Finite Element Method and Cut Bar Method-Based Comparison Under 150°, 175° and 310 °C for an Aluminium Bar
Abstract
1. Introduction
2. Technique Background
3. Methodology
3.1. Computational Model Setup
Mesh for the Models Used
4. Results
4.1. 2d and 3d Analysis at a Temperature of C
4.2. 2d and 3d Analysis at a Temperature of C
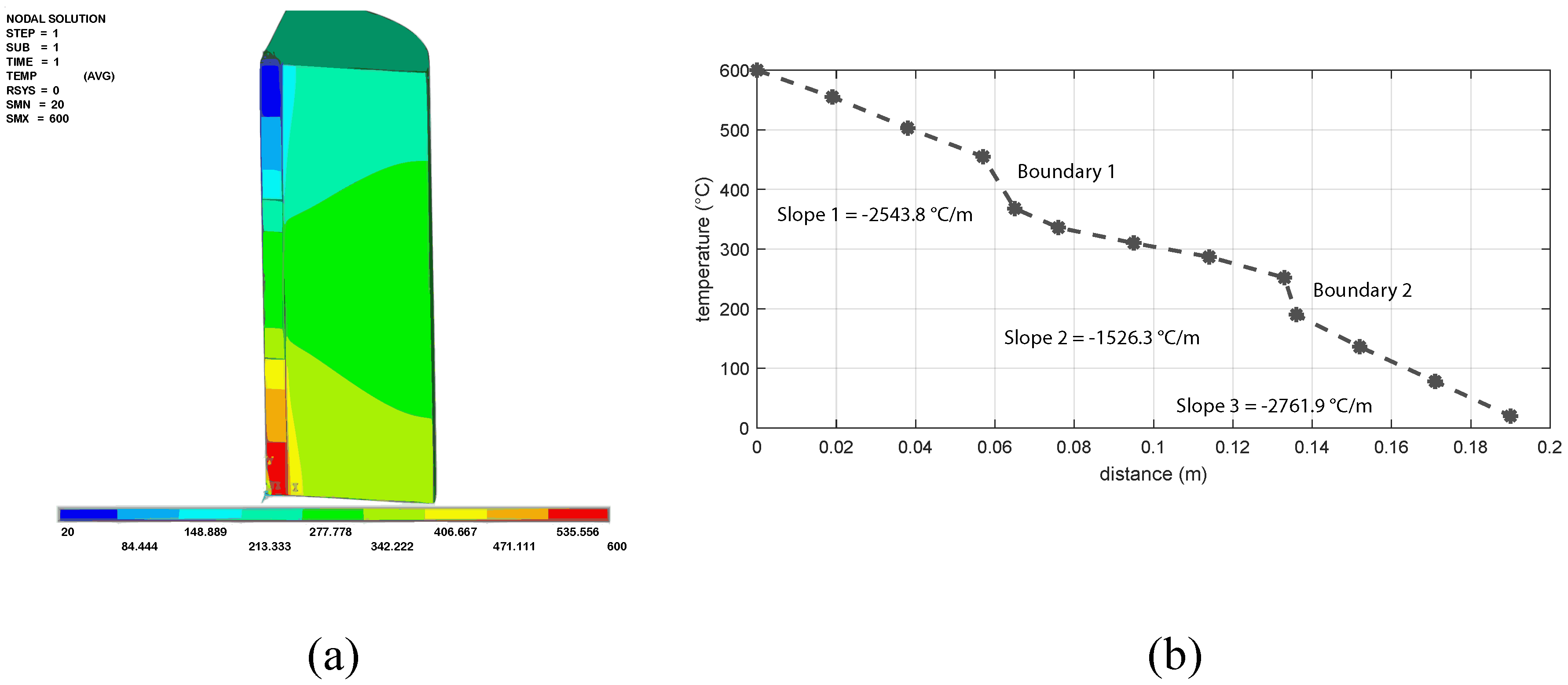
4.3. 2D and 3D Analysis at a Temperature of 310 C
5. Discussion and Conclusions
5.1. Discussion
- 1–310 C, to achieve this, the temperature of the hot source was set at 600 C and the temperature of the cold source at 20 C.
- 2–175 C, to reach this value, the temperature of the hot source was set at 339 C and the temperature of the cold source at 20 C.
- 2–150 C, to achieve this, the temperature of the hot source was set at 279.5 C and the temperature of the cold source at 20 C.
5.2. Conclusions
6. Future Work
Author Contributions
Funding
Acknowledgments
Conflicts of Interest
Nomenclature
| Thermal conductivity of the copper material | |
| Thermal conductivity of the sample | |
| Thermal conductivity of the reference material 1 | |
| Thermal conductivity of the reference material 2 | |
| Thermal conductivity of any material | |
| Temperature gradient T through an area A (the area through which heat flows) | |
| Temperature difference among reference material 1 | |
| Temperature difference among reference material 2 | |
| Temperature difference among sample bar | |
| C | Celsius degrees |
| Al | Aluminium |
| ASTM | American Society for Testing and Materials |
| CENAM | Centro Nacional de Metrologia |
| CST | Cold Source Temperature |
| Cu | Copper |
| emf | electromotive force |
| FEM | Finite element method |
| HST | Temperature of hot source |
| m | meter |
| mm | millimetre |
| PVC | Polyvinyl chloride |
| Bar radius | |
| Guard radius | |
| TFF | Heat sink Temperature |
| Temperature in each of the positions where thermocouples are placed | |
| x | Denotes approximate thermocouple positions |
| y | Denotes axis y in cartesian coordinate system |
| Reference distance for thermocouple location in the system |
References
- Melchers, R.E.; Beck, A.T. Structural Reliability Analysis and Prediction; John Wiley & Sons: Hoboken, NJ, USA, 2018. [Google Scholar]
- Guo, Y.; Liu, C. Mechanical properties of hardened AISI 52100 steel in hard machining processes. J. Manuf. Sci. Eng. 2002, 124, 1–9. [Google Scholar] [CrossRef]
- Kobayashi, S.; Thomsen, E. Some observations on the shearing process in metal cutting. J. Eng. Ind. 1959, 81, 251–262. [Google Scholar] [CrossRef]
- DebRoy, T.; Wei, H.; Zuback, J.; Mukherjee, T.; Elmer, J.; Milewski, J.; Beese, A.M.; Wilson-Heid, A.; De, A.; Zhang, W. Additive manufacturing of metallic components–process, structure and properties. Prog. Mater. Sci. 2018, 92, 112–224. [Google Scholar] [CrossRef]
- Górka, J. Assessment of steel subjected to the thermomechanical control process with respect to weldability. Metals 2018, 8, 169. [Google Scholar] [CrossRef]
- Wan, L.; Huang, Y. Microstructure and mechanical properties of al/steel friction stir lap weld. Metals 2017, 7, 542. [Google Scholar] [CrossRef]
- Huang, S.; Chen, R.; Xia, K. Quantification of dynamic tensile parameters of rocks using a modified Kolsky tension bar apparatus. J. Rock Mech. Geotech. Eng. 2010, 2, 162–168. [Google Scholar] [CrossRef]
- Karavaeva, M.; Abramova, M.; Enikeev, N.; Raab, G.; Valiev, R. Superior strength of austenitic steel produced by combined processing, including equal-channel angular pressing and rolling. Metals 2016, 6, 310. [Google Scholar] [CrossRef]
- ASTM. Standard Test Mmethod for Thermal Conductivity of Solids by Means of the Guarded-Comparative- Longitudinal Heat Flow Technique; ASTM International: West Conshohocken, PA, USA, 2009. [Google Scholar]
- Hsia, S.Y.; Chou, Y.T.; Lu, G.F. analysis of sheet metal tapping screw fabrication using a finite element method. Appl. Sci. 2016, 6. [Google Scholar] [CrossRef]
- Liu, Q.; Li, B.; Schlangen, E.; Sun, Y.; Wu, S. Research on the mechanical, thermal, induction heating and healing properties of steel slag/steel fibers composite asphalt mixture. Appl. Sci. 2017, 7, 1088. [Google Scholar] [CrossRef]
- Grajcar, A.; Skrzypczyk, P.; Kozłowska, A. Effects of temperature and time of isothermal holding on retained austenite stability in medium-Mn steels. Appl. Sci. 2018, 8, 2156. [Google Scholar] [CrossRef]
- Lin, Y.J.; Hwang, S.J. Temperature prediction of rolling tires by computer simulation. Math. Comput. Simul. 2004, 67, 235–249. [Google Scholar] [CrossRef]
- Svetlík, J.; Brestovič, T.; Král’, J.; Buša, J.; Kováč, J.; Štofa, M. Numerical Calculation of Oil Dispersion through the Air Flow Applied to the Inner Surface of Slim Tubes. Appl. Sci. 2019, 9, 2399. [Google Scholar] [CrossRef]
- GuoMing, H.; Jian, Z.; JianQang, L. Dynamic simulation of the temperature field of stainless steel laser welding. Mater. Des. 2007, 28, 240–245. [Google Scholar] [CrossRef]
- Yang, X.; Guo, X.; Ouyang, H.; Li, D. A Kriging Model Based Finite Element Model Updating Method for Damage Detection. Appl. Sci. 2017, 7. [Google Scholar] [CrossRef]
- Zain-Ul-Abdein, M.; Ijaz, H.; Saleem, W.; Raza, K.; Mahfouz, A.S.B.; Mabrouki, T. Finite element analysis of interfacial debonding in copper/diamond composites for thermal management applications. Materials 2017, 10, 739. [Google Scholar] [CrossRef]
- Courbon, C.; Mabrouki, T.; Rech, J.; Mazuyer, D.; D’Eramo, E. On the existence of a thermal contact resistance at the tool-chip interface in dry cutting of AISI 1045: Formation mechanisms and influence on the cutting process. Appl. Therm. Eng. 2013, 50, 1311–1325. [Google Scholar] [CrossRef]
- De Santis, S.; Ceroni, F.; de Felice, G.; Fagone, M.; Ghiassi, B.; Kwiecień, A.; Lignola, G.P.; Morganti, M.; Santandrea, M.; Valluzzi, M.R.; et al. Round robin test on tensile and bond behaviour of steel reinforced grout systems. Compos. Part B Eng. 2017, 127, 100–120. [Google Scholar] [CrossRef]
- Xing, Y.; Qin, M.; Guo, J. A Time Finite Element Method Based on the Differential Quadrature Rule and Hamilton’s Variational Principle. Appl. Sci. 2017, 7. [Google Scholar] [CrossRef]
- Yang, W.r.; He, X.j.; Zhang, K.; Yang, Y.; Dai, L. Combined effects of curing temperatures and alkaline concrete on tensile properties of GFRP bars. Int. J. Polym. Sci. 2017, 2017, 4262703. [Google Scholar] [CrossRef]
- Mariner, J.T.; Sayir, H. High Thermal Conductivity Composite and Method. US Patent 5,863,467, 26 January 1999. [Google Scholar]
- Ameen, J.G.; Mortimer, W.P., Jr.; Yokimcus, V.P. Thermally Conductive Interface. US Patent 5,545,473, 13 August 1996. [Google Scholar]
- Andalib, Z.; Kafi, M.A.; Kheyroddin, A.; Bazzaz, M.; Momenzadeh, S. Numerical evaluation of ductility and energy absorption of steel rings constructed from plates. Eng. Struct. 2018, 169, 94–106. [Google Scholar] [CrossRef]
- Kakaç, S.; Yener, Y.; Naveira-Cotta, C.P. Heat Conduction; CRC Press: Boca Raton, FL, USA, 2018. [Google Scholar] [CrossRef]
- Sun, L.; Park, S.S.; Sheberla, D.; Dincă, M. Measuring and reporting electrical conductivity in metal–organic frameworks: Cd2 (TTFTB) as a case study. J. Am. Chem. Soc. 2016, 138, 14772–14782. [Google Scholar] [CrossRef] [PubMed]
- Peng, L.; Xu, Z.; Liu, Z.; Guo, Y.; Li, P.; Gao, C. Ultrahigh thermal conductive yet superflexible graphene films. Adv. Mater. 2017, 29, 1700589. [Google Scholar] [CrossRef] [PubMed]
- Ashrafi, H.; Bazli, M.; Vatani Oskouei, A.; Bazli, L. Effect of sequential exposure to UV radiation and water vapor condensation and extreme temperatures on the mechanical properties of GFRP bars. J. Compos. Constr. 2017, 22, 04017047. [Google Scholar] [CrossRef]
- Purbolaksono, J.; Ahmad, J.; Khinani, A.; Ali, A.; Rashid, A. Failure case studies of SA213-T22 steel tubes of boiler through computer simulations. J. Loss Prev. Process Ind. 2010, 23, 98–105. [Google Scholar] [CrossRef]
- Yu, M.; Saunders, T.; Su, T.; Gucci, F.; Reece, M. Effect of heat treatment on the properties of wood-derived biocarbon structures. Materials 2018, 11, 1588. [Google Scholar] [CrossRef]
- Hosseini, V.; Karlsson, L.; Wessman, S.; Fuertes, N. Effect of sigma phase morphology on the degradation of properties in a super duplex stainless steel. Materials 2018, 11, 933. [Google Scholar] [CrossRef]
- Carollo, L.F.D.S.; Lima e Silva, A.L.F.D.; Lima e Silva, S.M.M.D. A Different Approach to Estimate Temperature-Dependent Thermal Properties of Metallic Materials. Materials 2019, 12, 2579. [Google Scholar] [CrossRef]
- Charles Murgau, C.; Lundbäck, A.; Åkerfeldt, P.; Pederson, R. Temperature and Microstructure Evolution in Gas Tungsten Arc Welding Wire Feed Additive Manufacturing of Ti-6Al-4V. Materials 2019, 12. [Google Scholar] [CrossRef]
- Branco, R.; Antunes, F.; Costa, J. A review on 3D-FE adaptive remeshing techniques for crack growth modelling. Eng. Fract. Mech. 2015, 141, 170–195. [Google Scholar] [CrossRef]
- Bugelnig, K.; Germann, H.; Steffens, T.; Sket, F.; Adrien, J.; Maire, E.; Boller, E.; Requena, G. Revealing the Effect of Local Connectivity of Rigid Phases during Deformation at High Temperature of Cast AlSi12Cu4Ni(2,3)Mg Alloys. Materials 2018, 11, 1300. [Google Scholar] [CrossRef]
- Berto, F.; Lazzarin, P.; Marangon, C. Brittle fracture of U-notched graphite plates under mixed mode loading. Mater. Des. 2012, 41, 421–432. [Google Scholar] [CrossRef]
- Bernal, S.A.; de Gutiérrez, R.M.; Pedraza, A.L.; Provis, J.L.; Rodriguez, E.D.; Delvasto, S. Effect of binder content on the performance of alkali-activated slag concretes. Cem. Concr. Res. 2011, 41, 1–8. [Google Scholar] [CrossRef]













| Aluminum (Al) | → | 214.4 W/mK | C |
| Copper (Cu) | → | 386 W/mK | C |
| Fiberglass | → | 0.044 W/mK |
| Aluminum (Al) | → | 214.4 W/mK | C |
| Copper (Cu) | → | 386 W/mK | C |
| Fiberglass | → | 0.044 W/mK |
| Aluminum (Al) | → | 200 W/mK | → 600 °C |
| Copper (Cu) | → | 365.74 W/mK | → 20 C |
| Fiberglass | → | 0.044 W/mK |
© 2019 by the authors. Licensee MDPI, Basel, Switzerland. This article is an open access article distributed under the terms and conditions of the Creative Commons Attribution (CC BY) license (http://creativecommons.org/licenses/by/4.0/).
Share and Cite
Gonzalez Duran, J.E.E.; González-Rodríguez, O.J.; Zamora-Antuñano, M.A.; Rodríguez-Reséndiz, J.; Méndez-Lozano, N.; Gómez Meléndez, D.J.; García García, R. Finite Element Method and Cut Bar Method-Based Comparison Under 150°, 175° and 310 °C for an Aluminium Bar. Appl. Sci. 2020, 10, 296. https://doi.org/10.3390/app10010296
Gonzalez Duran JEE, González-Rodríguez OJ, Zamora-Antuñano MA, Rodríguez-Reséndiz J, Méndez-Lozano N, Gómez Meléndez DJ, García García R. Finite Element Method and Cut Bar Method-Based Comparison Under 150°, 175° and 310 °C for an Aluminium Bar. Applied Sciences. 2020; 10(1):296. https://doi.org/10.3390/app10010296
Chicago/Turabian StyleGonzalez Duran, José Eli Eduardo, Oscar J. González-Rodríguez, Marco Antonio Zamora-Antuñano, Juvenal Rodríguez-Reséndiz, Néstor Méndez-Lozano, Domingo José Gómez Meléndez, and Raul García García. 2020. "Finite Element Method and Cut Bar Method-Based Comparison Under 150°, 175° and 310 °C for an Aluminium Bar" Applied Sciences 10, no. 1: 296. https://doi.org/10.3390/app10010296
APA StyleGonzalez Duran, J. E. E., González-Rodríguez, O. J., Zamora-Antuñano, M. A., Rodríguez-Reséndiz, J., Méndez-Lozano, N., Gómez Meléndez, D. J., & García García, R. (2020). Finite Element Method and Cut Bar Method-Based Comparison Under 150°, 175° and 310 °C for an Aluminium Bar. Applied Sciences, 10(1), 296. https://doi.org/10.3390/app10010296

