How Familiarity, Musical Affinity, and ADHD Shape Adolescents’ Perception of Musical Emotions
Abstract
1. Introduction
1.1. Dimensional Approach to Musical Emotions
1.2. The Role of Tempo and Familiarity in Musical Emotion Perception
1.3. Musical Affinity Inter-Individual Variability
1.3.1. Musical Experience
1.3.2. Listening Diversity
1.3.3. Receptivity to Musical Emotions
1.4. ADHD and Perception of Musical Emotions
1.5. Present Study
2. Materials and Methods
2.1. Participants
2.2. Materials
2.2.1. Sociodemographic and Health Information
2.2.2. Stimuli
2.2.3. Arousal, Emotional Valence, and Familiarity Scales
2.2.4. Musical Affinity
- A.
- Musical Experience
- B.
- Music Listening Diversity
- C.
- Receptivity to Musical Emotions
- D.
- Total Musical Affinity Score
2.3. Procedure
2.4. Data Analysis
2.4.1. Musical Affinity Classification
2.4.2. Preliminary Analyses
2.4.3. Main Analyses
3. Results
3.1. Contrasting ADHD and Healthy Controls Across Musical Affinity Profiles
3.1.1. Sample Characteristics
3.1.2. Musical Affinity Profiles
3.2. Impact of Individual Differences on Arousal and Emotional Valence
3.2.1. Preliminary Associations Between Arousal, Emotional Valence, Familiarity, and Individual Differences
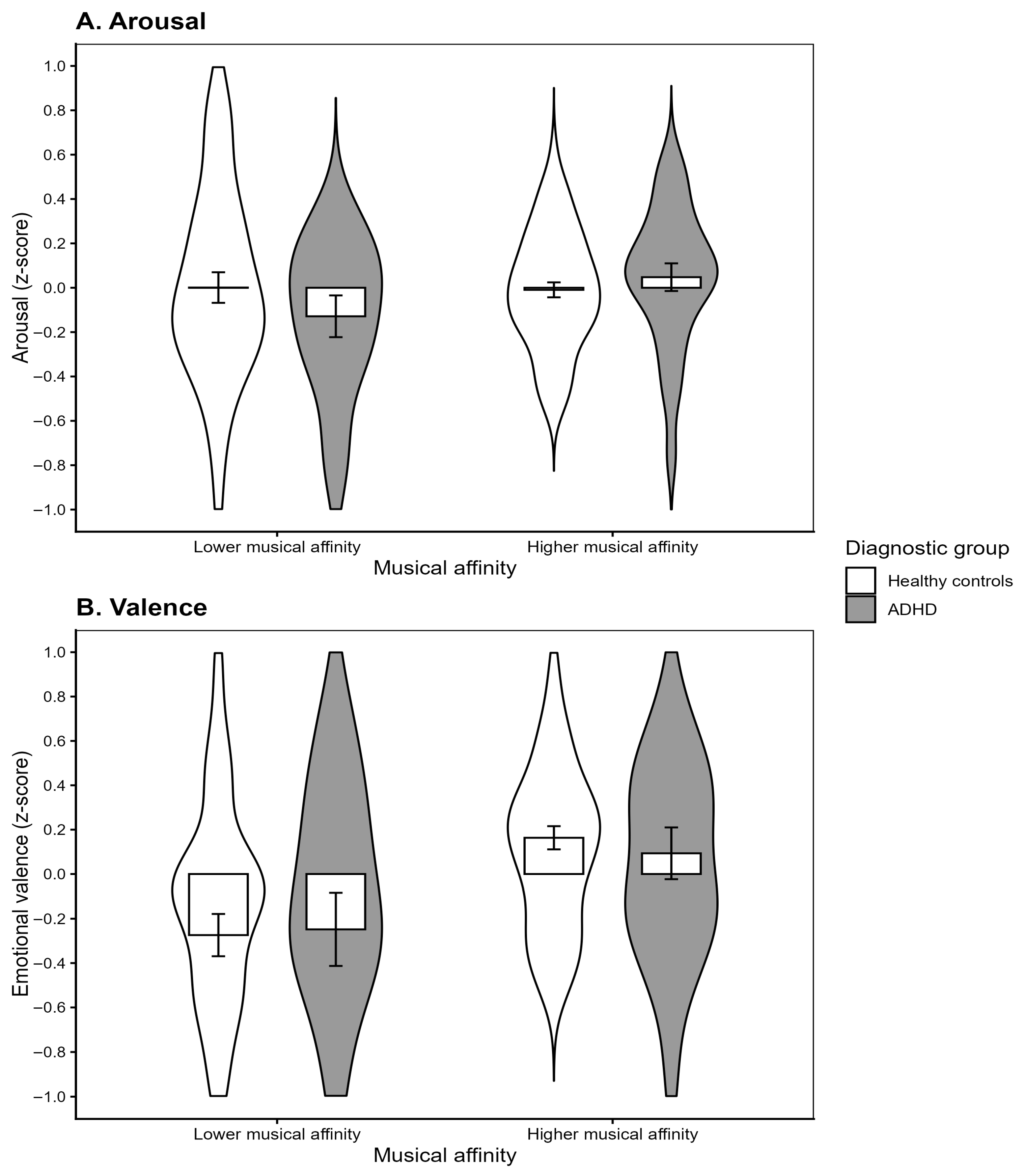
3.2.2. Arousal
3.2.3. Emotional Valence
4. Discussion
4.1. Familiarity at the Core of Musical Emotion
4.2. Rethinking Emotional Responses to Music in ADHD
4.3. Musical Affinity: A Gateway to Adolescents’ Music Experience
4.4. Harnessing Familiarity in Educational, Clinical, and Self-Care Contexts
4.5. Strengths, Limitations and Future Studies
5. Conclusions
Author Contributions
Funding
Institutional Review Board Statement
Informed Consent Statement
Data Availability Statement
Acknowledgments
Conflicts of Interest
Abbreviations
| ADHD | Attention-Deficit/Hyperactivity Disorder |
| HC | Healthy Controls |
| LMA | Lower Musical Affinity |
| HMA | Higher Musical Affinity |
Appendix A
| Title—Artist (Year) | Tempo | Musical Genre | Excerpt Timing |
|---|---|---|---|
| Sugarcane—Ana Olgica (2017) | 40 | Hip-hop/Rap | 00:19–00:31 |
| Arrival of the Birds—The Cinematic Orchestra & LMO (2008) | 44 | Film/Video game soundtracks | 00:38–00:52 |
| Her Eyes the Stars—LUCHS, P.B. Almkvisth (2016) | 47 | Classical | 00:19–00:31 |
| Time—Hans Zimmer (2010) | 60 | Film/Video game soundtracks | 00:05–00:16 |
| A Long Way Home—Jack Wall (2013) | 65 | Film/Video game soundtracks | 00:18–00:31 |
| Yes, I Am a Long Way from Home—Mogwai (1997) | 65 | Alternative | 01:09–01:23 |
| Deep Blue Day—Brian Eno (1983) | 70 | Electronica | 00:27–00:41 |
| Eternal Youth—RUDE (2016) | 70 | Hip-hop/Rap | 00:26–00:38 |
| River Flows in You—Yiruma (2001) | 70 | Classical | 00:33–00:47 |
| Front Yard—Trixie Muff (2020) | 75 | Indie | 00:06–00:20 |
| Quilted Hills—Ocha & Laffey (2019) | 75 | Hip-hop/Rap | 00:13–00:26 |
| Ocean—Gradient Islant (2020) | 75 | Hip-hop/Rap | 00:11–00:25 |
| Underground Vibes—DJ Cam (1995) | 75 | Hip-hop/Rap | 00:14–00:28 |
| Daffodils—Guustavv (2018) | 76 | Hip-hop/Rap | 00:11–00:25 |
| Gendèr—Makoto San (2020) | 77 | Other cultural traditions | 00:12–00:25 |
| Nostrand Ave—Tom Doolie (2020) | 80 | Hip-hop/Rap | 00:10–00:24 |
| Spirals—Slowheal (2018) | 80 | Hip-hop/Rap | 00:23–00:37 |
| Saturday Afternoon—Sweet Oscar (2020) | 80 | Hip-hop/Rap | 00:12–00:25 |
| You—Petit Biscuit (2015) | 80 | EDM | 00:11–00:25 |
| Tuesday, July 14—Dogman Chill (2020) | 82 | Hip-hop/Rap | 00:11–00:25 |
| Go to Shanghai—Atrisma (2020) | 83 | Jazz/Blues | 00:08–00:22 |
| Lie Down—Kino B (2020) | 85 | Hip-hop/Rap | 00:22–00:35 |
| Norr—Polaroit (2020) | 85 | Indie | 01:09–01:22 |
| Mixed Feelings—DONTCRY, Glimlip (2019) | 86 | Hip-hop/Rap | 00:12–00:26 |
| Cumbia del Olvido—Nicola Cruz (2015) | 86 | Latin | 00:55–01:04 |
| Phew—Jules Hiero, Antônio Neves, Ed Santana (2020) | 87 | Jazz/Blues | 00:33–00:47 |
| Awake—Tycho (2014) | 88 | Electronica | 00:19–00:33 |
| Bewildered—Hanz (2019) | 90 | Electronica | 00:42–00:55 |
| Smokes—Monkey Larsson (2020) | 90 | Hip-hop/Rap | 00:10–00:24 |
| Plus tôt—Alexandra Stréliski (2018) | 90 | Classical | 00:49–00:53 |
| Golden Crates—Dusty Deck (2020) | 90 | Hip-hop/Rap | 00:03–00:17 |
| Noctuary—Bonobo (2003) | 92 | Electronica | 00:39–00:50 |
| Poetic Wax—Dusty Deck (2020) | 97 | Hip-hop/Rap | 00:09–00:23 |
| Intro—The xx (2009) | 100 | Indie | 00:39–00:53 |
| Invincible—DEAF KEV (2015) | 100 | EDM | 00:10–00:24 |
| Hello—OMG (2014) | 107 | K-pop | 00:00–00:14 |
| Multi—Lstn (2019) | 117 | Electronica | 00:08–00:22 |
| Sumatra—Nora Van Elken (2019) | 118 | EDM | 00:18–00:32 |
| Rest in Peace—Super Duper (2018) | 120 | EDM | 00:12–00:26 |
| Ventura—City of the Sun (2018) | 120 | Alternative | 00:24–00:37 |
| Ether—Mogwai (2016) | 120 | Alternative | 01:10–01:24 |
| The Morning After—Anthony Favier (2019) | 122 | Jazz/Blues | 00:31–00:45 |
| Say Goodbye—Lucas De Mulder & The New Mastersounds (2020) | 128 | Disco/Funk | 00:01–00:15 |
| Bot—Deadmau5 (2009) | 130 | EDM | 00:00–00:14 |
| Candyland—Tobu (2015) | 130 | EDM | 00:54–01:08 |
| Firefly—Jim Yosef (2015) | 130 | EDM | 00:31–00:45 |
| Nekozilla—Different Heaven (2016) | 130 | EDM | 00:13–00:27 |
| Nova—Ahrix (2013) | 130 | EDM | 00:40–00:54 |
| The Last Day—City of the Sun (2020) | 130 | Alternative | 00:59–01:13 |
| Slumber Party—Sonny Side Up (2017) | 132 | Hip-hop/Rap | 00:14–00:28 |
| Silly Boy—Jack Wall (2011) | 135 | Film/Video game soundtracks | 00:28–00:42 |
| Everything—City of the Sun (2016) | 136 | Alternative | 00:52–01:04 |
| I’ll Tell You Someday—Plini (2020) | 140 | Metal | 02:08–02:24 |
| In the House of Tom Bombadil—Nickel Creek (2000) | 150 | Folk | 00:00–00:14 |
| Assassin—The Fearless Flyers (2020) | 150 | Disco/Funk | 00:08–00:22 |
Appendix B
Appendix B.1. Musical Experience Subscale
| Item | Years of Formal Training | Years of Informal Training | Number of Instruments (Formal) | Number of Instruments (Informal) | Item-Total r (Corrected) |
|---|---|---|---|---|---|
| Years of formal training | — | 0.620 | |||
| Years of informal training | 0.349 | — | 0.607 | ||
| Number of instruments (formal) | 0.870 | 0.299 | — | 0.605 | |
| Number of instruments (informal) | 0.291 | 0.925 | 0.298 | — | 0.639 |
Appendix B.2. Music Listening Diversity Subscale
| Item | Inter-Item r (min) | Inter-Item r (max) | Item–Total r (Corrected) |
|---|---|---|---|
| Classical | −0.065 | 0.272 | 0.197 |
| Punk | −0.170 | 0.346 | 0.416 |
| Electronica | −0.051 | 0.585 | 0.324 |
| EDM (Electronic Dance Music) | 0.038 | 0.585 | 0.413 |
| Pop | −0.060 | 0.248 | 0.321 |
| Rock | −0.056 | 0.538 | 0.443 |
| Indie | −0.163 | 0.447 | 0.389 |
| Metal | −0.211 | 0.538 | 0.358 |
| Jazz/Blues | −0.071 | 0.473 | 0.322 |
| Alternative | −0.146 | 0.447 | 0.474 |
| Hip hop/Rap | −0.211 | 0.206 | 0.018 |
| R&B | −0.042 | 0.282 | 0.395 |
| Country/Western | −0.060 | 0.473 | 0.344 |
| Disco/Funk | −0.013 | 0.436 | 0.483 |
| K-pop | −0.060 | 0.358 | 0.422 |
| Latin | −0.021 | 0.403 | 0.421 |
| Folk | −0.063 | 0.413 | 0.455 |
| Film/Video game soundtracks | −0.100 | 0.314 | 0.329 |
| Spiritual/Religious | −0.034 | 0.339 | 0.246 |
| Traditional Québec | −0.034 | 0.436 | 0.323 |
| Other cultural traditions | 0.029 | 0.403 | 0.397 |
Appendix B.3. Receptivity to Musical Emotions
| Item | Inter-Item r (Min) | Inter-Item r (Max) | Item–Total r (Corrected) |
|---|---|---|---|
| Music puts me in a good mood | 0.170 | 0.669 | 0.609 |
| Music comforts me | 0.293 | 0.704 | 0.703 |
| Music reduces my anger | 0.107 | 0.507 | 0.560 |
| Music makes me feel less lonely | 0.287 | 0.540 | 0.629 |
| Music gives me pleasure | 0.228 | 0.601 | 0.662 |
| Music entertains me | 0.130 | 0.518 | 0.572 |
| Music consoles me | 0.303 | 0.704 | 0.648 |
| Music makes me nostalgic 1 | 0.107 | 0.333 | 0.297 |
| Music makes me feel joyful | 0.145 | 0.669 | 0.573 |
| Music relieves my boredom | 0.112 | 0.457 | 0.465 |
Appendix B.4. Musical Affinity Total Score
| Scale | Musical Experience | Listening Diversity | Emotional Receptivity |
|---|---|---|---|
| Musical Experience | — | ||
| Listening Diversity | 0.200 * | — | |
| Emotional Receptivity | 0.173 * | 0.447 ** | — |
| Musical Affinity Total | 0.635 ** | 0.827 ** | 0.673 ** |
References
- Akkermans, J., Schapiro, R., Mullensiefen, D., Jakubowski, K., Shanahan, D., Baker, D., Busch, V., Lothwesen, K., Elvers, P., Fischinger, T., Schlemmer, K., & Frieler, K. (2019). Decoding emotions in expressive music performances: A multi-lab replication and extension study. Cognition and Emotion, 33(6), 1099–1118. [Google Scholar] [CrossRef] [PubMed]
- American Psychiatric Association. (2022). Diagnostic and statistical manual of mental disorders (5th ed., text rev.). American Psychiatric Association. [Google Scholar] [CrossRef]
- Ayano, G., Demelash, S., Gizachew, Y., Tsegay, L., & Alati, R. (2023). The global prevalence of attention deficit hyperactivity disorder in children and adolescents: An umbrella review of meta-analyses. Journal of Affective Disorders, 339, 860–866. [Google Scholar] [CrossRef]
- Bailey, J. A., & Penhune, V. (2013). The relationship between the age of onset of musical training and rhythm synchronization performance: Validation of sensitive period effects [Original Research]. Frontiers in Neuroscience, 7, 227. [Google Scholar] [CrossRef]
- Baltazar, M., & Saarikallio, S. (2017). Strategies and mechanisms in musical affect self-regulation: A new model. Musicae Scientiae, 23(2), 177–195. [Google Scholar] [CrossRef]
- Barkley, R. A. (2010). Why emotional impulsiveness should be a central feature of ADHD. The ADHD Report, 18(4), 1–5. [Google Scholar] [CrossRef]
- Baweja, R., Soutullo, C. A., & Waxmonsky, J. G. (2021). Review of barriers and interventions to promote treatment engagement for pediatric attention deficit hyperactivity disorder care. World Journal of Psychiatry, 11(12), 1206–1227. [Google Scholar] [CrossRef]
- Berlyne, D. E. (1971). Aesthetics and psychobiology. Appleton-Century-Crofts. [Google Scholar]
- Biasutti, M., & Habe, K. (2023). Teachers’ perspectives on dance improvisation and flow. Research in Dance Education, 24(3), 242–261. [Google Scholar] [CrossRef]
- Biederman, J., Faraone, S. V., Keenan, K., Benjamin, J., Krifcher, B., Moore, C., Sprich-Buckminster, S., Ugaglia, K., Jellinek, M. S., & Steingard, R. (1992). Further evidence for family-genetic risk factors in attention deficit hyperactivity disorder: Patterns of comorbidity in probands and relatives in psychiatrically and pediatrically referred samples. Archives of General Psychiatry, 49(9), 728–738. [Google Scholar] [CrossRef]
- Biederman, J., Faraone, S. V., Spencer, T. J., Mick, E., Monuteaux, M. C., & Aleardi, M. (2006). Functional impairments in adults with self-reports of diagnosed ADHD: A controlled study of 1001 adults in the community. Journal of Clinical Psychiatry, 67(4), 524–540. [Google Scholar] [CrossRef] [PubMed]
- Bonneville-Roussy, A., Rentfrow, P. J., Xu, M. K., & Potter, J. (2013). Music through the ages: Trends in musical engagement and preferences from adolescence through middle adulthood. Journal of Personality and Social Psychology, 105(4), 703–717. [Google Scholar] [CrossRef] [PubMed]
- Bramley, S., Dibben, N., & Rowe, R. (2016). Investigating the influence of music tempo on arousal and behaviour in laboratory virtual roulette. Psychology of Music, 44(6), 1389–1403. [Google Scholar] [CrossRef]
- Brattico, E., Brusa, A., Dietz, M., Jacobsen, T., Fernandes, H., Gaggero, G., Toiviainen, P., Vuust, P., & Proverbio, A. (2025). Beauty and the brain–Investigating the neural and musical attributes of beauty during naturalistic music listening. Neuroscience, 567, 308–325. [Google Scholar] [CrossRef] [PubMed]
- Brattico, E., & Pearce, M. (2013). The neuroaesthetics of music. Psychology of Aesthetics, Creativity, and the Arts, 7(1), 48–61. [Google Scholar] [CrossRef]
- Bunford, N., Evans, S. W., & Wymbs, F. (2015). ADHD and emotion dysregulation among children and adolescents. Clinical Child and Family Psychology Review, 18(3), 185–217. [Google Scholar] [CrossRef] [PubMed]
- Carrer, L. R. (2015). Music and sound in time processing of children with ADHD. Frontiers in Psychiatry, 6, 127. [Google Scholar] [CrossRef]
- Castro, S. L., & Lima, C. F. (2014). Age and musical expertise influence emotion recognition in music. Music Perception, 32(2), 125–142. [Google Scholar] [CrossRef]
- Cespedes-Guevara, J., & Eerola, T. (2018). Music communicates affects, not basic emotions—A constructionist account of attribution of emotional meanings to music. Frontier Psychology, 9, 215. [Google Scholar] [CrossRef]
- Chong, H. J., Kim, H. J., & Kim, B. (2024). Scoping review on the use of music for emotion regulation. Behavioral Sciences, 14(9), 793. [Google Scholar] [CrossRef]
- Christiansen, H., Hirsch, O., Albrecht, B., & Chavanon, M. L. (2019). Attention-deficit/hyperactivity disorder (ADHD) and emotion regulation over the life span. Current Psychiatry Reports, 21(3), 17. [Google Scholar] [CrossRef]
- Dalla Bella, S., Farrugia, N., Benoit, C.-E., Begel, V., Verga, L., Harding, E., & Kotz, S. A. (2017). BAASTA: Battery for the assessment of auditory sensorimotor and timing abilities. Behavior Research Methods, 49(3), 1128–1145. [Google Scholar] [CrossRef]
- Dalla Bella, S., Foster, N. E., Laflamme, H., Zagala, A., Melissa, K., Komeilipoor, N., Blais, M., Rigoulot, S., & Kotz, S. A. (2024). Mobile version of the battery for the assessment of auditory sensorimotor and timing abilities (BAASTA): Implementation and adult norms. Behavior Research Methods, 56(4), 3737–3756. [Google Scholar] [CrossRef]
- Demorest, S. M., Morrison, S. J., Jungbluth, D., & Beken, M. N. (2008). Lost in translation: An enculturation effect in music memory performance. Music Perception, 25(3), 213–223. [Google Scholar] [CrossRef]
- de Oliveira Goes, A., Nardi, A. E., & Quagliato, L. A. (2025). Outcomes of music therapy on children and adolescents with attention-deficit/hyperactivity disorder: A systematic review and meta-analysis. Trends in Psychiatry and Psychotherapy. ahead of print. [Google Scholar] [CrossRef]
- Dillman Carpentier, F. R., & Potter, R. F. (2007). Effects of music on physiological arousal: Explorations into tempo and genre. Media Psychology, 10(3), 339–363. [Google Scholar] [CrossRef]
- Eerola, T., Ferrer, R., & Alluri, V. (2012). Timbre and affect dimensions: Evidence from affect and similarity ratings and acoustic correlates of isolated instrument sounds. Music Perception: An Interdisciplinary Journal, 30(1), 49–70. [Google Scholar] [CrossRef]
- Eerola, T., & Vuoskoski, J. K. (2011). A comparison of the discrete and dimensional models of emotion in music. Psychology of Music, 39(1), 18–49. [Google Scholar] [CrossRef]
- Eerola, T., & Vuoskoski, J. K. (2013). A review of music and emotion studies: Approaches, emotion models, and stimuli. Music Perception, 30(3), 307–340. [Google Scholar] [CrossRef]
- Ekman, P. (1992). An argument for basic emotions. Cognition & Emotion, 6(3–4), 169–200. [Google Scholar] [CrossRef]
- Fasano, M. C., Cabral, J., Stevner, A., Vuust, P., Cantou, P., Brattico, E., & Kringelbach, M. L. (2023). The early adolescent brain on music: Analysis of functional dynamics reveals engagement of orbitofrontal cortex reward system. Human Brain Mapping, 44(2), 429–446. [Google Scholar] [CrossRef]
- Fernández-Sotos, A., Fernández-Caballero, A., & Latorre, J. M. (2016). Influence of tempo and rhythmic unit in musical emotion regulation. Frontiers in Computational Neuroscience, 10, 80. [Google Scholar] [CrossRef]
- Ferreri, L., Mas-Herrero, E., Zatorre, R. J., Ripollés, P., Gomez-Andres, A., Alicart, H., Olivé, G., Marco-Pallarés, J., Antonijoan, R. M., & Valle, M. (2019). Dopamine modulates the reward experiences elicited by music. Proceedings of the National Academy of Sciences of the United States of America, 116(9), 3793–3798. [Google Scholar] [CrossRef]
- Frankel, J. (2006). Reaper (Version v6.78/win64) [Computer software]. Cockos Inc. Available online: https://www.reaper.fm/ (accessed on 15 October 2025).
- Freitas, C., Manzato, E., Burini, A., Taylor, M. J., Lerch, J. P., & Anagnostou, E. (2018). Neural correlates of familiarity in music listening: A systematic review and a neuroimaging meta-analysis. Frontiers in Neuroscience, 12, 686. [Google Scholar] [CrossRef]
- Fuentes-Sánchez, N., Pastor, R., Eerola, T., Escrig, M. A., & Pastor, M. C. (2022). Musical preference but not familiarity influences subjective ratings and psychophysiological correlates of music-induced emotions. Personality and Individual Differences, 198, 111828. [Google Scholar] [CrossRef]
- Gabrielsson, A., & Lindström, E. (2010). The role of structure in the musical expression of emotions. In P. N. Juslin, & J. A. Sloboda (Eds.), Handbook of music and emotion: Theory, research, applications (pp. 367–400). Oxford University Press. [Google Scholar]
- Galván, A. (2010). Adolescent development of the reward system. Frontiers in Human Neuroscience, 4, 1018. [Google Scholar] [CrossRef] [PubMed]
- Garrido, S., & Schubert, E. (2011). Individual differences in the enjoyment of negative emotion in music: A literature review and experiment. Music Perception, 28(3), 279–296. [Google Scholar] [CrossRef]
- Ghanizadeh, A. (2011). Sensory processing problems in children with ADHD, a systematic review. Psychiatry Investigation, 8(2), 89–94. [Google Scholar] [CrossRef] [PubMed]
- Graziano, P. A., & Garcia, A. (2016). Attention-deficit hyperactivity disorder and children’s emotion dysregulation: A meta-analysis. Clinical Psychology Review, 46, 106–123. [Google Scholar] [CrossRef]
- Grewe, O., Nagel, F., Kopiez, R., & Altenmüller, E. (2007). Listening to music as a re-creative process: Physiological, psychological, and psychoacoustical correlates of chills and strong emotions. Music Perception, 24(3), 297–314. [Google Scholar] [CrossRef]
- Groarke, J. M., & Hogan, M. J. (2019). Listening to self-chosen music regulates induced negative affect for both younger and older adults. PLoS ONE, 14(6), e0218017. [Google Scholar] [CrossRef]
- Groß, C., Serrallach, B. L., Mohler, E., Pousson, J. E., Schneider, P., Christiner, M., & Bernhofs, V. (2022). Musical performance in adolescents with ADHD, ADD and dyslexia-behavioral and neurophysiological aspects. Brain Sciences, 12(2), 127. [Google Scholar] [CrossRef]
- Hartung, C. M., Lefler, E. K., Abu-Ramadan, T. M., Stevens, A. E., Serrano, J. W., Miller, E. A., & Shelton, C. R. (2025). A Call to Analyze Sex, Gender, and Sexual Orientation in Psychopathology Research: An Illustration with ADHD and Internalizing Symptoms in Emerging Adults. Journal of Psychopathology and Behavioral Assessment, 47(1), 18. [Google Scholar] [CrossRef]
- Hirsch, O., Chavanon, M., Riechmann, E., & Christiansen, H. (2018). Emotional dysregulation is a primary symptom in adult Attention-Deficit/Hyperactivity Disorder (ADHD). Journal of Affective Disorders, 232, 41–47. [Google Scholar] [CrossRef] [PubMed]
- Hofbauer, L. M., & Rodriguez, F. S. (2023). Emotional valence perception in music and subjective arousal: Experimental validation of stimuli. International Journal of Psychology, 58(5), 465–475. [Google Scholar] [CrossRef]
- Hove, M. J., Gravel, N., Spencer, R. M. C., & Valera, E. M. (2017). Finger tapping and pre-attentive sensorimotor timing in adults with ADHD. Experimental Brain Research, 235(12), 3663–3672. [Google Scholar] [CrossRef]
- Husain, G., Thompson, W. F., & Schellenberg, E. G. (2002). Effects of musical tempo and mode on arousal, mood, and spatial abilities. Music Perception, 20(2), 151–171. [Google Scholar] [CrossRef]
- Ipçi, M., Inci IzmIr, S. B., Türkçapar, M. H., Özdel, K., Ardiç, U. A., & Ercan, E. S. (2020). Psychiatric comorbidity in the subtypes of ADHD in children and adolescents with ADHD according to DSM-IV. Noropsikiyatri Arsivi, 57(4), 283–289. [Google Scholar] [CrossRef]
- Jakubowski, K., & Eerola, T. (2022). Music evokes fewer but more positive autobiographical memories than emotionally matched sound and word cues. Journal of Applied Research in Memory and Cognition, 11(2), 272–288. [Google Scholar] [CrossRef]
- Juslin, P. N., & Laukka, P. (2004). Expression, perception, and induction of musical emotions: A review and a questionnaire study of everyday listening. Journal of New Music Research, 33(3), 217–238. [Google Scholar] [CrossRef]
- Juslin, P. N., & Västfjäll, D. (2008). Emotional responses to music: The need to consider underlying mechanisms. Behavioral and Brain Sciences, 31(5), 559–575. [Google Scholar] [CrossRef]
- Kahn, J. H., Enevold, K. C., Feltner-Williams, D., & Ladd, K. (2025). Using music to feel better: Are different emotion-regulation strategies truly distinct? Psychology of Music, 53(4), 535–547. [Google Scholar] [CrossRef]
- Koelsch, S. (2012). Brain and music. Wiley-Blackwell. Available online: https://www.wiley.com/en-us/Brain%2Band%2BMusic-p-x000525866 (accessed on 15 October 2025).
- Korsmit, I. R., Montrey, M., Wong-Min, A. Y. T., & McAdams, S. (2023). A comparison of dimensional and discrete models for the representation of perceived and induced affect in response to short musical sounds. Frontiers in Psychology, 14, 1287334. [Google Scholar] [CrossRef] [PubMed]
- Krause, A. E., North, A. C., & Hewitt, L. Y. (2015). Music-listening in everyday life: Devices and choice. Psychology of Music, 43(2), 155–170. [Google Scholar] [CrossRef]
- Kreutz, G., Ott, U., Teichmann, D., Osawa, P., & Vaitl, D. (2008). Using music to induce emotions: Influences of musical preference and absorption. Psychology of Music, 36(1), 101–126. [Google Scholar] [CrossRef]
- Lachance, K.-A., Pelland-Goulet, P., & Gosselin, N. (2025). Listening habits and subjective effects of background music in young adults with and without ADHD. Frontiers in Psychology, 15, 1508181. [Google Scholar] [CrossRef]
- Lahdelma, I., & Eerola, T. (2020). Cultural familiarity and musical expertise impact the pleasantness of consonance/dissonance but not its perceived tension. Scientific Reports, 10(1), 8693. [Google Scholar] [CrossRef]
- Lamont, A., & Hargreaves, D. (2019). Musical preference and social identity in adolescence. In K. V. MacDonald, D. J. Hargreaves, & D. Miell (Eds.), Handbook of music, adolescents, and wellbeing (pp. 109–118). Oxford University Press. [Google Scholar] [CrossRef]
- Lapointe, M.-C. (2010). L’écoute et la consommation de la musique. In Enquête sur les pratiques culturelles au Québec (pp. 41–66). Gouvernement du Québec, Ministère de la Culture, des Communications et de la Condition féminine. [Google Scholar]
- Larrouy-Maestri, P., Morsomme, D., Magis, D., & Poeppel, D. (2017). Lay listeners can evaluate the pitch accuracy of operatic voices. Music Perception: An Interdisciplinary Journal, 34(4), 489–495. [Google Scholar] [CrossRef]
- LimeSurvey GmbH. (n.d.). LimeSurvey: An open-source survey tool. LimeSurvey GmbH. Available online: https://www.limesurvey.org (accessed on 15 October 2025).
- Liu, Y., Liu, G., Wei, D., Li, Q., Yuan, G., Wu, S., Wang, G., & Zhao, X. (2018). Effects of musical tempo on musicians’ and non-musicians’ emotional experience when listening to music. Frontiers in Psychology, 9, 2118. [Google Scholar] [CrossRef]
- Lorenzo-Quiles, O., Soares-Quadros, J. F., Jr., & Abril, J. E. (2020). Musical preferences of Brazilian high school students. PLoS ONE, 15(9), e0239891. [Google Scholar] [CrossRef]
- MacGregor, C., & Müllensiefen, D. (2019). The musical emotion discrimination task: A new measure for assessing the ability to discriminate emotions in music. Frontiers in Psychology, 10, 1955. [Google Scholar] [CrossRef] [PubMed]
- Macnamara, B. N., Hambrick, D. Z., & Oswald, F. L. (2014). Deliberate practice and performance in music, games, sports, education, and professions: A meta-analysis. Psychological Science, 25(8), 1608–1618. [Google Scholar] [CrossRef]
- Madjar, N., Gazoli, R., Manor, I., & Shoval, G. (2020). Contrasting effects of music on reading comprehension in preadolescents with and without ADHD. Psychiatry Research, 291, 113207. [Google Scholar] [CrossRef]
- Magnan, S. (2016). Les pratiques culturelles au Québec en 2014: Recueil statistique. Gouvernement du Québec, Ministère de la Culture et des Communications. [Google Scholar]
- Martin-Moratinos, M., Bella-Fernandez, M., & Blasco-Fontecilla, H. (2023). Effects of music on attention-deficit/hyperactivity disorder (ADHD) and potential application in serious video games: Systematic review. Journal of Medical Internet Research, 25, e37742. [Google Scholar] [CrossRef]
- Martins, M., Pinheiro, A. P., & Lima, C. F. (2021). Does music training improve emotion recognition abilities? A critical review. Emotion Review, 13(3), 199–210. [Google Scholar] [CrossRef]
- Martínez-Vérez, V., Gil-Ruíz, P., & Domínguez-Lloria, S. (2024). Interventions through art therapy and music therapy in autism spectrum disorder, ADHD, language disorders, and learning disabilities in pediatric-aged children: A systematic review. Children, 11(6), 706. [Google Scholar] [CrossRef]
- McAuley, J. D. (2010). Tempo and rhythm. In M. R. Jones, R. Fay, & A. Popper (Eds.), Music perception (vol. 36, pp. 165–199). Springer Handbook of Auditory Research. [Google Scholar] [CrossRef]
- Mckenna, K., Wanni Arachchige Dona, S., Gold, L., Dew, A., & Le, H. N. (2024). Barriers and enablers of service access and utilization for children and adolescents with attention deficit hyperactivity disorder: A systematic review. Journal of Attention Disorders, 28(3), 259–278. [Google Scholar] [CrossRef] [PubMed]
- Miranda, D., Blais-Rochette, C., Vaugon, K., Osman, M., & Arias-Valenzuela, M. (2013). Towards a cultural-developmental psychology of music in adolescence. Psychology of Music, 43(2), 197–218. [Google Scholar] [CrossRef]
- Miranda, D., & Claes, M. (2009). Music listening, coping, peer affiliation and depression in adolescence. Psychology of Music, 37(2), 215–233. [Google Scholar] [CrossRef]
- Miranda, D., & Gaudreau, P. (2011). Music listening and emotional well-being in adolescence: A person-and variable-oriented study. European Review of Applied Psychology, 61(1), 1–11. [Google Scholar] [CrossRef]
- Morrison, S. J., & Demorest, S. M. (2009). Cultural constraints on music perception and cognition. Progress in Brain Research, 178, 67–77. [Google Scholar] [CrossRef]
- Mosing, M. A., Madison, G., Pedersen, N. L., Kuja-Halkola, R., & Ullén, F. (2014). Practice does not make perfect: No causal effect of music practice on music ability. Psychological Science, 25(9), 1795–1803. [Google Scholar] [CrossRef]
- Mote, J. (2011). The effects of tempo and familiarity on children’s affective interpretation of music. Emotion, 11(3), 618–622. [Google Scholar] [CrossRef]
- Musser, E. D., & Nigg, J. T. (2019). Emotion dysregulation across emotion systems in attention deficit/hyperactivity disorder. Journal of Clinical Child & Adolescent Psychology, 48(1), 153–165. [Google Scholar] [CrossRef]
- Müllensiefen, D., Gingras, B., Musil, J., & Stewart, L. (2014). The musicality of non-musicians: An index for assessing musical sophistication in the general population. PLoS ONE, 9(2), e89642. [Google Scholar] [CrossRef]
- Park, J.-I., Lee, I.-H., Lee, S.-J., Kwon, R.-W., Choo, E.-A., Nam, H.-W., & Lee, J.-B. (2023). Effects of music therapy as an alternative treatment on depression in children and adolescents with ADHD by activating serotonin and improving stress coping ability. BMC Complementary Medicine and Therapies, 23(1), 73. [Google Scholar] [CrossRef]
- Pearce, M. T., & Wiggins, G. A. (2012). Auditory expectation: The information dynamics of music perception and cognition. Topics in Cognitive Science, 4(4), 625–652. [Google Scholar] [CrossRef] [PubMed]
- Penhune, V. B. (2011). Sensitive periods in human development: Evidence from musical training. Cortex, 47(9), 1126–1137. [Google Scholar] [CrossRef] [PubMed]
- Pereira, C. S., Teixeira, J., Figueiredo, P., Xavier, J., Castro, S. L., & Brattico, E. (2011). Music and emotions in the brain: Familiarity matters. PLoS ONE, 6(11), e27241. [Google Scholar] [CrossRef] [PubMed]
- Peretz, I., Gagnon, L., & Bouchard, B. (1998a). Music and emotion: Perceptual determinants, immediacy, and isolation after brain damage. Cognition, 68(2), 111–141. [Google Scholar] [CrossRef]
- Peretz, I., Gaudreau, D., & Bonnel, A.-M. (1998b). Exposure effects on music preference and recognition. Memory & Cognition, 26(5), 884–902. [Google Scholar] [CrossRef]
- Porcaro, L., Gómez, E., & Castillo, C. (2024). Assessing the impact of music recommendation diversity on listeners: A longitudinal study. ACM Transactions on Recommender Systems, 2(1), 1–47. [Google Scholar] [CrossRef]
- Puyjarinet, F., Begel, V., Lopez, R., Dellacherie, D., & Dalla Bella, S. (2017). Children and adults with attention-deficit/hyperactivity disorder cannot move to the beat. Scientific Reports, 7(1), 11550. [Google Scholar] [CrossRef]
- Ramos, D., Bueno, J. L. O., & Bigand, E. (2011). Manipulating Greek musical modes and tempo affects perceived musical emotion in musicians and nonmusicians. Brazilian Journal of Medical and Biological Research, 44, 165–172. [Google Scholar] [CrossRef]
- Rentfrow, P. J., Goldberg, L. R., & Levitin, D. J. (2011). The structure of musical preferences: A five-factor model. Journal of Personality and Social Psychology, 100(6), 1139–1157. [Google Scholar] [CrossRef]
- Rickson, D. J. (2006). Instructional and improvisational models of music therapy with adolescents who have attention deficit hyperactivity disorder (ADHD): A comparison of the effects on motor impulsivity. Journal of Music Therapy, 43(1), 39–62. [Google Scholar] [CrossRef] [PubMed]
- Rickson, D. J., & Watkins, W. G. (2003). Music therapy to promote prosocial behaviors in aggressive adolescent boys—A pilot study. Journal of Music Therapy, 40(4), 283–301. [Google Scholar] [CrossRef] [PubMed]
- Romano, M., Archambault, K., Garel, P., & Gosselin, N. (2024). Music interventions with children, adolescents and emerging adults in mental health settings: A scoping review. Arts & Health, 16(1), 89–109. [Google Scholar] [CrossRef]
- Saarikallio, S., & Erkkilä, J. (2007). The role of music in adolescents’ mood regulation. Psychology of Music, 35(1), 88–109. [Google Scholar] [CrossRef]
- Saarikallio, S., Vuoskoski, J., & Luck, G. (2014). Adolescents’ expression and perception of emotion in music reflects their broader abilities of emotional communication. Psychology of Well-Being, 4(1), 21. [Google Scholar] [CrossRef]
- Sachs, M. E., Damasio, A., & Habibi, A. (2015). The pleasures of sad music: A systematic review. Frontiers in Human Neuroscience, 9, 404. [Google Scholar] [CrossRef]
- Salimpoor, V. N., Benovoy, M., Larcher, K., Dagher, A., & Zatorre, R. J. (2011). Anatomically distinct dopamine release during anticipation and experience of peak emotion to music. Nature Neuroscience, 14(2), 257–262. [Google Scholar] [CrossRef] [PubMed]
- Salimpoor, V. N., & Zatorre, R. J. (2013). Neural interactions that give rise to musical pleasure. Psychology of Aesthetics, Creativity, and the Arts, 7(1), 62–75. [Google Scholar] [CrossRef]
- Samson, S., & Dellacherie, D. (2010). La neuropsychologie des émotions musicales. In R. Kolinsky, J. Morais, & I. Peretz (Eds.), Musique, langage, émotion: Approche neuro-cognitive (pp. 75–88). Presses Universitaires de Rennes. [Google Scholar] [CrossRef]
- Saville, P., Kinney, C., Heiderscheit, A., & Himmerich, H. (2025). Exploring the intersection of ADHD and music: A systematic review. Behavioral Sciences, 15(1), 65. [Google Scholar] [CrossRef] [PubMed]
- Schäfer, T., Sedlmeier, P., Städtler, C., & Huron, D. (2013). The psychological functions of music listening. Frontiers in Psychology, 4, 511. [Google Scholar] [CrossRef] [PubMed]
- Schellenberg, E. G., & Lima, C. F. (2024). Music training and nonmusical abilities. Annusl Review of Psychology, 75(1), 87–128. [Google Scholar] [CrossRef]
- Schellenberg, E. G., & Weiss, M. W. (2013). Music and cognitive abilities. In D. Deutsch (Ed.), The psychology of music (3rd ed., pp. 499–550). Academic Press. [Google Scholar] [CrossRef]
- Scherer, K. R., & Zentner, M. R. (2001). Emotional effects of music: Production rules. In P. N. Juslin, & J. A. Sloboda (Eds.), Music and emotion: Theory and research (3rd ed., pp. 361–392). Oxford University Press. [Google Scholar]
- Schubert, E. (2013). Emotion felt by the listener and expressed by the music: Literature review and theoretical perspectives. Frontiers in Psychology, 4, 837. [Google Scholar] [CrossRef]
- Shaw, P., Stringaris, A., Nigg, J., & Leibenluft, E. (2014). Emotion dysregulation in attention deficit hyperactivity disorder. American Journal of Psychiatry, 171(3), 276–293. [Google Scholar] [CrossRef]
- Tan, M., Zhou, X., Shen, L., Li, Y., & Chen, X. (2024). Music’s dual role in emotion regulation: Network analysis of music use, emotion regulation self-efficacy, alexithymia, anxiety, and depression. Depression and Anxiety, 2024(1), 1790168. [Google Scholar] [CrossRef] [PubMed]
- Taruffi, L., Allen, R., Downing, J., & Heaton, P. (2017). Individual differences in music-perceived emotions: The influence of externally oriented thinking. Music Perception: An Interdisciplinary Journal, 34(3), 253–266. [Google Scholar] [CrossRef]
- Tetzner, J., Becker, M., & Maaz, K. (2017). Development in multiple areas of life in adolescence: Interrelations between academic achievement, perceived peer acceptance, and self-esteem. International Journal of Behavioral Development, 41(6), 704–713. [Google Scholar] [CrossRef]
- Tillmann, B., Bharucha, J. J., & Bigand, E. (2000). Implicit learning of tonality: A self-organizing approach. Psychological Review, 107(4), 885–913. [Google Scholar] [CrossRef]
- Van Den Bosch, I., Salimpoor, V. N., & Zatorre, R. J. (2013). Familiarity mediates the relationship between emotional arousal and pleasure during music listening. Frontiers in Human Neuroscience, 7, 534. [Google Scholar] [CrossRef]
- Vidas, D., Nelson, N. L., & Dingle, G. A. (2025). Efficacy of the tuned in music emotion regulation program in international university students. Psychology & Health, 40(1), 105–125. [Google Scholar] [CrossRef]
- Vieillard, S., Peretz, I., Gosselin, N., Khalfa, S., Gagnon, L., & Bouchard, B. (2008). Happy, sad, scary and peaceful musical excerpts for research on emotions. Cognition & Emotion, 22(4), 720–752. [Google Scholar] [CrossRef]
- Wåhlstedt, C., Thorell, L. B., & Bohlin, G. (2009). Heterogeneity in ADHD: Neuropsychological pathways, comorbidity and symptom domains. Journal of Abnormal Child Psychology, 37(4), 551–564. [Google Scholar] [CrossRef]
- Webster, G. D., & Weir, C. G. (2005). Emotional responses to music: Interactive effects of mode, texture, and tempo. Motivation and Emotion, 29(1), 19–39. [Google Scholar] [CrossRef]
- Williams, M. T., Osman, M., Kaplan, A., & Faber, S. C. (2024). Barriers to care for mental health conditions in Canada. PLoS Mental Health, 1(4), e0000065. [Google Scholar] [CrossRef]
- Witvliet, C. V., & Vrana, S. R. (2007). Play it again sam: Repeated exposure to emotionally evocative music polarises liking and smiling responses, and influences other affective reports, facial EMG, and heart rate. Cognition and Emotion, 21(1), 3–25. [Google Scholar] [CrossRef]
- Wright, N., Moldavsky, M., Schneider, J., Chakrabarti, I., Coates, J., Daley, D., Kochhar, P., Mills, J., Sorour, W., & Sayal, K. (2015). Practitioner review: Pathways to care for ADHD—A systematic review of barriers and facilitators. Journal of Child Psychology and Psychiatry, 56(6), 598–617. [Google Scholar] [CrossRef] [PubMed]
- Yik, M., Mues, C., Sze, I. N. L., Kuppens, P., Tuerlinckx, F., De Roover, K., Kwok, F. H. C., Schwartz, S. H., Abu-Hilal, M., Adebayo, D. F., Aguilar, P., Al-Bahrani, M., Anderson, M. H., Andrade, L., Bratko, D., Bushina, E., Choi, J. W., Cieciuch, J., Dru, V., … Russell, J. A. (2023). On the relationship between valence and arousal in samples across the globe. Emotion, 23(2), 332–344. [Google Scholar] [CrossRef]
- Zajonc, R. B. (1968). Attitudinal effects of mere exposure. Journal of Personality and Social Psychology, 9(2), 1–27. [Google Scholar] [CrossRef]
- Zatorre, R. J., & Salimpoor, V. N. (2013). From perception to pleasure: Music and its neural substrates. Proceedings of the National Academy of Sciences of the United States of America, 110(Suppl. 2), 10430–10437. [Google Scholar] [CrossRef]
- Zemestani, M., Azadbakht, M., & Storch, E. A. (2023). Preliminary evaluation of music-based emotion-regulation skills to augment CBT for adolescents with ADHD. Musicae Scientiae, 27(3), 757–779. [Google Scholar] [CrossRef]
- Zentner, M., Grandjean, D., & Scherer, K. R. (2008). Emotions evoked by the sound of music: Characterization, classification, and measurement. Emotion, 8(4), 494. [Google Scholar] [CrossRef] [PubMed]
- Zentner, M., Strauss, H., & Vigl, J. (2025). Encapsulating musicality: Development and validation of the Music-Mindedness Questionnaire. Psychology of Aesthetics, Creativity, and the Arts. advance online publication. [Google Scholar] [CrossRef]
- Zimmermann, M. B., Diers, K., Strunz, L., Scherbaum, N., & Mette, C. (2019). Listening to Mozart improves current mood in adult ADHD—A randomized controlled pilot study. Frontiers in Psychology, 10, 1104. [Google Scholar] [CrossRef] [PubMed]




| Measure | Number of Items | Scale Range | M (SD) | Min–Max | Skewness/ Kurtosis | Reliability Coefficient |
|---|---|---|---|---|---|---|
| Musical experience | 4 | 0–5 | 0.84 (1.04) | 0.00–4.75 | 1.50/2.00 | α = 0.742 |
| Music listening diversity | 21 (dichotomized) | 0–21 (raw) | 7.01 (4.04) | 1–18 (raw) | −0.17/−1.11 | KR-20 = 0.801 |
| 1–5 (ordinal) | 3.18 (1.33) | 1–5 (ordinal) | ||||
| Receptivity to musical emotions | 9 | 1–5 | 3.82 (0.75) | 1.44–5.00 | −0.57/0.43 | α = 0.868 |
| HC-LMA (n = 37) | HC-HMA (n = 63) | ADHD-LMA (n = 13) | ADHD-HMA (n = 25) | Main Effect Musical Affinity | Main Effect Diagnosis | Interaction Musical Affinity × Diagnosis | |||||||
|---|---|---|---|---|---|---|---|---|---|---|---|---|---|
| Variable | M (SD) | M (SD) | M (SD) | M (SD) | F | p | η2p | F | p | η2p | F | p | η2p |
| Sociodemographics | |||||||||||||
| Gender (% girls) | 35.3% | 61.0% | 41.7% | 87.5% | – | – | – | – | – | – | – | – | – |
| Age (years) | 14.00 (1.05) | 14.33 (1.54) | 14.54 (1.33) | 14.76 (1.74) | 0.920 | 0.339 | 0.007 | 2.79 | 0.097 | 0.020 | 0.04 | 0.847 | 0.000 |
| Education (years) | 8.86 (0.95) | 8.94 (1.33) | 9.15 (0.80) | 9.24 (1.23) | 0.112 | 0.738 | 0.001 | 1.58 | 0.211 | 0.012 | 0.00 | 0.978 | 0.000 |
| Musical affinity scales | |||||||||||||
| Musical experience (/5) | 0.36 (0.45) | 1.04 (1.14) | 0.17 (0.34) | 1.39 (1.21) | 23.953 | <0.001 | 0.152 | 0.18 | 0.674 | 0.001 | 2.00 | 0.159 | 0.015 |
| Music listening diversity (/5) | 1.81 (0.74) | 3.97 (0.86) | 1.92 (0.76) | 3.88 (1.09) | 140.28 | <0.001 | 0.511 | 0.01 | 0.945 | 0.000 | 0.33 | 0.565 | 0.002 |
| Receptivity to musical emotions (/5) | 3.23 (0.80) | 4.13 (0.52) | 3.38 (0.67) | 4.16 (0.54) | 45.45 | <0.001 | 0.253 | 0.56 | 0.454 | 0.004 | 0.21 | 0.652 | 0.002 |
| Musical affinity total (/15) | 5.40 (1.13) | 9.13 (1.35) | 5.47 (0.65) | 9.43 (1.81) | 204.62 | <0.001 | 0.604 | 0.49 | 0.487 | 0.004 | 0.19 | 0.667 | 0.001 |
| Dependent Variable | Effect | F | df1 | df2 | p | η2p |
|---|---|---|---|---|---|---|
| Arousal | Familiarity (cov.) | 9.96 | 1 | 133 | 0.002 ** | 0.070 |
| Diagnosis | 0.13 | 1 | 133 | 0.721 | 0.001 | |
| Musical affinity | 0.09 | 1 | 133 | 0.764 | 0.001 | |
| Diagnosis × Musical affinity | 1.58 | 1 | 133 | 0.212 | 0.012 | |
| Emotional valence | Familiarity (cov.) | 34.46 | 1 | 131 | <0.001 *** | 0.208 |
| Diagnosis | 0.46 | 1 | 131 | 0.498 | 0.004 | |
| Musical affinity | 1.70 | 1 | 131 | 0.195 | 0.013 | |
| Diagnosis × Musical affinity | 3.00 | 1 | 131 | 0.085 | 0.022 | |
| Diagnosis × Familiarity | 3.20 | 1 | 131 | 0.076 | 0.024 | |
| Musical affinity × Familiarity | 5.64 | 1 | 131 | 0.019 * | 0.041 |
Disclaimer/Publisher’s Note: The statements, opinions and data contained in all publications are solely those of the individual author(s) and contributor(s) and not of MDPI and/or the editor(s). MDPI and/or the editor(s) disclaim responsibility for any injury to people or property resulting from any ideas, methods, instructions or products referred to in the content. |
© 2025 by the authors. Licensee MDPI, Basel, Switzerland. This article is an open access article distributed under the terms and conditions of the Creative Commons Attribution (CC BY) license (https://creativecommons.org/licenses/by/4.0/).
Share and Cite
Robaczewski, A.; Harkins, E.; Pelland-Goulet, P.; Gosselin, N. How Familiarity, Musical Affinity, and ADHD Shape Adolescents’ Perception of Musical Emotions. Behav. Sci. 2025, 15, 1570. https://doi.org/10.3390/bs15111570
Robaczewski A, Harkins E, Pelland-Goulet P, Gosselin N. How Familiarity, Musical Affinity, and ADHD Shape Adolescents’ Perception of Musical Emotions. Behavioral Sciences. 2025; 15(11):1570. https://doi.org/10.3390/bs15111570
Chicago/Turabian StyleRobaczewski, Adam, Erika Harkins, Pénélope Pelland-Goulet, and Nathalie Gosselin. 2025. "How Familiarity, Musical Affinity, and ADHD Shape Adolescents’ Perception of Musical Emotions" Behavioral Sciences 15, no. 11: 1570. https://doi.org/10.3390/bs15111570
APA StyleRobaczewski, A., Harkins, E., Pelland-Goulet, P., & Gosselin, N. (2025). How Familiarity, Musical Affinity, and ADHD Shape Adolescents’ Perception of Musical Emotions. Behavioral Sciences, 15(11), 1570. https://doi.org/10.3390/bs15111570

