Next Article in Journal
Modeling the Impact of Market Orientation, Circular Economy, and Innovation on Tourism Sustainability: A Structural Approach
Next Article in Special Issue
Rethinking Hospital Sustainability: Integrating Circular and Green Economy Principles Within Strategic Corporate Social Responsibility and Management Frameworks
Previous Article in Journal
Digital Enablers of the Circular Economy: A Bibliometric and Gender-Inclusive Review of Business and Management Research (2015–2025)
Previous Article in Special Issue
Environmental Conservation and Corporate Social Responsibility (CSR): Insights from Nigerian Oil and Gas Industry Using Stakeholder and Environmental Justice Theories
 
 
Font Type:
Arial Georgia Verdana
Font Size:
Aa Aa Aa
Line Spacing:
Column Width:
Background:
Article

Bridging ESG and Sustainable HRM: Evidence from Lebanon’s Crisis-Driven Work Environment

CIRAME Research Center, Business School, Holy Spirit University of Kaslik, Jounieh P.O. Box 446, Lebanon
*
Author to whom correspondence should be addressed.
Adm. Sci. 2026, 16(3), 108; https://doi.org/10.3390/admsci16030108
Submission received: 17 January 2026 / Revised: 15 February 2026 / Accepted: 19 February 2026 / Published: 25 February 2026

Abstract

The concept of Environmental, Social, and Governance (ESG) has emerged as a central framework for organizational sustainability, alongside employee performance and retention as critical human capital outcomes. This study addresses a notable gap in the literature by situating ESG practices within the field of sustainable human resource management and examining their role in the Lebanese cultural settings, characterized by a vulnerable institutional ecosystem and crisis-driven work environments. A quantitative method was employed using a structured questionnaire, yielding a sample of 495 respondents. The results showed that environmental and governance practices significantly influenced employee performance, whereas social responsibility initiatives did not have a statistically significant effect on performance. All ESG dimensions significantly influenced employee retention. This study advances ESG and sustainable HRM research by providing employee-level empirical evidence from a crisis-affected economy, demonstrating how ESG practices function as internal performance and retention mechanisms rather than solely as external legitimacy tools.

1. Introduction

The concept of Environmental, Social, and Governance (ESG) practices has emerged as a central framework for organizational sustainability since its introduction by the United Nations in 2004 and the launch of the Principles for Responsible Investment (PRI) in 2006 (Doni & Johannsdottir, 2019). ESG practices extend the traditional financial evaluation of firms by emphasizing environmental responsibility, social equity, and governance integrity as drivers of long-term stakeholder value. Organizations increasingly recognize ESG as both a compliance requirement and a strategic orientation that shapes corporate reputation, financial stability, and workforce engagement.
Further, employee performance and employee retention have become critical human capital outcomes. Performance reflects employees’ ability to achieve efficiency, productivity, and quality of work (Martins et al., 2021), while retention refers to an organization’s capacity to sustain its workforce by reducing turnover and fostering long-term commitment. High performance ensures competitiveness, whereas strong retention prevents costly knowledge loss and protects organizational continuity (Barney, 1991).
Some previous studies suggest that ESG practices influence employee outcomes by shaping motivation, engagement, and organizational identification. Environmental practices strengthen employees’ pride and technical skills, social practices enhance well-being and loyalty, and governance practices reinforce fairness and trust (Efunniyi et al., 2024; Luthans & Youssef-Morgan, 2017). Yet, the literature remains fragmented. Much of the ESG discourse has emphasized external outcomes such as investor attraction and consumer trust (Arvidsson & Dumay, 2022; Sklavos et al., 2025), while relatively fewer studies focus on employee-level outcomes such as performance and retention. Existing research only addresses workplace-related outcomes such as job satisfaction, organizational commitment, and engagement (Kumari et al., 2021; Newman et al., 2020), often ignoring or giving less attention to retention. Few studies conducted in developed countries have directly associated ESG or Corporate Social Responsibility (CSR) practices with employee performance and turnover intentions (De Stefano et al., 2018). Hence, whether or not ESG practices can change employee performance and retention specifically in volatile, uncertain, and fragile environments remains insufficiently recognized. Thus, existing research is largely concentrated in developed economies, overlooking fragile or crisis-affected contexts where ESG adoption is uneven, and where its effects on employee outcomes remain underexplored.
This study responds to these gaps by situating ESG practices within the field of sustainable Human Resource Management (HRM) and examining their role in Lebanese organizations. Lebanon represents a particularly salient case. Economic collapse, energy shortages, and institutional fragility have undermined workforce stability and accelerated emigration (Bitar, 2021; Hitti et al., 2025). Thus, Lebanon represents a critical case for examining the ESG–employee outcomes nexus due to its compounded crises. The 2019 financial collapse eroded trust in institutions, impoverished large segments of the workforce, and accelerated emigration (Bitar, 2021). Energy shortages have entrenched reliance on polluting generators, while the 2020 Beirut Port explosion underscored the fragility of infrastructure and governance. Despite weak state enforcement, bottom-up sustainability efforts have emerged. Households and firms are increasingly adopting solar energy, reframing crisis as an entry point for ecological reform (Dagher et al., 2025). At the organizational level, firms have experimented with green HRM policies such as recycling initiatives and ecological workplace adjustments. On the social side, the economic crisis has heightened job insecurity, prompting organizations to emphasize employee well-being, flexible work, and professional development to slow attrition (Hitti et al., 2025). In governance, some firms have sought to improve transparency and ethical management to reassure stakeholders, although entrenched corruption and weak oversight remain systemic barriers (Gallego-Álvarez & Rodriguez-Dominguez, 2025).
In such a turbulent context, ESG practices may serve as both a resilience mechanism for firms and a retention strategy for employees. In volatile and uncertain environments, instability and insecurity can be very destructive. ESG practices can serve as a stabilizer that helps organizations manage resources more efficiently, lower operational disruptions, enhance employees’ well-being, and reduce stress (Arvidsson & Dumay, 2022; Henisz et al., 2019). In addition, ESG practices can also play an important role in increasing transparency and trustworthiness through governance, reducing employees’ turnover rate, and maintaining employees’ performance (Alves et al., 2025; Ok & Park, 2025). Thereby, ESG practices are crucial to organizational resilience, especially in unstable and uncertain contexts.
This unique context, characterized by environmental stress, social vulnerability, and fragile governance, provides a relevant setting to examine whether employees’ perceptions of ESG practices are meaningfully associated with employee performance and retention. In Lebanon, where brain drain and organizational instability are pressing, understanding the role of ESG is not only a theoretical contribution but also a practical imperative for business survival and societal resilience.
Based on the problem statement and to address the gap in the literature, this study aims to answer the following main research question: What is the association between employee perception of ESG practices and employee performance and retention in Lebanese organizations?
The study makes three main contributions. First, it advances ESG scholarship by shifting the analytical focus from external legitimacy and financial outcomes to employee-level consequences, thereby addressing a persistent gap in the literature. Second, it provides context-specific empirical evidence from Lebanon, a crisis-affected economy where ESG adoption is both constrained and strategically salient, enriching the understanding of ESG dynamics beyond stable institutional settings. Finally, it offers actionable insights for managers and policymakers by demonstrating how ESG-aligned HRM practices function as internal mechanisms for enhancing employee performance and retention, contributing to workforce resilience and sustainable organizational development.

2. Literature Review

2.1. Theoretical Framework

2.1.1. Stakeholder Theory

Stakeholders are any group or individual who can affect or is affected by the achievement of organizational objectives (Freeman & Phillips, 2002). Stakeholder theory redirects business focus from maximizing shareholder wealth to creating long-term value for multiple actors, including employees, customers, suppliers, and communities. Khuen et al. (2024) distinguished between a moral lens, which emphasizes fairness, responsibility, and ethical leadership, and a strategic lens, which highlights ESG adoption as a source of legitimacy and competitive advantage. Within the ESG framework, stakeholder theory underscores that employees are not only instrumental to performance but also key stakeholders whose interests, such as fair treatment, job security, and development opportunities, must be safeguarded (Henisz et al., 2019). Thus, equitable labor policies, diversity and inclusion, and well-being initiatives foster loyalty and commitment, thereby improving retention, while alignment with SDGs enhances identification and motivation, driving performance. Hence, stakeholder theory provides the rationale for linking ESG practices to employee-level outcomes.

2.1.2. Social Exchange Theory

Social Exchange Theory (SET) explains organizational relationships as reciprocal exchanges in which favorable treatment is rewarded with loyalty and extra effort (Blau, 1964; Homans, 1958). Employees reciprocate when they perceive fairness, support, and a healthy environment, but withdraw when subjected to exploitation or neglect (Cropanzano & Mitchell, 2005). In the ESG context, social practices such as well-being programs, flexible scheduling, and fair governance signal organizational support, eliciting retention through reduced turnover intentions and stronger commitment. At the same time, environmental investments that reduce risks and create safer work conditions encourage employees to reciprocate with greater engagement and discretionary effort, thereby improving performance. Thus, SET helps explain why ESG practices trigger positive behavioral outcomes.

2.1.3. Resource-Based View

Barney (1991) introduced the Resource-Based View (RBV) and argued that resources that are valuable, rare, inimitable, and organized underpin sustained competitive advantage. Human capital, as highlighted by Wright et al. (1994), represents such a strategic resource when developed and retained effectively. ESG-aligned HRM practices, such as green recruitment, targeted training, and equitable rewards, enhance the skills, knowledge, and commitment of employees, making them difficult for competitors to replicate. From this perspective, performance is enhanced when ESG policies strengthen employees’ capabilities and align their behaviors with strategic goals (Pradana & Chalid, 2023). At the same time, retention becomes critical. When high-performing employees leave, firms lose tacit, experience-based knowledge that is hard to replace. By supporting employee well-being, professional development, and ethical work environments, ESG policies increase the likelihood of retaining these strategic human resources.

2.1.4. Psychological Capital

Luthans and Youssef-Morgan (2017) introduced Psychological Capital (PsyCap) as a positive psychological state characterized by hope, resilience, optimism, and self-efficacy. These attributes are influenced by organizational environments and HRM practices. Interventions that foster resilience training, stress management, recognition, and work–life balance increase PsyCap, enabling employees to cope with adversity and remain motivated (Zhai et al., 2023). In ESG-oriented organizations, social and governance practices directly shape employees’ PsyCap. Well-being programs, inclusive leadership, and ethical governance increase optimism and hope, boosting performance by enhancing engagement, creativity, and persistence. At the same time, PsyCap reduces stress and burnout, strengthening retention by sustaining loyalty even in uncertain environments (Eisenberger et al., 2020). PsyCap thus provides a micro-level explanation of how ESG practices influence employee outcomes.
Together, these theories offer complementary lenses. Stakeholder Theory highlights employees as central beneficiaries of ESG, SET explains reciprocal loyalty and effort in response to ESG investments, RBV positions human capital as a source of competitive advantage that must be developed and retained, and PsyCap captures the psychological mechanisms through which ESG practices translate into performance and loyalty. This integrated framework justifies the hypotheses of this study that environmental sustainability, social responsibility, and governance have positive associations with employee performance and retention.

2.2. Hypotheses Development

2.2.1. Perceived Environmental Sustainability and Employee Outcomes

Research on green HRM highlights how environmental practices, such as green recruitment, training, and performance management, enhance employee competencies, align values, and foster engagement (Dimitrov, 2021; Susomrith, 2020; Yong et al., 2020). Environmental benchmarks embedded in performance appraisals clarify expectations and motivate ESG-aligned behaviors (Martins et al., 2021), while green recruitment attracts applicants with sustainability-oriented values, reinforcing organizational identification and loyalty (Barakat et al., 2023; Dira et al., 2024).
From the perspective of the RBV, employees trained in sustainability constitute valuable and inimitable resources that contribute to long-term performance advantages (Barney, 1991; Wright et al., 1994). SET further suggests that when organizations invest in environmentally responsible practices, employees reciprocate with loyalty and discretionary effort (Blau, 1964; Cropanzano & Mitchell, 2005).
In Lebanon, where severe energy shortages and reliance on polluting generators undermine environmental sustainability, organizations adopting solar solutions and green HRM initiatives provide employees with safer, more reliable, and more future-oriented workplaces (Dagher et al., 2025). Such practices may foster both improved performance and stronger loyalty in an otherwise unstable labor market. Thus, the following hypotheses were developed to be examined from the perspective of employees:
H1a. 
Perceived environmental sustainability practices are positively associated with employee performance.
H1b. 
Perceived environmental sustainability practices are positively associated with employee retention.

2.2.2. Perceived Social Responsibility and Employee Outcomes

The social pillar of ESG, encompassing CSR, well-being, and diversity and inclusion, has been linked to improved employee outcomes. Studies show that CSR alignment with HR practices enhances satisfaction and engagement (De Stefano et al., 2018), while well-being initiatives reduce absenteeism and increase productivity. Investments in PsyCap, hope, resilience, optimism, and self-efficacy strengthen persistence and adaptability at work (Luthans & Youssef-Morgan, 2017). Similarly, diversity and inclusion foster innovation and creativity through heterogeneous perspectives (Roberson, 2019). At the same time, participation in CSR activities was found to reduce turnover intentions and foster organizational commitment (Kumari et al., 2021; Newman et al., 2020; Okafor et al., 2023), while neglecting employee well-being predicts disengagement and exits (Schwepker et al., 2021).
Theoretically, Stakeholder Theory emphasizes that employees, as key stakeholders, must benefit from organizational commitments to social responsibility to sustain long-term value creation (Freeman & Phillips, 2002; Henisz et al., 2019). SET explains these dynamics as reciprocal exchanges, where fairness, inclusion, and ethical leadership are rewarded with employee loyalty and stronger performance (Blau, 1964; Cropanzano & Mitchell, 2005). Building on PsyCap, organizations that provide well-being and inclusion initiatives develop resilience and optimism, which further enhance engagement and retention (Luthans & Youssef-Morgan, 2017; Zhai et al., 2023).
In Lebanon’s crisis-ridden environment, where job insecurity and emigration pressures are widespread (Bitar, 2021; Hitti et al., 2025), CSR and employee well-being practices may play a stabilizing role. Firms that invest in health, flexibility, and development opportunities signal care for their workforce, which can increase productivity while reducing the risk of losing skilled employees to migration. Thus, the following hypotheses were developed:
H2a. 
Perceived social responsibility initiatives are positively associated with employee performance.
H2b. 
Perceived social responsibility initiatives are positively associated with employee retention.

2.2.3. Perceived Governance and Employee Outcomes

Governance practices, including ethical leadership, transparent reporting, procedural justice, and anti-corruption safeguards, provide the institutional framework for aligning employee behavior with organizational goals (Aluchna et al., 2024; Efunniyi et al., 2024). Ethical leaders model fairness and accountability, fostering trust and engagement (Paais & Pattiruhu, 2020). Transparent reporting frameworks such as the Global Reporting Initiative (GRI) signal credibility and reinforce internal accountability (Oncioiu et al., 2020; Tsang et al., 2023), while governance mechanisms like fair pay, whistleblower protections, and risk safeguards improve perceptions of justice and job security, key drivers of retention (Dissanayake & Dissabandara, 2021).
Theoretically, Stakeholder Theory positions governance as a means of protecting employee interests alongside those of shareholders and communities (Freeman & Phillips, 2002). SET highlights that transparent governance encourages reciprocal trust and commitment, while RBV underscores that retention of skilled employees is critical for sustaining competitive advantage when governance fosters stability and fairness (Barney, 1991).
In Lebanon, where systemic corruption and weak institutional oversight undermine trust, organizations that adopt transparent governance and ethical leadership may distinguish themselves as credible employers. By ensuring fairness and accountability, such governance practices can build employee trust, enhancing both performance and retention in a fragile institutional environment. Thus, the following hypotheses are developed:
H3a. 
Perceived effective corporate governance practices are positively associated with employee performance.
H3b. 
Perceived effective corporate governance practices are positively associated with employee retention.
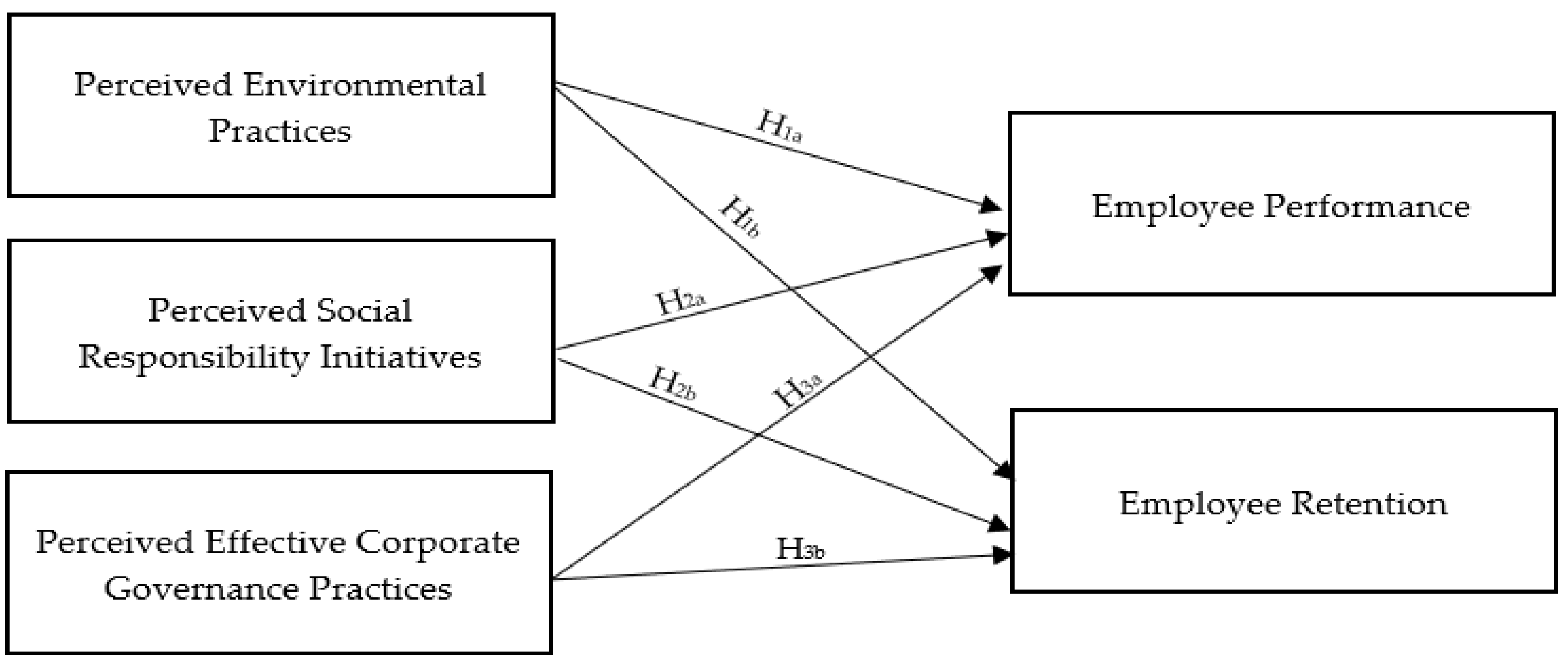
Building on the reviewed literature and theoretical foundations, this study conceptualizes the association between the perception of employees regarding ESG practices and employee outcomes. Accordingly, the conceptual framework (Figure 1) depicts the three ESG pillars as associated with two key outcomes, namely, employee performance and retention, to be examined from the perspective of employees.

3. Methodology

This study adopts a positivist philosophy and a deductive approach, testing theory-driven hypotheses on the associations between employees’ perception of ESG practices and employee outcomes.

3.1. Measures

A quantitative mono-method was employed, using a structured questionnaire for data collection. The questionnaire was divided into three sections. Section 1 contains demographics. Section 2 included 15 items related to ESG practices across three pillars. In this section, respondents indicated their level of agreement on a 5-point Likert scale ranging from 1 (strongly disagree) to 5 (strongly agree). The measurement items were not adopted from previous studies. They were based on an extensive review of the ESG, employee performance, and retention literature and grounded in established theoretical frameworks. First, 5 items are related to environmental practices (emission reduction targets, green training, recruitment branding, investment in renewable energy). Second, 5 items are related to social practices (well-being programs, anti-discrimination policies, CSR participation, diversity and inclusion, feedback use, and grounded in Stakeholder Theory and SET, which highlight that employees, as key stakeholders, respond to fairness, inclusion, and well-being investments with loyalty, engagement, and enhanced performance. Third, 5 items are related to governance practices (ethical leadership, transparent reporting, safe reporting channels, compliance monitoring, accountability). Those items are anchored in the SET, which stresses that fair governance, accountability, and procedural justice foster reciprocal trust and reduce turnover intentions. The last section included 10 items related to employee outcomes. Employee performance was measured using 5 items related to motivation, skill development, recognition, engagement, and quality of work. Those items were supported by the RBV and PsyCap, which view high-performing employees as strategic resources strengthened by ESG-driven training, recognition, and optimism. Employee retention included 5 items related to intention to stay, loyalty, recommending employer, reduced turnover desire, and trust/security. This construct is grounded on SET and PsyCap, since reciprocal support, fairness, and enhanced psychological resources (hope, resilience, optimism, self-efficacy) reduce attrition and strengthen long-term loyalty.
The questionnaire was originally developed in English, which is widely used and well understood in Lebanese professional and organizational settings. English is commonly employed as a working language in many Lebanese firms, particularly in managerial, industrial, and corporate contexts. Therefore, no translation was deemed necessary. A pilot test was conducted with a small group of respondents (n = 10) to ensure clarity, relevance, and cultural appropriateness of the items before full-scale data collection.
Table 1 summarizes the operationalization of all constructs, including the number of items and theoretical grounding. All constructs in this study were operationalized as employees’ subjective perceptions of ESG practices and their self-reported performance and retention intentions rather than objective organizational indicators.

3.2. Data Collection

Participation in this study was open to currently employed individuals aged 18 or older who worked for Lebanese organizations that reported at least one ESG-related practice. Respondents were required to confirm active employment status before proceeding with the questionnaire. According to the United States Agency for International Development (USAID), over 100 Lebanese companies have joined the Lebanon ESG Stewardship Program, reflecting growing but voluntary adoption. Based on these estimates, the population size was approximated at 150 organizations. Using the Qualtrics sample size calculator, the recommended sample size was 385 (95% confidence level; 5% margin of error).
The questionnaire was distributed through Google Forms and required approximately 8–10 min to complete. A probability-based sampling approach was initially intended; however, due to access constraints, data were collected using a non-probability, convenience-based sampling approach. Email invitations, professional networks, and digital platforms were used, and thus the response rate could not be calculated. A final sample size of 495 valid responses was obtained. The online survey required responses to all items, resulting in no missing data in the final dataset. Consequently, no imputation procedures were required.
Participation was voluntary and anonymous. An informed consent statement preceded the questionnaire, explaining the study’s objectives, assuring confidentiality, and affirming the right to withdraw at any stage. Ethical approval was obtained.

3.3. Data Analysis

The data were analyzed through a sequence of validity, reliability, and structural modeling tests using JASP software version 0.95.4.0. Sampling adequacy and factorability were first confirmed via the Kaiser–Meyer–Olkin (KMO) and Bartlett’s Tests of Sphericity. Internal consistency was then verified through Cronbach’s alpha (α) and McDonald’s omega (ω), while convergent and discriminant validity were established using the Average Variance Extracted (AVE) and Heterotrait–Monotrait (HTMT) ratios. Composite Reliability (CR) was also examined. Model fitness was assessed based on indices such as the Root Mean Square Error of Approximation (RMSEA) and the Goodness of Fit Index (GFI). Finally, Structural Equation Modeling (SEM) was conducted to test the hypothesized associations. SEM was selected because the study involves multiple latent constructs measured by multiple indicators and hypothesized simultaneous associations, allowing for the joint estimation of measurement and structural models while accounting for measurement error. SEM was conducted using the Maximum Likelihood (ML) estimator. Although the measurement items were assessed on five-point Likert scales, such scales are commonly treated as continuous variables in SEM when categories exceed four points and distributions approximate normality. Common Method Bias was assessed using Harman’s single-factor test. The results revealed that the first factor accounted for 33.3% of the total variance, which is below the 50% threshold, suggesting that common method bias is unlikely to substantially affect the results.

4. Findings

4.1. Sample Profile of the Respondents

Table 2 shows the sample profile.

4.2. Validity and Reliability

Table 3 highlights the results of the KMO test and Bartlett’s test of sphericity. The KMO values are higher than the threshold of 0.6, indicating the validity of the items. Also, Bartlett’s test is significant (p-value < 0.001), indicating that the associations among the items are not an identity matrix.
Standardized factor loadings in Table 4 ranged from 0.595 to 0.971, supporting indicator reliability. CR values ranged from 0.86 to 0.93, and AVE values exceeded the 0.50 threshold, confirming convergent validity. CR was calculated using standardized loadings from the CFA following Fornell and Larcker (1981).
Table 5 summarizes the HTMT values, which are below 0.90, underscoring discriminant validity.
Table 6 indicates the reliability tests using coefficients ω and α. All values are higher than 0.7, implying that the constructs are reliable.

4.3. Model Fit

Table 7 depicts that the model is fit (RMSEA < 0.08, GFI > 0.9).

4.4. Structural Equation Modeling

The explanatory power of the structural model was assessed using the coefficient of determination (R2). The results indicate that ESG practices explain a substantial proportion of variance in employee performance (R2 = 0.715) and a moderate-to-substantial proportion of variance in employee retention (R2 = 0.538), supporting the robustness of the proposed model.
ConstructR2
EP0.715
ER0.538
The SEM results are displayed in Table 8. First, perceived environmental sustainability is positively associated with employee performance and employee retention, respectively (β = 0.329, p < 0.001; β = 0.245, p < 0.001). Second, perceived social practices are positively associated with performance, but the result is insignificant (β = 0.057, p = 0.091) and are positively associated with retention (β = 0.288, p < 0.001). Thirdly, perceived corporate governance practices are positively associated with performance and retention, respectively (β = 0.627, p < 0.001; β = 0.473, p < 0.001). Thus, the results show that the perceived governance practices are the highest predictors for employee performance and retention.

5. Discussion

First, the results show a positive association between perceived environmental sustainability and employee performance, validating H1a. This shows that environmental practices inside Lebanese workplaces, which suffer from energy shortages and a strong reliance on polluting generators, enhance employee performance by fostering engagement in sustainable work practices. This aligns with prior findings, such as those of Dagher et al. (2025), Dimitrov (2021), Susomrith (2020), Yong et al. (2020), and Martins et al. (2021). Further, the results show that perceived environmental sustainability is positively associated with employee retention, confirming H1b. This suggests that integrating activities that advocate sustainability and green practices retain employees inside the workplace and gain their loyalty in an unstable labor market in Lebanese settings. This conclusion is consistent with the findings of previous studies such as Barakat et al. (2023) and Dira et al. (2024).
Second, the results confirm a positive but insignificant association between perceived social practices and employee performance, refuting H2a. Interestingly, perceived social responsibility initiatives did not significantly influence employee performance. This suggests that while employees may value CSR-related initiatives, such perceptions do not necessarily translate into immediate improvements in task-related performance. One possible explanation is that social initiatives may influence affective or normative commitment rather than direct performance behaviors. The results show that perceived social practices are a significant and positive predictor of employee retention, confirming H2b. Thus, organizational social practices primarily influence retention rather than direct performance outcomes. This was also concluded by Kumari et al. (2021), Newman et al. (2020), Okafor et al. (2023), Freeman and Phillips (2002), Henisz et al. (2019), Luthans and Youssef-Morgan (2017), and Zhai et al. (2023).
Lastly, the findings indicate that perceived corporate governance practices are significantly and positively associated with employee performance and retention, validating H3a and H3b. This implies that ethical leadership, transparent reporting, and fair compensation, which are part of governance practices, are key drivers of employee performance, providing a sense of security that sustains their retention in the Lebanese vulnerable institutional ecosystem. The results are in line with the previous findings of Paais and Pattiruhu (2020), Oncioiu et al. (2020), Tsang et al. (2023), Dissanayake and Dissabandara (2021), Aluchna et al. (2024), and Efunniyi et al. (2024).

6. Conclusions

6.1. Theoretical Implications

This study advances the literature on ESG and sustainable HRM by explicitly linking employees’ perception of environmental, social, and governance practices to employee performance and retention through four complementary theoretical lenses: Stakeholder Theory, SET, RBV, and PsyCap.
From a Stakeholder Theory perspective, the findings extend prior work by demonstrating that ESG practices generate not only external legitimacy and societal value but also tangible internal benefits for employees. By empirically showing that ESG initiatives enhance performance and retention, particularly in a crisis-driven environment, the study reinforces the position of employees as central stakeholders whose well-being and productivity are critical to sustainable value creation.
Consistent with SET, the results confirm that employees reciprocate perceived organizational investments in environmental responsibility, social well-being, and ethical governance with higher performance and stronger retention intentions. This reciprocal mechanism is especially salient in fragile institutional contexts, where ESG practices function as signals of organizational support, fairness, and long-term commitment, thereby strengthening employee loyalty and effort.
Drawing on the RBV, the study contributes by positioning ESG-aligned human capital as a strategic organizational resource. The strong explanatory power of ESG practices for employee performance and retention suggests that sustainability-oriented HRM practices help develop and retain valuable, skilled, and committed employees who are difficult to imitate, thereby reinforcing competitive advantage even under adverse economic conditions.
Finally, through the lens of PsyCap, the findings highlight ESG practices as contextual enablers of positive psychological resources such as resilience, optimism, and self-efficacy. In Lebanon’s crisis-affected work environment, social and governance practices appear particularly important in sustaining employee motivation and commitment, offering empirical support for PsyCap theory in non-Western, high-uncertainty settings.
In brief, these contributions enrich ESG and HRM scholarship by integrating sustainability, governance, and employee-level outcomes within a unified theoretical framework, while extending these theories to a vulnerable institutional ecosystem that remains underrepresented in prior research.

6.2. Practical Implications

The findings of this study provide several implications for managers, HR directors, and business leaders trying to enhance job performance and retain employees.
First, managers can integrate sustainability into the core business strategy, rather than considering it as a peripheral module. By incorporating social and environmental goals into a corporation’s mission, operations, and decision-making processes, employees are greatly motivated and engaged while executing their tasks. As such, they express more commitment and loyalty to their companies. Plus, HR managers can bring into line recruitment processes, performance appraisal, and reward systems to reflect sustainability and CSR objectives. For instance, incorporating sustainability goals in performance evaluations or enlisting applicants who contribute to CSR projects can strengthen desired worker conduct and engagement.
Further, organizations that exhibit sincere commitment to environmental global issues, sustainability, and ethical governance can strengthen their employer branding in this regard, to attract new skills, especially young talents, as emerging generations are increasingly keen to seek purpose-driven workplaces that reflect their environmental and social values. Managers and business leaders can connect employees’ day-to-day job tasks with a greater purpose via CSR and sustainability initiatives. When employees believe that their company contributes positively to society and the environment, they are more likely to demonstrate better performance and remain loyal to their organization. Also, companies should promote a culture that heightens sustainability and responsibility as part of daily business conduct. This can be accomplished through employee training, participatory CSR programs, and inclusive decision-making, which in turn strengthen employees’ sense of belonging and organizational commitment. In addition, clear accountability structures, ethical leadership, and transparent communication should also be integrated into the organizational culture to underline both fairness and integrity that support employee satisfaction and retention.
Lastly, business leaders are prompted to regularly monitor and transparently communicate the outlooks on sustainability and governance initiatives (e.g., reduced environmental footprint, community contributions, ethical milestones) to their staff. This contributes to sustaining the connection between responsible business practices and organizational success.
In brief, by recognizing that sustainable, socially responsible, and well-governed activities bolster internal outcomes, business leaders and managers are encouraged to invest in these practices, not only as moral or reputational strategies, but also as strategic motors of work performance and retention, achieving long-term organizational resilience. The findings suggest that investing in ESG practices yields internal organizational returns by enhancing employee performance and retention, thereby supporting workforce resilience and long-term sustainability in turbulent economic environments

6.3. Limitations of the Study and Future Perspectives

Despite its contributions, this study has several limitations. First, the use of convenience sampling limits the generalizability of the findings beyond the surveyed respondents. Although the sample size is adequate for SEM analysis, it represents employees working in Lebanese organizations that have already adopted ESG practices, thereby excluding firms with limited or no ESG engagement. Future research could employ probabilistic or stratified sampling techniques by including organizations at different stages of ESG adoption. Second, the study relies on a cross-sectional, self-reported survey design, which restricts causal inference, and the findings reflect employees’ subjective evaluations rather than objective ESG performance indicators. Future studies could strengthen causal interpretation by adopting longitudinal, experimental, or mixed-method designs, as well as incorporating objective performance indicators or multi-source data. Third, the context is limited to Lebanon, a crisis-affected and institutionally fragile economy. Although this context represents a key contribution of the study, it may also limit the transferability of the findings to more stable institutional environments. Comparative or cross-country studies could further examine whether the observed associations between ESG practices and employee outcomes hold across different economic, cultural, and regulatory contexts. Also, because organizational identifiers were not collected to preserve respondent anonymity, potential within-firm clustering effects could not be modeled. Future research may adopt multi-level modeling approaches to examine firm-level influences. Addressing these limitations in future research would help refine the understanding of ESG–employee outcome associations and enhance the robustness and external validity of sustainability-oriented HRM frameworks.
In brief, this study contributes by shifting ESG research toward employee-level outcomes and by providing evidence from a crisis-affected, underexplored context. It shows that ESG practices are associated with both employee performance and retention, highlighting governance as the strongest dimension. These findings support the view that ESG-aligned HRM can generate internal workforce benefits that complement its external legitimacy role, offering guidance for organizations operating under institutional fragility.

Author Contributions

Conceptualization, M.M. and N.J.A.M.; methodology, N.J.A.M. and M.J.C.; formal analysis, N.J.A.M.; writing—original draft preparation, M.M., N.J.A.M., M.J.C. and S.F.; writing—review and editing, M.M., N.J.A.M., M.J.C. and S.F.; supervision, M.M. All authors have read and agreed to the published version of the manuscript.

Funding

This research received no external funding.

Institutional Review Board Statement

The study was conducted in accordance with the Declaration of Helsinki, and approved by the Research Ethics Committee (REC) of the Human Research Protection Program (HRPP) at the Holy Spirit University of Kaslik (USEK) (protocol code HRPP/202610/FT/081 and date 27 November 2025).

Informed Consent Statement

Informed consent was obtained from all subjects involved in the study.

Data Availability Statement

The data presented in this study are available upon request from the corresponding author.

Conflicts of Interest

The authors declare no conflict of interest.

References

  1. Aluchna, M., Roszkowska-Menkes, M., & Khan, S. (2024). Corporate governance perspective on environmental reporting: Literature review and future research agenda. Corporate Social Responsibility and Environmental Management, 31(3), 1550–1577. [Google Scholar] [CrossRef]
  2. Alves, I. R., Mesquita, E., Caneppele, N. R., & Martins, F. S. (2025). Beyond practicing: Understanding the influence of ESG perceptions on employee retention. Management Research: Journal of the Iberoamerican Academy of Management, 23(3), 260–282. [Google Scholar] [CrossRef]
  3. Arvidsson, S., & Dumay, J. (2022). Corporate ESG reporting quantity, quality and performance: Where to now for environmental policy and practice? Business Strategy and the Environment, 31(3), 1091–1110. [Google Scholar] [CrossRef]
  4. Barakat, B., Milhem, M., Naji, G. M. A., Alzoraiki, M., Muda, H. B., Ateeq, A., & Abro, Z. (2023). Assessing the impact of green training on sustainable business advantage: Exploring the mediating role of green supply chain practices. Sustainability, 15(19), 14144. [Google Scholar] [CrossRef]
  5. Barney, J. (1991). Firm resources and sustained competitive advantage. Journal of Management, 17(1), 99–120. [Google Scholar] [CrossRef]
  6. Bitar, J. (2021). The monetary crisis of Lebanon. Review of Middle East Economics and Finance, 17(2), 71–96. [Google Scholar] [CrossRef]
  7. Blau, P. M. (1964). Justice in social exchange. Sociological Inquiry, 34(2), 193. [Google Scholar] [CrossRef]
  8. Cropanzano, R., & Mitchell, M. S. (2005). Social exchange theory: An interdisciplinary review. Journal of Management, 31(6), 874–900. [Google Scholar] [CrossRef]
  9. Dagher, L., Nassar, F. N., & Sidani, O. (2025). From margins to mainstream: Pathways to resilience and reform in Lebanon’s urban informal sector. Third World Quarterly, 46(9), 1059–1078. [Google Scholar] [CrossRef]
  10. De Stefano, F., Bagdadli, S., & Camuffo, A. (2018). The HR role in corporate social responsibility and sustainability: A boundary-shifting literature review. Human Resource Management, 57(2), 549–566. [Google Scholar] [CrossRef]
  11. Dimitrov, K. (2021). Green human resources management: Linking and using green practices for sustainable business organizations. Trakia Journal of Sciences, 19(1), 276–281. [Google Scholar] [CrossRef]
  12. Dira, A. F., Noor, G. P., Bangun, M. F. A., Kamal, F., & Utomo, K. P. (2024). The role of employee engagement in green HRM to create sustainable humanist performance. EKOMBIS REVIEW: Jurnal Ilmiah Ekonomi Dan Bisnis, 12(1), 527–538. [Google Scholar] [CrossRef]
  13. Dissanayake, K., & Dissabandara, H. (2021). The impact of board of directors’ characteristics on dividend policy: Evidence from a developing country. Corporate Governance and Sustainability Review, 5(2), 44–56. [Google Scholar] [CrossRef]
  14. Doni, F., & Johannsdottir, L. (2019). Environmental social and governance (ESG) ratings. In Climate action (pp. 1–15). Springer. [Google Scholar]
  15. Efunniyi, C. P., Abhulimen, A. O., Obiki-Osafiele, A. N., Osundare, O. S., Agu, E. E., & Adeniran, I. A. (2024). Strengthening corporate governance and financial compliance: Enhancing accountability and transparency. Finance & Accounting Research Journal, 6(8), 1597–1616. [Google Scholar] [CrossRef]
  16. Eisenberger, R., Rhoades Shanock, L., & Wen, X. (2020). Perceived organizational support: Why caring about employees counts. Annual Review of Organizational Psychology and Organizational Behavior, 7(1), 101–124. [Google Scholar] [CrossRef]
  17. Fornell, C., & Larcker, D. F. (1981). Evaluating structural equation models with unobservable variables and measurement error. Journal of Marketing Research, 18(1), 39–50. [Google Scholar] [CrossRef]
  18. Freeman, R. E., & Phillips, R. A. (2002). Stakeholder theory: A libertarian defense. Business Ethics Quarterly, 12(3), 331–349. [Google Scholar] [CrossRef]
  19. Gallego-Álvarez, I., & Rodriguez-Dominguez, L. (2025). Board of directors and environmental practices: The effect of board experience, culture, and tenure. Environment, Development and Sustainability, 27(1), 1643–1668. [Google Scholar] [CrossRef]
  20. Henisz, W., Koller, T., & Nuttall, R. (2019). Five ways that ESG creates value. McKinsey Quarterly, 4, 1–12. [Google Scholar]
  21. Hitti, E., Abdul-Nabi, S. S., Mufarrij, A., & Kazzi, A. (2025). Brain drain in emergency medicine in Lebanon, building locally and exporting globally. BMC Medical Education, 25(1), 138. [Google Scholar] [CrossRef]
  22. Homans, G. C. (1958). Social behavior as exchange. American Journal of Sociology, 63(6), 597–606. [Google Scholar] [CrossRef]
  23. Khuen, W. W., Heng, T. B., & Hooi, T. S. (2024). Understanding the reciprocal link between corporate financial and ESG performance in Malaysia: Does company size matter? Grenze International Journal of Engineering & Technology (GIJET), 10(2), 2175. [Google Scholar]
  24. Kumari, K., Ali, S. B., & Abbas, J. (2021). Examining the role of motivation and reward in employees’ job performance through mediating effect of job satisfaction: An empirical evidence. International Journal of Organizational Leadership, 10(4), 401–420. [Google Scholar] [CrossRef]
  25. Luthans, F., & Youssef-Morgan, C. M. (2017). Psychological capital: An evidence-based positive approach. Annual Review of Organizational Psychology and Organizational Behavior, 4(1), 339–366. [Google Scholar] [CrossRef]
  26. Martins, J. M., Aftab, H., Mata, M. N., Majeed, M. U., Aslam, S., Correia, A. B., & Mata, P. N. (2021). Assessing the impact of green hiring on sustainable performance: Mediating role of green performance management and compensation. International Journal of Environmental Research and Public Health, 18(11), 5654. [Google Scholar] [CrossRef]
  27. Newman, C., Rand, J., Tarp, F., & Trifkovic, N. (2020). Corporate social responsibility in a competitive business environment. The Journal of Development Studies, 56(8), 1455–1472. [Google Scholar] [CrossRef]
  28. Ok, C. M., & Park, K. (2025). ESG management and employee performance and workplace well-being. In Environmental, social, and governance strategies in the hospitality and tourism industry (pp. 111–128). Routledge. [Google Scholar]
  29. Okafor, C. N., Obi-Anike, H. O., Ogohi, D. C., George, S., Monyei, F. E., & Ukpere, W. I. (2023). Employer branding’s influence on workforce engagement and financial institution’s sustainability. ONOMÁZEIN, 61, 666–689. [Google Scholar]
  30. Oncioiu, I., Petrescu, A.-G., Bîlcan, F.-R., Petrescu, M., Popescu, D.-M., & Anghel, E. (2020). Corporate sustainability reporting and financial performance. Sustainability, 12(10), 4297. [Google Scholar] [CrossRef]
  31. Paais, M., & Pattiruhu, J. R. (2020). Effect of motivation, leadership, and organizational culture on satisfaction and employee performance. The Journal of Asian Finance, Economics and Business, 7(8), 577–588. [Google Scholar] [CrossRef]
  32. Pradana, R. W., & Chalid, D. A. (2023). Intellectual capital and firm’s financial distress risk: Evidence from developed and developing countries. Jurnal Manajemen Teori Dan Terapan, 16(2), 309–320. [Google Scholar] [CrossRef]
  33. Roberson, Q. M. (2019). Diversity in the workplace: A review, synthesis, and future research agenda. Annual Review of Organizational Psychology and Organizational Behavior, 6(1), 69–88. [Google Scholar] [CrossRef]
  34. Schwepker, C. H., Jr., Valentine, S. R., Giacalone, R. A., & Promislo, M. (2021). Good barrels yield healthy apples: Organizational ethics as a mechanism for mitigating work-related stress and promoting employee well-being. Journal of Business Ethics, 174(1), 143–159. [Google Scholar] [CrossRef]
  35. Sklavos, G., Theodossiou, G., Papanikolaou, Z., Karelakis, C., & Lazarides, T. (2025). A new direction in human resources management and ESG: Transforming business models. In Sustainability through green HRM and performance integration (pp. 329–352). IGI Global Scientific Publishing. [Google Scholar]
  36. Susomrith, P. (2020). Incorporating psychological contract into the sustainable HRM model. In Sustainable human resource management: Transforming organizations, societies and environment (pp. 57–69). Springer. [Google Scholar]
  37. Tsang, A., Frost, T., & Cao, H. (2023). Environmental, social, and governance (ESG) disclosure: A literature review. The British Accounting Review, 55(1), 101149. [Google Scholar] [CrossRef]
  38. Wright, P. M., McMahan, G. C., & McWilliams, A. (1994). Human resources and sustained competitive advantage: A resource-based perspective. International Journal of Human Resource Management, 5(2), 301–326. [Google Scholar] [CrossRef]
  39. Yong, J. Y., Yusliza, M.-Y., & Fawehinmi, O. O. (2020). Green human resource management: A systematic literature review from 2007 to 2019. Benchmarking: An International Journal, 27(7), 2005–2027. [Google Scholar] [CrossRef]
  40. Zhai, X., Zhu, C. J., & Zhang, M. M. (2023). Mapping promoting factors and mechanisms of resilience for performance improvement: The role of strategic human resource management systems and psychological empowerment. Applied Psychology, 72(3), 915–936. [Google Scholar] [CrossRef]
Figure 1. Conceptual Framework.
Figure 1. Conceptual Framework.
Admsci 16 00108 g001
Table 1. Measurement of Constructs.
Table 1. Measurement of Constructs.
ConstructDimensionItemsTheory
ESG PracticesEnvironmental5Stakeholder Theory
ESG PracticesSocial5Stakeholder Theory, SET
ESG PracticesGovernance5SET
Employee OutcomesPerformance5RBV, PsyCap
Employee OutcomesRetention5SET, PsyCap
Table 2. Sample Profile.
Table 2. Sample Profile.
CategorySubcategoryPercent (%)
GenderMale40.4
Female59.6
Age18–24 years32.6
25–34 years36.0
35–44 years13.5
45–54 years11.2
55+ years6.7
Educational LevelLess than high school2.3
High school2.3
Bachelor’s degree46.1
Master’s degree42.7
Doctorate6.7
Employment StatusFull-time79.8
Part-time15.7
Self-employed2.2
Contract/Temporary2.2
Job RoleJunior28.1
Associate15.7
Senior24.7
Manager13.5
Specialist10.1
Executive/Director7.9
Years of Professional ExperienceLess than 1 year6.7
1–3 years33.7
4–6 years15.7
7–10 years15.7
10–15 years7.9
More than 15 years20.2
Industry TypeManufacturing21.3
Construction/Engineering24.7
Healthcare/Pharmaceutical18.0
Telecommunication5.6
Information Technology10.1
Shipping and Logistics3.4
Other16.9
Company SizeSmall (1–50 employees)38.2
Medium (51–250 employees)37.1
Large (250+ employees)24.7
Table 3. KMO and Bartlett’s test.
Table 3. KMO and Bartlett’s test.
IndicatorMSA
ENV1: My organization has clear, measurable targets for reducing energy use and emissions.0.916
ENV2: I receive training to apply environmentally friendly practices in my daily work.0.897
ENV3: Sustainability criteria are included in our performance appraisals where relevant to the role.0.877
ENV4: Recruitment and employer branding explicitly highlight our environmental commitments.0.801
ENV5: My organization invests in green technologies such as renewable energy and energy-saving systems.0.798
SP1: My organization actively supports employee well-being, such as mental health, safety, and work–life balance.0.774
SP2: Clear policies at my organization ensure equal opportunity and prevent discrimination.0.772
SP3: I have meaningful opportunities to participate in CSR/community initiatives within my organization.0.761
SP4: Employee feedback on well-being and inclusion is collected regularly and acted upon within my organization.0.935
SP5: My organization supports diversity and inclusion.0.783
GP1: Leaders at my organization consistently demonstrate integrity and ethical behavior.0.907
GP2: My organization reports transparently on ESG goals and progress.0.909
GP3: Safe channels exist for reporting unethical behavior without fear of retaliation.0.931
GP4: Compliance with governance policies and external regulations is regularly monitored and enforced.0.883
GP5: Governance policies ensure fairness and accountability in decision-making.0.884
EP1: ESG practices in my organization help me do my job better.0.921
EP2: I feel motivated to exceed expectations when my work is linked to ESG objectives.0.956
EP3: I have developed new skills or knowledge through ESG-related initiatives.0.904
EP4: Recognition systems fairly acknowledge contributions to ESG-related work.0.933
EP5: ESG-aligned practices improve my engagement and quality of work.0.923
ER1: Because of this organization’s ESG commitments, I intend to stay here long-term.0.899
ER2: The organization’s values and practices align with my own, increasing my loyalty.0.911
ER3: I would recommend this organization as an employer due to its ESG practices.0.896
ER4: ESG-aligned policies (e.g., fair pay, well-being, ethical leadership) reduce my desire to leave.0.954
ER5: ESG practices create a sense of security and trust that supports my commitment to stay.0.682
Overall0.885
Bartlett’s test of sphericity
X2dfp
8404300<0.001
Table 4. Standardized Factor Loadings, CR, and AVE.
Table 4. Standardized Factor Loadings, CR, and AVE.
LatentIndicatorStd. Loading
ENVENV10.607
ENV20.724
ENV30.748
ENV40.806
ENV50.815
CR = 0.86AVE = 0.558
SPSP10.640
SP20.913
SP30.971
SP40.590
SP50.728
CR = 0.89AVE = 0.614
GPGP10.794
GP20.830
GP30.884
GP40.843
GP50.823
CR = 0.93AVE = 0.696
EPEP10.681
EP20.747
EP30.649
EP40.757
EP50.766
CR = 0.89AVE = 0.522
ERER10.767
ER20.752
ER30.676
ER40.709
ER50.703
CR = 0.87AVE = 0.597
Table 5. HTMT.
Table 5. HTMT.
ENVSPGPEPER
1.000
0.2011.000
0.5110.1061.000
0.6660.1970.7801.000
0.4950.3750.5490.6541.000
Table 6. Reliability.
Table 6. Reliability.
Coefficient ωCoefficient α
ENV0.8650.857
SP0.8350.895
GP0.9190.919
EP0.8430.843
ER0.7510.732
total0.9230.915
Table 7. Model Fit.
Table 7. Model Fit.
IndexValue
RMSEA0.009
GFI0.976
Table 8. SEM Results.
Table 8. SEM Results.
OutcomePredictorStd. EstimateStd. Errorp
EPENV0.3290.040<0.001
SP0.0570.0340.091
GP0.6270.035<0.001
ERENV0.2450.048<0.001
SP0.2880.039<0.001
GP0.4730.043<0.001
Disclaimer/Publisher’s Note: The statements, opinions and data contained in all publications are solely those of the individual author(s) and contributor(s) and not of MDPI and/or the editor(s). MDPI and/or the editor(s) disclaim responsibility for any injury to people or property resulting from any ideas, methods, instructions or products referred to in the content.

Share and Cite

MDPI and ACS Style

Makki, M.; Jabbour Al Maalouf, N.; Chouaa, M.J.; Freiha, S. Bridging ESG and Sustainable HRM: Evidence from Lebanon’s Crisis-Driven Work Environment. Adm. Sci. 2026, 16, 108. https://doi.org/10.3390/admsci16030108

AMA Style

Makki M, Jabbour Al Maalouf N, Chouaa MJ, Freiha S. Bridging ESG and Sustainable HRM: Evidence from Lebanon’s Crisis-Driven Work Environment. Administrative Sciences. 2026; 16(3):108. https://doi.org/10.3390/admsci16030108

Chicago/Turabian Style

Makki, Mohammad, Nada Jabbour Al Maalouf, Mary Jane Chouaa, and Sibelle Freiha. 2026. "Bridging ESG and Sustainable HRM: Evidence from Lebanon’s Crisis-Driven Work Environment" Administrative Sciences 16, no. 3: 108. https://doi.org/10.3390/admsci16030108

APA Style

Makki, M., Jabbour Al Maalouf, N., Chouaa, M. J., & Freiha, S. (2026). Bridging ESG and Sustainable HRM: Evidence from Lebanon’s Crisis-Driven Work Environment. Administrative Sciences, 16(3), 108. https://doi.org/10.3390/admsci16030108

Note that from the first issue of 2016, this journal uses article numbers instead of page numbers. See further details here.

Article Metrics

Back to TopTop