Anxiety towards Statistics and Its Relationship with Students’ Attitudes and Learning Approach
Abstract
1. Introduction
2. Materials and Methods
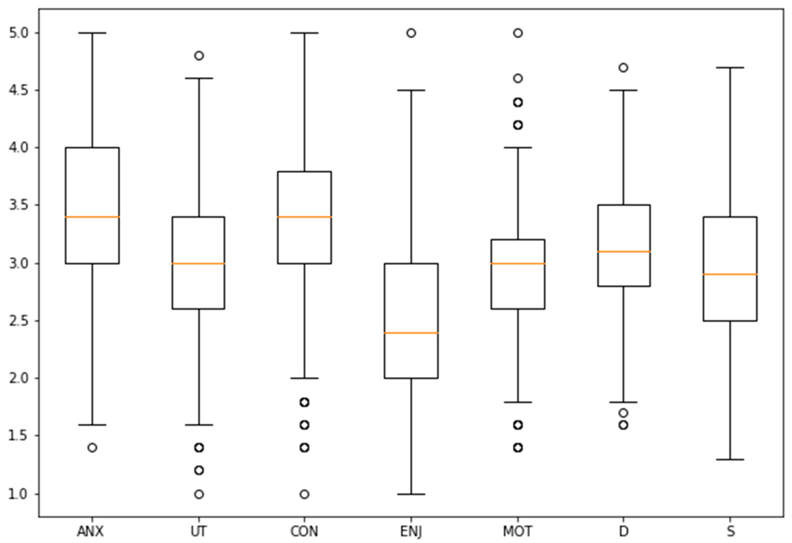
3. Results
4. Discussion and Conclusions
Author Contributions
Funding
Institutional Review Board Statement
Informed Consent Statement
Conflicts of Interest
Appendix A
| Age: | Gender: | M/F | Grade: | 10th | 11th | 12th | |
| Average in mathematics: | Overall average grade: | ||||||
- I consider statistics as a very necessary subject in my studies.
- I’m pretty bad at statistics.
- Studying or working with statistics doesn’t scare me at all.
- Using statistics is fun.
- Statistics is too theoretical for me to be of any use.
- I want to have a deeper understanding of Statistics.
- Statistics is one of the subjects that I fear the most.
- I have confidence in myself when I face a statistical problem.
- I enjoy talking to others about statistics.
- Statistics can be useful for those who decide to pursue a science career, but not for other students.
- Having a good knowledge of statistics will increase my job possibilities.
- When I face a statistical problem I feel unable to think clearly.
- I am calm when I face a problem of statistics.
- Statistics is nice and challenging for me.
- I hope to have little use of statistics in my professional life.
- I consider that there are other matters more important than statistics for my future profession.
- Working with statistics makes me feel nervous.
- I don’t get upset when I have to work on statistics problems.
- I would like to have an occupation in which I have to use statistics.
- It gives me great satisfaction to solve statistical problems.
- For my professional future, statistics is one of the most important subjects I have to study.
- Statistics makes me feel uncomfortable and nervous.
- If I put my mind to it, I think I can master statistics.
- If I had the opportunity, I would enroll in more statistics courses than are required.
- The things taught in statistics classes are very uninteresting
- I find that at times studying gives me a feeling of deep personal satisfaction.
- I find that I have to do enough work on a topic so that I can form my own conclusions before I am satisfied.
- My aim is to pass the course while doing as little work as possible.
- I only study seriously what’s given out in class or in the course outlines.
- I feel that virtually any topic can be highly interesting once I get into it.
- I find most new topics interesting and often spend extra time trying to obtain more information about them.
- I do not find my course very interesting so I keep my work to the minimum.
- I learn some things by rote, going over and over them until I know them by heart even if I do not understand them.
- I find that studying academic topics can at times be as exciting as a good novel or movie.
- I test myself on important topics until I understand them completely.
- I find I can get by in most assessments by memorizing key sections rather than trying to understand them.
- I generally restrict my study to what is specifically set as I think it is unnecessary to do anything extra.
- I work hard at my studies because I find the material interesting.
- I spend a lot of my free time finding out more about interesting topics, which have been discussed in different classes.
- I find it is unhelpful to study topics in depth. It confuses and wastes time, when all you need is a passing acquaintance with topics.
- I believe that lecturers shouldn’t expect students to spend significant amounts of time studying material everyone knows won’t be examined.
- I come to most classes with questions in mind that I want answering.
- I make a point of looking at most of the suggested readings that go with the lectures.
- I see no point in learning material, which is not likely to be in the examination.
- I find the best way to pass examinations is to try to remember answers to likely questions.
References
- Cashin, S.E.; Elmore, P.B. The survey of attitudes toward statistics scale: A construct validity study. Educ. Psychol. Meas. 2005, 65, 509–524. [Google Scholar] [CrossRef]
- Garfield, J.; Ben-Zvi, D. How students learn statistics revisited: A current review of research on teaching and learning statistics. Int. Stat. Rev. 2007, 75, 372–396. [Google Scholar] [CrossRef]
- Gal, I.; Ginsburg, L.; Schau, C. Monitoring attitudes and beliefs in statistics education. Assess. Chall. Stat. Educ. 1997, 12, 37–51. [Google Scholar]
- Biens, B. Teaching the Relevance of Statistics through Consumer-Oriented Research. Teach. Psychol. 1985, 12, 168–169. [Google Scholar] [CrossRef]
- Estrada, A. Analisis De Las Actitudes Y Conocimientos [Analysis of Attitudes and Knowledge]. Doctoral Thesis, Universitat Autònoma de Barcelona, Barcelona, Spain, 2003. [Google Scholar]
- Gal, I.; Ginsburg, L. The Role of Beliefs and Attitudes in Learning Statistics: Towards an Assessment Framework. J. Stat. Educ. 1994, 2. [Google Scholar] [CrossRef]
- Chiesi, F.; Primi, C. Assessing statistics attitudes among college students: Psychometric properties of the Italian version of the Survey of Attitudes toward Statistics (SATS). Learn. Individ. Differ. 2009, 19, 309–313. [Google Scholar] [CrossRef]
- Carmona Márquez, J. Una revisión de las evidencias de fiabilidad y validez de los cuestionarios de actitudes y ansiedad hacia la estadística [A review of the evidence of reliability and validity of the attitudes and anxiety questionnaires towards statistics]. Stat. Educ. Res. J. 2004, 3, 5–28. [Google Scholar]
- Auzmendi Escribano, E. Las Actitudes Hacia la matemática-Estadística en las Enseñanzas Media y Universitaria [Attitudes towards Statistical Mathematics in Secondary and University Education]; Mensajero, D.L.: Bilbao, Spain, 1992; ISBN 84-271-1768-X. [Google Scholar]
- Roberts, D.M.; Bilderback, E.W. Reliability and Validity of a Statistics Attitude Survey. Educ. Psychol. Meas. 1980, 40, 235–238. [Google Scholar] [CrossRef]
- Wise, S.L. The development and validation of a scale measuring attitudes toward statistics. Educ. Psychol. Meas. 1985, 45, 401–405. [Google Scholar] [CrossRef]
- Schau, C.; Stevens, J.; Dauphinee, T.L.; Vecchio, A. Del The development and validation of the survey of antitudes toward statistics. Educ. Psychol. Meas. 1995, 55, 868–875. [Google Scholar] [CrossRef]
- Bayot-Mestre, A.; Mondéjar-Jiménez, J.; Mondéjar-Jiménez, J.A.; Monsalve-Serrano, F.; Vargas-Vargas, M. The difficulties of learning concepts in the social sciences. In Studies in Teacher Education: Psichopedagogy; Misztal, M., Trawiński, M., Eds.; Wydawnictwo Naukowe AP: Krakow, Poland, 2005; pp. 242–258. ISBN 83-7271-355-1. [Google Scholar]
- Eccles, J. Expectancies, values and academic behaviors. In Achievement and Achievement Motives: Psychological and Sociological Approaches; Spence, J.T., Ed.; W.H. Freeman: San Francisco, CA, USA, 1983; pp. 75–146. ISBN 9780716713968. [Google Scholar]
- Bandura, A. Self-Efficacy: The Exercise of Control; W. H. Freeman: New York, NY, USA, 1999; pp. 158–166. [Google Scholar]
- Blanco Blanco, Á. Una revisión crítica de la investigación sobre las actitudes de los estudiantes universitarios hacia la Estadística [A critical review of the research on the attitudes of university students towards Statistics]. Rev. Complut. Educ. 2008, 19, 311–330. [Google Scholar]
- Sorge, C.; Schau, C. Impact of engineering students’ attitudes on achievement in statistics: A structural model. In Proceedings of the Annual Meeting of the American Educational Research Association, New Orleans, LA, USA, 1–5 April 2002; pp. 1–21. [Google Scholar]
- Wisenbaker, J.M.; Scott, J.S.; Nasser, F. Structural equation models relating attitudes about and achievement in introductory statistics courses: A comparison of results from the US and Israel. In Proceedings of the 9th International Congress on Mathematics Education, Tokyo, Japan, 31 July–6 August 2000; pp. 1–8. [Google Scholar]
- Baloǧlu, M. Individual differences in statistics anxiety among college students. Pers. Individ. Dif. 2003, 34, 855–865. [Google Scholar] [CrossRef]
- Benson, J. Structural Components of Statistical Test Anxiety in Adults. J. Exp. Educ. 1989, 57, 247–261. [Google Scholar] [CrossRef]
- Carmona, J.; Martínez, R.J.; Sánchez, M. Mathematical Background and Attitudes toward Statistics in a Sample of Spanish College Students. Psychol. Rep. 2005, 97, 53–62. [Google Scholar] [CrossRef]
- Chiesi, F.; Primi, C. Cognitive and non-cognitive factors related to students’ statistics achievement. Stat. Educ. Res. J. 2010, 9, 6–26. [Google Scholar]
- Macher, D.; Paechter, M.; Papousek, I.; Ruggeri, K. Statistics anxiety, trait anxiety, learning behavior, and academic performance. Eur. J. Psychol. Educ. 2012, 27, 483–498. [Google Scholar] [CrossRef]
- Musch, J.; Broder, A. Test anxiety versus academic skills: A comparison of two alternative models for predicting performance in a statistics exam. Br. J. Educ. Psychol. 1999, 69, 105–116. [Google Scholar] [CrossRef]
- Onwuegbuzie, A.J.; Seaman, M.A. The Effect of Time Constraints and Statistics Test Anxiety on Test Performance in a Statistics Course. J. Exp. Educ. 1995, 63, 115–124. [Google Scholar] [CrossRef]
- Tremblay, P.F.; Gardner, R.C.; Heipel, G. A model of the relationships among measures of affect, aptitude and performance in introductory statistics. Can. J. Behav. Sci. 2000, 32, 40. [Google Scholar] [CrossRef]
- Zeidner, M. Statistics and mathematics anxiety in social science students: Some interesting parallels. Br. J. Educ. Psychol. 1991, 61, 319–328. [Google Scholar] [CrossRef] [PubMed]
- Onwuegbuzie, A.J.; Daley, C.E. Perfectionism and statistics anxiety. Pers. Individ. Dif. 1999, 26, 1089–1102. [Google Scholar] [CrossRef]
- Peiró-Signes, Á.; Trull, Ó.; Segarra-Oña, M.; García-Díaz, J.C. Attitudes towards statistics in secondary education: Findings from fsQCA. Mathematics 2020, 8, 1–17. [Google Scholar] [CrossRef]
- Lalonde, R.N.; Gardner, R.C. Statistics as a second language? A model for predicting performance in psychology students. Can. J. Behav. Sci. Can. Sci. Comport. 1993, 25, 108. [Google Scholar] [CrossRef]
- Vigil-Colet, A.; Lorenzo-Seva, U.; Condon, L. Development and validation of the statistical anxiety scale. Psicothema 2008, 20, 174–180. [Google Scholar] [PubMed]
- Budé, L.; Van De Wiel, M.W.J.; Imbos, T.; Candel, M.J.J.M.; Broers, N.J.; Berger, M.P.F. Students’ achievements in a statistics course in relation to motivational aspects and study behaviour. Stat. Educ. Res. J. 2007, 6, 5–21. [Google Scholar]
- Roberts, D.M.; Saxe, J.E. Validity of a Statistics Attitude Survey: A Follow-Up Study. Educ. Psychol. Meas. 1982, 42, 907–912. [Google Scholar] [CrossRef]
- Gil Flores, J. Actitudes hacia la estadística. Incidencia de las variables sexo y formación previa [Attitudes towards statistics. Incidence of the variables sex and previous training]. Rev. Española Pedagog. 1999, 57, 567–589. [Google Scholar]
- Schram, C.M. A Meta-Analysis of Gender Differences in Applied Statistics Achievement. J. Educ. Behav. Stat. 1996, 21, 55–70. [Google Scholar] [CrossRef]
- Biggs, J. What do inventories of students’ learning processes really measure? A theoretical review and clarification. Br. J. Educ. Psychol. 1993, 63, 3–19. [Google Scholar] [CrossRef] [PubMed]
- Clute, P.S. Mathematics Anxiety, Instructional Method, and Achievement in a Survey Course in College Mathematics. J. Res. Math. Educ. 1984, 15, 50–58. [Google Scholar] [CrossRef]
- Pulido, J.E. Enseñanza de la estadística a partir de la actitud del alumno. Laurus 2009, 15, 42–70. [Google Scholar]
- Aparicio, A.; Bazán, J. Actitud y rendimiento en Estadística en profesores peruanos [Attitude and performance in Statistics in Peruvian teachers]. In Proceedings of the Acta Latinoamericana de Matemática Educativa; Martínez, G., Ed.; Comité Latinoamericano de Matemática Educativa A. C.: México DF, Mexico, 2006; pp. 644–650. [Google Scholar]
- Mondéjar Jiménez, J.; Vargas Vargas, M.; Mondéjar Jiménez, J. Impacto del uso del e-learning en las actitudes hacia la estadística [Impact of the use of e-learning on attitudes towards statistics]. RELATEC Rev. Latinoam. Tecnol. Educ. 2007, 6, 41–48. [Google Scholar]
- Estrada, A. Instrumentos de medición de actitudes hacia la estadística: La escala EAEE para profesores [Instruments for measuring attitudes towards statistics: The EAEE scale for teachers]. In Proceedings of the Investigación en Educación Matemática; Comunicaciones de los Grupos de Investigación de la SEIEM: Lleida, Spain, 2011; pp. 233–251. [Google Scholar]
- Ramirez, C.; Schau, C.; Emmioǧlu, E. The importance of attitudes in statistics education. Stat. Educ. Res. J. 2012, 11, 57–71. [Google Scholar]
- Daley, C.E.; Onwuegbuzie, A.J. The role of multiple intelligences in statistics anxiety. In Proceedings of the Anual Meeting of the Mid-South Educational Research Association, Memphis, TN, USA, 12–14 November 1997; Volume 3, pp. 1–12. [Google Scholar]
- Trull-Domínguez, O.; Peiró-Signes, Á.; Segarra-Oña, M. Aprendizaje de herramientas de SPC mediante actividades experienciales y utilizando alubias [Learning SPC tools through experiential activities and using beans]. In Proceedings of the Book of Abstracts CIVINEDU 2018: 2nd International Virtual Conference on Educational Research and Innovation; Adaya Press: Eindhoven, The Netherlands, 2018; p. 129. [Google Scholar]
- Peiro-Signes, A.; Segarra-Ona, M.V.; Trull-Dominguez, O.; De-Miguel-Molina, B. Bean bags: An experiential learning activity for quality control. In Proceedings of the Proceedings of EDULEARN17 Conference, Barcelona, Spain, 3–5 July 2017; IATED: Barcelona, Spain, 2017; pp. 8216–8221. [Google Scholar]
- Peiró Signes, A.; Trull Domínguez, Ó.; del Segarra Oña, M.V. Desarrollo de una actividad experiencial para la enseñanza de estadística [Development of an experiential activity for the teaching of statistics]. In Proceedings of the In-Red 2017. III Congreso Nacional de Innovación Educativa y de Docencia en Red, València, Spain, 13–14 July 2017; Editorial Universitat Politècnica de València: Valencia, Spain, 2017; pp. 282–288. [Google Scholar]
- Trull Dominguez, O.; Peiro-Signes, A.; Segarra Oña, M.; de Miguel Molina, M. Learning design of experiments with catapults. In Proceedings of the 10th Annual International Conference of Education, Research and Innovation, Seville, Spain, 16–18 November 2017; IATED: Seville, Spain, 2017; pp. 1920–1926. [Google Scholar]
- Trull Dominguez, O.; Peiró-Signes, A.; Segarra-Oña, M.; De-Miguel-Molina, B. Enhancing learning of the application of statistical concepts through experiences. In Proceedings of the 10th annual International Conference of Education, Research and Innovation, Seville, Spain, 16–18 November 2017; IATED: Seville, Spain, 2017; pp. 2905–2911. [Google Scholar]
- Johannssen, A.; Chukhrova, N.; Schmal, F.; Stabenow, K. Statistical literacy-Misuse of statistics and its consequences. J. Stat. Data Sci. Educ. 2021, 1–9. [Google Scholar] [CrossRef]
- Carnell, L.J. The effect of a student-designed data collection project on attitudes toward statistics. J. Stat. Educ. 2008, 16. [Google Scholar] [CrossRef]
- Froelich, A.G.; Stephenson, W.R.; Duckworth, W.M. Assessment of Materials for Engaging Students in Statistical Discovery. J. Stat. Educ. 2008, 16. [Google Scholar] [CrossRef]
- Walsh, J.J.; Ugumba-Agwunobi, G. Individual differences in statistics anxiety: The roles of perfectionism, procrastination and trait anxiety. Pers. Individ. Dif. 2002, 33, 239–251. [Google Scholar] [CrossRef]
- Vera, O.; Díaz, C. Dificultades de estudiantes de psicología en relación al contraste de hipótesis [Difficulties of psychology students in relation to hypothesis testing]. Probab. Condicionada 2013, 2, 197–203. [Google Scholar]
- Schau, C.; Millar, M.; Petocz, P. Research On Attitudes Towards Statistics. Stat. Educ. Res. J. 2012, 11, 2–5. [Google Scholar]
- Gómez Chacón, I.M. Matemática Emocional [Texto Impreso]: Los Afectos en el Aprendizaje Matemático; Narcea Ediciones SL: Madrid, Spain, 2000; ISBN 84-277-1336-3. [Google Scholar]
- Ribes Giner, G.; Perelló Marín, M.R.; Pantoja Díaz, O. Literature of the key variables of the co-creation process in higher education institutions. Tec. Empres. 2017, 11, 41–53. [Google Scholar] [CrossRef]
- Müller-Merbach, H. Knowledge management: A program for education and leadership. Knowl. Manag. Res. Pract. 2008, 6, 350–356. [Google Scholar] [CrossRef]
- Biggs, J.; Kember, D.; Leung, D.Y.P. The revised two-factor Study Process Questionnaire: R-SPQ-2F. Br. J. Educ. Psychol. 2001, 71, 133–149. [Google Scholar] [CrossRef]
- Fernández Cézar, R.; Solano Pinto, N.; Rizzo, K.; Gomezescobar Camino, A.; Iglesias, L.M.; Espinosa, A. Las actitudes hacia las matemáticas en estudiantes y maestros de educación infantil y primaria: Revisión de la adecuación de una escala para su medida [Attitudes towards mathematics in students and teachers of early childhood and primary education: Review. Rev. Iberoam. Ciencia, Tecnol. Soc. CTS 2016, 11, 227–238. [Google Scholar]
- Nunnally, J.C.; Bernstein, I.H. Psychometric Theory, 3rd ed.; McGraw-Hill: New York, NY, USA, 1994; ISBN 0-07-047849-X. [Google Scholar]
- Fiss, P.C. Building Better Causal Theories: A Fuzzy Set Approach to Typologies in Organization Research. Acad. Manag. J. 2011, 54, 393–420. [Google Scholar] [CrossRef]
- Emmenegger, P.; Schraff, D.; Walter, A. QCA, the truth table analysis and large-N survey data: The benefits of calibration and the importance of robustness tests. In Proceedings of the 2nd International QCA Expert Workshop, Zurich, Switzerland, 5–7 November 2014. [Google Scholar]
- Hotchkiss, E.; Smith, D.C.; Strömberg, P. Private equity and the resolution of financial distress. In Proceedings of the AFA 2012 Chicago Meetings Paper, Chicago, IL, USA, 6–8 January 2014; p. 58. [Google Scholar]
- Fiss, P.C. A set-theoretic approach to organizational configurations. Acad. Manag. Rev. 2007, 32, 1180–1198. [Google Scholar] [CrossRef]
- Rihoux, B.; Ragin, C.C. Configurational Comparative Methods: Qualitative Comparative Analysis (QCA) and Related Techniques; Sage Publications: New York, NY, USA, 2008; Volume 51, ISBN 1452210314. [Google Scholar]
- Braumoeller, B.F. Hypothesis Testing and Multiplicative Interaction Terms. Int. Organ. 2004, 58, 807–820. [Google Scholar] [CrossRef]
- Rihoux, B. Qualitative Comparative Analysis (QCA) and Related Systematic Comparative Methods: Recent Advances and Remaining Challenges for Social Science Research. Int. Sociol. 2006, 21, 679–706. [Google Scholar] [CrossRef]
- Woodside, A.G. Moving beyond multiple regression analysis to algorithms: Calling for adoption of a paradigm shift from symmetric to asymmetric thinking in data analysis and crafting theory. J. Bus. Res. 2013, 66, 463–472. [Google Scholar] [CrossRef]
- Ragin, C.C. Fuzzy-Set Social Science; University of Chicago Press: Chicago, IL, USA, 2000; ISBN 0226702774. [Google Scholar]
- Ordanini, A.; Parasuraman, A.; Rubera, G. When the Recipe Is More Important Than the Ingredients: A Qualitative Comparative Analysis (QCA) of Service Innovation Configurations. J. Serv. Res. 2013, 17, 134–149. [Google Scholar] [CrossRef]
- Palacios-Marqués, D.; Roig-Dobón, S.; Comeig, I. Background factors to innovation performance: Results of an empirical study using fsQCA methodology. Qual. Quant. 2017, 51, 1939–1953. [Google Scholar] [CrossRef]
- Pappas, I.O.; Kourouthanassis, P.E.; Giannakos, M.N.; Chrissikopoulos, V. Explaining online shopping behavior with fsQCA: The role of cognitive and affective perceptions. J. Bus. Res. 2016, 69, 794–803. [Google Scholar] [CrossRef]
- Dul, J. Identifying single necessary conditions with NCA and fsQCA. J. Bus. Res. 2016, 69, 1516–1523. [Google Scholar] [CrossRef]
- Beynon, M.J.; Jones, P.; Pickernell, D. Country-based comparison analysis using fsQCA investigating entrepreneurial attitudes and activity. J. Bus. Res. 2016, 69, 1271–1276. [Google Scholar] [CrossRef]
- Ragin, C.C.; Davey, S. Fuzzy-Set/Qualitative Comparative Analysis 3.0; Department of Sociology, University of California: Irvine, CA, USA, 2016. [Google Scholar]
- Ragin, C.C. User’s Guide to Fuzzy-Set/Qualitative Comparative Analysis 3.0; Department of Sociology, University of California: Irvine, CA, USA, 2018. [Google Scholar]
- Ragin, C.C. Redesigning Social Inquiry: Fuzzy Sets and Beyond; University of Chicago Press: Chicago, IL, USA, 2009; ISBN 0226702790. [Google Scholar]
- Schneider, C.Q.; Wagemann, C. Standards of Good Practice in Qualitative Comparative Analysis (QCA) and Fuzzy-Sets. Comp. Sociol. 2010, 9, 397–418. [Google Scholar] [CrossRef]
- Ragin, C.C. Set Relations in Social Research: Evaluating Their Consistency and Coverage. Polit. Anal. 2006, 14, 291–310. [Google Scholar] [CrossRef]
- Comas, C.; Martins, J.A.; Nascimento, M.M.; Estrada, A. Estudio de las Actitudes hacia la Estadística en Estudiantes de Psicología [Study of attitudes towards statistics in psychology students]. Bolema 2017, 31, 479–496. [Google Scholar] [CrossRef]



| Model: ANX = f(Usefulness = UT, Self-confidence = CON, Enjoyment = ENJ, Motivation = MOT, Deep approach = D, Surface approach = S) | |||
| Algorithm: Quine-McCluskey | |||
| Frequency cutoff: 5 | |||
| Consistency cutoff: 0.816 | |||
| Raw coverage | Unique coverage | Consistency | |
| Conf.1: CON | 0.774 | 0.459 | 0.769 |
| Conf.2: MOT • ~S • ~D | 0.308 | 0.009 | 0.742 |
| Conf.3: MOT • ~S • ~ENJ | 0.285 | 0.002 | 0.795 |
| Conf.4: MOT • ~S • ~UT | 0.301 | 0.001 | 0.703 |
| Model: ANX = CON + (MOT • ~S • ~D) + (MOT • ~S • ~ENJ) + (MOT • ~S • ~UT) | |||
| Solution coverage: 0.838 | |||
| Solution consistency: 0.725 | |||
| Model: ~ANX = f(UT, CON, ENJ, MOT, D, S) | |||
| Algorithm: Quine-McCluskey | |||
| Frequency cutoff: 5 | |||
| Consistency cutoff: 0.825 | |||
| Raw coverage | Unique coverage | Consistency | |
| Conf. 5: ~CON | 0.788 | 0.596 | 0.792 |
| Conf. 6: ~UT • ~ENJ • ~MOT • ~D • ~S | 0.204 | 0.011 | 0.833 |
| Model: ~ANX = ~CON + (~UT • ~ENJ • ~MOT • ~D • ~S) | |||
| Solution coverage: 0.799 | |||
| Solution consistency: 0.779 | |||
Publisher’s Note: MDPI stays neutral with regard to jurisdictional claims in published maps and institutional affiliations. |
© 2021 by the authors. Licensee MDPI, Basel, Switzerland. This article is an open access article distributed under the terms and conditions of the Creative Commons Attribution (CC BY) license (http://creativecommons.org/licenses/by/4.0/).
Share and Cite
Peiró-Signes, Á.; Trull, O.; Segarra-Oña, M.; García-Díaz, J.C. Anxiety towards Statistics and Its Relationship with Students’ Attitudes and Learning Approach. Behav. Sci. 2021, 11, 32. https://doi.org/10.3390/bs11030032
Peiró-Signes Á, Trull O, Segarra-Oña M, García-Díaz JC. Anxiety towards Statistics and Its Relationship with Students’ Attitudes and Learning Approach. Behavioral Sciences. 2021; 11(3):32. https://doi.org/10.3390/bs11030032
Chicago/Turabian StylePeiró-Signes, Ángel, Oscar Trull, Marival Segarra-Oña, and J. Carlos García-Díaz. 2021. "Anxiety towards Statistics and Its Relationship with Students’ Attitudes and Learning Approach" Behavioral Sciences 11, no. 3: 32. https://doi.org/10.3390/bs11030032
APA StylePeiró-Signes, Á., Trull, O., Segarra-Oña, M., & García-Díaz, J. C. (2021). Anxiety towards Statistics and Its Relationship with Students’ Attitudes and Learning Approach. Behavioral Sciences, 11(3), 32. https://doi.org/10.3390/bs11030032

