance of the walls due to temperature variations.
- As MCRS is sensitive to almost everything, it is crucial to separate the different contributions to the detected change in resonant behavior. A step forward would be to perform MCRS measurements using multiple cavities in parallel in one solid block of metal. An example of this approach would be one cavity—preferably in vacuum conditions—could be used to monitor the conductivity and the dimensions of the metal structure surrounding the cavity, another without a discharge to compensate for the properties of the gas and a third to monitor the discharge;
- Section 3.5.2 demonstrated that not all higher-order modes are sensitive enough—when the plasma is placed at a node—to probe the electron dynamics of an atmospheric-pressure plasma jet. However, these could be used to study plasma-produced acoustic waves. This is another approach to separate contributions to changes in resonant behavior;
- The measurement time or the number of cavities can be reduced by applying multiple frequencies simultaneously in one cavity and separating the responses by an electronic filter;
- Resonant modes with the same cut-off frequency are referred to as degenerate modes. The usage of these type of modes can be cumbersome because the microwave field in a cavity tends to alternate over time between these modes. Furthermore, the fitting becomes more complex when resonance peaks (almost) overlap. For these reasons, degenerate modes should be avoided or all but one excluded in the design of a cavity;
- Integrating the antenna with (a part of) the cavity walls would result in a smaller perturbation from the ideal resonant field. Hence, this would result in more accurate usage of calculated electromagnetic field profiles;
- Manufacturing a stable cavity proved to be difficult. Vacuum soldering of the parts to create a metal structure—which forms the cavity—from one solid metal block showed the best approach. This approach with a solid cavity and correcting the response for temperature fluctuations is completely contradictory to the inventions in which the response of the cavity is temperature-stabilized by moving parts [63,64,65,66];
- The accuracy in determining the quality factor is lower than that of the resonance frequency. For this reason, it might be beneficial to use the change in the resonance frequency of multiple modes to separate the contributions of the electron density and the collision frequency to changes in resonant behavior. This approach requires the cavity to be filled homogenously with plasma and large differences between the resonance frequencies of the modes. Other methods to measure Q [2] potentially provide a higher resolution than the approach used in our prior works.
- The current approach—with frequency-resolved measurements—requires many reproducible discharges. A more direct scheme with good temporal resolution would be a huge step forward. Examples of approaches that require less complicated analysis, although with a poor temporal resolution, are described in the following articles [7,41,67].
- In all MCRS experiments performed by the authors, an equidistant frequency domain is used. The spectral positions of the probing frequencies can be optimized by allowing non-equidistant positions between two subsequent positions in the frequency domain. This will reduce the measurement time or increase the resolution in permittivity;
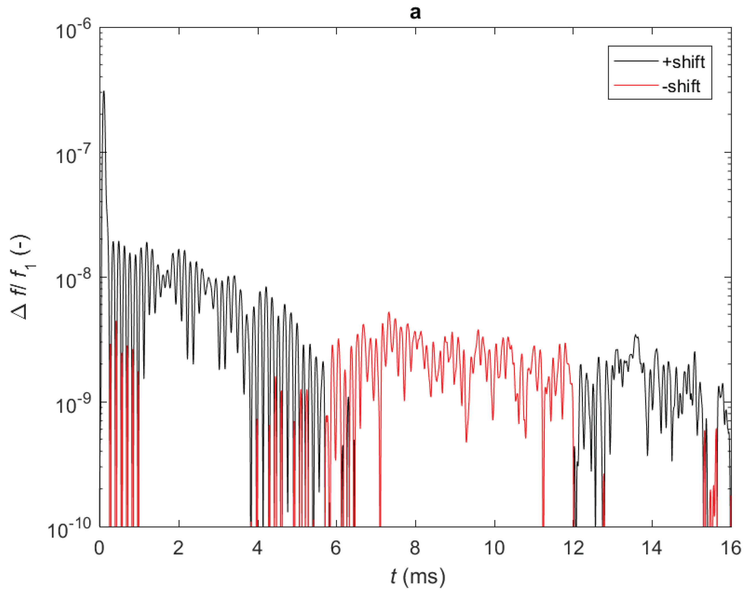
- Commercial network analyzers provide a calibration procedure to compensate for non-ideal properties of the load. The setup used here does not have such a function and therefore undesired oscillations are present in the spectral response. An example of a spectrum with these oscillations can be seen in Figure 2 of reference [18]. These undesired features increase the error in the results and can be troublesome for the user. Users would benefit from similar functionality as available in network analyzers;
- In the experiments performed by the authors, only cylindrical cavities were used. Cuboid cavities do not suffer from rotation of the resonant field of higher-order azimuthal modes due to e.g., perturbations by the plasma and could help to increase the accuracy of the results;
- Tuning of the antenna in a cavity is a very important step to obtain good results. Positioning the antenna with a micrometre screw gauge would be a good improvement to the current design of the cavities.
5. Conclusions
- The resolution in the resonant behavior—and therefore in the permittivity—is improved by several advancements in the measurement approach. Based on an experimental study, the dependency of this resolution on the number of averages and the size of the frequency sweep step is explained and translated to the optimal parameters with respect to the needed measurement time and resolution. Additionally, the influence of the quality factor on the resolution is explained;
- As smaller changes in the resonant behavior can be resolved due to recent improvements of the method, the electron dynamics are no longer the only contributor to changes in the permittivity during plasma experiments. The improvements to the diagnostic method enabled measuring—non-selectively—a new range of physical properties, e.g., gas composition, gas pressure, and the number density of metastables, etc. For this reason, we recommend thinking of permittivity as the main parameter when analyzing MCRS measurements rather than and . Furthermore, a more detailed description is given of the temperature-corrected apparent frequencies that have been introduced in [19];
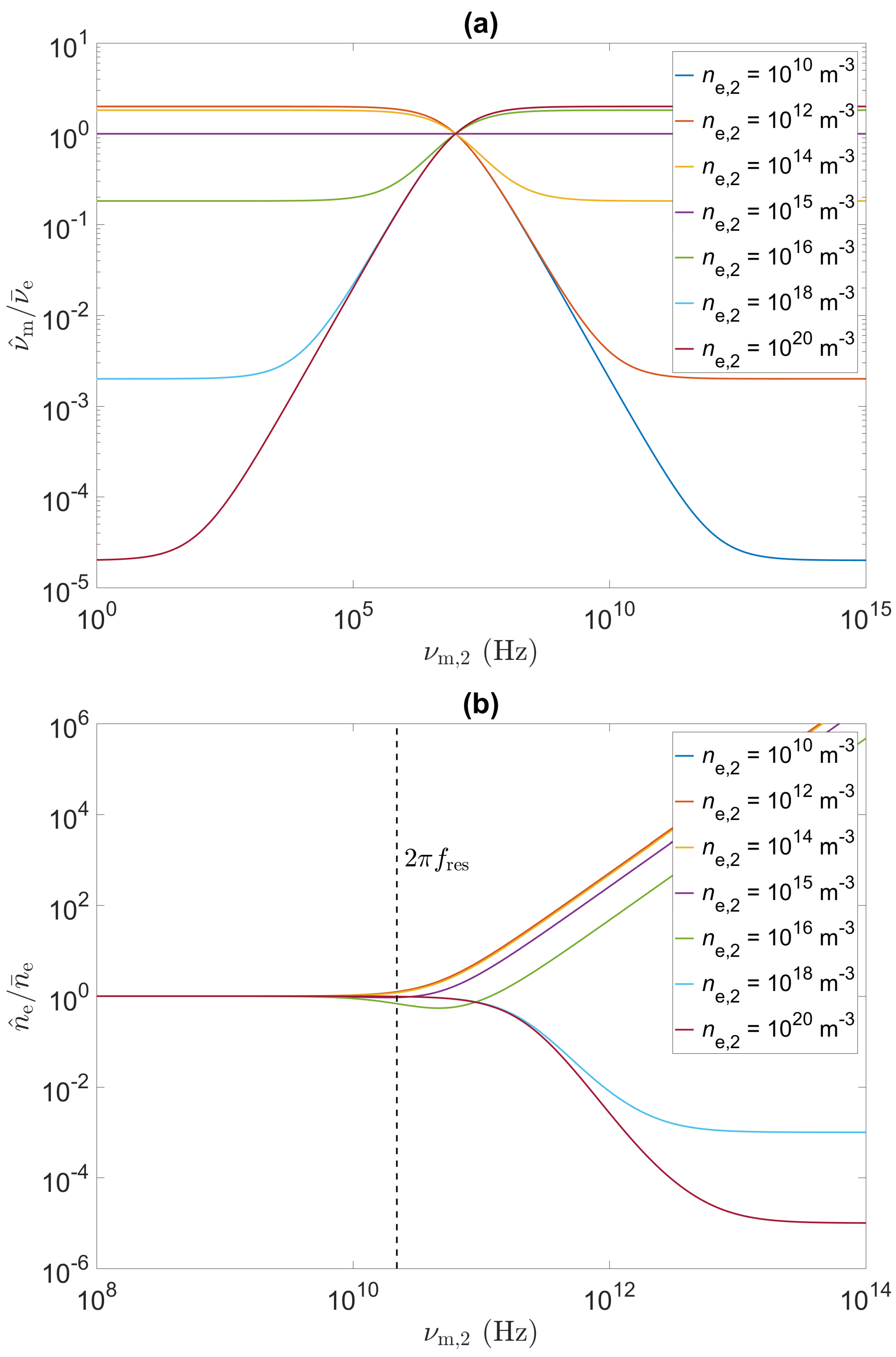
- For plasmas where the collision frequency of the electrons could not be neglected with respect to the applied angular microwave frequencies and also have a spatial dependency, the interpretation of the measurement data and the obtained requires special care. The determination of the collision frequency of the electrons in a plasma with a spatial profile is very susceptible to errors of multiple orders of magnitude;
- In the two MCRS studies of atmospheric-pressure discharges [18,19], a camera was used to determine the volume which is occupied by the plasma. This volume together with the calculated resonant field profile is used to estimate the effective volume ratio . The uncertainty in the volume occupied by the plasma, and subsequently in , limits the accuracy of the determination of the electron density to its order of magnitude [18]. A set of improvements concerning this topic is proposed;
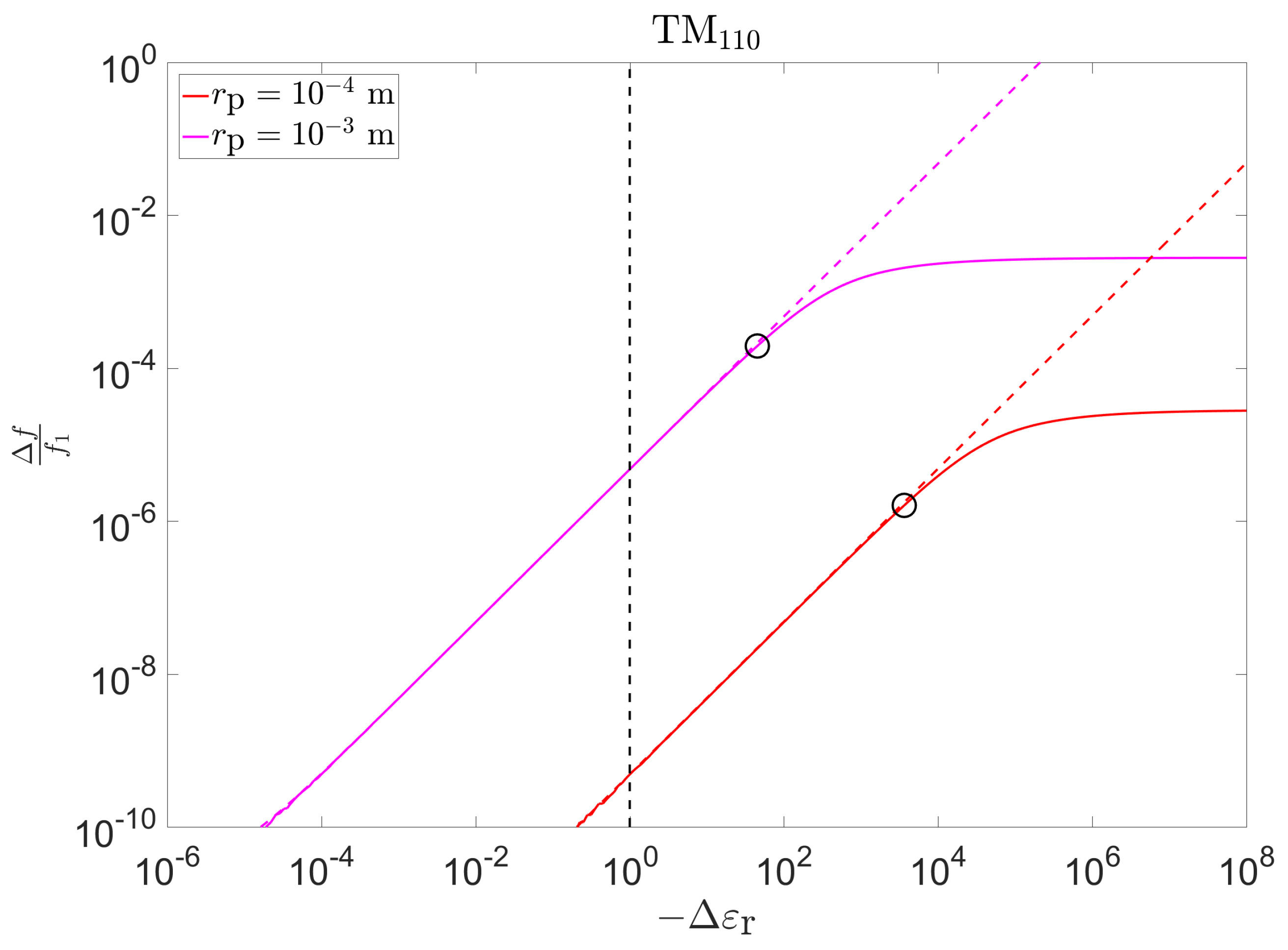
- The linearity of the shift in resonance frequency with the change of permittivity—or more traditionally the electron density—is investigated for a wide range of plasma parameters such as geometric dimensions, electron-neutral collision frequencies, and electron densities. Moreover, the correlation between the radius and the position of the plasma column with the mode structure is explored in relation to the lower limit of the permittivity or in archaic terms the upper limit of the electron density. In all investigated conditions, the putative limit ≪ was too stringent;
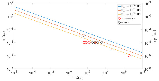
- Penetration of the microwaves into the plasma is crucial for successful MCRS measurements. For this reason, the skin depth is investigated for a variety of plasma parameters. Moreover, the calculated skin depths are compared with the results obtained in the previous section. This comparison showed that the limit is in some cases to pessimistic in limiting the operational regime of MCRS.
Author Contributions
Funding
Acknowledgments
Conflicts of Interest
Abbreviations
| EEDF | electron energy distribution function |
| EPG | Elementary Processes in Gas Discharges |
| EUV | Extreme Ultraviolet |
| FWHM | full-width-at-half-maximum |
| (I)CCD | (intensified) charge-coupled device |
| MCRS | Microwave Cavity Resonance Spectroscopy |
| RF | radio-frequency |
| TE | transverse electric |
| TM | transverse magnetic |
| Q | quality factor |
| Q-factor | quality factor |
Appendix A
Appendix B
References
- Biondi, M.A.; Brown, S.C. Measurements of ambipolar diffusion in helium. Phys. Rev. 1949, 75, 1700. [Google Scholar] [CrossRef]
- Brown, S.C.; Rose, D.J. Methods of measuring the properties of ionized gases at high frequencies. I. Measurements of Q. J. Appl. Phys. 1952, 23, 711–718. [Google Scholar] [CrossRef]
- Rose, D.J.; Brown, S.C. Methods of measuring the properties of ionized gases at high frequencies. II. Measurement of electric field. J. Appl. Phys. 1952, 23, 719–722. [Google Scholar] [CrossRef]
- Rose, D.J.; Brown, S.C. Methods of measuring the properties of ionized gases at high frequencies. III. Measurement of discharge admittance and electron density. J. Appl. Phys. 1952, 23, 1028–1032. [Google Scholar] [CrossRef]
- Gould, L.; Brown, S.C. Methods of measuring the properties of ionized gases at high frequencies. IV. A null method of measuring the discharge admittance. J. Appl. Phys. 1953, 24, 1053–1056. [Google Scholar] [CrossRef]
- Franek, J.; Nogami, S.; Koepke, M.; Demidov, V.; Barnat, E.V. A Computationally Assisted Ar I Emission Line Ratio Technique to Infer Electron Energy Distribution and Determine Other Plasma Parameters in Pulsed Low-Temperature Plasma. Plasma 2019, 2, 65–76. [Google Scholar] [CrossRef]
- Faltýnek, J.; Kudrle, V.; Tesar, J.; Volfová, M.; Tálský, A. Numerical enhancements of the microwave resonant cavity method for plasma diagnostics. Plasma Sources Sci. Technol. 2019, 28, 105007. [Google Scholar] [CrossRef]
- Beckers, J.; Stoffels, W.W.; Kroesen, G.M.W. Temperature dependence of nucleation and growth of nanoparticles in low pressure Ar/CH4 RF discharges. J. Phys. D: Appl. Phys. 2009, 42. [Google Scholar] [CrossRef]
- Wattieaux, G.; Carrasco, N.; Henault, M.; Boufendi, L.; Cernogora, G. Transient phenomena during dust formation in a N2-CH4 capacitively coupled plasma. Plasma Sources Sci. Technol. 2015, 24. [Google Scholar] [CrossRef]
- Alcouffe, G.; Cavarroc, M.; Cernogora, G.; Ouni, F.; Jolly, A.; Boufendi, L.; Szopa, C. Capacitively coupled plasma used to simulate Titan’s atmospheric chemistry. Plasma Sources Sci. Technol. 2010, 19. [Google Scholar] [CrossRef]
- Stoffels, E.; Stoffels, W.W.; Vender, D.; Kando, M.; Kroesen, G.M.W.; De Hoog, F.J. Negative ions in a radio-frequency oxygen plasma. Phys. Rev. E 1995, 51, 2425–2435. [Google Scholar] [CrossRef] [PubMed]
- Van Ninhuijs, M.A.W.; Daamen, K.A.; Franssen, J.G.H.; Conway, J.; Platier, B.; Beckers, J.; Luiten, O.J. Microwave cavity resonance spectroscopy of ultracold plasmas. Phys. Rev. A 2019, 100, 061801. [Google Scholar] [CrossRef]
- Van Der Horst, R.M.; Beckers, J.; Nijdam, S.; Kroesen, G.M.W. Exploring the temporally resolved electron density evolution in extreme ultra-violet induced plasmas. J. Phys. D Appl. Phys. 2014, 47, 7–11. [Google Scholar] [CrossRef][Green Version]
- Beckers, J.; Van De Wetering, F.M.J.H.; Platier, B.; Van Ninhuijs, M.A.W.; Brussaard, G.J.H.; Banine, V.Y.; Luiten, O.J. Mapping electron dynamics in highly transient EUV photon-induced plasmas: A novel diagnostic approach using multi-mode microwave cavity resonance spectroscopy. J. Phys. D Appl. Phys. 2019, 52, 034004. [Google Scholar] [CrossRef]
- Platier, B.; Limpens, R.; Lassise, A.C.; Staps, T.J.A.; van Ninhuijs, M.A.W.; Daamen, K.A.; Luiten, O.J.; IJzerman, W.L.; Beckers, J. Transition from ambipolar to free diffusion in an EUV-induced argon plasma. Appl. Phys. Lett. 2020, 116, 103703. [Google Scholar] [CrossRef]
- Birnbaum, G.; Kryder, S.J.; Lyons, H. Microwave measurements of the dielectric properties of gases. J. Appl. Phys. 1951, 22, 95–102. [Google Scholar] [CrossRef]
- Magnuson, D.W. Microwave Dielectric Constant Measurements. J. Chem. Phys. 1956, 24, 344–347. [Google Scholar] [CrossRef]
- Van Der Schans, M.; Platier, B.; Koelman, P.M.J.; Van De Wetering, F.M.J.H.; Van Dijk, J.; Beckers, J.; Nijdam, S.; IJzerman, W.L. Decay of the electron density and the electron collision frequency between successive discharges of a pulsed plasma jet in N2. Plasma Sources Sci. Technol. 2019, 28, 035020. [Google Scholar] [CrossRef]
- Platier, B.; Staps, T.J.A.; Van Der Schans, M.; IJzerman, W.L.; Beckers, J. Resonant microwaves probing the spatial afterglow of an RF plasma jet. Appl. Phys. Lett. 2019, 115, 254103. [Google Scholar] [CrossRef]
- Platier, B.; Staps, T.J.A.; Hak, C.C.J.M.; Beckers, J.; IJzerman, W.L. Resonant microwaves probing acoustic waves from an RF plasma jet. Plasma Sources Sci. Technol. 2020, 29, 045024. [Google Scholar] [CrossRef]
- Persson, K.B. Limitations of the Microwave Cavity Method of Measuring Electron Densities in a Plasma. Phys. Rev. 1957, 106, 191–195. [Google Scholar] [CrossRef]
- Agdur, B.; Enander, B. Resonances of a microwave cavity partially filled with a plasma. J. Appl. Phys. 1962, 33, 575–581. [Google Scholar] [CrossRef]
- Buchsbaum, S.J.; Brown, S.C. Microwave measurements of high electron densities. Phys. Rev. 1957, 106, 196–199. [Google Scholar] [CrossRef]
- Pleasance, L.D.; George, E.V. Electron density in ion-laser discharges. Appl. Phys. Lett. 1971, 18, 557–561. [Google Scholar] [CrossRef]
- Sadeghi, N. Comment on: Correlating metastable-atom density, reduced electric field, and electron energy distribution in the post-transient stage of a 1 Torr argon discharge (2015 Plasma Source Sci. Technol. 24 034009). Plasma Sources Sci. Technol. 2016, 25. [Google Scholar] [CrossRef]
- Van De Wetering, F.M.J.H. Formation and Dynamics of Nanoparticles in Plasmas. Ph.D. Thesis, Eindhoven University of Technology, Eindhoven, The Netherlands, 2016. [Google Scholar]
- Shohet, J.L.; Hatch, A. Eigenvalues of a microwave cavity filled with a plasma of variable radial density. J. Appl. Phys. 1970, 41, 2610–2618. [Google Scholar] [CrossRef]
- Souw, E.K. Plasma density measurement in an imperfect microwave cavity. J. Appl. Phys. 1987, 61, 1761–1772. [Google Scholar] [CrossRef]
- Guochang, X.; Jun, L. Perturbation theoretical analysis and its application for TM010-mode microwave cavity of a gas laser. Rev. Sci. Instruments 1997, 68, 1935–1938. [Google Scholar] [CrossRef]
- Platier, B.; van de Wetering, F.M.J.H.; van Ninhuijs, M.; Brussaard, S.; Banine, V.Y.; Luiten, O.J.; Beckers, J. Addendum: Mapping electron dynamics in highly transient EUV photon-induced plasmas: A novel diagnostic approach using multi-mode microwave cavity resonance spectroscopy (2018 J PHYS D APPL PHYS 52 034004). J. Phys: D. Appl. Phys 2020. [Google Scholar] [CrossRef]
- Van De Wetering, F.M.J.H.; Beckers, J.; Kroesen, G.M.W. Anion dynamics in the first 10 milliseconds of an argon–acetylene radio-frequency plasma. J. Phys. D: Appl. Phys. 2012, 45, 485205. [Google Scholar] [CrossRef]
- Green, E.I. The Story of Q. Am. Sci. 1955, 434, 584–594. [Google Scholar]
- Harrington, R.F. Time-Harmonic Electromagnetic Fields; Wiley-IEEE Press: New York, NY, USA, 2001. [Google Scholar]
- Lieberman, M.A.; Lichtenberg, A.J. Discharges and Materials Processing Principles of Plasma Discharges and Materials, 2nd ed.; Wiley Online Library: Hoboken, NJ, USA, 2005. [Google Scholar]
- Chen, L.F.; Ong, C.K.; Neo, C.P.; Varadan, V.V.; Varadan, V.K. Measurement and Materials Characterization; John Wiley & Sons: West Sussex, UK, 2004; pp. 37–42. [Google Scholar] [CrossRef]
- Raizer, J.P.; Shneider, M.N.; Yatsenko, N.A. Radio-Frequency Capacitive Discharges, 1st ed.; CRC Press: Boca Raton, FL, USA, 1995. [Google Scholar]
- Bruggeman, P.J.; Iza, F.; Brandenburg, R. Foundations of atmospheric pressure non-equilibrium plasmas. Plasma Sources Sci. Technol. 2017, 26. [Google Scholar] [CrossRef]
- Knappmiller, S.; Robertson, S.; Sternovsky, Z. Comparison of two microwave and two probe methods for measuring plasma density. IEEE Trans. Plasma Sci. 2006, 34, 786–791. [Google Scholar] [CrossRef][Green Version]
- Van De Wetering, F.M.J.H.; Brooimans, R.J.C.; Nijdam, S.; Beckers, J.; Kroesen, G.M.W. Fast and interrupted expansion in cyclic void growth in dusty plasma. J. Phys. D Appl. Phys. 2015, 48, 35204. [Google Scholar] [CrossRef][Green Version]
- Beckers, J.; Van Der Horst, R.M.; Osorio, E.A.; Kroesen, G.M.; Banine, V.Y. Thermalization of electrons in decaying extreme ultraviolet photons induced low pressure argon plasma. Plasma Sources Sci. Technol. 2016, 25. [Google Scholar] [CrossRef]
- Freiberg, R.J.; Weaver, L.A. Microwave investigation of the transition from ambipolar to free diffusion in afterglow plasmas. Phys. Rev. 1968, 170, 336–341. [Google Scholar] [CrossRef]
- Gerber, R.A.; Gerardo, J.B. Ambipolar-to-free diffusion: The temporal behavior of the electrons and ions. Phys. Rev. A 1973, 7, 781–790. [Google Scholar] [CrossRef]
- Haverlag, M.; Kroesen, G.M.W.; Bisschops, T.H.J.; De Hoog, F.J. Measurement of electron densities by a microwave cavity method in 13.56-MHz RF plasmas of Ar, CF4, C2F6, and CHF3. Plasma Chem. Plasma Process. 1991, 11, 357–370. [Google Scholar] [CrossRef]
- Stoffels, W.W.; Sorokin, M.; Remy, J. Charge and charging of nanoparticles in a SiH4 rf-plasma. Faraday Discuss. 2007, 137, 115–126. [Google Scholar] [CrossRef] [PubMed]
- Van Der Horst, R.M.; Beckers, J.; Osorio, E.A.; Banine, V.Y. Exploring the electron density in plasmas induced by extreme ultraviolet radiation in argon. J. Phys. D Appl. Phys. 2015, 48. [Google Scholar] [CrossRef][Green Version]
- Leski, J.M. Robust weighted averaging [of biomedical signals]. IEEE Trans. Biomed. Eng. 2002, 49, 796–804. [Google Scholar] [CrossRef] [PubMed]
- Agdur, N.B. Apparatus for Measuring the Properties of a Material by Resonance Techniques. US Patent 3,458,808, 29 July 1969. [Google Scholar]
- Nelson, S.O.; Trabelsi, S. Factors influencing the dielectric properties of agricultural and food products. J. Microw. Power Electromagn. Energy 2012, 46, 93–107. [Google Scholar] [CrossRef] [PubMed]
- Platier, B.; Limpens, R.; Lassise, A.C.; Oosterholt, T.T.J.; van Ninhuijs, M.A.W.; Daamen, K.A.; Staps, T.J.A.; Zangrando, M.; Luiten, O.J.; IJzerman, W.L.; et al. Magnetic field-enhanced beam monitor for ionizing radiation. Rev. Sci. Instruments 2020, 91, 063503. [Google Scholar] [CrossRef]
- Haynes, W. CRC Handbook of Chemistry and Physics, 92th ed.; CRC Press: Boca Raton, FL, USA, 2011; pp. 6–209. [Google Scholar]
- Pozar, D.M. Microwave Engineering, 4th ed.; John Wiley & Sons: Hoboken, NJ, USA, 2011. [Google Scholar]
- Szewczyk, R. Magnetostatic Modelling of Thin Layers Using the Method of Moments and Its Implementation in Octave/Matlab; Lecture Notes in Electrical Engineering, Springer International Publishing: Cham, Switzerland, 2018; Volume 491. [Google Scholar] [CrossRef]
- Anderson, J.M. Cavity method suitable for measurement of high electron densities in plasmas. Rev. Sci. Instruments 1961, 32, 975–978. [Google Scholar] [CrossRef]
- Jackson, J.D.; Fox, R.F. Classical Electrodynamics. Am. J. Phys. 1999, 67, 841–842. [Google Scholar] [CrossRef]
- Li, J.; Getmanov, I.K.; Kudryavtsev, A.A.; Yuan, C.; Wang, X.; Zhou, Z. Conductivity and Permittivity in Plasma with Nonequilibrium Electron Distribution Function. IEEE Trans. Plasma Sci. 2020, 48, 388–393. [Google Scholar] [CrossRef]
- Schupp, R.; Torretti, F.; Meijer, R.A.; Bayraktar, M.; Scheers, J.; Kurilovich, D.; Bayerle, A.; Eikema, K.S.E.; Witte, S.; Ubachs, W.; et al. Efficient Generation of Extreme Ultraviolet Light from Nd:YAG-Driven Microdroplet-Tin Plasma. Phys. Rev. Appl. 2019, 12, 1. [Google Scholar] [CrossRef]
- Ayvazyan, V.; Baboi, N.; Bähr, J.; Balandin, V.; Beutner, B.; Brandt, A.; Bohnet, I.; Bolzmann, A.; Brinkmann, R.; Brovko, O.I.; et al. First operation of a free-electron laser generating GW power radiation at 32 nm wavelength. Eur. Phys. J. D 2006, 37, 297–303. [Google Scholar] [CrossRef]
- Zangrando, M.; Cudin, I.; Fava, C.; Gerusina, S.; Gobessi, R.; Godnig, R.; Rumiz, L.; Svetina, C.; Parmigiani, F.; Cocco, D. First results from the commissioning of the FERMI@Elettra free electron laser by means of the Photon Analysis Delivery and Reduction System (PADReS). In Advances in X-ray Free-Electron Lasers: Radiation Schemes, X-ray Optics, and Instrumentation; SPIE: Bellingham, WA, USA, 2011; Volume 8078, p. 80780I. [Google Scholar] [CrossRef]
- Schreiber, S.; Faatz, B. The free-electron laser FLASH. High Power Laser Sci. Eng. 2015, 3. [Google Scholar] [CrossRef]
- Milne, C.J.; Schietinger, T.; Aiba, M.; Alarcon, A.; Alex, J.; Anghel, A.; Arsov, V.; Beard, C.; Beaud, P.; Bettoni, S.; et al. SwissFEL: The Swiss X-ray Free Electron Laser. Appl. Sci. (Switzerland) 2017, 7, 720. [Google Scholar] [CrossRef]
- Van Minderhout, B.; van Huijstee, J.; Platier, B.; Peijnenburg, T.; Blom, P.; Kroesen, G.M.W.; Beckers, J. Charge control of micro-particles in a shielded plasma afterglow. Plasma Sources Sci. Technol. 2020. [Google Scholar] [CrossRef]
- Nijdam, S.; Takahashi, E.; Markosyan, A.H.; Ebert, U. Investigation of positive streamers by double-pulse experiments, effects of repetition rate and gas mixture. Plasma Sources Sci. Technol. 2014, 23. [Google Scholar] [CrossRef]
- Niessen, K.F. Clamped Cavity Resonator. U.S. Patent 2,528,387, 31 October 1950. [Google Scholar]
- Mccoubrey, M.O. Temperature Compensated Microwave Cavity. US Patent 3,034,078, 8 May 1962. [Google Scholar]
- Atia, A.E.; Perimutter, D.; Schrantz, P.R. Temperature Compensation Apparatus for a Resonant Microwave Cavity. US Patent 4,156,860, 29 May 1979. [Google Scholar]
- Pome, E.; Giovanni, S.S. Temperature Stabilied and Frequency Adjustable Microwave Cavities. US Patent 4,335,365, 15 June 1982. [Google Scholar]
- Franek, J.B.; Nogami, S.H.; Demidov, V.I.; Koepke, M.E.; Barnat, E.V. Correlating metastable-atom density, reduced electric field, and electron energy distribution in the post-transient stage of a 1-Torr argon discharge. Plasma Sources Sci. Technol. 2015, 24. [Google Scholar] [CrossRef]
- Chew, W.C. Lectures on Theory of Microwave and Optical Waveguides. 2012. Available online: http://wcchew.ece.illinois.edu/chew/course/tgwAll20121211.pdf (accessed on 12 October 2019).
- Feynman, R.P. Feynman Lectures on Physics: V2; Naroga Publishing House: New Delhi, India, 2013. [Google Scholar]




















© 2020 by the authors. Licensee MDPI, Basel, Switzerland. This article is an open access article distributed under the terms and conditions of the Creative Commons Attribution (CC BY) license (http://creativecommons.org/licenses/by/4.0/).
Share and Cite
Platier, B.; Staps, T.; Koelman, P.; van der Schans, M.; Beckers, J.; IJzerman, W. Probing Collisional Plasmas with MCRS: Opportunities and Challenges. Appl. Sci. 2020, 10, 4331. https://doi.org/10.3390/app10124331
Platier B, Staps T, Koelman P, van der Schans M, Beckers J, IJzerman W. Probing Collisional Plasmas with MCRS: Opportunities and Challenges. Applied Sciences. 2020; 10(12):4331. https://doi.org/10.3390/app10124331
Chicago/Turabian StylePlatier, Bart, Tim Staps, Peter Koelman, Marc van der Schans, Job Beckers, and Wilbert IJzerman. 2020. "Probing Collisional Plasmas with MCRS: Opportunities and Challenges" Applied Sciences 10, no. 12: 4331. https://doi.org/10.3390/app10124331
APA StylePlatier, B., Staps, T., Koelman, P., van der Schans, M., Beckers, J., & IJzerman, W. (2020). Probing Collisional Plasmas with MCRS: Opportunities and Challenges. Applied Sciences, 10(12), 4331. https://doi.org/10.3390/app10124331

