An Exploratory Analysis of Sound Field Characteristics using the Impulse Response in a Car Cabin
Abstract
:1. Introduction
2. Methods
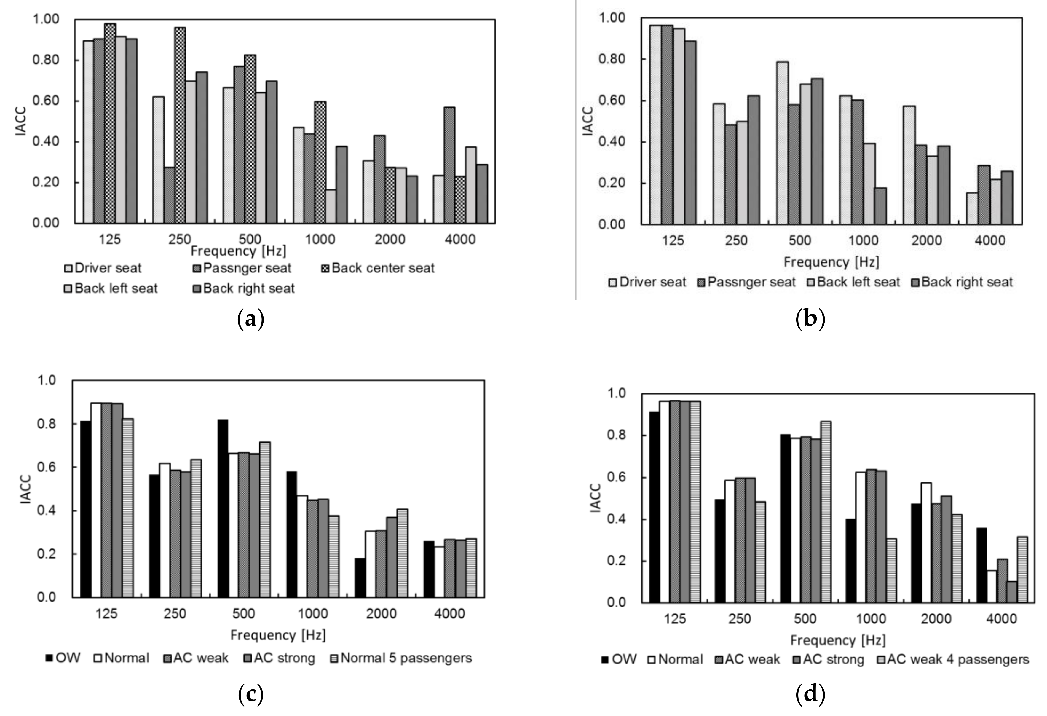
3. Results
4. Discussion
5. Conclusions
Acknowledgments
Author Contributions
Conflicts of Interest
References
- Samarasinghe, P.N.; Zhang, W.; Abhayapala, T.D. Recent advances in active noise control inside automobile cabins: Toward quieter cars. IEEE Signal Process Mag. 2016, 33, 61–73. [Google Scholar] [CrossRef]
- Licitra, G.; Cerchiai, M.; Teti, L.; Ascari, E.; Fredianelli, L. Durability and variability of the acoustical performance of rubberized road surfaces. Appl. Acoust. 2015, 94, 20–28. [Google Scholar] [CrossRef]
- Garay-Vega, L.; Hastings, A.; Pollard, J.K.; Zuschlag, M.; Stearns, M.D. Quieter Cars and the Safety of Blind Pedestrians: Phase I (DOT HS 811 304); National Highway Traffic Safety Administration: Washington, DC, USA, 2010. [Google Scholar]
- Lee, S.K. Objective evaluation of interior sound quality in passenger cars during acceleration. J. Sound Vib. 2008, 310, 149–168. [Google Scholar] [CrossRef]
- Shin, S.H.; Ih, J.G.; Hashimoto, T.; Hatano, S. Sound quality evaluation of the booming sensation for passenger cars. Appl. Acoust. 2009, 70, 309–320. [Google Scholar] [CrossRef]
- Malen, D.; Scott, R. Improving automobile door-closing sound for customer preference. Noise Control Eng. J. 1993, 41, 261–271. [Google Scholar] [CrossRef]
- Parizet, E.; Guyader, E.; Nosulenko, V. Analysis of car door closing sound quality. Appl. Acoust. 2008, 69, 12–22. [Google Scholar] [CrossRef]
- Lim, T.C. Correlations between deficiencies in power window systems influencing sound quality and some psychoacoustic metrics. Appl. Acoust. 2001, 62, 1025–1047. [Google Scholar] [CrossRef]
- Nykanen, A.; Sirkka, A. Specification of component sound quality applied to automobile power windows. Appl. Acoust. 2009, 70, 813–820. [Google Scholar] [CrossRef]
- Volandri, G.; Puccio, F.D.; Forte, P.; Mattei, L. Psychoacoustic analysis of power windows sounds: Correlation between subjective and objective evaluations. Appl. Acoust. 2018, 134, 160–170. [Google Scholar] [CrossRef]
- Gaspar, J.; Fontul, M.; Henriques, E.; Ribeiro, A.; Silva, A.; Valverde, N. Psychoacoustics of in-car switch buttons: From feelings to engineering parameters. Appl. Acoust. 2016, 110, 280–296. [Google Scholar] [CrossRef]
- Ma, Y.; Chin, C.S.; Woo, W.L.; Gao, B. An acoustic annoyance study of hard disk drive for laptop. IEEE Trans. Magn. 2016, 52, 1–9. [Google Scholar] [CrossRef]
- Leite, R.P.; Paul, S.; Gerges, S.N.Y. A sound quality-based investigation of the HVAC system noise of an automobile model. Appl. Acoust. 2009, 70, 635–645. [Google Scholar] [CrossRef]
- Yoon, J.H.; Yang, I.H.; Jeong, J.E.; Park, S.G.; Oh, J.E. Reliability improvement of a sound quality index for a vehicle HVAC system using a regression and neural network model. Appl. Acoust. 2012, 73, 1099–1103. [Google Scholar] [CrossRef]
- Soeta, Y.; Nakagawa, S.; Kamiya, Y.; Kamiya, M. Subjective preference for air-conditioner sounds inside a car in summer and winter. J. Ergon. 2016, 6, 1–7. [Google Scholar] [CrossRef]
- Frank, E.C.; Pickering, D.J.; Raglin, C. In-Vehicle Tire Sound Quality Prediction from Tire Noise Data. SAE Tech. Pap. 2007. [Google Scholar] [CrossRef]
- Otto, N.; Feng, B.J. Wind noise sound quality. SAE Tech. Pap. 1995. [Google Scholar] [CrossRef]
- Lee, H.H.; Lee, S.K. Objective evaluation of interior noise booming in a passenger car based on sound metrics and artificial neural networks. Appl. Ergon. 2009, 40, 860–869. [Google Scholar] [CrossRef] [PubMed]
- Wang, Y.S.; Shen, G.Q.; Xing, Y.F. A sound quality model for objective synthesis evaluation of vehicle interior noise based on artificial neural network. Mech. Syst. Signal Process 2014, 45, 255–266. [Google Scholar] [CrossRef]
- Xing, Y.F.; Wang, Y.S.; Shi, L.; Guo, H.; Chen, H. Sound quality recognition using optimal wavelet-packet transform and artificial neural network methods. Mech. Syst. Signal Process 2016, 66–67, 875–892. [Google Scholar] [CrossRef]
- Huang, H.B.; Li, R.X.; Yan, M.L.; Lim, T.C.; Ding, W.P. Evaluation of vehicle interior sound quality using a continuous restricted Boltzmann machine-based DBN. Mech. Syst. Signal Process 2017, 84, 245–267. [Google Scholar] [CrossRef]
- Wagner, V.; Kallus, K.W.; Foehl, U. Dimensions of vehicle sounds perception. Appl. Ergon. 2017, 64, 41–46. [Google Scholar] [CrossRef] [PubMed]
- Ma, K.W.; Wong, H.M.; Mak, C.M. A systematic review of human perceptual dimensions of sound: Meta-analysis of semantic differential method applications to indoor and outdoor sounds. Build Environ. 2018, 133, 123–150. [Google Scholar] [CrossRef]
- Granier, E.; Kleiner, M.; Dalenbäck, B.I.; Svensson, P. Experimental auralization of car audio installations. J. Audio Eng. Soc. 1996, 44, 835–849. [Google Scholar]
- Bozzoli, F.; Armelloni, E.; Ugolott, E.; Farina, E. Effects of the background noise on the perceived quality of car audio systems. In Proceedings of the 112th Convention of the Audio Engineering Society, München, Germany, 10–13 May 2002; Convention Paper 5540. Audio Engineering Society: New York, NY, USA, 2002. [Google Scholar]
- Christensen, F.; Martin, G.; Minnaar, P.; Song, W.K.; Pedersen, B.; Lydolf, M. A listening test system for automotive audio-Part 1: System description. In Proceedings of the 118th Convention of the Audio Engineering Society, Barcelona, Spain, 28–31 May 2005; Convention Paper 6358. Audio Engineering Society: New York, NY, USA, 2005. [Google Scholar]
- Farina, A.; Ugolotti, E. Subjective comparison between Stereo Dipole and 3D ambisonics surround systems for automotive applications. In Proceedings of the AES Conference: 16th International Conference on Spatial Sound Reproduction, Rovaniemi, Finland, 10–12 April 1999; Paper Number: 16-048. Audio Engineering Society: New York, NY, USA, 1999. [Google Scholar]
- Tervo, S.; Pätynen, J.; Kuusinen, A.; Lokki, T. Spatial decomposition method for room impulse responses. J. Audio Eng. Soc. 2013, 61, 16–29. [Google Scholar]
- Kaplanis, N.; Bech, S.; Tervo, S.; Pätynen, J.; Lokki, T.; Waterschoot, T.V.; Jensen, S.H. A rapid sensory analysis method for perceptual assessment of automotive audio. J. Audio Eng. Soc. 2017, 65, 130–146. [Google Scholar] [CrossRef]
- Hegarty, P.; Choisel, S.; Bech, S. A listening test system for automotive audio-Part 3: Comparison of attribute ratings made in a vehicle with those made using an auralization system. In Proceedings of the 123th Convention of the Audio Engineering Society, New York, NY, USA, 5–8 October 2007; Convention Paper 7224. Audio Engineering Society: New York, NY, USA, 2007. [Google Scholar]
- Martin, G.; Bech, S. Attribute identification and quantification in automotive audio—Part 1: Introduction to the descriptive analysis technique. In Proceedings of the 118th Convention of the Audio Engineering Society, Barcelona, Spain, 28–31 May 2005. [Google Scholar]
- Kaplanis, N.; Bech, S.; Tervo, S.; Pätynen, J.; Lokki, T.; Waterschoot, T.V.; Jensen, S.H. Perceptual aspects of reproduced sound in car cabin acoustics. J. Acoust. Soc. Am. 2017, 141, 1459–1469. [Google Scholar] [CrossRef] [PubMed]
- Jeon, J.Y.; Lee, P.J.; You, J.; Kang, J. Perceptual assessment of quality of urban soundscapes with combined noise sources and water sounds. J. Audio Eng. Soc. 2010, 127, 1357–1366. [Google Scholar] [CrossRef] [PubMed]
- Cassina, L.; Fredianell, L.; Menichini, I.; Chiari, C.; Licitra, G. Audio-visual preferences and tranquillity ratings in urban areas. Environments 2018, 5, 1. [Google Scholar] [CrossRef]
- Kleiner, M.; Lindgren, C. Objective characterization of audio sound fields in automotive spaces. In Proceedings of the 15th International Conference, Copenhagen, Denmark, 31 October–2 November 1998; Convention Paper 15-007. Audio Engineering Society: New York, NY, USA, 1998. [Google Scholar]
- Choi, C.; Kim, L.H.; Doo, S.; Oh, Y.; Sung, K.M. Assessment of sound field in a car. In Proceedings of the 113rd Convention of the Audio Engineering Society, Los Angeles, CA, USA, 5–8 October 2002; Convention Paper 5701. Audio Engineering Society: New York, NY, USA, 2002. [Google Scholar]
- Berkhout, A.J.; de Vries, D.; Boone, M.M. A new method to acquire response in concert halls. J. Acoust. Soc. Am. 1980, 68, 179–183. [Google Scholar] [CrossRef]
- Ando, Y. Calculation of subjective preference at each seat in a concert hall. J. Acoust. Soc. Am. 1983, 74, 873–887. [Google Scholar] [CrossRef]
- Ando, Y. Concert hall acoustics based on subjective preference theory. In Springer Handbook of Acoustics; Rossing, T.D., Ed.; Springer: New York, NY, USA, 2007; pp. 351–385. ISBN 978-1-4939-0754-0. [Google Scholar]
- Gade, A.C. Acoustics in halls for speech and music. In Springer Handbook of Acoustics; Rossing, T.D., Ed.; Springer: New York, NY, USA, 2007; pp. 301–350. ISBN 978-1-4939-0754-0. [Google Scholar]
- International Organization for Standardization. Acoustics—Measurement of the Reverberation Time—Part 1: Performance Spaces: ISO 3382-1; International Organization for Standardization: Geneva, Switzerland, 2003. [Google Scholar]
- Zwicker, E.; Fastl, H. Psychoacoustics: Facts and Models; Springer: Berlin, Germany, 1999. [Google Scholar]
- Beranek, L.B. Concert Halls and Opera Houses: Music, Acoustics, and Architecture, 2nd ed.; Springer: New York, NY, USA, 2004; ISBN 978-0-387-95524-7. [Google Scholar]
- Soeta, Y.; Ito, K.; Shimokura, R.; Sato, S.; Ohsawa, T.; Ando, Y. Effects of sound source location and direction on acoustical parameters in Japanese churches. J. Acoust. Soc. Am. 2012, 131, 1206–1220. [Google Scholar] [CrossRef] [PubMed]
- Soeta, Y.; Shimokura, R.; Kim, Y.H.; Ohsawa, T.; Ito, K. Measurement of acoustic characteristics of Japanese Buddhist temples in relation to sound source location and direction. J. Acoust. Soc. Am. 2013, 133, 2699–2710. [Google Scholar] [CrossRef] [PubMed]
- Schultz, T.J.; Watters, B.G. Propagation of sound across audience seating. J. Acoust. Soc. Am. 1964, 36, 885–896. [Google Scholar] [CrossRef]
- Bradley, J.S. Some further investigations of the seat dip effect. J. Acoust. Soc. Am. 1991, 90, 324–333. [Google Scholar] [CrossRef]
- Sessler, G.M.; West, J.E. Sound transmission over theatre seats. J. Acoust. Soc. Am. 1964, 36, 1725–1732. [Google Scholar] [CrossRef]
- Ueda, Y.; Ando, Y. Effects of air conditioning on sound propagation in a large space. J. Acoust. Soc. Am. 1997, 102, 2771–2775. [Google Scholar] [CrossRef]
- Niaounakis, T.I.; Davies, W.J. Perception of reverberation time in small listening rooms. J. Audio Eng. Soc. 2002, 50, 343–350. [Google Scholar]
- Ando, Y. Subjective preference as an overall impression of the sound field. In Architectural Acoustics: Blending Sound Sources, Sound Fields, and Listeners, 1st ed.; Ando, Y., Ed.; Springer: New York, NY, USA, 1998; pp. 26–47. ISBN 978-0-387-98333-2. [Google Scholar]
- Martellotta, F. Subjective study of preferred listening conditions in Italian Catholic churches. J. Sound Vib. 2008, 317, 378–399. [Google Scholar] [CrossRef]
- Shimokura, R.; Soeta, Y. Listening level of music through headphones in train car noise environments. J. Acoust. Soc. Am. 2012, 132, 1407–1416. [Google Scholar] [CrossRef] [PubMed]
- Shimokura, R.; Tronchin, L.; Cocchi, A.; Soeta, Y. Subjective diffuseness of music signals convolved with binaural impulse responses. J. Sound Vib. 2011, 330, 3526–3537. [Google Scholar] [CrossRef]







| Setting | Window Open, Air Conditioner Off | Air Conditioner Off | Air Conditioner Weak | Air Conditioner Strong |
|---|---|---|---|---|
| Car A | 59.2 | 37.2 | 46.3 | 60.6 |
| Car B | 52.6 | 40.5 | 49.2 | 60.3 |
| Seat Position | Driver | Passenger | Back Center | Left | Right |
|---|---|---|---|---|---|
| Car A | 5.3 | 5.7 | 6.0 | 6.6 | 5.3 |
| Car B | 7.8 | 6.5 | 8.4 | 7.8 |
| Setting | Window Open, Air Conditioner Off | Air Conditioner Off | Air Conditioner Weak | Air Conditioner Strong | Four or Five Passengers |
|---|---|---|---|---|---|
| Car A | 5.4 | 5.3 | 5.3 | 5.6 | 5.0 |
| Car B | 6.3 | 7.8 | 7.4 | 8.6 | 6.4 |
| Seat Position | Driver | Passenger | Back Center | Left | Right |
|---|---|---|---|---|---|
| Car A | 2.2 | 2.2 | 1.2 | 2.6 | 2.2 |
| Car B | 2.2 | 2.5 | 2.1 | 2.2 |
| Setting | Window Open, Air Conditioner Off | Air Conditioner Off | Air Conditioner Weak | Air Conditioner Strong | Four or Five Passengers |
|---|---|---|---|---|---|
| Car A | 3.5 | 2.2 | 2.2 | 1.9 | 2.2 |
| Car B | 3.5 | 2.2 | 2.2 | 2.0 | 2.2 |
© 2018 by the authors. Licensee MDPI, Basel, Switzerland. This article is an open access article distributed under the terms and conditions of the Creative Commons Attribution (CC BY) license (http://creativecommons.org/licenses/by/4.0/).
Share and Cite
Soeta, Y.; Sakamoto, Y. An Exploratory Analysis of Sound Field Characteristics using the Impulse Response in a Car Cabin. Environments 2018, 5, 44. https://doi.org/10.3390/environments5040044
Soeta Y, Sakamoto Y. An Exploratory Analysis of Sound Field Characteristics using the Impulse Response in a Car Cabin. Environments. 2018; 5(4):44. https://doi.org/10.3390/environments5040044
Chicago/Turabian StyleSoeta, Yoshiharu, and Yoshisada Sakamoto. 2018. "An Exploratory Analysis of Sound Field Characteristics using the Impulse Response in a Car Cabin" Environments 5, no. 4: 44. https://doi.org/10.3390/environments5040044
APA StyleSoeta, Y., & Sakamoto, Y. (2018). An Exploratory Analysis of Sound Field Characteristics using the Impulse Response in a Car Cabin. Environments, 5(4), 44. https://doi.org/10.3390/environments5040044
