Influence of Gender, Parental Control, Academic Performance and Physical Activity Level on the Characteristics of Video Game Use and Associated Psychosocial Problems in Adolescents
Abstract
1. Introduction
1.1. Psychological Theories Explaining the Impact of Video Games on Adolescents
1.2. Impact of Video Games on Academic Performance and Its Relationship with Psychological Variables in Adolescents
1.3. Impact of Video Games on Physical Activity Level and Its Relationship with Psychological Variables on Adolescents
1.4. Socio-Demographic Factors That Determine the Use of Video Games and Their Impact on Psychological Variables in Adolescents
1.4.1. Gender as a Determinant of the Use of Video Games and Its Impact on Psychological Variables in Adolescents
1.4.2. Closest Environment as a Determinant of the Use of Video Games and Their Impact on Psychological Variables in Adolescents
1.5. Research Gap, Research Questions and Aims
2. Materials and Methods
2.1. Design
2.2. Participants
2.3. Instruments
2.3.1. Socio-Demographic, Play Habits and Academic Performance Variables
2.3.2. Physical Activity
2.3.3. Experiences Related to Video Games
2.3.4. Video Game Addiction
2.3.5. Motives for Playing Video Games
2.3.6. Emotional States
2.3.7. Passion Towards the Activity
2.3.8. Social, Emotional and Behavioral Problems
2.4. Procedure
2.5. Data Analysis
3. Results
3.1. Differences in the Gaming Variables According to Gender, Closest Environment, Academic Performance and Physical Activity Level
3.2. Differences in the Psychological Variables According to Gender
3.3. Differences in the Psychological Variables According to the Closest Environment
3.4. Differences in the Psychological Variables According to the Academic Performance of the Adolescents
3.5. Differences in the Psychological Variables According to the Level of Physical Activity
3.6. Differences in the Psychological Variables According to the Game Form
| Cohabitation of Parents | Parental Control of Time Use | ||||||||||||
|---|---|---|---|---|---|---|---|---|---|---|---|---|---|
| Variable | Yes (n = 1848) | No (n = 665) | t | 95% CI | d | p | Never (n = 1483) | Sometimes (n = 340) | Always (n = 690) | F | 95% CI | ES | p |
| CERV | |||||||||||||
| Evasion | 12.85 ± 4.30 | 12.86 ± 4.30 | −0.05 | −0.40; 0.38 | 0.04 | 0.960 | 14.12 ± 4.35 | 13.37 ± 3.82 | 14.87 ± 3.77 | 13.22 | 13.90; 14.34 | 0.02 | <0.001 |
| Negative consequences | 12.35 ± 3.37 | 12.66 ± 3.79 | −1.94 | −0.62; 0.00 | 0.03 | 0.053 | 13.16 ± 3.65 | 13.05 ± 3.15 | 13.97 ± 3.34 | 11.48 | 13.21; 13.58 | 0.01 | <0.001 |
| Total | 25.20 ± 7.31 | 25.52 ± 7.72 | −0.94 | −0.99; 0.35 | 0.07 | 0.351 | 27.28 ± 7.54 | 26.42 ± 6.57 | 28.84 ± 6.57 | 13.44 | 27.14; 27.89 | 0.02 | <0.001 |
| Gaming addiction | 4.68 ± 4.78 | 4.95 ± 5.05 | −1.20 | −0.70; 0.17 | 0.05 | 0.234 | 5.72 ± 4.90 | 5.77 ± 4.82 | 7.07 ± 4.57 | 15.45 | 5.93; 6.44 | 0.02 | <0.001 |
| VMQ | |||||||||||||
| Recreation | 9.66 ± 2.75 | 9.53 ± 2.88 | 0.87 | −0.16; 0.42 | 0.03 | 0.390 | 9.54 ± 2.85 | 9.27 ± 2.91 | 9.95 ± 2.57 | 6.68 | 9.44; 9.73 | 0.01 | 0.001 |
| Competition | 7.41 ± 3.32 | 7.60 ± 3.30 | −1.05 | −0.53; 0.16 | 0.03 | 0.307 | 7.56 ± 3.36 | 6.94 ± 3.41 | 7.56 ± 3.16 | 3.91 | 7.18; 7.53 | 0.00 | 0.020 |
| Cognitive development | 4.82 ± 3.27 | 4.86 ± 3.26 | −0.25 | −0.39; 0.30 | 0.03 | 0.801 | 4.86 ± 3.35 | 4.37 ± 3.16 | 4.95 ± 3.12 | 3.08 | 4.56; 4.90 | 0.00 | 0.050 |
| Coping | 4.84 ± 3.43 | 4.91 ± 3.46 | −0.42 | −0.37; 0.24 | 0.03 | 0.685 | 5.42 ± 3.86 | 5.00 ± 3.87 | 5.88 ± 3.63 | 5.39 | 5.23; 5.63 | 0.01 | 0.005 |
| Social interaction | 5.01 ± 3.32 | 5.10 ± 3.49 | −0.49 | −0.44; 0.27 | 0.04 | 0.632 | 4.86 ± 3.44 | 4.77 ± 3.46 | 5.41 ± 3.13 | 5.77 | 4.84; 5.19 | 0.01 | 0.003 |
| Violent reward | 3.95 ± 3.66 | 4.23 ± 3.87 | −1.40 | −0.67; 0.11 | 0.04 | 0.166 | 4.29 ± 3.97 | 3.30 ± 3.49 | 3.88 ± 3.32 | 7.79 | 3.63; 4.02 | 0.01 | <0.001 |
| Customization | 7.19 ± 3.73 | 6.85 ± 3.80 | −1.71 | −0.05; 0.74 | 0.04 | 0.093 | 6.94 ± 3.88 | 7.45 ± 3.75 | 7.17 ± 3.53 | 2.14 | 6.99; 7.39 | 0.00 | 0.124 |
| Fantasy | 6.07 ± 3.75 | 6.24 ± 3.80 | −0.85 | −0.57; 0.22 | 0.04 | 0.397 | 6.02 ± 3.82 | 5.88 ± 3.70 | 6.27 ± 3.71 | 1.19 | 5.86; 6.26 | 0.00 | 0.312 |
| Mood repair | 24.88 ± 7.13 | 23.96 ± 7.20 | 2.79 | 0.27; 1.56 | 0.71 | 0.005 | 24.08 ± 7.23 | 26.25 ± 7.33 | 25.38 ± 6.54 | 12.52 | 24.86; 25.61 | 0.01 | <0.001 |
| Passion scale | |||||||||||||
| Harmonious | 8.58 ± 2.75 | 8.81 ± 2.93 | −1.78 | −0.48; 0.02 | 0.02 | 0.087 | 9.30 ± 2.95 | 8.93 ± 2.63 | 9.86 ± 2.67 | 12.10 | 9.21; 9.51 | 0.01 | <0.001 |
| Obsessive | 9.23 ± 3.01 | 9.35 ± 3.15 | −0.83 | −0.39; 0.16 | 0.03 | 0.416 | 10.05 ± 3.05 | 9.62 ± 2.80 | 10.66 ± 2.85 | 13.38 | 9.95; 10.27 | 0.02 | <0.001 |
| SDQ | |||||||||||||
| Emotional symptoms | 14.00 ± 4.77 | 14.95 ± 4.84 | −4.33 | −1.38; −0.52 | 0.48 | <0.001 | 14.07 ± 4.86 | 13.07 ± 5.02 | 13.61 ± 4.57 | 5.01 | 13.33; 13.84 | 0.01 | 0.007 |
| Conduct problems | 12.19 ± 2.95 | 12.64 ± 3.09 | −3.27 | −0.72; −0.18 | 0.30 | <0.001 | 12.50 ± 3.02 | 12.28 ± 3.21 | 12.41 ± 2.98 | 0.59 | 12.24; 12.56 | 0.00 | 0.565 |
| Peer relationship problem | 15.53 ± 2.51 | 15.87 ± 2.67 | −2.88 | −0.57; −0.11 | 0.26 | <0.001 | 15.79 ± 2.61 | 15.41 ± 2.81 | 15.59 ± 2.44 | 2.70 | 15.46; 15.74 | 0.00 | 0.073 |
| Hyperactivity/inattention | 16.20 ± 2.97 | 16.29 ± 3.03 | −0.68 | −0.36; 0.17 | 0.03 | 0.496 | 16.21 ± 3.07 | 16.46 ± 3.46 | 16.37 ± 2.84 | 0.96 | 16.18; 16.51 | 0.00 | 0.384 |
| Prosocial behavior | 21.19 ± 3.15 | 20.96 ± 3.47 | 1.54 | −0.06; 0.52 | 0.03 | 0.138 | 20.72 ± 3.45 | 21.38 ± 3.64 | 20.99 ± 3.10 | 4.23 | 20.85; 21.21 | 0.01 | 0.026 |
| Academic Performance | |||||||||
|---|---|---|---|---|---|---|---|---|---|
| Variable | F (n = 183) | D (n = 426) | C (n = 585) | B (n = 906) | A (n = 413) | F | 95% CI | ES | p |
| CERV | |||||||||
| Evasion | 15.08 ± 4.59 | 15.04 ± 4.16 | 14.37 ± 4.31 | 13.79 ± 3.88 | 13.75 ± 3.92 | 7.09 | 14.18; 14.63 | 0.02 | <0.001 |
| Negative consequences | 14.62 ± 4.37 | 14.35 ± 3.89 | 13.55 ± 3.59 | 12.98 ± 3.14 | 12.40 ± 2.66 | 17.51 | 13.39; 13.77 | 0.04 | <0.001 |
| Total | 29.70 ± 8.35 | 29.39 ± 7.58 | 27.92 ± 7.42 | 26.77 ± 6.56 | 26.15 ± 6.20 | 12.64 | 27.60; 28.37 | 0.03 | <0.001 |
| Gaming addiction | 7.46 ± 5.56 | 7.30 ± 5.16 | 6.28 ± 4.86 | 5.59 ± 4.61 | 5.20 ± 3.99 | 11.46 | 6.11; 6.63 | 0.03 | <0.001 |
| VMQ | |||||||||
| Recreation | 9.62 ± 2.76 | 9.72 ± 2.72 | 9.44 ± 2.90 | 9.69 ± 2.76 | 9.76 ± 2.67 | 0.79 | 9.49; 9.80 | 0.00 | 0.532 |
| Competition | 8.07 ± 3.37 | 7.56 ± 3.36 | 7.56 ± 3.36 | 7.28 ± 3.27 | 7.25 ± 3.26 | 1.98 | 7.36; 7.73 | 0.01 | 0.095 |
| Cognitive development | 4.86 ± 3.16 | 4.98 ± 3.33 | 4.79 ± 3.39 | 4.71 ± 3.14 | 4.89 ± 3.23 | 0.43 | 4.67; 5.02 | 0.00 | 0.786 |
| Coping | 5.94 ± 4.03 | 6.05 ± 3.82 | 5.53 ± 3.77 | 5.29 ± 3.70 | 5.05 ± 3.78 | 3.42 | 5.37; 5.78 | 0.01 | 0.009 |
| Social interaction | 5.84 ± 3.62 | 5.64 ± 3.35 | 5.21 ± 3.39 | 4.64 ± 3.27 | 4.49 ± 3.15 | 8.51 | 4.98; 5.35 | 0.02 | <0.001 |
| Violent reward | 5.44 ± 3.98 | 4.65 ± 3.86 | 4.01 ± 3.70 | 3.67 ± 3.53 | 3.17 ± 3.60 | 11.47 | 3.99; 4.39 | 0.03 | <0.001 |
| Customization | 6.74 ± 3.71 | 7.15 ± 3.81 | 6.78 ± 3.80 | 7.22 ± 3.77 | 7.41 ± 3.48 | 1.63 | 6.85; 7.26 | 0.00 | 0.163 |
| Fantasy | 6.23 ± 3.73 | 6.12 ± 3.76 | 5.87 ± 3.78 | 6.08 ± 3.78 | 6.22 ± 3.74 | 0.48 | 5.90; 6.31 | 0.00 | 0.754 |
| Mood repair | 23.41 ± 8.13 | 24.04 ± 7.25 | 24.93 ± 6.86 | 25.25 ± 7.01 | 25.47 ± 6.44 | 3.34 | 24.23; 25.00 | 0.01 | 0.100 |
| Passion scale | |||||||||
| Harmonious | 10.51 ± 3.53 | 10.15 ± 2.93 | 9.60 ± 2.89 | 8.96 ± 2.57 | 8.75 ± 2.43 | 18.36 | 9.44; 9.75 | 0.04 | <0.001 |
| Obsessive | 10.77 ± 3.26 | 10.81 ± 3.24 | 10.24 ± 3.07 | 9.92 ± 2.78 | 9.65 ± 2.63 | 7.87 | 10.12; 10.44 | 0.02 | <0.001 |
| SDQ | |||||||||
| Emotional symptoms | 14.77 ± 4.87 | 14.41 ± 4.71 | 14.01 ± 4.84 | 13.64 ± 4.79 | 12.44 ± 4.85 | 7.59 | 13.59; 14.12 | 0.02 | <0.001 |
| Conduct problems | 13.44 ± 3.68 | 12.90 ± 3.16 | 12.58 ± 3.05 | 12.12 ± 2.81 | 11.76 ± 2.80 | 10.40 | 12.40; 12.72 | 0.02 | <0.001 |
| Peer relationship problem | 16.06 ± 3.27 | 15.80 ± 2.75 | 15.87 ± 2.63 | 15.53 ± 2.40 | 15.46 ± 2.43 | 2.32 | 15.60; 15.88 | 0.01 | 0.055 |
| Hyperactivity/inattention | 16.72 ± 3.27 | 16.42 ± 3.23 | 16.49 ± 3.00 | 16.13 ± 3.03 | 15.94 ± 2.92 | 2.43 | 16.17; 16.51 | 0.01 | 0.056 |
| Prosocial behavior | 20.04 ± 3.66 | 20.24 ± 3.75 | 20.93 ± 3.27 | 21.22 ± 3.12 | 21.39 ± 3.27 | 7.88 | 20.58; 20.95 | 0.02 | <0.001 |
| Level of Physical Activity | ||||||||
|---|---|---|---|---|---|---|---|---|
| Variable | Insufficient (n = 540) | Light (n = 1028) | Moderate (n = 799) | Vigorous (n = 146) | F | 95% CI | ES | p |
| CERV | ||||||||
| Evasion | 14.07 ± 4.51 | 14.33 ± 4.05 | 14.33 ± 4.01 | 13.88 ± 4.10 | 0.67 | 13.91; 14.40 | 0.00 | 0.568 |
| Negative consequences | 13.27 ± 3.70 | 13.58 ± 3.52 | 13.32 ± 3.37 | 13.12 ± 3.51 | 1.15 | 13.11; 13.53 | 0.00 | 0.327 |
| Total | 27.34 ± 7.73 | 27.91 ± 7.06 | 27.65 ± 6.91 | 27.00 ± 7.28 | 0.84 | 27.05; 27.90 | 0.00 | 0.474 |
| Gaming addiction | 6.09 ± 5.13 | 6.25 ± 4.69 | 6.19 ± 4.85 | 5.82 ± 4.76 | 0.30 | 5.80; 6.38 | 0.00 | 0.823 |
| VMQ | ||||||||
| Recreation | 9.30 ± 3.00 | 9.53 ± 2.72 | 9.92 ± 2.70 | 9.81 ± 2.71 | 4.26 | 9.48; 9.81 | 0.01 | 0.052 |
| Competition | 6.52 ± 3.40 | 7.15 ± 3.27 | 8.19 ± 3.18 | 8.60 ± 2.94 | 26.17 | 7.42; 7.81 | 0.04 | <0.001 |
| Cognitive development | 4.34 ± 3.38 | 4.70 ± 3.13 | 5.23 ± 3.31 | 4.99 ± 3.56 | 6.03 | 4.62; 5.01 | 0.01 | <0.001 |
| Coping | 5.07 ± 3.77 | 5.59 ± 3.77 | 5.71 ± 3.78 | 5.16 ± 4.00 | 2.48 | 5.16; 5.61 | 0.00 | 0.059 |
| Social interaction | 4.23 ± 3.39 | 5.00 ± 3.34 | 5.47 ± 3.35 | 5.29 ± 3.08 | 10.09 | 4.80; 5.20 | 0.02 | <0.001 |
| Violent reward | 3.40 ± 3.69 | 3.75 ± 3.61 | 4.54 ± 3.80 | 5.01 ± 3.74 | 11.00 | 3.96; 4.40 | 0.02 | <0.001 |
| Customization | 7.25 ± 3.82 | 7.20 ± 3.64 | 7.07 ± 3.75 | 6.03 ± 4.11 | 3.49 | 6.66; 7.11 | 0.01 | 0.055 |
| Fantasy | 6.09 ± 3.79 | 6.17 ± 3.78 | 6.11 ± 3.73 | 5.45 ± 3.84 | 1.19 | 5.73; 6.18 | 0.00 | 0.311 |
| Mood repair | 22.76 ± 7.11 | 24.74 ± 6.93 | 25.76 ± 6.96 | 26.62 ± 7.09 | 15.69 | 24.55; 25.39 | 0.03 | <0.001 |
| Passion scale | ||||||||
| Harmonious | 9.29 ± 2.90 | 9.54 ± 2.89 | 9.42 ± 2.74 | 9.01 ± 2.75 | 1.47 | 9.15; 9.49 | 0.00 | 0.220 |
| Obsessive | 9.96 ± 3.25 | 10.24 ± 2.89 | 10.25 ± 2.90 | 10.10 ± 3.11 | 0.84 | 9.96; 10.32 | 0.00 | 0.471 |
| SDQ | ||||||||
| Emotional symptoms | 15.11 ± 4.87 | 14.34 ± 4.67 | 12.73 ± 4.63 | 11.74 ± 4.76 | 29.57 | 13.20; 13.76 | 0.05 | <0.001 |
| Conduct problems | 12.43 ± 3.05 | 12.48 ± 3.09 | 12.39 ± 2.93 | 12.46 ± 3.27 | 0.09 | 12.26; 12.63 | 0.00 | 0.964 |
| Peer relationship problem | 15.86 ± 2.63 | 15.89 ± 2.61 | 15.36 ± 2.48 | 15.38 ± 2.77 | 5.93 | 15.47; 15.78 | 0.01 | <0.001 |
| Hyperactivity/inattention | 15.84 ± 2.95 | 16.35 ± 2.97 | 16.30 ± 3.14 | 17.23 ± 3.27 | 6.04 | 16.25; 16.61 | 0.01 | <0.001 |
| Prosocial behavior | 20.48 ± 3.55 | 20.93 ± 3.33 | 21.09 ± 3.25 | 21.05 ± 3.65 | 2.43 | 20.69; 21.09 | 0.00 | 0.064 |
| Game Form | ||||||||
|---|---|---|---|---|---|---|---|---|
| Variable | Online with Friends (n = 1393) | Online with Unknown (n = 290) | Offline Alone (n = 615) | Offline with Friends (n = 215) | F | 95% CI | ES | p |
| CERV | ||||||||
| Evasion | 14.70 ± 4.15 | 15.13 ± 4.09 | 12.93 ± 3.66 | 12.31 ± 3.47 | 26.67 | 13.47; 14.06 | 0.05 | <0.001 |
| Negative consequences | 13.70 ± 3.55 | 14.29 ± 3.75 | 12.28 ± 2.82 | 12.46 ± 3.22 | 21.48 | 12.93; 13.43 | 0.04 | <0.001 |
| Total | 28.40 ± 7.20 | 29.42 ± 7.25 | 25.21 ± 6.06 | 24.77 ± 6.33 | 27.42 | 26.44; 27.46 | 0.05 | <0.001 |
| Gaming addiction | 6.50 ± 4.88 | 7.42 ± 4.88 | 4.82 ± 4.11 | 4.73 ± 4.70 | 17.96 | 5.52; 6.21 | 0.03 | <0.001 |
| VMQ | ||||||||
| Recreation | 9.92 ± 2.58 | 9.79 ± 2.83 | 8.87 ± 3.05 | 9.38 ± 2.90 | 14.13 | 9.29; 9.69 | 0.02 | <0.001 |
| Competition | 8.02 ± 3.18 | 7.96 ± 3.08 | 5.70 ± 3.10 | 6.59 ± 3.42 | 52.47 | 6.84; 7.30 | 0.09 | <0.001 |
| Cognitive development | 5.05 ± 3.22 | 5.35 ± 3.15 | 4.02 ± 3.05 | 4.42 ± 3.63 | 11.31 | 4.48; 4.94 | 0.02 | <0.001 |
| Coping | 5.82 ± 3.77 | 5.96 ± 3.70 | 4.59 ± 3.71 | 4.59 ± 3.85 | 12.15 | 4.97; 5.52 | 0.02 | <0.001 |
| Social interaction | 5.98 ± 3.06 | 4.80 ± 3.39 | 2.50 ± 2.84 | 3.94 ± 2.61 | 125.26 | 4.08; 4.53 | 0.18 | <0.001 |
| Violent reward | 4.40 ± 3.70 | 4.63 ± 3.76 | 2.67 ± 3.36 | 3.02 ± 3.39 | 24.67 | 3.42; 3.95 | 0.04 | <0.001 |
| Customization | 6.95 ± 3.70 | 7.66 ± 3.59 | 7.27 ± 3.93 | 6.84 ± 4.05 | 2.16 | 6.90; 7.45 | 0.00 | 0.091 |
| Fantasy | 6.01 ± 3.75 | 6.67 ± 3.57 | 6.18 ± 3.91 | 5.60 ± 3.60 | 1.97 | 5.84; 6.39 | 0.00 | 0.117 |
| Mood repair | 25.23 ± 6.95 | 23.96 ± 7.31 | 24.09 ± 7.02 | 24.68 ± 7.35 | 3.35 | 23.98; 25.00 | 0.01 | 0.018 |
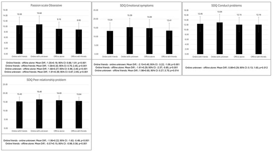
| Passion scale | ||||||||
| Harmonious | 9.70 ± 2.90 | 10.04 ± 2.80 | 8.55 ± 2.38 | 8.21 ± 2.46 | 23.66 | 8.92; 9.33 | 0.04 | <0.001 |
| Obsessive | 10.50 ± 3.01 | 10.84 ± 3.07 | 9.16 ± 2.48 | 8.93 ± 2.43 | 27.68 | 9.64; 10.07 | 0.05 | <0.001 |
| SDQ | ||||||||
| Emotional symptoms | 13.24 ± 4.71 | 15.39 ± 5.08 | 14.84 ± 4.86 | 13.41 ± 4.36 | 17.08 | 13.87; 14.57 | 0.03 | <0.001 |
| Conduct problems | 12.45 ± 3.01 | 13.04 ± 3.33 | 12.15 ± 2.96 | 12.16 ± 3.05 | 3.43 | 12.23; 12.67 | 0.01 | 0.017 |
| Peer relationship problem | 15.43 ± 2.52 | 16.48 ± 2.82 | 16.00 ± 2.60 | 15.64 ± 2.12 | 10.81 | 15.70; 16.08 | 0.02 | <0.001 |
| Hyperactivity/inattention | 16.31 ± 3.13 | 16.25 ± 2.87 | 16.28 ± 2.88 | 16.10 ± 3.12 | 0.13 | 16.01; 16.46 | 0.00 | 0.943 |
| Prosocial behavior | 20.98 ± 3.30 | 20.39 ± 3.85 | 21.04 ± 3.48 | 20.68 ± 2.85 | 1.73 | 20.52; 21.02 | 0.00 | 0.159 |








3.7. Relationship Between Psychological, Game-Related and Behavioral Variables
4. Discussion
4.1. Differences in the Gaming Variables According to Gender, Closest Environment, Academic Performance and Physical Activity Level
4.1.1. Differences in Video Game Use According to Gender
4.1.2. Differences in Video Game Use According to the Closest Environment
4.1.3. Differences in Video Game Use According to Academic Performance
4.1.4. Differences in Video Game Use According to Physical Activity Level
4.2. Differences in the Psychological Variables According to Gender, Closest Environment, Academic Performance and Physical Activity Level
4.2.1. Differences in Psychological Variables According to Gender
4.2.2. Differences in the Psychological Variables According to the Closest Environment
4.2.3. Differences in the Psychological Variables According to Academic Performance
4.2.4. Differences in the Psychological Variables According to the Physical Activity Level
4.2.5. Differences in the Psychological Variables According to the Form of Play
4.3. Influence of Gaming Variables, Academic Performance and Physical Activity Practice on Psychological Variables
4.3.1. Influence of Gaming Variables on Psychological Variables
4.3.2. Influence of Academic Performance on Psychological Variables
4.3.3. Influence of Physical Activity Practice on Psychological Variables
4.4. Limitations of the Present Study
4.5. Theoretical and Practical Implications
5. Conclusions
Author Contributions
Funding
Institutional Review Board Statement
Informed Consent Statement
Data Availability Statement
Conflicts of Interest
References
- Labrador, M.; Sánchez-Iglesias, I.; Bernaldo-de-Quirós, M.; Estupiñá, F.J.; Fernandez-Arias, I.; Vallejo-Achón, M.; Labrador, F.J. Video Game Playing and Internet Gaming Disorder: A Profile of Young Adolescents. Int. J. Environ. Res. Public Health 2023, 20, 7155. [Google Scholar] [CrossRef] [PubMed]
- Purwaningsih, E.; Nurmala, I. The Impact of Online Game Addiction on Adolescent Mental Health: A Systematic Review and Meta-Analysis. Open Access Maced. J. Med. Sci. 2021, 9, 260–274. [Google Scholar] [CrossRef]
- Ferguson, C.J. Do Angry Birds Make for Angry Children? A Meta-Analysis of Video Game Influences on Children’s and Adolescents’ Aggression, Mental Health, Prosocial Behavior, and Academic Performance. Perspect. Psychol. Sci. 2015, 10, 646–666. [Google Scholar] [CrossRef]
- Díaz-Ruiz, R.; Aladro-Castañeda, M. Relación Entre Uso de Las Nuevas Tecnologías y Sobrepeso Infantil, Como Problema de Salud Pública. RqR Enfermería Comunitaria 2016, 4, 46–51. [Google Scholar]
- Ng, K.; Karhulahti, V.-M.; Koskimaa, R.; Sokka, M.; Husu, P.; Kokko, S.P.; Koski, P. Associations between Physical Activity and Digital Gaming Activity among Finnish Adolescents. Eur. J. Public Health 2023, 33, ckad160.624. [Google Scholar] [CrossRef]
- Martinez, L.; Gimenes, M.; Lambert, E. Entertainment Video Games for Academic Learning: A Systematic Review. J. Educ. Comput. Res. 2022, 60, 1083–1109. [Google Scholar] [CrossRef]
- Leonhardt, M.; Overå, S. Are There Differences in Video Gaming and Use of Social Media among Boys and Girls?—A Mixed Methods Approach. Int. J. Environ. Res. Public Health 2021, 18, 6085. [Google Scholar] [CrossRef] [PubMed]
- Ponce-Blandón, J.A.; Espejel-Hernández, I.; Romero-Martín, M.; Lomas-Campos, M.L.M.; Jiménez-Picón, N.; Gómez-Salgado, J. Videogame-Related Experiences among Regular Adolescent Gamers. PLoS ONE 2020, 15, e0235327. [Google Scholar] [CrossRef]
- Ryan, R.M.; Rigby, C.S.; Przybylski, A. The Motivational Pull of Video Games: A Self-Determination Theory Approach. Motiv. Emot. 2006, 30, 344–360. [Google Scholar] [CrossRef]
- Ryan, R.M.; Deci, E.L. Intrinsic and Extrinsic Motivation from a Self-Determination Theory Perspective: Definitions, Theory, Practices, and Future Directions. Contemp. Educ. Psychol. 2020, 61, 101860. [Google Scholar] [CrossRef]
- Ryan, R.; Deci, E. Self-Determination Theory and the Facilitation of Intrinsic Motivation, Social Development, and Well-Being. Am. Psychol. 2000, 55, 68–78. [Google Scholar] [CrossRef]
- Kühn, S.; Berna, F.; Lüdtke, T.; Gallinat, J.; Moritz, S. Fighting Depression: Action Video Game Play May Reduce Rumination and Increase Subjective and Objective Cognition in Depressed Patients. Front. Psychol. 2018, 9, 129. [Google Scholar] [CrossRef] [PubMed]
- Goh, C.; Jones, C.; Copello, A. A Further Test of the Impact of Online Gaming on Psychological Wellbeing and the Role of Play Motivations and Problematic Use. Psychiatr. Q. 2019, 90, 747–760. [Google Scholar] [CrossRef]
- von der Heiden, J.M.; Braun, B.; Müller, K.W.; Egloff, B. The Association Between Video Gaming and Psychological Functioning. Front. Psychol. 2019, 10, 1731. [Google Scholar] [CrossRef] [PubMed]
- Che, T.; Peng, Y.; Zhou, Q.; Dickey, A.; Lai, F. The Impacts of Gamification Designs on Consumer Purchase: A Use and Gratification Theory Perspective. Electron. Commer. Res. Appl. 2023, 59, 101268. [Google Scholar] [CrossRef]
- Li, Z.; Li, H.; Liu, X. Finer-Grained Understanding of Travel Livestreaming Adoption: A Synthetic Analysis from Uses and Gratifications Theory Perspective. Tour. Manag. Perspect. 2023, 47, 101130. [Google Scholar] [CrossRef]
- Jang, S.; Kitchen, P.J.; Kim, J. The Effects of Gamified Customer Benefits and Characteristics on Behavioral Engagement and Purchase: Evidence from Mobile Exercise Application Uses. J. Bus. Res. 2018, 92, 250–259. [Google Scholar] [CrossRef]
- Nouvanty, V.; Suryanto, T.; Faroqi, A. Evaluation of Uses and Gratificationson Online Otome Games. Tek. J. Teknol. Inf. Dan Komun. 2023, 12, 120–128. [Google Scholar]
- Yu, H. Why Do People Use Metaverse? A Uses and Gratification Theory Perspective. Telemat. Inform. 2024, 89, 102110. [Google Scholar] [CrossRef]
- Ramírez, S.; Gana, S.; Garcés, S.; Zúñiga, T.; Araya, R.; Gaete, J. Use of Technology and Its Association With Academic Performance and Life Satisfaction Among Children and Adolescents. Front. Psychiatry 2021, 12, 764054. [Google Scholar] [CrossRef]
- Drummond, A.; Sauer, J.D. Timesplitters: Playing Video Games before (but Not after) School on Weekdays Is Associated with Poorer Adolescent Academic Performance. A Test of Competing Theoretical Accounts. Comput. Educ. 2020, 144, 103704. [Google Scholar] [CrossRef]
- Skoric, M.M.; Teo, L.L.C.; Neo, R.L. Children and Video Games: Addiction, Engagement, and Scholastic Achievement. CyberPsychol. Behav. 2009, 12, 567–572. [Google Scholar] [CrossRef]
- Bradley, B.J.; Greene, A.C. Do Health and Education Agencies in the United States Share Responsibility for Academic Achievement and Health? A Review of 25 Years of Evidence About the Relationship of Adolescents’ Academic Achievement and Health Behaviors. J. Adolesc. Health 2013, 52, 523–532. [Google Scholar] [CrossRef] [PubMed]
- Suvitha, S.; Kanimozhi, S.; Kanimozhi, S.; Kathiyayani, M.; Madhuri, K. Literature Review Related to Association between Mental Health and Academic Performance among Adolescents. A V Pub Int. J. Nurs. Med. Res. 2023, 2, 130–132. [Google Scholar] [CrossRef]
- Musshafen, L.A.; Tyrone, R.S.; Abdelaziz, A.; Sims-Gomillia, C.E.; Pongetti, L.S.; Teng, F.; Fletcher, L.M.; Reneker, J.C. Associations between Sleep and Academic Performance in US Adolescents: A Systematic Review and Meta-Analysis. Sleep. Med. 2021, 83, 71–82. [Google Scholar] [CrossRef] [PubMed]
- Chan, G.; Huo, Y.; Kelly, S.; Leung, J.; Tisdale, C.; Gullo, M. The Impact of ESports and Online Video Gaming on Lifestyle Behaviours in Youth: A Systematic Review. Comput. Human. Behav. 2022, 126, 106974. [Google Scholar] [CrossRef]
- Huard Pelletier, V.; Lessard, A.; Piché, F.; Tétreau, C.; Descarreaux, M. Video Games and Their Associations with Physical Health: A Scoping Review. BMJ Open Sport Exerc. Med. 2020, 6, e000832. [Google Scholar] [CrossRef]
- Kemel, P.N.; Porter, J.E.; Coombs, N. Improving Youth Physical, Mental and Social Health through Physical Activity: A Systematic Literature Review. Health Promot. J. Aust. 2021, 33, 590–601. [Google Scholar] [CrossRef]
- Williams, W.M.; Ayres, C.G. Can Active Video Games Improve Physical Activity in Adolescents? A Review of RCT. Int. J. Environ. Res. Public Health 2020, 17, 669. [Google Scholar] [CrossRef] [PubMed]
- Santos, I.K.d.; Medeiros, R.C.d.S.C.d.; Medeiros, J.A.d.; Almeida-Neto, P.F.d.; Sena, D.C.S.d.; Cobucci, R.N.; Oliveira, R.S.; Cabral, B.G.d.A.T.; Dantas, P.M.S. Active Video Games for Improving Mental Health and Physical Fitness—An Alternative for Children and Adolescents during Social Isolation: An Overview. Int. J. Environ. Res. Public Health 2021, 18, 1641. [Google Scholar] [CrossRef]
- Moncada Jiménez, J.; Chacón Araya, Y. The Effect of Playing Videogames on Social, Psychological and Physiological Variables in Children and Adolescents. Retos 2015, 21, 43–49. [Google Scholar] [CrossRef]
- Khan, A.; Burton, N.W. Electronic Games, Television, and Psychological Wellbeing of Adolescents: Mediating Role of Sleep and Physical Activity. Int. J. Environ. Res. Public Health 2021, 18, 8877. [Google Scholar] [CrossRef] [PubMed]
- Krossbakken, E.; Pallesen, S.; Mentzoni, R.A.; King, D.L.; Molde, H.; Finserås, T.R.; Torsheim, T. A Cross-Lagged Study of Developmental Trajectories of Video Game Engagement, Addiction, and Mental Health. Front. Psychol. 2018, 9, 2239. [Google Scholar] [CrossRef]
- Király, O.; Nagygyörgy, K.; Koronczai, B.; Griffiths, M.D.; Demetrovics, Z. The Psychological and Social Impacts of Online Gaming. Curr. Opin. Psychol. 2018, 31, 29–35. [Google Scholar] [CrossRef]
- Chou, C.; Tsai, M.-J. Gender Differences in Taiwan High School Students’ Computer Game Playing. Comput. Human. Behav. 2007, 23, 812–824. [Google Scholar] [CrossRef]
- López-Fernández, F.J.; Mezquita, L.; Griffiths, M.D.; Ortet, G.; Ibáñez, M.I. The Role of Personality on Disordered Gaming and Game Genre Preferences in Adolescence: Gender Differences and Person-Environment Transactions. Adicciones 2021, 33, 263–272. [Google Scholar] [CrossRef]
- Campbell, O.L.K.; Bann, D.; Patalay, P. The Gender Gap in Adolescent Mental Health: A Cross-National Investigation of 566,829 Adolescents across 73 Countries. SSM Popul. Health 2021, 13, 100742. [Google Scholar] [CrossRef] [PubMed]
- Wilson, G.S.; Pritchard, M.E.; Revalee, B. Individual Differences in Adolescent Health Symptoms: The Effects of Gender and Coping. J. Adolesc. 2005, 28, 369–379. [Google Scholar] [CrossRef]
- Desai, R.A.; Krishnan-Sarin, S.; Cavallo, D.; Potenza, M.N. Video-Gaming Among High School Students: Health Correlates, Gender Differences, and Problematic Gaming. Pediatrics 2010, 126, e1414–e1424. [Google Scholar] [CrossRef]
- van Rooij, A.J.; Kuss, D.J.; Griffiths, M.D.; Shorter, G.W.; Schoenmakers, T.M.; van de Mheen, D. The (Co-)Occurrence of Problematic Video Gaming, Substance Use, and Psychosocial Problems in Adolescents. J. Behav. Addict. 2014, 3, 157–165. [Google Scholar] [CrossRef] [PubMed]
- Schneider, L.A.; King, D.L.; Delfabbro, P.H. Family Factors in Adolescent Problematic Internet Gaming: A Systematic Review. J. Behav. Addict. 2017, 6, 321–333. [Google Scholar] [CrossRef] [PubMed]
- Rapheal, J.; Paul, V. Significance of Home Environment in Adolescent Psychological Well-Being and Distress. J. Indian Acad. Appl. Psychol. 2015, 41, 199–205. [Google Scholar]
- Halbrook, Y.J.; O’Donnell, A.T.; Msetfi, R.M. When and How Video Games Can Be Good: A Review of the Positive Effects of Video Games on Well-Being. Perspect. Psychol. Sci. 2019, 14, 1096–1104. [Google Scholar] [CrossRef] [PubMed]
- Mandryk, R.L.; Frommel, J.; Armstrong, A.; Johnson, D. How Passion for Playing World of Warcraft Predicts In-Game Social Capital, Loneliness, and Wellbeing. Front. Psychol. 2020, 11, 2165. [Google Scholar] [CrossRef]
- Colder Carras, M.; Van Rooij, A.J.; Van de Mheen, D.; Musci, R.; Xue, Q.-L.; Mendelson, T. Video Gaming in a Hyperconnected World: A Cross-Sectional Study of Heavy Gaming, Problematic Gaming Symptoms, and Online Socializing in Adolescents. Comput. Human. Behav. 2017, 68, 472–479. [Google Scholar] [CrossRef]
- Bodi, G.; Maintenant, C.; Pennequin, V. The Role of Maladaptive Cognitions in Gaming Disorder: Differences between Online and Offline Gaming Types. Addict. Behav. 2021, 112, 106595. [Google Scholar] [CrossRef] [PubMed]
- Smohai, M.; Urbán, R.; Griffiths, M.D.; Király, O.; Mirnics, Z.; Vargha, A.; Demetrovics, Z. Online and Offline Video Game Use in Adolescents: Measurement Invariance and Problem Severity. Am. J. Drug Alcohol. Abus. 2017, 43, 111–116. [Google Scholar] [CrossRef] [PubMed]
- Verheijen, G.P.; Stoltz, S.E.M.J.; van den Berg, Y.H.M.; Cillessen, A.H.N. The Influence of Competitive and Cooperative Video Games on Behavior during Play and Friendship Quality in Adolescence. Comput. Human. Behav. 2019, 91, 297–304. [Google Scholar] [CrossRef]
- Coyne, S.M.; Padilla-Walker, L.M.; Stockdale, L.; Day, R.D. Game On… Girls: Associations Between Co-Playing Video Games and Adolescent Behavioral and Family Outcomes. J. Adolesc. Health 2011, 49, 160–165. [Google Scholar] [CrossRef] [PubMed]
- Shoshani, A.; Krauskopf, M. The Fortnite Social Paradox: The Effects of Violent-Cooperative Multi-Player Video Games on Children’s Basic Psychological Needs and Prosocial Behavior. Comput. Human. Behav. 2021, 116, 106641. [Google Scholar] [CrossRef]
- Stenseng, F.; Hygen, B.W.; Wichstrøm, L. Time Spent Gaming and Psychiatric Symptoms in Childhood: Cross-Sectional Associations and Longitudinal Effects. Eur. Child. Adolesc. Psychiatry 2020, 29, 839–847. [Google Scholar] [CrossRef] [PubMed]
- Vandenbroucke, J.P.; von Elm, E.; Altman, D.G.; Gøtzsche, P.C.; Mulrow, C.D.; Pocock, S.J.; Poole, C.; Schlesselman, J.J.; Egger, M. Strengthening the Reporting of Observational Studies in Epidemiology (STROBE): Explanation and Elaboration. Int. J. Surg. 2014, 12, 1500–1524. [Google Scholar] [CrossRef]
- Rodríguez del Águila, M.; González-Ramírez, A. Sample Size Calculation. Allergol. Immunopathol. 2014, 42, 485–492. [Google Scholar] [CrossRef]
- Naing, L.; Nordin, R.B.; Abdul Rahman, H.; Naing, Y.T. Sample Size Calculation for Prevalence Studies Using Scalex and ScalaR Calculators. BMC Med. Res. Methodol. 2022, 22, 209. [Google Scholar] [CrossRef]
- Michelini, Y.; Ibáñez, M.I.; Pilatti, A.; Bravo, A.J.; López-Fernández, F.J.; Ortet, G.; Mezquita, L. Motives to Play Videogames across Seven Countries: Measurement Invariance of the Videogaming Motives Questionnaire. Addict. Behav. 2023, 140, 107624. [Google Scholar] [CrossRef] [PubMed]
- Olson, C.K.; Kutner, L.A.; Warner, D.E.; Almerigi, J.B.; Baer, L.; Nicholi, A.M.; Beresin, E.V. Factors Correlated with Violent Video Game Use by Adolescent Boys and Girls. J. Adolesc. Health 2007, 41, 77–83. [Google Scholar] [CrossRef] [PubMed]
- Telama, R.; Yang, X.; Viikari, J.; Välimäki, I.; Wanne, O.; Raitakari, O. Physical Activity from Childhood to Adulthood: A 21-Year Tracking Study. Am. J. Prev. Med. 2005, 28, 267–273. [Google Scholar] [CrossRef]
- Raitakan, O.T.; Porkka, K.; Taimela, S.; Telama, R.; Räsänen, L.A.; Vllkari, J.S. Effects of Persistent Physical Activity and Inactivity on Coronary Risk Factors in Children and Young Adults. The Cardiovascular Risk in Young Finns Study. Am. J. Epidemiol. 1994, 140, 195–205. [Google Scholar] [CrossRef]
- Piéron, M. Análisis de La Práctica de Actividades Físico-Deportivas En Alumnos de ESO y ESPO de Las Provincias de Almería, Granada y Murcia, Por Un Índice Compuesto de Participación. Fit. Perform. J. 2008, 7, 52–58. [Google Scholar] [CrossRef]
- Juan, F.R.; Bengoechea, E.G.; Montes, M.E.G.; Bush, P.L. Role of Individual and School Factors in Physical Activity Patterns of Secondary-Level Spanish Students. J. Sch. Health 2010, 80, 88–95. [Google Scholar] [CrossRef]
- Chamarro, A.; Carbonell, X.; Manresa, J.M.; Munoz-Miralles, R.; Ortega-Gonzalez, R.; Lopez-Morron, M.R.; Batalla-Martinez, C.; Toran-Monserrat, P. El Cuestionario de Experiencias Relacionadas con los Videojuegos (CERV): Un instrumento para detectar el uso problemático de videojuegos en adolescentes españoles. Adicciones 2014, 26, 303–311. [Google Scholar] [CrossRef] [PubMed]
- Lemmens, J.S.; Valkenburg, P.M.; Peter, J. Development and Validation of a Game Addiction Scale for Adolescents. Media Psychol. 2009, 12, 77–95. [Google Scholar] [CrossRef]
- Lloret Irles, D.; Morell Gomis, R.; Marzo Campos, J.C.; Tirado González, S. Validación Española de La Escala de Adicción a Videojuegos Para Adolescentes (GASA). Aten. Primaria 2018, 50, 350–358. [Google Scholar] [CrossRef] [PubMed]
- López-Fernández, F.J.; Mezquita, L.; Griffiths, M.D.; Ortet, G.; Ibáñez, M.I. The Development and Validation of the Videogaming Motives Questionnaire (VMQ). PLoS ONE 2020, 15, e0240726. [Google Scholar] [CrossRef] [PubMed]
- Fernández-Berrocal, P.; Extremera, N.; Ramos, N. Validity and Reliability of the the Spanish Modified of the Trait Meta-Mood Scale 1, 2. Psychol. Rep. 2004, 94, 751–755. [Google Scholar] [CrossRef] [PubMed]
- Marsh, H.; Vallerand, R.; Lafrenière, M.-A.; Parker, P.; Morin, A.; Carbonneau, N.; Jowett, S.; Bureau, J.; Fernet, C.; Guay, F.; et al. Passion: Does One Scale Fit All? Construct Validity of Two-Factor Passion Scale and Psychometric Invariance Over Different Activities and Languages. Psychol. Assess. 2013, 25, 796–809. [Google Scholar] [CrossRef] [PubMed]
- Chamarro, A.; Penelo, E.; Fornieles, A.; Oberst, U.; Vallerand, R.J.; Fernández-Castro, J. Psychometric Properties of the Spanish Version of the Passion Scale. Psicothema 2015, 27, 402–409. [Google Scholar] [CrossRef]
- Goodman, R. The Strengths and Difficulties Questionnaire: A Research Note. J. Child Psychol. Psychiatry 1997, 38, 581–586. [Google Scholar] [CrossRef]
- Español-Martín, G.; Pagerols, M.; Prat, R.; Rivas, C.; Sixto, L.; Valero, S.; Artigas, M.S.; Ribasés, M.; Ramos-Quiroga, J.A.; Casas, M.; et al. Strengths and Difficulties Questionnaire: Psychometric Properties and Normative Data for Spanish 5- to 17-Year-Olds. Assessment 2020, 28, 1445–1458. [Google Scholar] [CrossRef] [PubMed]
- Cramér, H. Mathematical Methods of Statistics; Princeton University Press: Princeton, NJ, USA, 1946. [Google Scholar]
- Cohen, J. Statistical Power Analysis for the Behavioral Sciences Second Edition, 2nd ed.; Lawrence Erlbaum Associates: New York, NY, USA, 1988; ISBN 0-8058-0283-5. [Google Scholar]
- Hopkins, W.G.; Marshall, S.W.; Batterham, A.M.; Hanin, J. Progressive Statistics for Studies in Sports Medicine and Exercise Science. Med. Sci. Sports Exerc. 2009, 41, 3–13. [Google Scholar] [CrossRef]
- Cote, A.C. Writing “Gamers” the Gendered Construction of Gamer Identity in Nintendo Power (1994–1999). Games Cult. 2018, 13, 479–503. [Google Scholar] [CrossRef]
- Yee, N. Motivations for Play in Online Games. CyberPsychology Behav. 2006, 9, 772–775. [Google Scholar] [CrossRef] [PubMed]
- Robinson, J.A. “I Ain’t No Girl”: Exploring Gender Stereotypes in the Video Game Community. West. J. Commun. 2023, 87, 857–878. [Google Scholar] [CrossRef]
- Kuss, D.J.; Kristensen, A.M.; Williams, A.J.; Lopez-Fernandez, O. To Be or Not to Be a Female Gamer: A Qualitative Exploration of Female Gamer Identity. Int. J. Environ. Res. Public Health 2022, 19, 1169. [Google Scholar] [CrossRef] [PubMed]
- Ruvalcaba, O.; Shulze, J.; Kim, A.; Berzenski, S.R.; Otten, M.P. Women’s Experiences in ESports: Gendered Differences in Peer and Spectator Feedback During Competitive Video Game Play. J. Sport. Soc. Issues 2018, 42, 295–311. [Google Scholar] [CrossRef]
- Lucas, K.; Sherry, J.L. Sex Differences in Video Game Play: A Communication-Based Explanation. Communic Res. 2004, 31, 499–523. [Google Scholar] [CrossRef]
- Wu, Y.-J.; Outley, C.; Matarrita-Cascante, D.; Murphrey, T.P. A Systematic Review of Recent Research on Adolescent Social Connectedness and Mental Health with Internet Technology Use. Adolesc. Res. Rev. 2016, 1, 153–162. [Google Scholar] [CrossRef]
- Kowert, R.; Domahidi, E.; Festl, R.; Quandt, T. Social Gaming, Lonely Life? The Impact of Digital Game Play on Adolescents’ Social Circles. Comput. Human. Behav. 2014, 36, 385–390. [Google Scholar] [CrossRef]
- Hartanto, A.; Lua, V.Y.Q.; Quek, F.Y.X.; Yong, J.C.; Ng, M.H.S. A Critical Review on the Moderating Role of Contextual Factors in the Associations between Video Gaming and Well-Being. Comput. Hum. Behav. Rep. 2021, 4, 100135. [Google Scholar] [CrossRef]
- Kaye, L.K.; Kowert, R.; Quinn, S. The Role of Social Identity and Online Social Capital on Psychosocial Outcomes in MMO Players. Comput. Human. Behav. 2017, 74, 215–223. [Google Scholar] [CrossRef]
- Rejaän, Z.; van der Valk, I.E.; Branje, S. Adolescents’ Belonging in Post-divorce Families: Examining Residential and Digital Contact with Mothers and Fathers. J. Res. Adolesc. 2024, 34, 568–583. [Google Scholar] [CrossRef]
- Niu, H.; Wang, S.; Tao, Y.; Tang, Q.; Zhang, L.; Liu, X. The Association between Online Learning, Parents’ Marital Status, and Internet Addiction among Adolescents during the COVID-19 Pandemic Period: A Cross-Lagged Panel Network Approach. J. Affect. Disord. 2023, 333, 553–561. [Google Scholar] [CrossRef]
- Lucas, N.; Nicholson, J.M.; Erbas, B. Child Mental Health after Parental Separation: The Impact of Resident/Non-Resident Parenting, Parent Mental Health, Conflict and Socioeconomics. J. Fam. Stud. 2013, 19, 53–69. [Google Scholar] [CrossRef][Green Version]
- Dokter, G. How to Belong in More than One Home? A Geographical Perspective on a Sense of Belonging amongst Children of Divorce in Shared Residence in the Netherlands. Master’s Thesis, Utrecht University, Utrecht, The Netherlands, 2021. [Google Scholar]
- Wartberg, L.; Kriston, L.; Zieglmeier, M.; Lincoln, T.; Kammerl, R. A Longitudinal Study on Psychosocial Causes and Consequences of Internet Gaming Disorder in Adolescence. Psychol. Med. 2019, 49, 287–294. [Google Scholar] [CrossRef]
- Mahmassani, H.S.; Chen, R.B.; Huang, Y.; Williams, D.; Contractor, N. Time to Play? Transp. Res. Rec. J. Transp. Res. Board. 2010, 2157, 129–137. [Google Scholar] [CrossRef]
- Hartanto, A.; Toh, W.X.; Yang, H. Context Counts: The Different Implications of Weekday and Weekend Video Gaming for Academic Performance in Mathematics, Reading, and Science. Comput. Educ. 2018, 120, 51–63. [Google Scholar] [CrossRef]
- Lemola, S.; Brand, S.; Vogler, N.; Perkinson-Gloor, N.; Allemand, M.; Grob, A. Habitual Computer Game Playing at Night Is Related to Depressive Symptoms. Pers. Individ. Dif. 2011, 51, 117–122. [Google Scholar] [CrossRef]
- Hellström, C.; Nilsson, K.W.; Leppert, J.; Åslund, C. Effects of Adolescent Online Gaming Time and Motives on Depressive, Musculoskeletal, and Psychosomatic Symptoms. Ups. J. Med. Sci. 2015, 120, 263–275. [Google Scholar] [CrossRef] [PubMed]
- King, D.L.; Potenza, M.N. Not Playing Around: Gaming Disorder in the International Classification of Diseases (ICD-11). J. Adolesc. Health 2019, 64, 5–7. [Google Scholar] [CrossRef]
- Adachi, P.J.C.; Willoughby, T. Does Playing Sports Video Games Predict. Increased Involvement in Real-Life Sports Over Several Years Among Older Adolescents and Emerging Adults? J. Youth Adolesc. 2016, 45, 391–401. [Google Scholar] [CrossRef] [PubMed]
- Zhu, Y.; Li, J.; Zhang, M.; Li, C.; Lau, E.Y.H.; Tao, S. Physical Activity Participation and Physical Aggression in Children and Adolescents: A Systematic Review and Meta-Analysis. Psychol. Sport. Exerc. 2022, 63, 102288. [Google Scholar] [CrossRef]
- Dickmeis, A.; Roe, K. Genres Matter: Video Games as Predictors of Physical Aggression among Adolescents. Communications 2019, 44, 105–129. [Google Scholar] [CrossRef]
- McGee, R.; Williams, S.; Howden-Chapman, P.; Martin, J.; Kawachi, I. Participation in Clubs and Groups from Childhood to Adolescence and Its Effects on Attachment and Self-esteem. J. Adolesc. 2006, 29, 1–17. [Google Scholar] [CrossRef] [PubMed]
- Garcia, J.M.; Sirard, J.R.; Deutsch, N.L.; Weltman, A. The Influence of Friends and Psychosocial Factors on Physical Activity and Screen Time Behavior in Adolescents: A Mixed-Methods Analysis. J. Behav. Med. 2016, 39, 610–623. [Google Scholar] [CrossRef] [PubMed]
- Király, O.; Nagygyörgy, K.; Griffiths, M.D.; Demetrovics, Z. Problematic Online Gaming. In Behavioral Addictions: Criteria, Evidence, and Treatment; Elsevier Academic Press: San Diego, CA, USA, 2014; pp. 61–97. ISBN 978-0-12-407724-9; 978-0-12-407858-1. [Google Scholar]
- Ferguson, C.J.; Trigani, B.; Pilato, S.; Miller, S.; Foley, K.; Barr, H. Violent Video Games Don’t Increase Hostility in Teens, but They Do Stress Girls Out. Psychiatr. Q. 2016, 87, 49–56. [Google Scholar] [CrossRef]
- Przybylski, A.K.; Weinstein, N. Violent Video Game Engagement Is Not Associated with Adolescents’ Aggressive Behaviour: Evidence from a Registered Report. R. Soc. Open Sci. 2019, 6, 171474. [Google Scholar] [CrossRef]
- Rohlinger, D.A.; Sobieraj, S. The Oxford Handbook of Digital Media Sociology; Oxford University Press: Oxford, UK, 2022. [Google Scholar]
- Stenseng, F.; Rise, J.; Kraft, P. The Dark Side of Leisure: Obsessive Passion and Its Covariates and Outcomes. Leis. Stud. 2011, 30, 49–62. [Google Scholar] [CrossRef]
- Enwereuzor, I.K.; Ugwu, L.I.; Ugwu, D.I. Role of Smartphone Addiction in Gambling Passion and Schoolwork Engagement: A Dualistic Model of Passion Approach. Asian J. Gambl. Issues Public Health 2016, 6, 9. [Google Scholar] [CrossRef] [PubMed]
- McLanahan, S.; Tach, L.; Schneider, D. The Causal Effects of Father Absence. Annu. Rev. Sociol. 2013, 39, 399–427. [Google Scholar] [CrossRef] [PubMed]
- Obeid, S.; Al Karaki, G.; Haddad, C.; Sacre, H.; Soufia, M.; Hallit, R.; Salameh, P.; Hallit, S. Association between Parental Divorce and Mental Health Outcomes among Lebanese Adolescents: Results of a National Study. BMC Pediatr. 2021, 21, 455. [Google Scholar] [CrossRef] [PubMed]
- Karhina, K.; Bøe, T.; Hysing, M.; Nilsen, S.A. Parental Separation, Negative Life Events and Mental Health Problems in Adolescence. BMC Public Health 2023, 23, 2364. [Google Scholar] [CrossRef] [PubMed]
- Shin, W.; Huh, J. Parental Mediation of Teenagers’ Video Game Playing: Antecedents and Consequences. New Media Soc. 2011, 13, 945–962. [Google Scholar] [CrossRef]
- Wallenius, M.; Rimpelä, A.; Punamäki, R.-L.; Lintonen, T. Digital Game Playing Motives among Adolescents: Relations to Parent–Child Communication, School Performance, Sleeping Habits, and Perceived Health. J. Appl. Dev. Psychol. 2009, 30, 463–474. [Google Scholar] [CrossRef]
- Carnagey, N.L.; Anderson, C.A. The Effects of Reward and Punishment in Violent Video Games on Aggressive Affect, Cognition, and Behavior. Psychol. Sci. 2005, 16, 882–889. [Google Scholar] [CrossRef]
- Simpson, R. A Case Study of the Perceived Impact of Disruptive Behavior among Grades 9 and 11 Students on Their Academic Performance at a Corporate High School. J. Educ. 2022, 5, 28–42. [Google Scholar] [CrossRef]
- Alagoz, N.; Keskinkilic, A. The Relationship between Internet and Game Addiction and the Levels of Physical Activity of the Secondary Education Students. Med. Sci. Int. Med. J. 2022, 11, 267. [Google Scholar] [CrossRef]
- Biddle, S.J.H.; Asare, M. Physical Activity and Mental Health in Children and Adolescents: A Review of Reviews. Br. J. Sports Med. 2011, 45, 886–895. [Google Scholar] [CrossRef]
- Lubans, D.; Richards, J.; Hillman, C.; Faulkner, G.; Beauchamp, M.; Nilsson, M.; Kelly, P.; Smith, J.; Raine, L.; Biddle, S. Physical Activity for Cognitive and Mental Health in Youth: A Systematic Review of Mechanisms. Pediatrics 2016, 138, e20161642. [Google Scholar] [CrossRef] [PubMed]
- Ahn, S.; Fedewa, A.L. A Meta-Analysis of the Relationship Between Children’s Physical Activity and Mental Health. J. Pediatr. Psychol. 2011, 36, 385–397. [Google Scholar] [CrossRef]
- Huang, E.; Xing, Y.; Song, X. Emotional Analysis of Multiplayer Online Battle Arena Games Addiction. Front. Psychol. 2024, 15, 1347949. [Google Scholar] [CrossRef] [PubMed]
- King, D.L.; Delfabbro, P.H. Internet Gaming Disorder Treatment: A Review of Definitions of Diagnosis and Treatment Outcome. J. Clin. Psychol. 2014, 70, 942–955. [Google Scholar] [CrossRef] [PubMed]
- Suler, J. The Online Disinhibition Effect. CyberPsychology Behav. 2004, 7, 321–326. [Google Scholar] [CrossRef]
- Gómez-Gonzalvo, F.; Molina, P.; Devís-Devís, J. Which Are the Patterns of Video Game Use in Spanish School Adolescents? Gender as a Key Factor. Entertain. Comput. 2020, 34, 100366. [Google Scholar] [CrossRef]
- Guermazi, F.; Halouani, N.; Yaich, K.; Ennaoui, R.; Chouayakh, S.; Aloulou, J.; Amami, O. Video and Internet Gaming Addiction Among Young Adults. Eur. Psychiatry 2017, 41, S203–S204. [Google Scholar] [CrossRef]
- Cudo, A.; Kopiś, N.; Stróżak, P.; Zapała, D. Problematic Video Gaming and Problematic Internet Use Among Polish Young Adults. Cyberpsychol. Behav. Soc. Netw. 2018, 21, 523–529. [Google Scholar] [CrossRef]
- Li, L.; Abbey, C.; Wang, H.; Zhu, A.; Shao, T.; Dai, D.; Jin, S.; Rozelle, S. The Association between Video Game Time and Adolescent Mental Health: Evidence from Rural China. Int. J. Environ. Res. Public Health 2022, 19, 14815. [Google Scholar] [CrossRef] [PubMed]
- Hartanto, A.; Quek, F.Y.X.; Tng, G.Y.Q.; Yong, J.C. Does Social Media Use Increase Depressive Symptoms? A Reverse Causation Perspective. Front. Psychiatry 2021, 12, 641934. [Google Scholar] [CrossRef]
- Williams, D.; Yee, N.; Caplan, S.E. Who Plays, How Much, and Why? Debunking the Stereotypical Gamer Profile. J. Comput.-Mediat. Commun. 2008, 13, 993–1018. [Google Scholar] [CrossRef]
- Przybylski, A.K.; Weinstein, N. A Large-Scale Test of the Goldilocks Hypothesis. Psychol. Sci. 2017, 28, 204–215. [Google Scholar] [CrossRef] [PubMed]
| Variable | n (%) |
|---|---|
| Gender | |
| Males | 1286 (51.20) |
| Females | 1227 (48.80) |
| Educational level | |
| Compulsory secondary education | 1825 (72.60) |
| Baccalaureate | 450 (17.90) |
| Vocational studies | 238 (9.50) |
| Physical activity level | |
| None | 540 (21.50) |
| Light | 1028 (41.00) |
| Moderate | 799 (31.70) |
| Vigorous | 146 (5.80) |
| Cohabitation of parents | |
| Yes | 1848 (74.20) |
| No | 665 (52.80) |
| Parental control of video game use | |
| Never | 1483 (60.00) |
| Sometimes | 340 (12.70) |
| Always | 690 (27.20) |
| Academic performance | |
| F | 183 (6.80) |
| D | 426 (16.80) |
| C | 585 (23.40) |
| B | 906 (36.70) |
| A | 413 (16.30) |
| Gaming form | |
| Online with friends | 1393 (61.50) |
| Offline alone | 615 (24.40) |
| Online with unknown | 290 (8.90) |
| Offline with friends | 215 (5.20) |
| Type of video game played | |
| Sport and racing | 1025 (17.08) |
| Shooting | 979 (16.32) |
| Open-world | 967 (16.12) |
| Strategy | 796 (13.27) |
| Simulation | 584 (9.73) |
| Casual | 550 (9.17) |
| Role Playing | 503 (8.38) |
| Platforms | 346 (5.77) |
| Fighting | 250 (4.17) |
| Variable | Male (n = 1286) | Female (n = 1227) | Adj. Res | χ2; p | CC |
|---|---|---|---|---|---|
| Type of video game | |||||
| Platforms | 168 (13.06) | 176 (14.34) | 1.7/−1.7 | 2.75; 0.098 | 0.034 |
| Fighting | 172 (13.37) | 78 (6.36) | −5.3/5.3 | 28.10; <0.001 | 0.108 |
| Strategy | 487 (37.87) | 298 (24.29) | −6.2/6.2 | 38.60; <0.001 | 0.126 |
| Role Playing | 295 (22.94) | 207 (16.87 | −2.9/2.9 | 8.70; 0.003 | 0.060 |
| Shooting | 785 (61.04) | 186 (15.16) | −22.6/22.6 | 508.82; <0.001 | 0.419 |
| Casual | 161 (12.52) | 386 (31.46) | 12.6/−12.6 | 158.51; <0.001 | 0.249 |
| Simulation | 282 (21.93) | 297 (24.21) | 2.4/−2.4 | 5.68; 0.017 | 0.049 |
| Open-world | 625 (48.60) | 334 (27.22) | −9.8/9.8 | 95.67; <0.001 | 0.196 |
| Sport and racing | 637 (49.53) | 379 (30.89) | −8.2/8.2 | 68.27; <0.001 | 0.166 |
| Platform | |||||
| Sony | 663 (51.56) | 215 (17.52) | −17.1/17.1 | 290.78; <0.001 | 0.328 |
| PC | 489 (38.02) | 253 (20.62) | −8.7/8.7 | 76.40; <0.001 | 0.175 |
| Nintendo | 182 (14.15) | 320 (26.08) | 8.2/−8.2 | 68.00; <0.001 | 0.166 |
| Tablet | 79 (6.14) | 163 (13.28) | 6.6/−6.6 | 42.90; <0.001 | 0.132 |
| Mobile Phone | 504 (39.19) | 714 (58.19) | 11.1/−11.1 | 123.82; <0.001 | 0.221 |
| Time spent (Weekdays) | |||||
| None | 418 (32.50) | 659 (53.71) | −11.1/11.1 | 220.32; <0.001 | 0.288 |
| 1 h | 189 (14.70) | 213 (17.36) | −1.9/1.9 | ||
| 2 h | 127 (9.88) | 115 (9.37) | 0.4/−0.4 | ||
| 3 h | 119 (9.25) | 75 (6.11) | 2.9/−2.9 | ||
| 4 h | 88 (6.84) | 38 (3.10) | 4.3/−4.3 | ||
| 5 h | 81 (6.30) | 29 (2.36) | 4.8/−4.8 | ||
| 6 h | 79 (6.14) | 29 (2.36) | 4.6/−4.6 | ||
| More than 6 h | 148 (11.51) | 26 (2.12) | 9.2/−9.2 | ||
| Time spent (Weekend) | |||||
| None | 100 (7.78) | 492 (40.10) | −19.4/19.4 | 637.13; <0.001 | 0.454 |
| 1 h | 104 (8.09) | 204 (16.63) | −6.7/6.7 | ||
| 2 h | 117 (9.10) | 153 (12.47) | −2.9/2.9 | ||
| 3 h | 152 (11.82) | 98 (7.99) | 3.1/−3.1 | ||
| 4 h | 137 (10.65) | 80 (6.52) | 3.6/−3.6 | ||
| 5 h | 131 (10.19) | 56 (4.56) | 5.3/−5.3 | ||
| 6 h | 151 (11.74) | 41 (3.34) | 7.8/−7.8 | ||
| More than 6 h | 372 (28.93) | 63 (5.13) | 12.3/−12.3 | ||
| Game form | |||||
| Online with friends | 849 (66.02) | 431 (35.13) | 12.1/−12.1 | 159.86; <0.001 | 0.267 |
| Online with unknown | 91 (7.08) | 94 (7.66) | −1.9/1.9 | ||
| Offline alone | 174 (13.53) | 330 (26.89) | −11.1/11.1 | ||
| Offline with friends | 49 (3.81) | 60 (4.89) | −2.4/2.4 | ||
| Money spent (month) | |||||
| None | 857 (66.64) | 1046 (85.25) | −14.3/14.3 | 205.06; <0.001 | 0.281 |
| <EUR 10 | 240 (18.66) | 61 (4.97) | 10.2/−10.2 | ||
| EUR 11–20 | 76 (5.91) | 14 (1.14) | 6.2/−6.2 | ||
| EUR 21–30 | 37 (2.88) | 8 (0.65) | 4.0/−4.0 | ||
| EUR 31–50 | 18 (1.40) | 4 (0.33) | 2.8/−2.8 | ||
| EUR 51–100 | 10 (0.78) | 1 (0.08) | 2.6/−2.6 | ||
| >EUR 100 | 12 (0.93) | 2 (0.16) | 2.5/−2.5 |
| Variable | Yes (n = 1848) | No (n = 665) | Adj. Res | χ2; p | CC |
|---|---|---|---|---|---|
| Type of video game | |||||
| Platforms | 250 (13.53) | 93 (13.98) | 0.5/−0.5 | 0.47; p = 0.793 | 0.014 |
| Fighting | 171 (9.25) | 76 (11.43) | 1.8/−1.8 | 3.49; p = 0.175 | 0.038 |
| Strategy | 562 (30.41) | 226 (33.98) | 2.1/−2.1 | 5.16; p = 0.076 | 0.046 |
| Role playing | 369 (19.97) | 133 (20.00) | 0.3/−0.3 | 0.38; p = 0.826 | 0.013 |
| Shooting | 721 (39.02) | 250 (37.59) | −0.1/0.1 | 1.49; p = 0.475 | 0.025 |
| Casual | 392 (21.21) | 154 (23.16) | 1.3/−1.3 | 2.17; p = 0.339 | 0.030 |
| Simulation | 432 (23.38) | 148 (22.26) | −0.3/0.3 | 0.39; p = 0.822 | 0.013 |
| Open-world | 730 (39.50) | 229 (34.44) | −1.8/1.8 | 4.96; p = 0.084 | 0.046 |
| Sport and racing | 764 (41.34) | 252 (37.89) | −1.1/1.1 | 2.87; p = 0.579 | 0.035 |
| Platform | |||||
| Sony | 641 (34.69) | 238 (35.79) | 1.1/−1.1 | 2.85; p = 0.241 | 0.034 |
| PC | 565 (30.57) | 178 (26.77) | −1.4/1.4 | 2.37; p = 0.306 | 0.031 |
| Nintendo | 368 (19.91) | 137 (20.60) | 0.7/−0.7 | 0.81; p = 0.667 | 0.018 |
| Tablet | 199 (10.77) | 45 (6.77) | −2.8/2.8 | 7.87; p = 0.020 | 0.057 |
| Mobile Phone | 863 (46.70) | 352 (52.93) | 3.5/−3.5 | 13.55; p = 0.001 | 0.075 |
| Time spent (Weekdays) | |||||
| None | 829 (44.86) | 245 (36.84) | 3.0/−3.0 | 36.62; p = 0.002 | 0.123 |
| 1 h | 294 (15.91) | 108 (16.24) | −0.5/0.5 | ||
| 2 h | 167 (9.04) | 73 (10.98) | −1.7/1.7 | ||
| 3 h | 152 (8.23) | 43 (6.47) | 1.2/−1.2 | ||
| 4 h | 91 (4.92) | 34 (5.11) | −0.5/0.5 | ||
| 5 h | 73 (3.95) | 35 (5.26) | −1.6/1.6 | ||
| 6 h | 69 (3.73) | 39 (5.86) | −2.5/2.5 | ||
| More than 6 h | 128 (6.93) | 49 (7.37) | −0.6/0.6 | ||
| Time spent (Weekend) | |||||
| None | 439 (23.76) | 147 (22.11) | 0.4/−0.4 | 17.12; p = 0.378 | 0.084 |
| 1 h | 217 (11.74) | 89 (13.38) | −1.5/1.5 | ||
| 2 h | 202 (10.93) | 65 (9.77) | 0.5/−0.5 | ||
| 3 h | 188 (10.17) | 61 (9.17) | 0.3/−0.3 | ||
| 4 h | 173 (9.36) | 47 (7.07) | 1.5/−1.5 | ||
| 5 h | 145 (7.85) | 42 (6.32) | 1.0/−1.0 | ||
| 6 h | 142 (7.68) | 51 (7.67) | −0.2/0.2 | ||
| More than 6 h | 312 (16.88) | 125 (18.80) | −1.6/1.6 | ||
| Game form | |||||
| Online with friends | 958 (51.84) | 319 (47.97) | 1.3/−1.3 | 9.82; p = 0.278 | 0.069 |
| Online with unknown | 122 (6.60) | 61 (9.17) | −2.4/2.4 | ||
| Offline alone | 381 (20.62) | 128 (19.25) | 0.5/−0.5 | ||
| Offline with friends | 78 (4.22) | 31 (4.66) | −0.6/0.6 | ||
| Money spent (month) | |||||
| None | 1409 (76.24) | 482 (72.48) | 1.0/−1.0 | 4.08; p = 0.982 | 0.041 |
| <EUR 10 | 218 (11.80) | 86 (12.93) | −1.0/1.0 | ||
| EUR 11–20 | 69 (3.73) | 20 (3.01) | 0.8/−0.8 | ||
| EUR 21–30 | 32 (1.73) | 16 (2.41) | −1.2/1.2 | ||
| EUR 31–50 | 17 (0.92) | 5 (0.75) | 0.3/−0.3 | ||
| EUR 51–100 | 8 (0.43) | 3 (0.45) | −0.1/0.1 | ||
| >EUR 100 | 9 (0.49) | 5 (0.75) | −0.8/0.8 |
| Variable | Never (n = 1483) | Sometimes (n = 340) | Always (n = 690) | Adj. Res | χ2; p | CC |
|---|---|---|---|---|---|---|
| Type of video game | ||||||
| Platforms | 185 (12.47) | 36 (10.59) | 118 (17.10) | −3.1/3.1 | 9.92; p = 0.007 | 0.065 |
| Fighting | 133 (8.97) | 33 (9.71) | 78 (11.30) | 1.6/−1.6 | 2.68; p = 0.262 | 0.034 |
| Strategy | 446 (30.07) | 99 (29.12) | 241 (34.93) | −2.1/2.1 | 4.56; p = 0.102 | 0.044 |
| Role Playing | 281 (18.95) | 60 (17.65) | 156 (22.61) | −2.0/2.0 | 3.85; p = 0.146 | 0.041 |
| Shooting | 502 (33.85) | 140 (41.18) | 330 (47.83) | 6.2/−6.2 | 40.65; p < 0.001 | 0.132 |
| Casual | 355 (23.94) | 59 (17.35) | 127 (18.41) | −3.5/3.5 | 12.27; p = 0.002 | 0.072 |
| Simulation | 339 (22.86) | 68 (20.00) | 164 (23.77) | 0.9/−0.9 | 0.87; p = 0.647 | 0.019 |
| Open-world | 530 (35.74) | 124 (36.47) | 308 (44.64) | −3.7/3.7 | 14.53; p < 0.001 | 0.079 |
| Sport and racing | 558 (37.63) | 156 (45.88) | 295 (42.75) | 3.2/−3.2 | 14.58; p = 0.006 | 0.079 |
| Platform | ||||||
| Sony | 454 (30.61) | 135 (39.71) | 287 (41.59) | −5.7/5.7 | 32.58; p < 0.001 | 0.118 |
| PC | 441 (29.74) | 76 (22.35) | 224 (32.46) | −2.6/2.6 | 7.92; p = 0.019 | 0.058 |
| Nintendo | 288 (19.42) | 68 (20.00) | 145 (21.01) | 0.9/−0.9 | 0.90; p = 0.639 | 0.019 |
| Tablet | 120 (8.09) | 55 (16.18) | 65 (9.42) | 4.9/−4.9 | 25.05; p < 0.001 | 0.103 |
| Mobile Phone | 726 (48.95) | 151 (44.41) | 310 (44.93) | −1.9/1.9 | 3.88; p = 0.144 | 0.041 |
| Time spent (Weekdays) | ||||||
| None | 669 (45.11) | 153 (45.00) | 198 (28.70) | −7.3/7.3 | 95.60; p < 0.001 | 0.200 |
| 1 h | 230 (15.51) | 60 (17.65) | 113 (16.38) | −1.4/1.4 | ||
| 2 h | 134 (9.04) | 35 (10.29) | 74 (10.72) | −1.7/1.7 | ||
| 3 h | 102 (6.88) | 19 (5.59) | 72 (10.43) | 3.3/−3.3 | ||
| 4 h | 63 (4.25) | 6 (1.76) | 55 (7.97) | −2.7/2.7 | ||
| 5 h | 68 (4.59) | 9 (2.65) | 33 (4.78) | −1.5/1.5 | ||
| 6 h | 50 (3.37) | 10 (2.94) | 49 (7.10) | 4.3/−4.3 | ||
| More than 6 h | 113 (7.62) | 12 (3.53) | 49 (7.10) | −2.4/2.4 | ||
| Time spent (Weekend) | ||||||
| None | 455 (30.68) | 39 (11.47) | 38 (5.51) | 13.6/−13.6 | 289.07; p < 0.001 | 0.347 |
| 1 h | 211 (14.23) | 45 (13.24) | 50 (7.25) | −4.5/4.5 | ||
| 2 h | 156 (10.52) | 49 (14.41) | 65 (9.42) | 2.8/−2.8 | ||
| 3 h | 109 (7.35) | 46 (13.53) | 95 (13.77) | −5.6/5.6 | ||
| 4 h | 100 (6.74) | 35 (10.29) | 83 (12.03) | −4.5/4.5 | ||
| 5 h | 78 (5.26) | 31 (9.12) | 77 (11.16) | −5.3/5.3 | ||
| 6 h | 101 (6.81) | 15 (4.41) | 77 (11.16) | 4.2/−4.2 | ||
| More than 6 h | 230 (15.51) | 45 (13.24) | 165 (23.91) | 4.1/−4.1 | ||
| Game form | ||||||
| Online with friends | 673 (45.38) | 189 (55.59) | 415 (60.14) | −5.0/5.0 | 28.97; p < 0.001 | 0.118 |
| Online with unknown | 115 (7.75) | 21 (6.18) | 49 (7.10) | 1.5/−1.5 | ||
| Offline alone | 326 (21.98) | 62 (18.24) | 121 (17.54) | 3.7/−3.7 | ||
| Offline with friends | 70 (4.72) | 17 (5.00) | 20 (2.90) | −2.4/2.4 | ||
| Money spent (month) | ||||||
| None | 1163 (78.42) | 244 (71.76) | 467 (67.68) | −5.5/5.5 | 40.83; p < 0.001 | 0.132 |
| <EUR 10 | 149 (10.05) | 38 (11.18) | 113 (16.38) | 4.2/−4.2 | ||
| EUR 11–20 | 39 (2.63) | 10 (2.94) | 40 (5.80) | 3.8/−3.8 | ||
| EUR 21–30 | 26 (1.75) | 5 (1.47) | 18 (2.61) | 1.5/−1.5 | ||
| EUR 31–50 | 14 (0.94) | 3 (0.88) | 5 (0.72) | −0.5/0.5 | ||
| EUR 51–100 | 8 (0.54) | 0 (0.00) | 3 (0.43) | −1.3/1.3 | ||
| >EUR 100 | 9 (0.61) | 2 (0.59) | 3 (0.43) | −0.5/0.5 |
| Variable | F (n = 183) | D (n = 426) | C (n = 585) | B (n = 906) | A (n = 413) | Adj. Res | χ2; p | CC |
|---|---|---|---|---|---|---|---|---|
| Type of video game | ||||||||
| Platforms | 29 (15.85) | 62 (14.55) | 86 (14.70) | 101 (11.15) | 61 (14.77) | 2.9/−2.9 | 8.86; p = 0.065 | 0.062 |
| Fighting | 22 (12.02) | 44 (10.33) | 61 (10.43) | 87 (9.60) | 27 (6.54) | 2.1/−2.1 | 6.43; p = 0.169 | 0.053 |
| Strategy | 46 (25.14) | 122 (28.64) | 184 (31.45) | 298 (32.89) | 114 (27.60) | 1.6/−1.6 | 4.30; p = 0.367 | 0.043 |
| Role Playing | 35 (19.13) | 93 (21.83) | 114 (19.49) | 160 (17.66) | 79 (19.13) | −1.8/1.8 | 4.59; p = 0.332 | 0.044 |
| Shooting | 74 (40.44) | 174 (40.85) | 238 (40.68) | 351 (38.74) | 105 (25.42) | −5.2/5.2 | 29.95; p < 0.001 | 0.114 |
| Casual | 25 (13.66) | 76 (17.84) | 114 (19.49) | 222 (24.50) | 100 (24.21) | 2.5/−2.5 | 16.71; p = 0.002 | 0.085 |
| Simulation | 49 (26.78) | 94 (22.07) | 128 (21.88) | 198 (21.85) | 88 (21.31) | 2.0/−2.0 | 4.05; p = 0.399 | 0.042 |
| Open-world | 71 (38.80) | 176 (41.31) | 207 (35.38) | 355 (39.18) | 120 (29.06) | 3.3/−3.3 | 16.40; p = 0.003 | 0.084 |
| Sport and racing | 72 (39.34) | 166 (38.97) | 237 (40.51) | 353 (38.96) | 156 (37.77) | −0.8;0.8 | 4.25; p = 0.834 | 0.043 |
| Platform | ||||||||
| Sony | 73 (38.89) | 160 (37.56) | 207 (35.38) | 299 (33.00) | 100 (24.21) | 3.9/−3.9 | 24.30; p < 0.001 | 0.102 |
| PC | 65 (35.52) | 118 (27.70) | 182 (31.11) | 258 (28.48) | 83 (20.10) | −3.6/3.6 | 21.34; p < 0.001 | 0.095 |
| Nintendo | 21 (11.48) | 67 (15.73) | 94 (16.07) | 206 (22.74) | 89 (21.55) | 3.2/−3.2 | 21.22; p < 0.001 | 0.095 |
| Tablet | 12 (6.56) | 23 (5.40) | 45 (7.69) | 99 (10.93) | 54 (13.08) | 3.2/−3.2 | 21.33; p < 0.001 | 0.096 |
| Mobile Phone | 90 (49.18) | 198 (46.48) | 277 (47.35) | 418 (46.14) | 188 (45.52) | 1.6/−1.6 | 3.24; p = 0.519 | 0.037 |
| Time of use (Weekdays) | ||||||||
| None | 52 (28.42) | 170 (39.91) | 219 (37.44) | 401 (44.26) | 206 (49.88) | 4.3/−4.3 | 75.55; p < 0.001 | 0.179 |
| 1 h | 24 (13.11) | 52 (12.21) | 103 (17.61) | 156 (17.22) | 53 (12.83) | −2.0/2.0 | ||
| 2 h | 18 (9.84) | 38 (8.92) | 55 (9.40) | 80 (8.83) | 41 (9.93) | −0.8/0.8 | ||
| 3 h | 13 (7.10) | 31 (7.28) | 53 (9.06) | 67 (7.40) | 22 (5.33) | 1.7/−1.7 | ||
| 4 h | 9 (4.92) | 27 (6.34) | 23 (3.93) | 51 (5.63) | 10 (2.42) | −2.4/2.4 | ||
| 5 h | 8 (4.37) | 25 (5.87) | 30 (5.13) | 29 (3.20) | 17 (4.12) | −2.2/2.2 | ||
| 6 h | 13 (7.10) | 22 (5.16) | 25 (4.27) | 34 (3.75) | 12 (2.91) | 2.3/−2.3 | ||
| More than 6 h | 22 (12.02) | 34 (7.98) | 46 (7.86) | 48 (5.30) | 18 (4.36) | 3.4/−3.4 | ||
| Time of use (Weekend) | ||||||||
| None | 34 (18.58) | 80 (18.78) | 128 (21.88) | 194 (21.41) | 136 (32.93) | 5.8/−5.8 | 91.28; p < 0.001 | 0.196 |
| 1 h | 10 (5.46) | 33 (7.75) | 77 (13.16) | 136 (15.01) | 43 (10.41) | 3.4/−3.4 | ||
| 2 h | 22 (12.02) | 45 (10.56) | 57 (9.74) | 94 (10.38) | 46 (11.14) | 1.0/−1.0 | ||
| 3 h | 17 (9.29) | 35 (8.22) | 60 (10.26) | 92 (10.15) | 30 (7.26) | −1.4/1.4 | ||
| 4 h | 12 (6.56) | 33 (7.75) | 53 (9.06) | 82 (9.05) | 32 (7.75) | 0.7/−0.7 | ||
| 5 h | 11 (6.01) | 37 (8.69) | 38 (6.50) | 72 (7.95) | 21 (5.08) | −1.6/1.6 | ||
| 6 h | 14 (7.65) | 35 (8.22) | 52 (8.89) | 68 (7.51) | 23 (5.57) | −1.6/1.6 | ||
| More than 6 h | 42 (22.95) | 101 (23.71) | 98 (16.75) | 134 (14.79) | 49 (11.86) | 2.2/−2.2 | ||
| Game form | ||||||||
| Online with friends | 91 (49.73) | 216 (50.70) | 303 (51.70) | 459 (50.66) | 168 (40.68) | −2.7/2.7 | 41.18; p < 0.001 | 0.143 |
| Online with unknown | 13 (7.10) | 45 (10.56) | 44 (7.52) | 54 (5.96) | 28 (6.78) | 2.7/−2.7 | ||
| Offline alone | 33 (18.03) | 72 (16.90) | 113 (19.32) | 189 (20.86) | 94 (22.76) | 2.5/−2.5 | ||
| Offline with friends | 1 (0.55) | 15 (3.52) | 14 (2.39) | 54 (5.96) | 21 (5.08) | 3.1/−3.1 | ||
| Money spent (month) | ||||||||
| None | 112 (61.20) | 300 (70.42) | 434 (74.19) | 684 (75.50) | 315 (76.27) | −2.6/2.6 | 54.01; p < 0.001 | 0.153 |
| <EUR 10 | 23 (12.57) | 54 (12.68) | 66 (11.28) | 98 (10.82) | 48 (11.62) | −1.0/1.0 | ||
| EUR 11–20 | 6 (3.28) | 16 (3.76) | 24 (4.10) | 36 (3.97) | 5 (1.21) | −2.7/2.7 | ||
| EUR 21–30 | 8 (4.37) | 5 (1.17) | 14 (2.39) | 17 (1.88) | 3 (0.73) | 2.8/−2.8 | ||
| EUR 31–50 | 2 (1.09) | 8 (1.88) | 5 (0.85) | 5 (0.55) | 1 (0.24) | 2.6/−2.6 | ||
| EUR 51–100 | 2 (1.09) | 6 (1.41) | 0 (0.00) | 3 (0.33) | 0 (0.00) | 3.3/−3.3 | ||
| >EUR 100 | 3 (1.64) | 2 (0.47) | 3 (0.51) | 4 (0.44) | 1 (0.24) | 2.4/−2.4 |
| Variable | Insufficient (n = 540) | Light (n = 1028) | Moderate (n = 799) | Vigorous (n = 146) | Adj. Res | χ2; p | CC |
|---|---|---|---|---|---|---|---|
| Type of video game | |||||||
| Platforms | 76 (14.07) | 156 (15.18) | 91 (11.39) | 21 (14.38) | −2.3/2.3 | 5.65; p = 0.130 | 0.048 |
| Fighting | 44 (8.15) | 109 (10.60) | 78 (9.76) | 18 (12.33) | −1.5/1.5 | 3.00; p = 0.392 | 0.035 |
| Strategy | 174 (32.22) | 317 (30.84) | 258 (32.29) | 46 (31.51) | −0.8/0.8 | 0.784; p = 0.853 | 0.018 |
| Role Playing | 116 (21.48) | 230 (22.37) | 129 (16.15) | 28 (19.18) | −3.3/3.3 | 12.18; p = 0.007 | 0.071 |
| Shooting | 147 (27.22) | 391 (38.04) | 354 (44.31) | 83 (56.85) | 4.4/−4.4 | 57.99; p < 0.001 | 0.155 |
| Casual | 153 (28.33) | 226 (21.98) | 152 (19.02) | 18 (12.33) | 4.4/−4.4 | 27.29; p < 0.001 | 0.106 |
| Simulation | 139 (25.74) | 259 (25.19) | 158 (19.77) | 26 (17.81) | −2.8/2.8 | 13.03; p = 0.005 | 0.074 |
| Open-world | 205 (37.96) | 430 (41.83) | 293 (36.67) | 37 (25.34) | −3.6/3.6 | 18.02; p < 0.001 | 0.086 |
| Sport and racing | 141 (26.11) | 372 (36.19) | 421 (52.69) | 89 (60.96) | 8.4/−8.4 | 144.00; p < 0.001 | 0.244 |
| Platform | |||||||
| Sony | 121 (22.41) | 340 (33.07) | 346 (43.30) | 77 (52.74) | −6.9/6.9 | 82.80; p < 0.001 | 0.185 |
| PC | 150 (27.78) | 324 (31.52) | 234 (29.29) | 39 (26.71) | 1.5/−1.5 | 2.97; p = 0.397 | 0.035 |
| Nintendo | 117 (21.67) | 228 (22.18) | 141 (17.65) | 19 (13.01) | −2.3/2.3 | 11.50; p = 0.009 | 0.069 |
| Tablet | 41 (7.59) | 108 (10.51) | 85 (10.64) | 9 (6.16) | −1.8/1.8 | 6.29; p = 0.098 | 0.051 |
| Mobile Phone | 276 (51.11) | 520 (50.58) | 356 (44.56) | 70 (47.95) | −2.8/2.8 | 8.62; p = 0.035 | 0.060 |
| Time of use (Weekdays) | |||||||
| None | 249 (46.11) | 419 (40.76) | 348 (43.55) | 68 (46.58) | −2.0/2.0 | 24.73; p = 0.420 | 0.101 |
| 1 h | 87 (16.11) | 179 (17.41) | 111 (13.89) | 27 (18.49) | −2.0/2.0 | ||
| 2 h | 52 (9.63) | 94 (9.14) | 78 (9.76) | 18 (12.33) | 1.1/−1.1 | ||
| 3 h | 34 (6.30) | 82 (7.98) | 69 (8.64) | 10 (6.85) | −1.5/1.5 | ||
| 4 h | 25 (4.63) | 46 (4.47) | 48 (6.01) | 7 (4.79) | 1.6/−1.6 | ||
| 5 h | 19 (3.52) | 51 (4.96) | 37 (4.63) | 3 (2.05) | −1.4/1.4 | ||
| 6 h | 27 (5.00) | 50 (4.86) | 28 (3.50) | 4 (2.74) | −1.4/1.4 | ||
| More than 6 h | 35 (6.48) | 79 (7.68) | 55 (6.88) | 6 (4.11) | −1.4/1.4 | ||
| Time of use (Weekend) | |||||||
| None | 188 (34.81) | 218 (21.21) | 158 (19.77) | 30 (20.55) | 6.9/−6.9 | 80.63; p < 0.001 | 0.181 |
| 1 h | 62 (11.48) | 133 (12.94) | 91 (11.39) | 19 (13.01) | 1.1/−1.1 | ||
| 2 h | 51 (9.44) | 130 (12.65) | 73 (9.14) | 17 (11.64) | 2.6/−2.6 | ||
| 3 h | 56 (10.37) | 91 (8.85) | 91 (11.39) | 13 (8.90) | 1.6/−1.6 | ||
| 4 h | 40 (7.41) | 84 (8.17) | 80 (10.01) | 15 (10.27) | 1.5/−1.5 | ||
| 5 h | 23 (4.26) | 78 (7.59) | 74 (9.26) | 13 (8.90) | −3.2/3.2 | ||
| 6 h | 41 (7.59) | 75 (7.30) | 69 (8.64) | 10 (6.85) | 1.1/−1.1 | ||
| More than 6 h | 24 (4.44) | 85 (8.27) | 70 (8.76) | 18 (12.33) | −3.3/3.3 | ||
| Game form | |||||||
| Online with friends | 214 (39.63) | 501 (48.74) | 467 (58.45) | 105 (71.92) | 5.6/−5.6 | 90.11; p < 0.001 | 0.207 |
| Online with unknown | 38 (7.04) | 101 (9.82) | 42 (5.26) | 5 (3.42) | 3.7/−3.7 | ||
| Offline alone | 151 (27.96) | 220 (21.40) | 118 (14.77) | 20 (13.70) | 6.0/−6.0 | ||
| Offline with friends | 23 (4.26) | 48 (4.67) | 38 (4.76) | 1 (0.68) | −2.4/2.4 | ||
| Money spent (month) | |||||||
| None | 439 (81.30) | 768 (74.71) | 591 (73.97) | 111 (76.03) | 3.3/−3.3 | 30.19; p = 0.036 | 0.112 |
| <EUR 10 | 51 (9.44) | 134 (13.04) | 101 (12.64) | 17 (11.64) | −2.2/2.2 | ||
| EUR 11–20 | 13 (2.41) | 31 (3.02) | 36 (4.51) | 10 (6.85) | 2.2/−2.2 | ||
| EUR 21–30 | 4 (0.74) | 24 (2.33) | 20 (2.50) | 1 (0.68) | −2.3/2.3 | ||
| EUR 31–50 | 3 (0.56) | 13 (1.26) | 6 (0.75) | 0 (0.00) | 1.8/−1.8 | ||
| EUR 51–100 | 3 (0.56) | 4 (0.39) | 3 (0.38) | 1 (0.68) | 0.5/−0.5 | ||
| >EUR 100 | 5 (0.93) | 3 (0.29) | 5 (0.63) | 1 (0.68) | −1.5/1.5 |
| Variable | Male (n = 1286) | Female (n = 1227) | t | 95% CI | d | p |
|---|---|---|---|---|---|---|
| CERV | ||||||
| Evasion | 14.68 ± 4.16 | 10.92 ± 3.54 | 24.21 | 3.45; 4.06 | 0.39 | <0.001 |
| Negative consequences | 13.74 ± 3.58 | 11.03 ± 2.77 | 21.05 | 2.46; 2.96 | 0.32 | <0.001 |
| Total | 28.42 ± 7.26 | 21.95 ± 6.02 | 24.14 | 5.94; 6.99 | 0.67 | <0.001 |
| Gaming addiction | 6.49 ± 4.79 | 2.87 ± 4.16 | 20.09 | 3.27;3.98 | 0.45 | <0.001 |
| VMQ | ||||||
| Recreation | 10.13 ± 2.52 | 8.73 ± 2.98 | 10.72 | 1.15; 1.67 | 0.27 | <0.001 |
| Competition | 8.26 ± 3.08 | 6.03 ± 3.23 | 14.54 | 1.92; 2.52 | 0.31 | <0.001 |
| Cognitive development | 5.52 ± 3.24 | 3.58 ± 2.91 | 12.79 | 1.65; 2.25 | 0.31 | <0.001 |
| Coping | 6.01 ± 3.65 | 3.61 ± 2.68 | 18.62 | 2.15; 2.65 | 0.32 | <0.001 |
| Social interaction | 5.81 ± 3.25 | 3.60 ± 3.07 | 14.28 | 1.91; 2.52 | 0.32 | <0.001 |
| Violent reward | 4.87 ± 3.70 | 2.47 ± 3.24 | 13.94 | 2.07; 2.74 | 0.35 | <0.001 |
| Customization | 7.20 ± 3.73 | 6.92 ± 3.77 | 1.53 | −0.08; 0.64 | 0.04 | 0.132 |
| Fantasy | 6.45 ± 3.66 | 5.48 ± 3.86 | 5.30 | 0.61; 1.32 | 0.37 | <0.001 |
| Mood repair | 25.77 ± 7.00 | 23.48 ± 7.11 | 8.10 | 1.74; 2.85 | 0.71 | <0.001 |
| Passion scale | ||||||
| Harmonious | 9.71 ± 2.91 | 7.50 ± 2.18 | 21.43 | 2.01; 2.41 | 0.26 | <0.001 |
| Obsessive | 10.49 ± 3.02 | 7.96 ± 2.49 | 22.71 | 2.30; 2.74 | 0.28 | <0.001 |
| SDQ | ||||||
| Emotional symptoms | 12.43 ± 4.23 | 16.15 ± 4.63 | −20.99 | −4.07; −3.37 | 0.44 | <0.001 |
| Conduct problems | 12.33 ± 3.01 | 12.27 ± 2.98 | 0.55 | −0.17; 0.30 | 0.03 | 0.581 |
| Peer relationship problem | 15.57 ± 2.57 | 15.65 ± 2.56 | −0.77 | −0.28; 0.12 | 0.02 | 0.440 |
| Hyperactivity/inattention | 16.30 ± 3.13 | 16.16 ± 2.81 | 1.20 | −0.09; 0.38 | 0.03 | 0.234 |
| Prosocial behavior | 20.63 ± 3.33 | 21.66 ± 3.05 | −8.03 | −1.28; −0.78 | 0.32 | <0.001 |
| Physical Activity Level | Academic Performance | Time Spent (Weekdays) | Time Spent (Weekend) | Money Spent (Month) | |
|---|---|---|---|---|---|
| CERV—Evasion | 0.067; p < 0.001 | −0.152; p < 0.001 | 0.546; p < 0.001 | 0.709; p < 0.001 | 0.354; p < 0.001 |
| CERV—Negative consequences | 0.057; p = 0.004 | −0.194; p < 0.001 | 0.489; p < 0.001 | 0.640; p < 0.001 | 0.361; p < 0.001 |
| CERV—Total | 0.066; p = 0.001 | −0.179; p < 0.001 | 0.546; p < 0.001 | 0.711; p < 0.001 | 0.376; p < 0.001 |
| Gaming addiction | 0.057; p = 0.004 | −0.170; p < 0.001 | 0.531; p < 0.001 | 0.666; p < 0.001 | 0.352; p < 0.001 |
| VMQ—Recreation | 0.078; p < 0.001 | 0.013; p = 0.591 | 0.238; p < 0.001 | 0.464; p < 0.001 | 0.177; p < 0.001 |
| VMQ—Competition | 0.207; p < 0.001 | −0.058; p = 0.016 | 0.267; p < 0.001 | 0.395; p < 0.001 | 0.217; p < 0.001 |
| VMQ—Cognitive development | 0.103; p < 0.001 | −0.012; p = 0.616 | 0.275; p < 0.001 | 0.401; p < 0.001 | 0.214; p < 0.001 |
| VMQ—Coping | 0.058; p = 0.004 | −0.102; p < 0.001 | 0.380; p < 0.001 | 0.535; p < 0.001 | 0.286; p < 0.001 |
| VMQ—Social interaction | 0.114; p < 0.001 | −0.133; p < 0.001 | 0.295; p < 0.001 | 0.496; p < 0.001 | 0.294; p < 0.001 |
| VMQ—Violent reward | 0.146; p < 0.001 | −0.158; p < 0.001 | 0.244; p < 0.001 | 0.347; p < 0.001 | 0.237; p < 0.001 |
| VMQ—Customization | −0.055; p = 0.019 | 0.040; p = 0.093 | 0.188; p < 0.001 | 0.226; p < 0.001 | 0.092; p < 0.001 |
| VMQ—Fantasy | −0.023; p = 0.316 | 0.001; p = 0.952 | 0.218; p < 0.001 | 0.314; p < 0.001 | 0.143; p < 0.001 |
| Mood repair | 0.157; p < 0.001 | 0.101; p < 0.001 | 0.029; p = 0.145 | 0.083; p < 0.001 | 0.034; p = 0.100 |
| Passion scale—Harmonious | 0.047; p = 0.018 | −0.205; p < 0.001 | 0.510; p < 0.001 | 0.649; p < 0.001 | 0.336; p < 0.001 |
| Passion scale—Obsessive | 0.075; p < 0.001 | −0.154; p < 0.001 | 0.520; p < 0.001 | 0.673; p < 0.001 | 0.348; p < 0.001 |
| SDQ—Emotional symptoms | −0.206; p < 0.001 | −0.093; p < 0.001 | −0.088; p < 0.001 | −0.187; p < 0.001 | −0.064; p = 0.002 |
| SDQ—Conduct problems | 0.006; p = 0.751 | −0.148; p < 0.001 | 0.078; p < 0.001 | 0.079; p < 0.001 | 0.071; p < 0.001 |
| SDQ—Peer relationship problems | −0.049; p = 0.014 | −0.072; p < 0.001 | 0.060; p = 0.003 | 0.008; p = 0.709 | −0.016; p = 0.430 |
| SDQ—Hyperactivity/inattention | 0.104; p < 0.001 | −0.069; p < 0.001 | −0.008; p = 0.707 | −0.007; p = 0.713 | −0.010; p = 0.617 |
| SDQ—Prosocial behavior | 0.052; p = 0.010 | 0.133; p < 0.001 | −0.150; p < 0.001 | −0.151; p < 0.001 | −0.145; p < 0.001 |
| Analysis | R2 | p | Independent Variables Included | Standardized Coefficients (B) | p |
|---|---|---|---|---|---|
| CERV—Evasion | |||||
| Model 1 | 0.519 | <0.001 | Time spent (weekend) | 0.565 | <0.001 |
| Time spent (weekdays) | 0.157 | <0.001 | |||
| Money spent (month) | 0.089 | <0.001 | |||
| Academic performance | −0.038 | 0.010 | |||
| CERV—Negative consequences | |||||
| Model 1 | 0.441 | <0.001 | Time spent (weekend) | 0.496 | <0.001 |
| Money spent (month) | 0.124 | <0.001 | |||
| Time spent (weekdays) | 0.127 | <0.001 | |||
| Academic performance | −0.094 | <0.001 | |||
| CERV—Total | |||||
| Model 1 | 0.532 | <0.001 | Time spent (weekend) | 0.562 | <0.001 |
| Time spent (weekdays) | 0.151 | <0.001 | |||
| Money spent (month) | 0.110 | <0.001 | |||
| Academic performance | −0.067 | <0.001 | |||
| Gaming addiction | |||||
| Model 1 | 0.471 | <0.001 | Time spent (weekend) | 0.502 | <0.001 |
| Time spent (weekdays) | 0.176 | <0.001 | |||
| Money spent (month) | 0.099 | <0.001 | |||
| Academic performance | −0.069 | <0.001 | |||
| VMQ—Recreation | |||||
| Model 1 | 0.228 | <0.001 | Time spent (weekend) | 0.474 | <0.001 |
| Academic performance | 0.070 | 0.001 | |||
| Physical activity level | 0.049 | 0.023 | |||
| VMQ—Competition | |||||
| Model 1 | 0.207 | <0.001 | Time spent (weekend) | 0.294 | <0.001 |
| Physical activity level | 0.203 | <0.001 | |||
| Time spent (weekdays) | 0.113 | <0.001 | |||
| Money spent (month) | 0.087 | <0.001 | |||
| VMQ—Cognitive development | |||||
| Model 1 | 0.185 | <0.001 | Time spent (weekend) | 0.321 | <0.001 |
| Time spent (weekdays) | 0.107 | <0.001 | |||
| Physical activity level | 0.089 | <0.001 | |||
| Money spent (month) | 0.083 | <0.001 | |||
| VMQ—Coping | |||||
| Model 1 | 0.299 | <0.001 | Time spent (weekend) | 0.457 | <0.001 |
| Money spent (month) | 0.100 | <0.001 | |||
| Time spent (weekdays) | 0.061 | 0.007 | |||
| VMQ—Social interaction | |||||
| Model 1 | 0.277 | <0.001 | Time spent (weekend) | 0.402 | <0.001 |
| Money spent (month) | 0.137 | <0.001 | |||
| Physical activity level | 0.107 | <0.001 | |||
| Time spent (weekdays) | 0.058 | 0.017 | |||
| Academic performance | −0.082 | <0.001 | |||
| VMQ—Violent reward | |||||
| Model 1 | 0.174 | <0.001 | Time spent (weekend) | 0.239 | <0.001 |
| Physical activity level | 0.144 | <0.001 | |||
| Money spent (month) | 0.128 | <0.001 | |||
| Time spent (weekdays) | 0.089 | <0.001 | |||
| Academic performance | −0.124 | <0.001 | |||
| VMQ—Customization | |||||
| Model 1 | 0.070 | <0.001 | Time spent (weekend) | 0.189 | <0.001 |
| Time spent (weekdays) | 0.100 | <0.001 | |||
| Academic performance | 0.081 | <0.001 | |||
| Physical activity level | −0.069 | 0.004 | |||
| VMQ—Fantasy | |||||
| Model 1 | 0.110 | <0.001 | Time spent (weekend) | 0.271 | <0.001 |
| Time spent (weekdays) | 0.081 | 0.003 | |||
| Academic performance | 0.052 | 0.025 | |||
| Mood repair | |||||
| Model 1 | 0.040 | <0.001 | Physical activity level | 0.141 | <0.001 |
| Academic performance | 0.095 | <0.001 | |||
| Time spent (weekend) | 0.093 | <0.001 | |||
| Passion scale—Harmonious | |||||
| Model 1 | 0.451 | <0.001 | Time spent (weekend) | 0.500 | <0.001 |
| Time spent (weekdays) | 0.156 | <0.001 | |||
| Money spent (month) | 0.086 | <0.001 | |||
| Academic performance | −0.102 | <0.001 | |||
| Passion scale—Obsessive | |||||
| Model 1 | 0.472 | <0.001 | Time spent (weekend) | 0.527 | <0.001 |
| Time spent (weekdays) | 0.153 | <0.001 | |||
| Money spent (month) | 0.097 | <0.001 | |||
| Academic performance | −0.047 | 0.003 | |||
| SDQ—Emotional symptoms | |||||
| Model 1 | 0.077 | <0.001 | Academic performance | −0.102 | <0.001 |
| Physical activity level | −0.174 | <0.001 | |||
| Time spent (weekend) | −0.188 | <0.001 | |||
| SDQ—Conduct problems | |||||
| Model 1 | 0.027 | <0.001 | Academic performance | −0.142 | <0.001 |
| SDQ—Peer relationship problems | |||||
| Model 1 | 0.010 | <0.001 | Time spent (weekdays) | 0.087 | 0.001 |
| Academic performance | −0.056 | 0.008 | |||
| SDQ—Hyperactivity/inattention | |||||
| Model 1 | 0.021 | <0.001 | Physical activity level | 0.127 | <0.001 |
| Academic performance | −0.089 | <0.001 | |||
| SDQ—Prosocial behavior | |||||
| Model 1 | 0.049 | <0.001 | Academic performance | 0.103 | <0.001 |
| Physical activity level | 0.065 | 0.002 | |||
| Time spent (weekend) | −0.074 | 0.006 | |||
| Money spent (month) | −0.089 | <0.001 | |||
Disclaimer/Publisher’s Note: The statements, opinions and data contained in all publications are solely those of the individual author(s) and contributor(s) and not of MDPI and/or the editor(s). MDPI and/or the editor(s) disclaim responsibility for any injury to people or property resulting from any ideas, methods, instructions or products referred to in the content. |
© 2024 by the authors. Licensee MDPI, Basel, Switzerland. This article is an open access article distributed under the terms and conditions of the Creative Commons Attribution (CC BY) license (https://creativecommons.org/licenses/by/4.0/).
Share and Cite
Isorna-Folgar, M.; Mateo-Orcajada, A.; Failde-Garrido, J.M.; Dapia-Conde, M.D.; Vaquero-Cristóbal, R. Influence of Gender, Parental Control, Academic Performance and Physical Activity Level on the Characteristics of Video Game Use and Associated Psychosocial Problems in Adolescents. Behav. Sci. 2024, 14, 1204. https://doi.org/10.3390/bs14121204
Isorna-Folgar M, Mateo-Orcajada A, Failde-Garrido JM, Dapia-Conde MD, Vaquero-Cristóbal R. Influence of Gender, Parental Control, Academic Performance and Physical Activity Level on the Characteristics of Video Game Use and Associated Psychosocial Problems in Adolescents. Behavioral Sciences. 2024; 14(12):1204. https://doi.org/10.3390/bs14121204
Chicago/Turabian StyleIsorna-Folgar, Manuel, Adrián Mateo-Orcajada, José María Failde-Garrido, María Dolores Dapia-Conde, and Raquel Vaquero-Cristóbal. 2024. "Influence of Gender, Parental Control, Academic Performance and Physical Activity Level on the Characteristics of Video Game Use and Associated Psychosocial Problems in Adolescents" Behavioral Sciences 14, no. 12: 1204. https://doi.org/10.3390/bs14121204
APA StyleIsorna-Folgar, M., Mateo-Orcajada, A., Failde-Garrido, J. M., Dapia-Conde, M. D., & Vaquero-Cristóbal, R. (2024). Influence of Gender, Parental Control, Academic Performance and Physical Activity Level on the Characteristics of Video Game Use and Associated Psychosocial Problems in Adolescents. Behavioral Sciences, 14(12), 1204. https://doi.org/10.3390/bs14121204

