An Elongational and Shear Evaluation of Polymer Viscoelasticity during Flow in Porous Media
Abstract
1. Introduction
1.1. Polymer Rheology
1.2. Recovery Mechanisms of Polymer Flooding
1.2.1. Mobility Control
- Polymer solutions are prepared in high concentrations, to overcome the effects of formation brine salinity. There is a decrease in polymer in situ viscosity, but high concentrations of polymer solutions can sweep the reservoir to contribute to additional oil recovery. On a commercial scale, high-concentration polymer flooding was performed in the Daqing Field and produced 20% original oil in place (OOIP) [37]. Field tests concluded that high-concentration polymer injection is safe and commercially economical.
- A couple of pilot tests and many laboratory experiments have concluded that low-salinity pre-flush can be performed to decrease the salinity and hardness of formation brine [38,39,40]. Polymer flood after the pre-flush is expected to have suitable in situ polymer viscosity, hence contributing to higher oil recovery.
- Recently, the concept of the hybrid EOR method, using combined low-salinity water flooding with polymer flooding, has also shown promising results for oil recovery [41,42]. Low salinity also decreases the salinity of formation brine in a similar manner as pre-flush and polymer flooding and afterward retains good mobility control.
1.2.2. Polymer Viscoelasticity
- Mechanical shear and chemical degradation [50,51,52]: Mechanical shear is caused during polymer solution preparation through mixing devices, injection pumps, flow lines, and valves from storage tanks to injection wells. Chemical degradation is caused by a chemical reaction. For example, the polymer may be sensitive to oxygen and thus oxygen scavengers are added to the solution.
- Hardness of the reservoir brine [10,55]: Hardness is the number of cations in the brine. A high number of cations will result in low polymer viscosity. Polymer’s ball-like molecular structure is composed of negative charges, and the repulsive forces of negative charges result in a larger ball-like molecular structure. High concentrations of cations react with the negative charge of polymer, hence decreasing the ball-like molecular size. A reduction in molecular size results in the loss of polymer viscosity and hence reduces viscoelasticity.
1.3. Pilot Projects of Polymer Flooding
- A pilot study performed in Marmul Field (Oman) and reported by Koning et al. [39] describes polymer flooding with low salinity as a pre- and post-flush. The salinity of the formation brine was reported as 3 g/L, and low-salinity pre-flush/post-flush with 0.6 g/L NaCl brine was injected. A combination of polymer injection with pre- and post-flush resulted in 59% of stock tank oil initially in place (STOIIP).
- Wang et al. [40] presented pilot test data of the well-known polymer flooding (pilot one (PO) and pilot two (PT)) application in Daqing Field (China). The formation brine salinity was 7 g/L, and a pre-flush of low-salinity brine of 0.8–1.3 g/L was performed before polymer flooding (1000 ppm concentration of polymer). Interestingly, the produced water salinity was reported in concentrations of 2 to 4 g/L. The combined oil recovery from pre-flush and polymer flooding increased by 14% (pilot one) and 11.6% (pilot two) compared to water flooding.
- Al-Qattan et al. [41] presented a single-well chemical tracer test (SWCT) performed in one Wara producer of the Greater Burgan Field (Kuwait). The reported connate water salinity was 160 g/L total dissolved solids (TDS). Low-salinity brine (diluted SWCT chemicals) flooding was performed as SWCT Test #2, and low-salinity polymer injection was performed as SWCT Test #3. The associated reduction of residual oil saturation (Sor) was 7% from low-salinity pre-flush and low-salinity polymer flooding.
- Polymer flooding in the Adorf Field (Germany) was applied after a low-salinity pre-flush [71] with formation brine with an initial salinity of 250 g/L. In this case, polymer flooding did not contribute to the expected additional oil recovery. The main reason for the poor performance was a reaction between the injected low-salinity brine and the rock minerals. This reaction significantly increased the brine hardness, hence limiting the viscosity control and performance of the polymer flooding.
1.4. Overall Methodology and Approach
- Brine Preparation and Optimization: Three brines were prepared, focusing on the role of varying total dissolved solids and increasing amount of sulfate in seawater (SW).
- Polymer Diluted Solutions Preparation: Two diluted polymer solutions (2000 and 3000 ppm) were prepared in brines with different TDS and added amounts of sulfates, in order to investigate the impact of salinity and hardness.
- Rheological Measurements: An approach to characterize the polymer viscoelastic properties, focusing on steady shear viscosity, elongational viscosity, small-amplitude oscillatory shear (SAOS), and first normal stress difference (N1) measurements. Rheological measurements of diluted solution before and after core flooding helped to conclude the potential loss in viscoelastic properties around the injection well.
- Single-Phase Core Flooding Experiments: Diluted polymer solution injection was performed over increasing injection rates, to study the in situ flow dynamics of polymer solutions.
- Microfluidics: Polymer flooding (prepared in SW) with varying amounts of sulfates in oil-saturated micromodels helped in our understanding of which one, between salinity and hardness, has a dominating impact on in situ viscoelastic polymer response.
2. Materials and Methods
2.1. Fluids and Chemicals
2.1.1. Brine Composition
2.1.2. Polymer Solutions
2.1.3. Rheological Measurements
2.1.4. Dead Oil
2.2. Porous Media
2.2.1. Bentheimer Core Plug for Single-Phase Polymer Flood
- Perform the oscillatory, steady shear viscosity, and extensional measurements of polymer solutions before core flood (3000 ppm in B1 and B2) at the selected temperatures (22 and 55 °C) for rheological characterization.
- Perform polymer flooding with an increasing range of injection rates (37 to 29 mL/min) through the core at the relevant temperatures (22 and 55 °C), to investigate in situ viscosity.
- Perform the oscillatory, steady shear viscosity and extensional measurements of effluents from core flood at the chosen temperatures (22 and 55 °C), for loss in rheological properties.
2.2.2. Microfluidics
- Initially, deionized water injection was performed in a clean micromodel, to remove air bubbles pursued until the differential pressure across micromodel reaches the desired value and stabilizes.
- Micromodel permeability was measured with deionized water, and synthetic seawater saturation was established in micromodel afterward.
- Continuous and increasing oil injection rates were performed to establish initial oil saturation, until no further water could be produced and pressure stabilized.
- Polymer flooding (2000 ppm prepared in B1 and B3) was performed to observe the oil recovery and to gather the pressure data.
- Micromodel images were captured during the flooding process, at different time intervals, and an imaging-processing tool developed in MATLAB (2018b) calculated oil recovery at a specific time interval/image.
2.3. e-VROC Extensional Viscometer
3. Results and Discussion
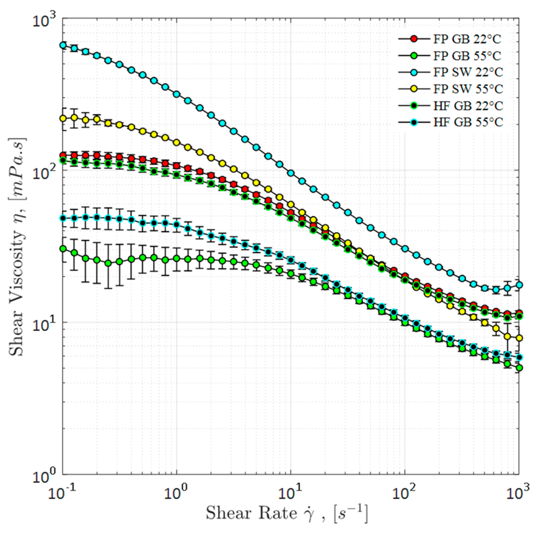
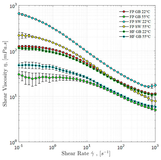
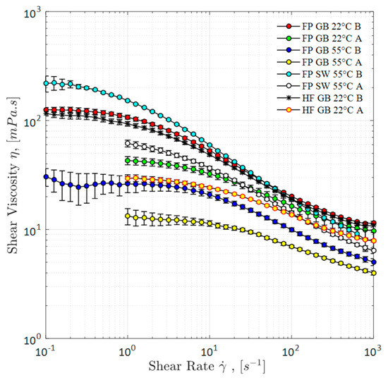
3.1. Steady Shear Viscosity
3.2. Single-Phase Polymer Flooding Results
3.2.1. Measuring Pressure Drop across the Cores
3.2.2. Pressure-Drop Differentiation Due to Shear and Elongation
3.3. Core-Flooding Effluent Analysis
3.3.1. Steady Shear Rheology
3.3.2. First Normal Stress Differences and Oscillatory Measurement
3.3.3. Extensional Measurements
3.4. Polymer Flooding in Oil-Saturated Micromodel
4. Conclusions
- Comparison of core flood pressure-drop data with rheometer and e-VROC® pressure data has provided insightful information about turbulence-dominated excessive pressure drop occurring inside porous media. The existence of this excessive pressure drop in porous media will help to understand pore-scale mechanisms in reservoirs.
- Deep inside the reservoir, flow dynamics of polymer solutions could be predicted by using the approach here presented (linear viscoelastic part). However, around the injection and production wells, elongational/extensional measurements should be incorporated to completely understand the flow regimes in porous media.
- Reservoir semi-harsh conditions, at a high temperature and with an increased amount of divalent cations, significantly counter the designed viscoelastic properties of polymers. Extensional, steady shear viscosity and oscillatory measurement were used to investigate the impact of semi-harsh conditions on polymer elastic properties. The activity of divalent ions at high temperatures makes it a worse condition for polymers to hold good viscoelastic properties. However, low salinity pre-flush as a water-softening technique before polymer flood can help to mitigate this issue.
- Comparison of rheological characterization before core flood and effluent showed that the primary loss of viscoelastic properties occurs at the sand face of injection, well within a radius of a few inches.
- Results of oil recovery factor conclude that brine salinity is a more sensitive parameter, as compared to brine hardness, in focus of shear flow. Higher salinity and lower hardness can challenge the polymer target shear viscosity and influence the sweep efficiency in porous media.
Author Contributions
Funding
Acknowledgments
Conflicts of Interest
Abbreviations
| FP | Flopaam 6035 S |
| HF | Hengfloc 63026 |
| A | After core flood (effluent) |
| B | Before core flood (fresh solution) |
| SW | Seawater |
| eVROC | Extensional viscometer–rheometer on a chip |
| DW | De-ionized water |
| N1 | First normal stress differences |
References
- Pope, G.A. Recent Developments and Remaining Challenges of Enhanced Oil Recovery. J. Pet. Technol. 2011, 63, 65–68. [Google Scholar] [CrossRef]
- Hincapie, R.; Alvarez, C.E.; Vargas, A.J. Technical Feasibility of Polymer Injection in Heavy Oil Reservoir BAINF60 and BAMED78: Intercampo Norte—Through Predictive Models. In Proceedings of the SPE Heavy Oil Conference and Exhibition, Kuwait City, Kuwait, 12–14 December 2011. [Google Scholar] [CrossRef]
- Tahir, M.; Hincapie, R.E.; Gaol, C.L.; Säfken, S.; Ganzer, L. Flow Dynamics of Sulfate-Modified Water/Polymer Flooding in Micromodels with Modified Wettability. Appl. Sci. 2020, 10, 3239. [Google Scholar] [CrossRef]
- Tahir, M.; Hincapie, R.E.; Ganzer, L. Influence of Sulfate Ions on the Combined Application of Modified Water and Polymer Flooding—Rheology and Oil Recovery. Energies 2020, 13, 2356. [Google Scholar] [CrossRef]
- Tahir, M.; Hincapie, R.E.; Foedisch, H.; Abdullah, H.; Ganzer, L. Impact of Sulphates Presence During Application of Smart Water Flooding Combined with Polymer Flooding. In Proceedings of the SPE Europec Featured at 80th EAGE Conference and Exhibition, Copenhagen, Denmark, 11–14 June 2018. [Google Scholar] [CrossRef]
- Tahir, M.; Hincapie, R.E.; Foedisch, H.; Strobel, G.-J.; Ganzer, L. Potential Benefits of Fluid Optimization for Combined Smart-Water and Polymer Flooding: Impact on Remaining Oil Saturation. In Proceedings of the SPE Russian Petroleum Technology Conference, Moscow, Russia, 22–24 October 2019. [Google Scholar] [CrossRef]
- Hincapie, R.E. Pore-Scale Investigation of the Viscoelastic Phenomenon during Enhanced Oil Recovery (EOR) Polymer Flooding through Porous Media; Papierflieger: Clausthal-Zellerfeld, Germany, 2016. [Google Scholar]
- Be, M.; Hincapie, R.E.; Rock, A.; Gaol, C.L.; Tahir, M.; Ganzer, L. Comprehensive Evaluation of the EOR Polymer Viscoelastic Phenomenon at Low Reynolds Number. In Proceedings of the SPE Europec Featured at 79th EAGE Conference and Exhibition, Paris, France, 12–15 June 2017. [Google Scholar] [CrossRef]
- Elhajjaji, R.R.; Hincapie, R.E.; Tahir, M.; Rock, A.; Wegner, J.; Ganzer, L. Systematic Study of Viscoelastic Properties during Polymer-Surfactant Flooding in Porous Media. In Proceedings of the SPE Russian Petroleum Technology Conference and Exhibition, Moscow, Russia, 24–26 October 2016. (In Russian). [Google Scholar] [CrossRef]
- Tahir, M.; Hincapie, R.E.; Be, M.; Ganzer, L. Experimental Evaluation of Polymer Viscoelasticity During Flow in Porous Media: Elongational and Shear Analysis. In Proceedings of the SPE Europec Featured at 79th EAGE Conference and Exhibition, Paris, France, 12–15 June 2017. [Google Scholar] [CrossRef]
- Tahir, M.; Hincapie, R.E.; Be, M.; Ganzer, L. A Comprehensive Combination of Apparent and Shear Viscoelastic Data during Polymer Flooding for EOR Evaluations. World J. Eng. Technol. 2017, 5, 585–600. [Google Scholar] [CrossRef][Green Version]
- Tahir, M.; Hincapie, R.E. Coexistence of Shear and Elongational Components of Flow Paths through Porous Media during Polymer-Flooding Applications. In Proceedings of the 77th EAGE Conference and Exhibition 2015, Madrid, Spain, 1–4 June 2015; pp. 1–3. [Google Scholar]
- Hincapie, R.E.; Ganzer, L. Assessment of Polymer Injectivity with Regards to Viscoelasticity: Lab Evaluations towards Better Field Operations. In Proceedings of the 77th EAGE Conference and Exhibition 2015, Madrid, Spain, 1–4 June 2015. [Google Scholar] [CrossRef]
- Huang, B.; Hu, X.; Fu, C.; Cheng, H.; Wang, X.; Wang, L. Molecular Morphology and Viscoelasticity of ASP Solution under the Action of a Different Medium Injection Tool. Polymers 2019, 11, 1299. [Google Scholar] [CrossRef] [PubMed]
- Hincapie, R.E.; Duffy, J.; O’Grady, C.; Ganzer, L. An Approach to Determine Polymer Viscoelasticity under Flow Through Porous Media by Combining Complementary Rheological Techniques. In Proceedings of the SPE Asia Pacific Enhanced Oil Recovery Conference, Kuala Lumpur, Malaysia, 11–13 August 2015. [Google Scholar] [CrossRef]
- Li, J.; Niu, L.; Wu, W.; Sun, M. The Reservoir Adaptability and Oil Displacement Mechanism of Polymer Microspheres. Polymers 2020, 12, 885. [Google Scholar] [CrossRef]
- Huang, B.; Li, X.; Fu, C.; Wang, Y.; Cheng, H. Study Rheological Behavior of Polymer Solution in Different-Medium-Injection-Tools. Polymers 2019, 11, 319. [Google Scholar] [CrossRef]
- Al-Shakry, B.; Skauge, T.; Shiran, B.S.; Skauge, A. Polymer Injectivity: Investigation of Mechanical Degradation of Enhanced Oil Recovery Polymers Using In-Situ Rheology. Energies 2019, 12, 49. [Google Scholar] [CrossRef]
- Al-Shakry, B.; Skauge, T.; Shiran, B.S.; Skauge, A. Impact of Mechanical Degradation on Polymer Injectivity in Porous Media. Polymers 2018, 10, 742. [Google Scholar] [CrossRef]
- Agi, A.; Junin, R.; Gbonhinbor, J.; Onyekonwu, M. Natural polymer flow behaviour in porous media for enhanced oil recovery applications: A review. J. Petrol. Explor. Prod. Technol. 2018, 8, 1349–1362. [Google Scholar] [CrossRef]
- Jones, D.M.; Walters, K. The behaviour of polymer solutions in extension-dominated flows, with applications to Enhanced Oil Recovery. Rheol. Acta 1989, 28, 482–498. [Google Scholar] [CrossRef]
- Nilsson, M.A.; Kulkarni, R.; Gerberich, L.; Hammond, R.; Singh, R.; Baumhoff, E.; Rothstein, J.P. Effect of fluid rheology on enhanced oil recovery in a microfluidic sandstone device. J. Non-Newton. Fluid Mech. 2013, 202, 112–119. [Google Scholar] [CrossRef]
- Van Santvoort, J.; Golombok, M. Sweep enhancers for oil recovery. J. Petrol. Explor. Prod. Technol. 2016, 6, 473–480. [Google Scholar] [CrossRef]
- Jacobsen, J.G.; Shiran, B.S.; Skauge, T.; Sorbie, K.S.; Skauge, A. Qualification of New Methods for Measuring In Situ Rheology of Non-Newtonian Fluids in Porous Media. Polymers 2020, 12, 452. [Google Scholar] [CrossRef] [PubMed]
- Azad, M.S.; Trivedi, J.J. Quantification of the Viscoelastic Effects During Polymer Flooding: A Critical Review. SPE J. 2019. [Google Scholar] [CrossRef]
- Sorbie, K.S. Polymer-Improved Oil Recovery; Springer Science and Business Media LLC: Dordrecht, The Netherlands, 1991; ISBN 978-94-011-3044-8. [Google Scholar]
- Skauge, T.; Djurhuus, K.; Reichenbach-Klinke, R. Visualization of Heavy Oil Mobilization by Associative Polymer. In Proceedings of the SPE Europec Featured at 80th EAGE Conference and Exhibition, Copenhagen, Denmark, 11–14 June 2018. [Google Scholar] [CrossRef]
- Huh, C.; Pope, G.A. Residual Oil Saturation from Polymer Floods: Laboratory Measurements and Theoretical Interpretation. In Proceedings of the SPE Symposium on Improved Oil Recovery, Tulsa, OK, USA, 20–23 April 2008. [Google Scholar] [CrossRef]
- Rock, A.; Hincapie, R.E.; Hoffmann, E.; Ganzer, L. Tertiary Low Salinity Waterflooding LSWF in Sandstone Reservoirs: Mechanisms, Synergies and Potentials in EOR Applications. In Proceedings of the SPE Europec Featured at 80th EAGE Conference and Exhibition, Copenhagen, Denmark, 11–14 June 2018. [Google Scholar] [CrossRef]
- Clarke, A.; Howe, A.M.; Mitchell, J.; Staniland, J.; Hawkes, L.; Leeper, K. Mechanism of anomalously increased oil displacement with aqueous viscoelastic polymer solutions. Soft Matter 2015, 11, 3536–3541. [Google Scholar] [CrossRef] [PubMed]
- Sheng, J.J.; Leonhardt, B.; Azri, N. Status of Polymer-Flooding Technology. J. Can. Pet. Technol. 2015, 54, 116–126. [Google Scholar] [CrossRef]
- Yin, H.; Wang, D.; Zhong, H. Study on Flow Behavoirs of Viscoelastic Polymer Solution in Micropore With Dead End. In Proceedings of the SPE Annual Technical Conference and Exhibition, San Antonia, TX, USA, 24–27 September 2006. [Google Scholar] [CrossRef]
- Demin, W.; Cheng, J.; Xia, H.; Li, Q.; Shi, J. Viscous-Elastic Fluids Can Mobilize Oil Remaining after Water-Flood by Force Parallel to the Oil-Water Interface. In Proceedings of the SPE Asia Pacific Improved Oil Recovery Conference, Kuala Lumpur, Malaysia, 6–9 October 2001. [Google Scholar]
- Hincapie, R.E.; Rock, A.; Wegner, J.; Ganzer, L. Oil Mobilization by Viscoelastic Flow Instabilities Effects during Polymer EOR: A Pore-Scale Visualization Approach. In Proceedings of the SPE Latin America and Caribbean Petroleum Engineering Conference, Buenos Aires, Argentina, 17–19 May 2017. [Google Scholar] [CrossRef]
- Qi, P.; Ehrenfried, D.H.; Koh, H.; Balhoff, M.T. Reduction of Residual Oil Saturation in Sandstone Cores Using Viscoelastic Polymers. In Proceedings of the SPE Improved Oil Recovery Conference, Tulsa, OK, USA, 11–13 April 2016. [Google Scholar] [CrossRef]
- Wang, J.; Dong, M. Optimum effective viscosity of polymer solution for improving heavy oil recovery. J. Pet. Sci. Eng. 2009, 67, 155–158. [Google Scholar] [CrossRef]
- Yang, F.; Wang, D.; Wang, G.; Sui, X.; Liu, W.; Kan, C. Study on High-Concentration Polymer Flooding To Further Enhance Oil Recovery. In Proceedings of the SPE Annual Technical Conference and Exhibition, San Antonio, TX, USA, 24–27 September 2006. [Google Scholar] [CrossRef]
- Algharaib, M.; Alajmi, A.; Gharbi, R. Improving polymer flood performance in high salinity reservoirs. J. Pet. Sci. Eng. 2014, 115, 17–23. [Google Scholar] [CrossRef]
- Koning, E.J.L.; Mentzer, E.; Heemskerk, J. Evaluation of a Pilot Polymer Flood in the Marmul Field, Oman. In Proceedings of the SPE Annual Technical Conference and Exhibition, Houston, TX, USA, 2–5 October 1988. [Google Scholar] [CrossRef]
- Wang, D.; Hao, Y.; Delamaide, E.; Ye, Z.; Ha, S.; Jiang, X. Results of Two Polymer Flooding Pilots in the Central Area of Daqing Oil Field. In Proceedings of the SPE Annual Technical Conference and Exhibition, Houston, TX, USA, 3–6 October 1993. [Google Scholar] [CrossRef]
- Al-Qattan, A.; Sanaseeri, A.; Al-Saleh, Z.; Singh, B.B.; Al-Kaaoud, H.; Delshad, M.; Hernandez, R.; Winoto, W.; Badham, S.; Bouma, C.; et al. Low Salinity Waterflood and Low Salinity Polymer Injection in the Wara Reservoir of the Greater Burgan Field. In Proceedings of the SPE EOR Conference at Oil and Gas West Asia, Muscat, Oman, 26–28 March 2018. [Google Scholar] [CrossRef]
- Shiran, B.S.; Skauge, A. Enhanced Oil Recovery (EOR) by Combined Low Salinity Water/Polymer Flooding. Energy Fuels 2013, 27, 1223–1235. [Google Scholar] [CrossRef]
- Skauge, A.; Shiran, B.S. Low Salinity Polymer Flooding. In Proceedings of the Saint Petersburg Russia—From Fundamental Science to Deployment: 17th European Symposium on Improved Oil Recovery(IOR), St Petersburg, Russia, 16–18 April 2013. [Google Scholar] [CrossRef]
- Ayirala, S.C.; Uehara-Nagamine, E.; Matzakos, A.N.; Chin, R.W.; Doe, P.H.; van den Hoek, P.J. A Designer Water Process for Offshore Low Salinity and Polymer Flooding Applications. In Proceedings of the SPE Improved Oil Recovery Symposium, Tulsa, OK, USA, 24–28 April 2010. [Google Scholar] [CrossRef]
- Khorsandi, S.; Qiao, C.; Johns, R.T. Displacement Efficiency for Low Salinity Polymer Flooding Including Wettability Alteration. In Proceedings of the SPE Improved Oil Recovery Conference, Tulsa, OK, USA, 11–13 April 2016. [Google Scholar] [CrossRef]
- Kim, D.H.; Lee, S.; Ahn, C.H.; Huh, C.; Pope, G.A. Development of a Viscoelastic Property Database for EOR Polymers. In Proceedings of the SPE Improved Oil Recovery Symposium, Tulsa, OK, USA, 24–28 April 2010. [Google Scholar] [CrossRef]
- Sochi, T. Non-Newtonian flow in porous media. Polymer 2010, 51, 5007–5023. [Google Scholar] [CrossRef]
- Clarke, A.; Howe, A.M.; Mitchell, J.; Staniland, J.; Hawkes, L.A. How Viscoelastic-Polymer Flooding Enhances Displacement Efficiency. SPE J. 2016, 21, 675–687. [Google Scholar] [CrossRef]
- Wang, D.; Wang, G.; Xia, H. Large Scale High Visco-Elastic Fluid Flooding in the Field Achieves High Recoveries. In Proceedings of the SPE Enhanced Oil Recovery Conference, Kuala Lumpur, Malaysia, 19–21 July 2011. [Google Scholar] [CrossRef]
- Muller, A.J.; Patruyo, L.G.; Montano, W.; Roversi-M, D.; Moreno, R.; Rami´rez, N.E.; Sa´ez, A.E. Mechanical Degradation of Polymers in Flows Through Porous Media: Effect of Flow Path Length and Particle Size. Appl. Mech. Rev. 1997, 50. [Google Scholar] [CrossRef]
- Chemical Degradation—An Overview|ScienceDirect Topics. Available online: https://www.sciencedirect.com/topics/materials-science/chemical-degradation (accessed on 3 April 2020).
- Mechanical Degradation—An Overview|ScienceDirect Topics. Available online: https://www.sciencedirect.com/topics/engineering/mechanical-degradation (accessed on 3 April 2020).
- Thermal Degradation of Polymer—An Overview|ScienceDirect Topics. Available online: https://www.sciencedirect.com/topics/engineering/thermal-degradation-of-polymer (accessed on 3 April 2020).
- Ray, S.; Cooney, R. Thermal Degradation of Polymer and Polymer Composites. In Handbook of Environmental Degradation of Materials, 2nd ed.; Elsevier BV: Amsterdam, The Netherlands, 2012; pp. 213–242. [Google Scholar] [CrossRef]
- Divers, T.; Gaillard, N.; Bataille, S.; Thomas, A.; Favéro, C. Successful Polymer Selection for CEOR: Brine Hardness and Mechanical Degradation Considerations. In Proceedings of the SPE Oil and Gas India Conference and Exhibition, Mumbai, India, 4–6 April 2017. [Google Scholar] [CrossRef]
- Moradi-Araghi, A.; Doe, P.H. Hydrolysis and Precipitation of Polyacrylamides in Hard Brines at Elevated Temperatures. SPE Reserv. Eng. 1987, 2, 189–198. [Google Scholar] [CrossRef]
- Seright, R.S. The Effects of Mechanical Degradation and Viscoelastic Behavior on Injectivity of Polyacrylamide Solutions. Soc. Pet. Eng. J. 1983, 23, 475–485. [Google Scholar] [CrossRef]
- Xiong, B.; Purswani, P.; Pawlik, T.; Samineni, L.; Karpyn, Z.T.; Zydney, A.L.; Kuma, M. Mechanical degradation of polyacrylamide at ultra high deformation rates during hydraulic fracturing. Environ. Sci. Water Res. Technol. 2020, 6, 166–172. [Google Scholar] [CrossRef]
- Puls, C.; Clemens, T.; Sledz, C.; Kadnar, R.; Gumpenberger, T. Mechanical Degradation of Polymers During Injection, Reservoir Propagation and Production—Field Test Results 8 TH Reservoir, Austria. In Proceedings of the SPE Europec Featured at 78th EAGE Conference and Exhibition, Vienna, Austria, 30 May–2 June 2016. [Google Scholar] [CrossRef]
- Swiecinski, F.; Reed, P.; Andrews, W. The Thermal Stability of Polyacrylamides in EOR Applications. In Proceedings of the SPE Improved Oil Recovery Conference, Tulsa, OK, USA, 11–13 April 2016. [Google Scholar] [CrossRef]
- Rodriguez, L.; Mejia, A.; Reynaud, S.; Lespes, G.; Favero, C.; Antignard, S.; Giovannetti, B.; Gaillard, N.; Dupuis, G.; Loriau, M.; et al. Monitoring Thermal and Mechanical Stability of Enhanced Oil Recovery (EOR) Acrylamide Based Polymers (PAM) Through Intrinsic Viscosity (IV) Determination Using a New Capillary Rheology Technique. In Proceedings of the SPE EOR Conference at Oil and Gas West Asia, Muscat, Oman, 21–23 March 2016. [Google Scholar] [CrossRef]
- Zhang, X.; Han, M.; Fuseni, A.; AlSofi, A.M. A New Facile Approach to Estimate EOR Polymers Thermal Stability at Harsh Reservoir Conditions. In Proceedings of the Abu Dhabi International Petroleum Exhibition & Conference, Abu Dhabi, UAE, 13–16 November 2017. [Google Scholar] [CrossRef]
- Jouenne, S.; Chakibi, H.; Levitt, D. Polymer Stability After Successive Mechanical-Degradation Events. SPE J. 2018, 23, 18–33. [Google Scholar] [CrossRef]
- Åsen, S.M.; Stavland, A.; Strand, D.; Hiorth, A. An Experimental Investigation of Polymer Mechanical Degradation at cm and m Scale. In Proceedings of the SPE Improved Oil Recovery Conference, Tulsa, OK, USA, 14–18 April 2018. [Google Scholar] [CrossRef]
- Khamis, M.A.; Omer, O.A.; Kinawy, M.M. Predicting the Optimum Concentration of Partially Hydrolyzed Polyacrylamide Polymer in Brine Solutions for Better Oil Recovery, Experimental Study. In Proceedings of the SPE Kingdom of Saudi Arabia Annual Technical Symposium and Exhibition, Dammam, Saudi Arabia, 23–26 April 2018. [Google Scholar] [CrossRef]
- Diab, W.N.; Al-Shalabi, E.W. Recent Developments in Polymer Flooding for Carbonate Reservoirs under Harsh Conditions. In Proceedings of the Offshore Technology Conference, Rio de Janeiro, Brazil, 29–31 October 2019. [Google Scholar] [CrossRef]
- Rodriguez, L.; Antignard, S.; Giovannetti, B.; Dupuis, G.; Gaillard, N.; Jouenne, S.; Bourdarot, G.; Morel, D.; Zaitoun, A.; Grassl, B. A New Thermally Stable Synthetic Polymer for Harsh Conditions of Middle East Reservoirs. In Proceedings of the SEG/AAPG/EAGE/SPE Research and Development Petroleum Conference and Exhibition, Abu Dhabi, UAE, 9–10 May 2018. [Google Scholar]
- Alfazazi, U.; AlAmeri, W.; Hashmet, M.R. Experimental investigation of polymer flooding with low-salinity preconditioning of high temperature–high-salinity carbonate reservoir. J. Petrol. Explor. Prod. Technol. 2019, 9, 1517–1530. [Google Scholar] [CrossRef]
- Leveratto, M.A.; Lauri, J.; Sanz, C.; Sigal, J.; Ali, S.M.F. EOR Polymer Screening For An Oil Field With High Salinity Brines. SPE Adv. Technol. Ser. 1996, 4, 73–81. [Google Scholar] [CrossRef]
- Unsal, E.; Berge, A.B.G.M.T.; Wever, D.A.Z. Low salinity polymer flooding: Lower polymer retention and improved injectivity. J. Pet. Sci. Eng. 2018, 163, 671–682. [Google Scholar] [CrossRef]
- Kleinitz, W.; Littmann, W. Polymer Flooding: Appraisal of Four Different Field Projects in Germany. In Proceedings of the IOR 1995 8th European Symposium on Improved Oil Recovery, Vienna, Austria, 15–17 May 1995. [Google Scholar] [CrossRef]
- Tabary, R.; Douarche, F.; Bazin, B.; Lemouzy, P.M.; Moreau, P.; Morvan, M. Design of a Surfactant/Polymer Process in a Hard Brine Context: A Case Study Applied to Bramberge Reservoir. In Proceedings of the SPE EOR Conference at Oil and Gas West Asia, Muscat, Oman, 16–18 April 2012. [Google Scholar] [CrossRef]
- Tay, A.; Oukhemanou, F.; Wartenberg, N.; Moreau, P.; Guillon, V.; Delbos, A.; Tabary, R. Adsorption Inhibitors: A New Route to Mitigate Adsorption in Chemical Enhanced Oil Recovery. In Proceedings of the SPE Asia Pacific Enhanced Oil Recovery Conference, Kuala Lumpur, Malaysia, 11–13 August 2015. [Google Scholar] [CrossRef]
- API RP 63—Recommended Practices for Evaluation of Polymers Used in Enhanced Oil Recovery Operations|Engineering360. Available online: https://standards.globalspec.com/std/183645/API%20RP%2063 (accessed on 18 May 2020).
- Vermolen, E.C.M.; van Haasterecht, M.J.T.; Masalmeh, S.K.; Faber, M.J.; Boersma, D.M.; Gruenenfelder, M.A. Pushing the envelope for polymer flooding towards high-temperature and high-salinity reservoirs with polyacrylamide based ter-polymers. In Proceedings of the SPE Middle East Oil and Gas Show and Conference, Manama, Bahrain, 25–28 September 2011. [Google Scholar] [CrossRef]
- Födisch, H.; Wegner, J.; Hincapie, R.; Ganzer, L. Impact of Connate Water Replacement on Chemical EOR Processes. In Proceedings of the SPE Latin American and Caribbean Petroleum Engineering Conference, Quito, Ecuador, 18–20 November 2015. [Google Scholar] [CrossRef]
- Gaol, C.; Wegner, J.; Ganzer, L.; Dopffel, N.; Koegler, F.; Borovina, A.; Alkan, H. Investigation of Pore-Scale Mechanisms of Microbial Enhanced Oil Recovery MEOR Using Microfluidics Application. In Proceedings of the SPE Europec Featured at 81st EAGE Conference and Exhibition, London, UK, 3–6 June 2019. [Google Scholar] [CrossRef]
- Hauhs, F.; Födisch, H.; Hincapie, R.E.; Ganzer, L. Novel Evaluation of Foam and Immiscible Gas Flooding in Glass-Silicon-Glass Micromodels. In Proceedings of the SPE Europec Featured at 80th EAGE Conference and Exhibition, Copenhagen, Denmark, 11–14 June 2018. [Google Scholar] [CrossRef]
- Schumi, B.; Clemens, T.; Wegner, J.; Ganzer, L.; Kaiser, A.; Hincapie, R.E.; Leitenmüller, V. Alkali/Cosolvent/Polymer Flooding of High-TAN Oil: Using Phase Experiments, Micromodels, and Corefloods for Injection-Agent Selection. SPE Reserv. Eval. Eng. 2019. [Google Scholar] [CrossRef]
- Tahir, M.; Hincapie, R.E.; Langanke, N.; Ganzer, L.; Jaeger, P. Coupling Microfluidics Data with Core Flooding Experiments to Understand Sulfonated/Polymer Water Injection. Polymers 2020, 12, 1227. [Google Scholar] [CrossRef] [PubMed]
- Heemskerk, J.; Rosmalen, R.; Janssen-van, R.; Holtslag, R.J.; Teeuw, D. Quantification of Viscoelastic Effects of Polyacrylamide Solutions. In Proceedings of the SPE Enhanced Oil Recovery Symposium, Tulsa, OK, USA, 15–18 April 1984. [Google Scholar] [CrossRef]
- Sheng, J. Modern Chemical Enhanced Oil Recovery: Theory and Practice; Gulf Professional Publishing: Houston, TX, USA, 2011; ISBN 978-1-85617-745-0. [Google Scholar] [CrossRef]
- Tahir, M.; Hincapie, R.E.; Ganzer, L. Unlocking the Effects of Fluid Optimization on Remaining Oil Saturation for the Combined Sulfate-Modified Water and Polymer Flooding. Energies 2020, 13, 3049. [Google Scholar] [CrossRef]
- Azad, M.S.; Trivedi, J.J. Extensional Effects during Viscoelastic Polymer Flooding: Understanding Unresolved Challenges. SPE J. 2020. [Google Scholar] [CrossRef]
- Azad, M.S.; Dalsania, Y.; Trivedi, J.J. Understanding the flow behaviour of copolymer and associative polymers in porous media using extensional viscosity characterization: Effect of hydrophobic association. Can. J. Chem. Eng. 2018, 96, 2498–2508. [Google Scholar] [CrossRef]
- Gogarty, W.B. Mobility Control With Polymer Solutions. Soc. Pet. Eng. J. 1967, 7, 161–173. [Google Scholar] [CrossRef]
- Littmann, W. Polymer Flooding. Developments in Petroleum Science, 24th ed.; Elsevier: Amsterdam, The Netherlands, 1988; Volume 24. [Google Scholar]
















| No. | Focus | Approach | Polymer/(ppm) | Molecular Weight (MD) | Measurements | Reference |
|---|---|---|---|---|---|---|
| 1 | Mechanical degradation | Core flood | HPAM/500-1000 | 12–18 | RF/RRF | Al-Shakry et al. [19] |
| 2 | Mechanical degradation | Overview | Sheng et at. [31] | |||
| 3 | Mechanical degradation | Overview | H. Bhuvaneswari [52] | |||
| 4 | Mechanical degradation | Pipe flow | HPAM/300 | 28 | DR * (%) | Tahir et al. [4] |
| 5 | Mechanical degradation | Capillary flow | PAM/1500 | N/A | Fluid deformation rate | Xiong et al. [58] |
| 6 | Mechanical degradation | Pilot test/core | HPAM/700 | 20 | Apparent Viscosity, MWD | Puls et al. [59] |
| 7 | Mechanical degradation | Core flood | HPAM/500-4000 | 8–18 | RF/RRF | Al-shakry et al. [18] |
| 8 | Mechanical degradation | Pipe flow | HPAM/700 | 28 | DR (%) | Tahir et al. [6] |
| 9 | Thermal degradation | Handbook | Ray and Cooney [54] | |||
| 10 | Thermal degradation | Overview | G. Montaudo [53] | |||
| 11 | Thermal stability | NMR ** | HPAM/1000-1500 | N/A | Mole fraction | Swiecinski et al. [60] |
| 12 | Thermal/Mech. stability | Capillary rheometer | PAM/500-2000 | N/A | Viscosity | Rodriguez et al. [61] |
| 13 | Thermal/Harsh condition | Rheology, MW | HPAM/2000-5000 | N/A | Viscosity | Zhang et al. [62] |
| 14 | Mechanical degradation | Abrupt contraction | HPAM/800-1400 | 3.5–18.5 | Viscosity loss | Jouenne et al. [63] |
| 15 | Brine hardness | Capillary shearing | Various/2000 | 11–26 | Degradation | Divers et al. [55] |
| 16 | Brine hardness | Core flood | HPAM/3000 | 28 | Pressure | Tahir et al. [10] |
| 17 | Mechanical degradation | Core flood | HPAM/1000 | 20 | Normalized effluent viscosity | Åsen et al. [64] |
| 18 | Brine salinity (hardness) | Viscometer | HPAM/500-3000 | N/A | Viscosity, RF | Khamis et al. [65] |
| 19 | Harsh conditions | Review | Diab and Al-shalabi [66] | |||
| 20 | Harsh conditions | Viscometer, Chromatography | N/A/170-180 | 6.5–8.5 | Hydrolysis degree, MW, viscosity loss | Rodriguez et al. [67] |
| Components | g/L | ||
|---|---|---|---|
| Seawater (B1) | Reservoir Brine (B2) | Seawater + 4SO4 (B3) | |
| NaCl | 27.4 | 34.3 | 27.4 |
| KCl | 0.77 | 0.29 | 0.77 |
| CaCl2·2H2O | 1.5 | 13.7 | 1.5 |
| MgCl2·6H2O | 10.8 | 10.9 | 10.8 |
| Na2SO4 | - | - | 15.73 |
| TDS | 34.4 ± 10 | 50 ± 10 | 50 ± 10 |
| R+1 | 0.13 | 0.27 | 0.09 |
| No. | Name | Length | Diameter | Dry wt. | Porosity | Permeability (g) | Permeability (B) |
|---|---|---|---|---|---|---|---|
| mm | mm | g | % | mD | mD | ||
| 1 | C3 | 60.47 | 29.51 | 82.767 | 24.60 | 2988 | 1292.8 |
| 2 | C5 | 59.89 | 29.29 | 80.656 | 24.68 | 3046 | 1541.2 |
| 3 | C6 | 60.07 | 29.31 | 80.619 | 25.06 | 3226 | 986.7 |
| 4 | C8 | 59.97 | 29.35 | 80.988 | 24.71 | 2980 | 1548.6 |
| 5 | C11 | 59.84 | 29.56 | 82.686 | 23.83 | 2666 | 1052.4 |
| Parameter | Glass–Silicon–Glass (GSG) Micromodel |
|---|---|
| Artificial (Random Circles) | |
| Porosity (%) | 27.60 |
| Brine Permeability (mD) | 13,000.00 |
| Min. Pore Diameter (µm) | 8.00 |
| Max. Pore Diameter (µm) | 2610.00 |
| Avg. Pore Diameter (µm) | 178.20 |
| Injection Rate (µL/min) | 0.30 |
| No. | Formula | Min. Shear Rate, s−1 | Max. Shear Rate, s−1 | Approach |
|---|---|---|---|---|
| 1 | 0.102 | 1.219 | Gogarty [86] | |
| 2 | 0.035 | 0.428 | Littmann [87] |
| Experiment | Soi * | Swi ** | Porosity | Permeability (B) | PV *** | RF **** |
|---|---|---|---|---|---|---|
| % | % | % | D | µL | % | |
| SSW | 81.28 | 18.72 | 27 | 13 | 22 | 33 |
| SSW-P | 79.98 | 20.02 | 27 | 13 | 22 | 56 |
| SSW+4S-P | 80.37 | 19.62 | 27 | 13 | 22 | 52 |
© 2020 by the authors. Licensee MDPI, Basel, Switzerland. This article is an open access article distributed under the terms and conditions of the Creative Commons Attribution (CC BY) license (http://creativecommons.org/licenses/by/4.0/).
Share and Cite
Tahir, M.; Hincapie, R.E.; Ganzer, L. An Elongational and Shear Evaluation of Polymer Viscoelasticity during Flow in Porous Media. Appl. Sci. 2020, 10, 4152. https://doi.org/10.3390/app10124152
Tahir M, Hincapie RE, Ganzer L. An Elongational and Shear Evaluation of Polymer Viscoelasticity during Flow in Porous Media. Applied Sciences. 2020; 10(12):4152. https://doi.org/10.3390/app10124152
Chicago/Turabian StyleTahir, Muhammad, Rafael E. Hincapie, and Leonhard Ganzer. 2020. "An Elongational and Shear Evaluation of Polymer Viscoelasticity during Flow in Porous Media" Applied Sciences 10, no. 12: 4152. https://doi.org/10.3390/app10124152
APA StyleTahir, M., Hincapie, R. E., & Ganzer, L. (2020). An Elongational and Shear Evaluation of Polymer Viscoelasticity during Flow in Porous Media. Applied Sciences, 10(12), 4152. https://doi.org/10.3390/app10124152

