Next Article in Journal
Synthesis and Comprehensive Study of Quaternary-Ammonium-Based Sorbents for Natural Gas Sweetening
Next Article in Special Issue
Sand Trapping Fences as a Nature-Based Solution for Coastal Protection: An International Review with a Focus on Installations in Germany
Previous Article in Journal / Special Issue
Occurrence of P. aeruginosa in Water Intended for Human Consumption and in Swimming Pool Water
 
 
Font Type:
Arial Georgia Verdana
Font Size:
Aa Aa Aa
Line Spacing:
Column Width:
Background:
Article

Ammonia Recovery from Digestate Using Gas-Permeable Membranes: A Pilot-Scale Study

by
Berta Riaño
1,*,
Beatriz Molinuevo-Salces
1,
Matías B. Vanotti
2 and
María Cruz García-González
1
1
Agricultural Technological Institute of Castilla y León. Ctra. Burgos, km. 119, 47071 Valladolid, Spain
2
Agricultural Research Service, Coastal Plains Soil, Water and Plant Research Center, United States Department of Agriculture, 2611 W. Lucas St., Florence, SC 29501, USA
*
Author to whom correspondence should be addressed.
Environments 2021, 8(12), 133; https://doi.org/10.3390/environments8120133
Submission received: 27 October 2021 / Revised: 16 November 2021 / Accepted: 22 November 2021 / Published: 25 November 2021
(This article belongs to the Special Issue Feature Papers in Environments in 2021)

Abstract

:
The reduction and recovery of nitrogen (N) from anaerobically digested manure (digestate) is desirable to mitigate N-related emissions, mainly ammonia and nitrate, derived from digestate land application in nutrient-saturated zones. This work reports the results of a gas-permeable membrane (GPM) pilot-scale plant to recover ammonia from digestate in the framework of the EU project Ammonia Trapping. The total ammonia nitrogen (TAN) concentration in digestate was reduced by 34.2% on average (range 9.4–57.4%). The recovery of TAN in the trapping solution in the form of a (NH4)2SO4 solution averaged 55.3% of the removed TAN, with a TAN recovery rate of 16.2 g N m−2 d−1 (range between 14.5 and 21.0 g N m−2 d−1). The TAN concentration in the trapping solution achieved a value of up to 35,000 mg N L−1. The frequent change of the trapping solution has been proven as an efficient strategy to improve the overall performance of the GPM technology.

1. Introduction

The implementation of anaerobic digestion treatment has increased in recent decades in order to minimize the environmental impacts of animal manures whilst producing renewable energy in the form of biogas [1,2] and, more recently, upgrading it to biomethane [3]. In addition, anaerobic digestion transforms the manure into a digestate, which is a biologically stable and partially sanitized product with high nutrient content that can be used as fertilizer. However, the land application of anaerobic digestate is also found to be a source of significant N-related emissions [2,4]. During anaerobic digestion, the organic nitrogen content in the waste is transformed into a mineral form, i.e., ammonia (NH3). These emissions can cause air and water pollution, which can negatively affect the biodiversity, vegetation and human health. Current European regulations on air quality are becoming more restrictive and have established percentage reduction commitments for NH3 annual emissions for each European country to be achieved by 2020 and 2030 [5]. In addition to application restrictions due to air quality regulations, there are also water quality regulations, such as the Nitrate Directive, which limits the use of digestate as fertilizer in order to reduce nitrate leaching, particularly in nitrate-vulnerable zones [6]. Moreover, the transportation of the digestate across agricultural fields can become quite expensive due to its high water content, which could affect the overall sustainability of the biogas plant. Therefore, technical solutions are needed for decreasing the nitrogen (N) content from anaerobic digestate in order to reduce the environmental risks associated with its use as fertilizer in nutrient-saturated zones.
The most common technology for nitrogen recovery from livestock wastewater is air stripping [7]. Other technologies that have been researched for the recovery of nitrogen are: zeolite adsorption through ion exchange [8], struvite precipitation [9], reverse osmosis [10] and gas-permeable membrane (GPM) technology [11]. Recently, Munasinghe-Arachchige and Nirmalakhandan [12] performed a multicriteria analysis to rank these techniques considering ten performance criteria, giving priority to economic and energetic aspects, and they concluded that the GPM technology is the preferred option. In this technology, GPMs are submerged in the wastewater and NH3 passes through the membrane pores by diffusion from high to low concentration (Figure 1). An acidic solution, used as a trapping solution, circulates on the other side of the membrane, recovering the NH3 as a valuable (NH4)2SO4 solution [13]. The efficiency of the GPM technology depends on the availability of NH3 gas in the wastewater, where NH3 gas and NH4+ (the ionic form) are in equilibrium. The main factor influencing this equilibrium is the pH [14]. Thus, the alkaline pH causes the dissociation of the ion NH4+ and forms free NH3 that can cross the membrane, being captured by the acidic solution. Low-rate aeration has been demonstrated as a cost-effective method to increase the pH of the livestock wastewater, compared with the addition of alkali chemicals [14].
This novel technology has been successfully applied to recover nitrogen from livestock wastes and anaerobic digestates at laboratory scale [13,14,15,16,17,18]. Another approach of this technology would be to treat ammonium-rich manure prior to anaerobic digestion feeding. The removal of NH3 from manure prior to anaerobic digestion would minimize the inhibition caused by this compound on methanogenic microorganisms, improving both biogas quality and quantity [19,20].
The EU project Ammonia Trapping was established to reduce NH3 emissions and recover N from livestock waste and anaerobic digestates using GPM technology through the transfer of knowledge from the lab-scale level to field pilot-scale level. Previously, in this project, the GPM technology was successfully demonstrated in a pilot-scale plant that captured NH3 from raw swine manure in a sow farm located in the north of Spain [21]. The present study was another objective of the Ammonia Trapping project, to determine the performance and efficiency of the GPM technology at pilot scale, recovering NH3 from anaerobically digested swine manure (digestate).

2. Materials and Methods

2.1. Location and Origin of Digestate

The pilot-scale plant was tested in batch operation during 11 months (from January to December 2019) for ammonia recovery from digestate in an agricultural anaerobic co-digestion plant located in Juzbado (Salamanca, Spain). The anaerobic co-digestion plant treated mainly swine manure from a finishing farm located in Salamanca (Spain), together with other co-substrates such as tobacco powder and cereal powder (pre-cleaned maize residue, broken kernels) at approximately 35 °C (mesophilic range) and with a hydraulic retention time (HRT) between 70 and 80 days. It generated approximately 6000 m3 of digestate per year. The mean concentrations for digestate for each batch experiment are presented in Table 1.

2.2. Pilot-Scale Plant Configuration

The pilot-scale plant was placed next to the digestate storage tank of the anaerobic co-digestion plant and inside a shipping container. A schematic diagram of the pilot plant is shown in Figure 2. The pilot-scale plant consisted of: 1. a digestate feeding pump; 2. a 5.85 m3 ammonia separation reactor tank with a module containing 16 e-PTFE membrane panels (Figure 3A,B); 3. a blowing air pump for aeration and several air diffusers placed in the bottom of the reactor tank; 4. a recirculation pump for mixing the reactor; 5. a 0.25 m3 tank for ammonia concentration and for the acidic trapping solution (i.e., a solution of H2SO4 1 N) storage (Figure 3C); 6. a recirculation pump for the acidic trapping solution, which is lifted to a distribution sealed pipeline connected to one end of the tubular membranes in the panels and collected in an open pipeline when exiting the tubular membranes in panels, being returned again to the concentrator tank by gravity (Figure 3D); 7. a heating blanket to heat the acidic trapping solution and reduce osmotic distillation; and 8. a programmable logic controller (PLC) control system to control aeration, heating and recirculation pumps and to monitor the pH and temperatures of the digestate and the trapping solution. The total surface of the membrane varied between 8.85 and 12.13 m2 in the batch experiments. This variation was due to the temporary closure of the membrane panels for maintenance reasons. The configuration of the pilot plant is described in more detail in the publication of Molinuevo-Salces et al. [21].

2.3. Operational Procedure and Experimental Runs

2.3.1. Operational Procedure

Two experiments that included several batch runs were carried out in order to evaluate the performance of the pilot-scale plant recovering ammonia from digestate. A standard operating procedure (SOP) was applied to all runs as follows. Digestate was pumped from a digestate storage tank to the ammonia separation reactor tank of the pilot-scale plant, reaching a total volume of approximately 5 m3. The digestate was mixed by using a recirculation pump working in on/off cycles of 20/10 seconds. The blowing air pump for the aeration of the digestate worked in discontinuous mode in on/off cycles of 180/180 seconds to reach a pH of 8.5. To recover and concentrate ammonia, a volume of approx. 0.15 m3 of 1N H2SO4 was used as a trapping solution. To maintain the pH of the trapping solution below 2, concentrated H2SO4 (96–98%, Panreac, Glenview, IL, USA) was manually added to the trapping solution to an endpoint of pH < 1 whenever the pH of the solution increased up to 2.

2.3.2. Effect of the Change of the Trapping Solution on TAN Removal from Digestate (Experiment I)

Experiment I was performed to evaluate the percentage of TAN that could be removed from digestate by the pilot-scale plant by changing the trapping solution frequently. For this purpose, three consecutive acid-batch runs (namely A1, A2 and A3) were carried out over 27 d following the SOP described in Section 2.3.1. In each of them, a new trapping solution was used, while the same digestate was used during the whole experiment (for example, A2 started with new acid solution and the digestate left after A1 treatment). The operational parameters of each batch are presented in Table 2.

2.3.3. Study of the Maximum TAN Concentration in the Trapping Solution (Experiment II)

In order to assess the maximum TAN concentration that could be attained on the trapping solution, a fed-batch experiment was carried out (namely, experiment II). This fed-batch experiment consisted of using the same trapping solution (i.e., 1N H2SO4) during the whole experimental time but feeding the reactor with fresh digestate in each batch run (for example, B2 started with new digestate and the acidic solution left after B1 treatment). Experiment II lasted for 50 days. Five (B1–B5) consecutive batch runs were carried out in Experiment II. Table 2 shows the operational parameters during each batch of Experiment II. The SOP was as described in Section 2.3.1.

2.3.4. Comparison of the GPM Pilot Plant Performance during Treatment of Digestate and Raw Swine Manure

Four batch experiments were carried out for the evaluation of the performance of the pilot plant for recovering ammonia from the digestate (A1 from Experiment I, B1 from Experiment II, C1 and C2). Table 2 summarizes the operational parameters during each batch. The results of this evaluation were compared with those reported by Molinuevo-Salces et al. [21], who evaluated the performance of the pilot-scale plant for recovering ammonia from swine manure.

2.4. Sampling and Process Monitoring

Initial samples of digestate were taken for each batch experiment and analyzed for pH, total alkalinity, total solids (TS), volatile solids (VS), total chemical oxygen demand (TCOD), soluble chemical oxygen demand (SCOD), total volatile fatty acids (TVFA), TAN and total Kjeldahl nitrogen (TKN) (Table 1). Every day, liquid samples (100 mL) from the ammonia separation reactor tank and samples of the trapping solution (10 mL) from the ammonia concentrator tank were taken to monitor the pH and TAN concentration. These samples were refrigerated at 4 °C and transported to the laboratory for analyses once a week. The temperature in the digestate and in the acidic trapping solution were hourly recorded by the PLC and averaged daily.

2.5. Analytical Methods and Calculations

Analyses of TS, VS, TCOD, SCOD, TAN and TKN were performed in duplicate in accordance with APHA [22]. TS content was determined by drying the sample to a constant weight at 103–105 °C. The TS residue was ignited at 550 °C to constant weight and the weight lost on ignition was the VS content. TCOD and SCOD were determined following the closed reflux colorimetric method. TKN was measured according to the Kjeldahl digestion, distillation and titration method. TAN was measured according to the distillation and titration method. Total alkalinity and pH were monitored using a pH meter, the Crison Basic 20 (Crison Instruments S.A., Barcelona, Spain). Total alkalinity was determined by measuring the amount of standard sulfuric acid needed to bring the sample to a pH of 4.5. The concentrations of acetate, propionate, butyrate, iso-butyrate, valerate, iso-valerate and caproate were determined using a gas chromatograph (Agilent 7890A, Santa Clara, CA, USA) equipped with a Teknokroma TRB-FFAP column of 30 m length and 0.25 mm i.d. followed by a flame ionization detector (FID). The carrier gas was helium (1 mL min−1). The temperature of the detector and the injector was 280 °C. The temperature of the oven was set at 100 °C for 4 min and then increased to 155 °C for 2 min and thereafter increased to 210 °C. TVFA were calculated as the sum of those acids.
Free ammonia (FA) was calculated as un-ionized ammonia, using the equation of Hansen et al. [23] (Equation (1)):
NH3/tNH3 = (1 + (10−pH/10−(0.09018 + 2729.92/T))−1
where NH3 is the FA content, tNH3 is the total NH3 concentration, T (in Kelvin) and pH were measured in the digestate in the ammonia separation tank.
TAN removal in the digestate was calculated following Equation (2):
TAN removal = (TANo − TANfinal)/TANo × 100
where TANo and TANfinal are the initial and final TAN concentrations for each batch run, respectively, of the digestate being processed in the ammonia separation reactor tank.

3. Results

3.1. Effect of the Change of the Trapping Solution on TAN Removal and Recovery (Experiment I)

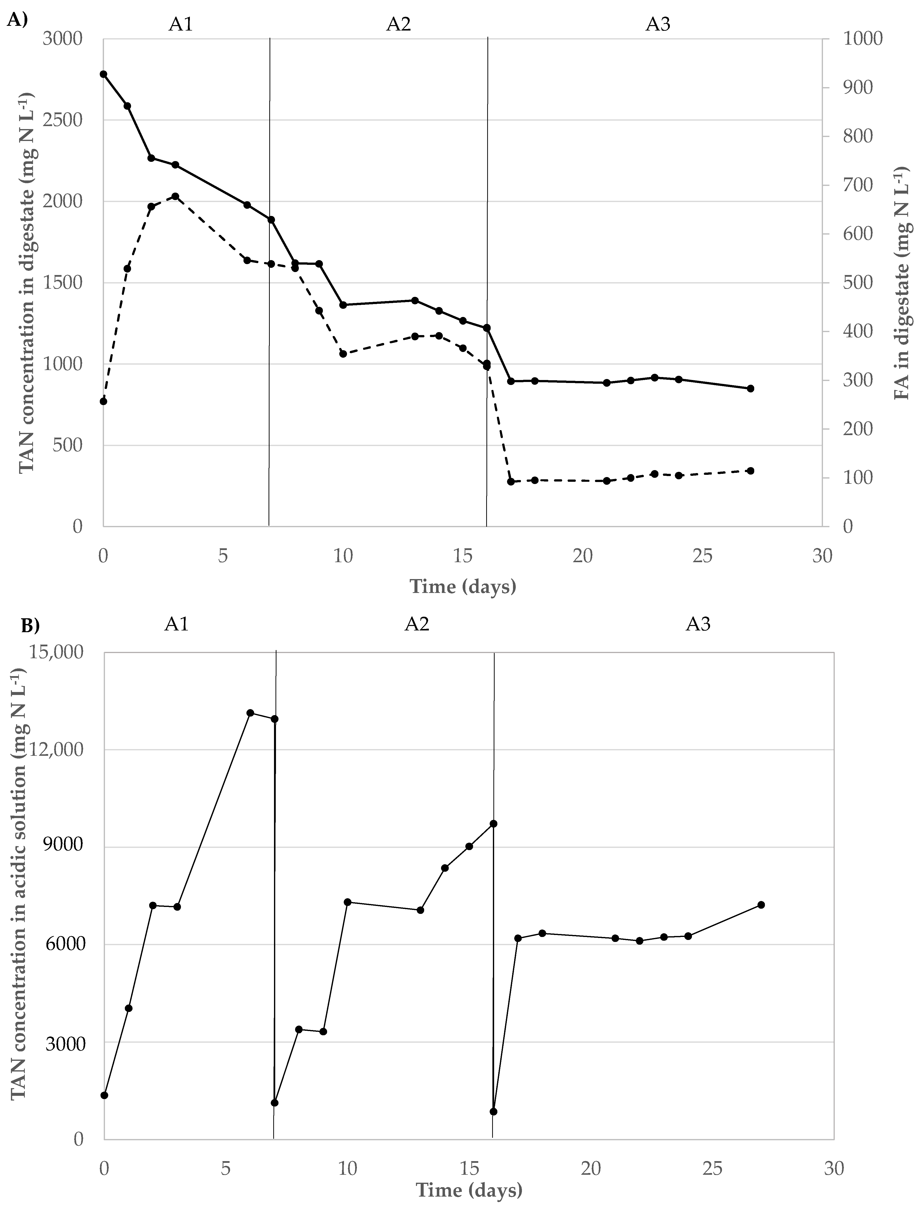
This experiment evaluated the effect of changing the trapping solution on TAN removal and recovery. For this purpose, three consecutive batch runs (namely A1, A2 and A3) were carried out over 27 d. In each batch, a new trapping solution was used, whereas the same digestate was used during the whole experiment. The aeration provided successfully increased the digestate pH from an initial value of 8.3 to values above 9.1 (Table 3).
The TAN concentration in the digestate decreased from 2783 mg N L−1 to 849 mg N L−1 in 27 days, leading to an overall TAN removal of 69% (Figure 4A). The recovery of TAN in the trapping solution gradually decreased from 57.5% in A1 to 30.7% in A2 and, finally, to 20.7% in A3 (Table 3). Consequently, the TAN recovery rate decreased with time, from 14.5 g m−2 d−1 in the first batch to 8.2 g m−2 d−1 in the third one. The reduction in the TAN recovery rate can be attributed to the marked decrease in FA content during the experiment, especially from day 17, when it amounted to 95 mg N L−1 (Figure 4A), which fits well with the FA threshold values reported in the literature. In this context, FA content in wastewater has been stated as one of the main factors affecting the TAN recovery by the GPM technology. For example, García-González and Vanotti [14] observed that the TAN recovery rate decreased when FA in manure was below 20 mg L−1. In addition, García-González et al. [19], in a 32-day experiment evaluating N recovery from digestate with the GPM technology, found that TAN recovery was linear until day 25 of the experiment, when the average FA in digestate was 69 mg N L−1, and then the recovery rate drastically decreased.
In this experiment, a maximum TAN concentration in the acidic trapping solution of 13,134 mg N L−1 was achieved in A1 (Figure 4B), which means a concentration almost 5 times higher than in digestate.

3.2. Study of the Maximum TAN Concentration in the Trapping Solution (Experiment II)

In this experiment, a fed-batch assay was performed, where the same acidic trapping solution was used during the whole experimental period, whereas the digestate was changed for each batch (the acidic solution was recharged as needed with concentrated acid as the solution was being neutralized by the ammonia trapping, but the acidic solution was not replaced between batches).
Table 4 shows the chemical changes during Experiment II. The provided aeration successfully increased the pH in the digestate during each batch (approximately 0.34 to 0.79 pH units). A decrease in the concentration of TAN in the digestate with time was observed for each batch (Figure 5A). However, there was also a reduction in TAN removal efficiency within each run, as the run progressed, shown by the TAN curves in Figure 5A. For example, for B1, most of the TAN was removed in the first 7 days of experimentation, whereas the removal from days 7 to 15 was negligible, even when the remaining TAN concentration in the digestate was around 1500 mg N L−1. For B2, TAN removal took place mainly in the three first days of experimentation, when the TAN concentration in digestate decreased from 2575 mg N L−1 to 1780 mg N L−1. For the last batches (B3–B5), TAN removal mainly occurred on the first day. As a result, the TAN recovery rates during the different batch runs also decreased with time, from 14.9 g TAN m−2 day−1 in B1 to 3.1 g TAN m−2 day−1 in B5 (Table 4). Between 20.7 and 56.7% of the removed TAN was recovered as a (NH4)2SO4 solution (Table 4).
Although the TAN concentration in the trapping solution increased during the first consecutive batches, each successive increase was not as pronounced as the previous one (Table 4; Figure 5B). For example, the TAN concentration in the trapping solution increased by 16,690 mg N L−1 in B1, 11,822 mg N L−1 in B2, 6332 mg N L−1 in B3 and 2085 mg N L−1 in B4. TAN was even lost in B5 (−6550 mg N L−1). This indicates that the optimum TAN recovery occurred during B3, when the maximum value of TAN concentration in the trapping solution (34,429 mg N L−1) was obtained, and that additional fed-batches did not improve the process performance in terms of the TAN concentration of the trapping solution. It is worth mentioning that this maximum TAN concentration in the acidic trapping solution was approximately 14 times higher than the original digestate. Similar results were obtained by Molinuevo-Salces et al. [21], who attained a maximum TAN concentration in the trapping solution of 32,100 mg N L−1 when treating swine manure with this pilot-scale plant. This finding also concurs with those reported by Daguerre-Martini et al. [24], who studied ammonia capture from swine manure using gas-permeable membranes, and, after 4-day treatment, the TAN concentration in the acidic trapping solution was up to 37,000 mg L−1. Our study, as well as the two studies mentioned above, used low-rate aeration to increase the wastewater pH to approximately 9. Other studies that also used the same acidic solution during the entire experiment to process various batches of manure, but that used alkali chemicals to increase the pH of wastewater to a higher pH (9–12), reported reaching higher TAN concentrations in the acidic solution, up to 53,000 mg TAN L−1 [25] and 46,590 mg N L−1 [26]. However, the addition of alkali chemicals to increase the wastewater pH is higher in cost than using the aeration approach; for example, Garcia-González et al. [14] showed that, relative to alkali addition (NaOH), the aeration approach reduced the operational costs of ammonia recovery by 57%. Therefore, with the aeration approach, there is a limit of approximately 34,000–37,000 mg N L−1 in the recovered solution, and if higher concentrations in the product are desired (such as to reduce the transportation cost to export this fertilizer far distances from the farm), then other methods besides alkali chemical addition need to be explored in the future, such as vacuum distillation or prilling.

3.3. Evaluation of the Performance of the Pilot-Scale Plant Recovering Ammonia from Digestate: Digestate vs. Manure

For the evaluation of the performance of the pilot plant for removing and recovering ammonia from digestate, four representative batches (A1, B1, C1 and C2; Table 1 and Table 2) were selected and averaged, and compared with data previously obtained using the same pilot plant applied to raw swine manure (Table 5). With the digestate feed, a pH value in the digestate of up to 8.71 ± 0.25 and an increase of 0.86 pH units were reached after one day of operation and maintained during the whole experimental time, due to the effect of the provided low-rate aeration. With the raw swine manure feed, the corresponding pH increase was 1.0 units. The average TAN removal efficiency in digestate was 34.2% (range 9.4–57.4%), which is the same efficiency obtained with raw manure (Table 5). In the digestate case, the recovery of TAN in the trapping solution in the form of a (NH4)2SO4 solution averaged 55.3% of the removed TAN, with a TAN recovery rate of 16.2 g N m−2 d−1 (range between 14.5 and 21.0 g N m−2 d−1). In the raw manure case, the recovery of TAN averaged 62.0%, with a TAN recovery rate of 19.7 g N m−2 d−1.
In the digestate case, the trapping solution reached an averaged final TAN concentration of 14.63 g N L−1 in a single run, whereas it attained an average value of 20.74 g N L−1 when treating swine manure. Finally, in the digestate case, volatilization losses accounted for 15% of the initial TAN, similar to losses of 13% of the initial TAN in the raw manure case. This loss is higher than values ranging between 2 and 8% obtained with swine manure reactors at lab scale [14,15]. Possible ways to reduce ammonia losses to the atmosphere in pilot- and full-scale plants would be to cover the ammonia separation reaction tank and to use a higher ratio of membrane area per volume of liquid wastewater treated similar to the laboratory reactors.
Regarding economic costs, an evaluation of the implementation of a membrane-based full plant for the recovery of nitrogen from 6000 m3 of digestate generated per year (16.4 m3 per day) in a biogas plant with an average TAN concentration of 2.73 kg m−3 was performed. For this evaluation, a TAN recovery efficiency of 57.5% and a maximum TAN recovery rate of 21.0 g N m−2 d−1 were considered (Table 5). A TAN removal goal for the digestate of 90% was assumed. The amount of N that should be recovered per year should be 8477 kg. The membrane needed to achieve this goal is 1107 m2. Based on the experimental data in this study, the amount of H2SO4 (96%) required for the process was 6.92 kg per kg of N recovered. Initial investment for this plant would amount to 150,366 €, including the membrane, with a unit cost of 115 € m−2, and additional equipment such as pumps, tanks, the air blowing pump and the heating blanket, with an estimated value of 23,007 € (Molinuevo-Salces et al. [21]). The annualized cost of the equipment would amount to 22,409 €, considering a 10-year useful life and 8% interest. The annual operational costs would comprise the cost of H2SO4 (17,109 € per year; 0.29 € kg−1), the cost for membrane replacement (10% in a year), which would amount to 12,736 € and an electrical cost of 2822 € (based on an electrical power consumption of 59.7 kWh d−1 and a unit cost of 0.1295 € kWh−1) [21]. As a result, the annual cost of the plant would be 55,076 €. The revenue for the sale of the recovered nitrogen as fertilizer would be 20,005 € considering a value of 2,36 € per kg N [21]. Hence, the estimated net cost of the nitrogen recovery plant would be 35,071 € per year, resulting in a net cost of around 4 € per kg of N recovered per year. This net cost is two-fold higher than the estimation made by Molinuevo-Salces et al. [21] for a membrane-based nitrogen recovery plant for a swine farm producing around 17,000 m3 of manure per year. This is mainly due to the lower TAN recovery rate obtained for the digestate compared with the manure case (20.97 vs. 38.20 g m−2 d−1) (Table 5).

4. Conclusions

GPM technology applied to digestate at pilot scale gave a TAN removal of 34%, and up of 57.5% of the TAN removed was recovered as a (NH4)2SO4 solution. The maximum TAN concentration in the (NH4)2SO4 solution was nearly 35,000 mg N L−1, which was around 14 times the TAN concentration in the original digestate. The frequent change of the trapping solution was demonstrated as an efficient strategy to increase TAN removal.

Author Contributions

Conceptualization, B.R. and B.M.-S.; formal analysis, B.R. and B.M.-S.; investigation, B.M.-S. and M.C.G.-G.; data curation, B.M.-S. and M.C.G.-G.; writing—original draft preparation, B.R.; writing—review and editing, B.R. and B.M.-S., M.B.V. and M.C.G.-G.; project administration, M.C.G.-G.; funding acquisition, M.C.G.-G. and B.R. All authors have read and agreed to the published version of the manuscript.

Funding

This research was funded by the European Union under the Project Life+ Ammonia Trapping (LIFE15-ENV/ES/000284) “Development of membrane devices to reduce ammonia emissions generated by manure in poultry and pig farms”. The mention of trade names or commercial products in this article is solely for the purpose of providing specific information and does not imply recommendation or endorsement by the USDA.

Conflicts of Interest

The authors declare no conflict of interest.

References

  1. Grando, R.L.; Antune, A.M.D.S.; da Fonseca, F.V.; Sánchez, A.; Barrena, R.; Font, X. Technology overview of biogas production in anaerobic digestion plants: A European evaluation of research and development. Renew. Sustain. Energy Rev. 2017, 80, 44–53. [Google Scholar] [CrossRef] [Green Version]
  2. Riva, C.; Orzi, V.; Carozzi, M.; Acutis, M.; Boccasile, G.; Lonati, S.; Tambone, F.; D’Imporzano, G.; Adani, F. Short-term experiments in using digestate products as substitutes for mineral (N) fertilizer: Agronomic performance, odours, and ammonia emission impacts. Sci. Total. Environ. 2016, 547, 206–214. [Google Scholar] [CrossRef]
  3. Iglesias, R.; Muñoz, R.; Polanco, M.; Díaz, I.; Susmozas, A.; Moreno, A.; Guirado, M.; Carreras, N.; Ballesteros, M. Biogas from Anaerobic Digestion as an Energy Vector: Current Upgrading Development. Energies 2021, 14, 2742. [Google Scholar] [CrossRef]
  4. Nkoa, R. Agricultural benefits and environmental risks of soil fertilization with anaerobic digestates: A review. Agron. Sustain. Dev. 2014, 34, 473–492. [Google Scholar] [CrossRef] [Green Version]
  5. EC—European Commission. Directive (EU) 2016/2284 of the European Parlament and of the Council of 14 December 2016 on the reduction of national emissions of certain atmospheric pollutants, amending Directive 2003/35/EC and repealing Directive 2001/81/EC. Off. J. Eur. Common. 2016, L344, 1–31. [Google Scholar]
  6. European Council. Council Directive of 12 December 1991 Concerning the Protection of Waters Against Pollution Caused by Nitrates from Agricultural Sources (91/676/EEC). Off. J. 1991, 375, 1–8. [Google Scholar]
  7. Folino, A.; Zema, D.A.; Calabrò, P.S. Environmental and Economic Sustainability of Swine Wastewater Treatments Using Ammonia Stripping and Anaerobic Digestion: A Short Review. Sustainability 2020, 12, 4971. [Google Scholar] [CrossRef]
  8. Milan, Z.; Sánchez, E.; Weiland, P.; de Las Pozas, C.; Borja, R.; Mayari, R.; Rovirosa, N. Ammonia removal from anaero-bically treated piggery manure by ion exchange in columns packed with homoionic zeolites. Chem. Eng. J. 1997, 66, 65–71. [Google Scholar] [CrossRef]
  9. Demirer, S.U.; Demirer, G.; Chen, S. Ammonia removal from anaerobically digested dairy manure by struvite precipitation. Process. Biochem. 2005, 40, 3667–3674. [Google Scholar] [CrossRef]
  10. Masse, L.; Massé, D.; Pellerin, Y.; Dubreuil, J. Osmotic pressure and substrate resistance during the concentration of manure nutrients by reverse osmosis membranes. J. Membr. Sci. 2010, 348, 28–33. [Google Scholar] [CrossRef]
  11. Vanotti, M.B.; Szogi, A.A. Systems and Methods for Reducing Ammonia Emissions from Liquid Effluents and for Recov-Ering the Ammonia. U.S. Patent 9,005,333 B1, 14 April 2015. [Google Scholar]
  12. Munasinghe-Arachchige, S.P.; Nirmalakhandan, N. Nitrogen-Fertilizer Recovery from the Centrate of Anaerobically Digested Sludge. Environ. Sci. Technol. Lett. 2020, 7, 450–459. [Google Scholar] [CrossRef]
  13. Dube, P.J.; Vanotti, M.B.; Szogi, A.A.; Garcia-González, M.C. Enhancing recovery of ammonia from swine manure an-aerobic digester effluent using gas-permeable membrane technology. Waste Manag. 2016, 49, 372–377. [Google Scholar] [CrossRef] [PubMed] [Green Version]
  14. Garcia-González, M.; Vanotti, M. Recovery of ammonia from swine manure using gas-permeable membranes: Effect of waste strength and pH. Waste Manag. 2015, 38, 455–461. [Google Scholar] [CrossRef] [PubMed]
  15. García-González, M.; Vanotti, M.; Szogi, A. Recovery of ammonia from swine manure using gas-permeable membranes: Effect of aeration. J. Environ. Manag. 2015, 152, 19–26. [Google Scholar] [CrossRef] [PubMed]
  16. Zarebska, A.; Romero Nieto, D.; Christensen, K.V.; Norddahl, B. Ammonia recovery from agricultural wastes by mem-brane distillation: Fouling characterization and mechanism. Water Res. 2014, 45, 1–10. [Google Scholar] [CrossRef]
  17. Bayrakdar, A.; Sürmeli, R.; Önder; Çalli, B. Anaerobic digestion of chicken manure by a leach-bed process coupled with side-stream membrane ammonia separation. Bioresour. Technol. 2018, 258, 41–47. [Google Scholar] [CrossRef]
  18. Riaño, B.; Molinuevo-Salces, B.; Vanotti, M.B.; García-González, M.C. Application of Gas-Permeable Membranes For-Semi-Continuous Ammonia Recovery from Swine Manure. Environments 2019, 6, 32. [Google Scholar] [CrossRef] [Green Version]
  19. García-González, M.C.; Vanotti, M.B.; Szogi, A.A. Recovery of ammonia from anaerobically digested manure using gas-permeable membranes. Sci. Agric. 2016, 73, 434–438. [Google Scholar] [CrossRef] [Green Version]
  20. González-García, I.; Riaño, B.; Molinuevo-Salces, B.; Vanotti, M.; García-González, M. Improved anaerobic digestion of swine manure by simultaneous ammonia recovery using gas-permeable membranes. Water Res. 2021, 190, 116789. [Google Scholar] [CrossRef]
  21. Molinuevo-Salces, B.; Riaño, B.; Vanotti, M.B.; Hernández-González, D.; García-González, M.C. Pilot-Scale Demonstration of Membrane-Based Nitrogen Recovery from Swine Manure. Membranes 2020, 10, 270. [Google Scholar] [CrossRef]
  22. American Water Works Association; Water Environment Federation. Standard Methods for the Examination of Water, Wastewater APHA, 21st ed.; American Public Health Association: Washington, DC, USA, 2005. [Google Scholar]
  23. Hansen, K.H.; Angelidaki, I.; Ahring, B.K. Anaerobic Digestion of Swine Manure: Inhibition by Ammonia. Water Res. 1998, 32, 5–12. [Google Scholar] [CrossRef]
  24. Daguerre-Martini, S.; Vanotti, M.; Rodriguez-Pastor, M.; Rosal, A.; Moral, R. Nitrogen recovery from wastewater using gas-permeable membranes: Impact of inorganic carbon content and natural organic matter. Water Res. 2018, 137, 201–210. [Google Scholar] [CrossRef] [PubMed] [Green Version]
  25. Vanotti, M.B.; Szogi, A.A. Use of Gas-Permeable Membranes for the Removal and Recovery of Ammonia from High Strength Livestock Wastewater. In Proceedings of the WEF/IWA Nitrogen Recovery and Management Conference, Miami, FL, USA, 9–12 January 2011. [Google Scholar]
  26. García, M.C.; Vanotti, M.B.; Szogi, A.A. Abatement of ammonia emissions from digested manure using gas-permeable membranes. In Proceedings of the RAMIRAN 2015—16th International Conference Rural-Urban Symbiosis, Hamburg, Germany, 8–10 September 2015; pp. 310–313. [Google Scholar]
Figure 1. Cross-sectional diagram of a gas-permeable membrane.
Figure 1. Cross-sectional diagram of a gas-permeable membrane.
Environments 08 00133 g001
Figure 2. Schematic diagram of the pilot plant.
Figure 2. Schematic diagram of the pilot plant.
Environments 08 00133 g002
Figure 3. Pictures of the pilot plant located in the agro-industrial biogas plant. Ammonia separation reactor tank with a module of 16 parallel membrane panels (A,B), trapping solution tank (C) and open pipeline to collect the trapping solution at the exit opening of the membranes (D).
Figure 3. Pictures of the pilot plant located in the agro-industrial biogas plant. Ammonia separation reactor tank with a module of 16 parallel membrane panels (A,B), trapping solution tank (C) and open pipeline to collect the trapping solution at the exit opening of the membranes (D).
Environments 08 00133 g003
Figure 4. TAN (continuous line) and FA (dashed line) concentration in the digestate (A) and TAN concentration in the acidic trapping solution (B) in Experiment I.
Figure 4. TAN (continuous line) and FA (dashed line) concentration in the digestate (A) and TAN concentration in the acidic trapping solution (B) in Experiment I.
Environments 08 00133 g004
Figure 5. TAN (continuous line) and FA (dashed line) concentration in the digestate (A) and TAN concentration in the acidic trapping solution (B) in the fed-batch assay (Experiment II).
Figure 5. TAN (continuous line) and FA (dashed line) concentration in the digestate (A) and TAN concentration in the acidic trapping solution (B) in the fed-batch assay (Experiment II).
Environments 08 00133 g005
Table 1. Characteristics for the digestate in the different batch experiments.
Table 1. Characteristics for the digestate in the different batch experiments.
ParameterA1B1B2B3B4B5C1C2
pH8.327.758.268.608.418.457.407.92
Alkalinity (mg L−1)23,77220,20719,52822,36321,04726,10314,72221,221
TKN (mg N L−1)3451 ± 33255 ± 1352990 ± 143384 ± 143311 ± 72n.d.2629 ± 333854 ± 40
TAN (mg N L−1)2783 ± 642509 ± 192575 ± 82624 ± 2152511 ± 12812 ± 02637 ± 542976 ± 32
Initial alkalinity: initial TAN ratio8.548.057.587.658.389.285.587.13
TS (g L−1)75.9 ± 8.957.4 ± 2.066.0 ± 14.259.8 ± 5.468.1 ± 0.7n.d.32.2 ± 1.155.2 ± 6.0
VS (g L−1)33.7 ± 4.927.7 ± 0.731.3 ± 6.728.7 ± 3.130.7 ± 0.1n.d.16.5 ± 1.028.6 ± 2.0
CODt (mg L−1)34,958 ± 351429,752 ± 49231,358 ± 408939,202 ± 287927,602 ± 7570n.d.23,461 ± 236541,034 ± 2631
CODs (mg L−1)8223 ± 13586302 ± 6797983 ± 10195982 ± 06382 ± 566n.d.8143 ± 11312,546 ± 453
TVFA (mg COD L−1)240.9 ± 18.585.1 ± 0.6406.5 ± 41.3456.7 ± 6.2160.5 ± 42.0n.d.230.6 ± 51.2285.9 ± 73.1
n.d., not determined.
Table 2. Operational parameters during Experiment I (A1–A3), Experiment II (B1–B5) and two batches (C1–C2).
Table 2. Operational parameters during Experiment I (A1–A3), Experiment II (B1–B5) and two batches (C1–C2).
Experiment IExperiment II
A1A2A3B1B2B3B4B5C1C2
Operation timedays1–77–1616–271–1515–2929–3838–4444 -50187
Trapping solutionm30.150.15–0.14 0.150.13–0.140.13–0.140.14–0.130.13–0.110.13- 0.130.13–0.150.15
Digestatem35.08–4.994.99–4.794.97–4.885.05–5.055.05–4.905.06–4.865.23–5.125.08–4.995.12–4.885.16–5.14
Membrane surfacem28.858.858.8512.1311.1311.9511.9511.958.858.85
Temperature digestate°C22.7 ± 1.720.7 ± 0.721.0 ± 0.727.2 ± 1.1428.4 ± 0.929.4 ± 1.827.4 ± 1.728.6 ± 1.123.9 ± 1.118.4 ± 0.7
Temperature trapping solution°C25.4 ± 1.923.8 ± 1.124.8 ± 1.028.8 ± 1.330.5 ± 0.931.9 ± 1.730.8 ± 0.832.6 ± 2.928.8 ± 1.422.7 ± 0.8
Table 3. Changes in chemical characteristics of digestate during Experiment I.
Table 3. Changes in chemical characteristics of digestate during Experiment I.
ParameterUnit A1A2A3
pH Initial8.329.119.09
Final9.119.098.65
Alkalinitymg CaCO3 L−1Initial23,77215,70211,625
Final15,70211,6259596
Removed TAN%-32.1635.3330.47
TAN in trapping solutionmg N L−1Initial13571125857
Final12,49497197221
Recovered TAN in trapping solution%-57.5230.6720.67
TAN recovery rateg N m−2 d−1-14.489.968.23
Table 4. Chemical changes in digestate during Experiment II (fed-batch operation).
Table 4. Chemical changes in digestate during Experiment II (fed-batch operation).
ParameterUnit B1B2B3B4B5
pH-Initial7.758.268.148.418.45
Final8.548.608.768.949.18
Removed TAN%-37.7841.5919.476.494.34
TAN in the trapping solutionmg N L−1Initial 37312,86024,16030,23627,139
Final16,69824,68230,49232,32120,589
Recovered TAN in trapping solution%-56.6630.4020.7423.6026.01
TAN recovery rateg m−2 d−1-14.8910.978.733.643.14
Table 5. Comparison of the results obtained with the GPM pilot plant during the treatment of digestate with the results obtained using the same pilot plant during the treatment of raw swine manure.
Table 5. Comparison of the results obtained with the GPM pilot plant during the treatment of digestate with the results obtained using the same pilot plant during the treatment of raw swine manure.
ParameterDigestate *Raw Swine Manure **
RangeAverageRangeAverage
Initial pH7.40–8.327.85 ± 0.337.26- 7.757.60 ± 0.21
Final pH8.48–9.118.71 ± 0.258.20–8.918.61 ± 0.30
Initial TAN wastewater (g N L−1)2.51–2.982.73 ± 0.172.30–3.052.78 ± 0.28
Final TAN wastewater (g N L−1)1.17–2.70 1.82 ± 0.581.22–2.511.84 ± 0.49
Removed TAN (%)9.44–57.3734.18 ± 17.0814.30–49.4634.20 ± 14.37
Final TAN trapping solution (g N L−1)6.19–23.1214.63 ± 6.178.48–32.1020.74 ± 10.09
Recovered TAN (%)43.16–57.5255.25 ± 7.3142.81–79.6962.03 ± 13.29
TAN recovery rate (g N m−2 d−1)14.48–20.9716.15 ± 2.788.38–38.2019.72 ± 12.16
* Values correspond to the average of four batches comprising A1 of Experiment I and B1 of Experiment II, C1 and C2. ** Data from Molinuevo-Salces et al. [21].
Publisher’s Note: MDPI stays neutral with regard to jurisdictional claims in published maps and institutional affiliations.

Share and Cite

MDPI and ACS Style

Riaño, B.; Molinuevo-Salces, B.; Vanotti, M.B.; García-González, M.C. Ammonia Recovery from Digestate Using Gas-Permeable Membranes: A Pilot-Scale Study. Environments 2021, 8, 133. https://doi.org/10.3390/environments8120133

AMA Style

Riaño B, Molinuevo-Salces B, Vanotti MB, García-González MC. Ammonia Recovery from Digestate Using Gas-Permeable Membranes: A Pilot-Scale Study. Environments. 2021; 8(12):133. https://doi.org/10.3390/environments8120133

Chicago/Turabian Style

Riaño, Berta, Beatriz Molinuevo-Salces, Matías B. Vanotti, and María Cruz García-González. 2021. "Ammonia Recovery from Digestate Using Gas-Permeable Membranes: A Pilot-Scale Study" Environments 8, no. 12: 133. https://doi.org/10.3390/environments8120133

APA Style

Riaño, B., Molinuevo-Salces, B., Vanotti, M. B., & García-González, M. C. (2021). Ammonia Recovery from Digestate Using Gas-Permeable Membranes: A Pilot-Scale Study. Environments, 8(12), 133. https://doi.org/10.3390/environments8120133

Note that from the first issue of 2016, this journal uses article numbers instead of page numbers. See further details here.

Article Metrics

Back to TopTop