Milk Yield, Milk Composition, and the Nutritive Value of Feed Accessed Varies with Milking Order for Pasture-Based Dairy Cattle
Simple Summary
Abstract
1. Introduction
2. Materials and Methods
2.1. Experiment 1
2.2. Experiment 2
2.3. Statistical Analysis
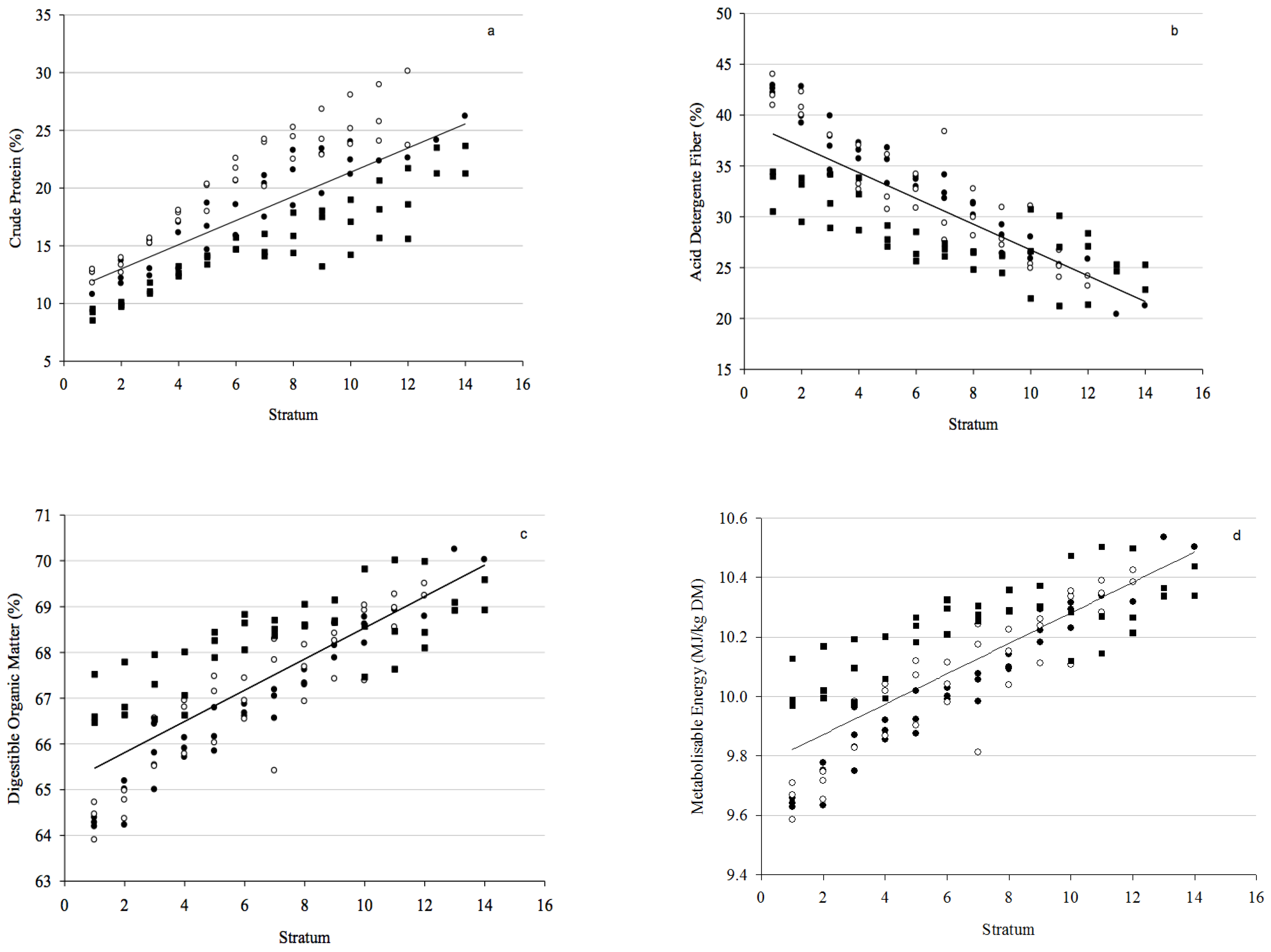
3. Results
3.1. Experiment 1
3.2. Experiment 2
4. Discussion
5. Conclusions
Author Contributions
Acknowledgments
Conflicts of Interest
References
- Doyle, P.T.; Stockdale, C.R. Dairy farm management systems: Seasonal, pasture-based, dairy cow breeds. In Encyclopaedia of Dairy Sciences, 2nd ed.; Fuquay, J.W., Fox, P.F., McSweeney, P.L.H., Eds.; Academic Press: Amsterdam, The Netherlands, 2011; Volume 2, pp. 29–37. [Google Scholar]
- Wade, M.H.; Carvalho, P.F. Defoliation patterns and herbage intake in grazed pastures. In Ecophysiology of Grasslands and the Ecology of Grazing; CAB International: Oxford, UK, 2000; pp. 233–248. [Google Scholar]
- Jouven, M.; Carrère, P.; Baumont, R. Model predicting dynamics of biomass, structure and digestibility of herbage in managed permanent pastures. 2. Model evaluation. Grass Forage Sci. 2006, 61, 125–133. [Google Scholar] [CrossRef]
- Delagarde, R.; Peyraud, J.L.; Delaby, L.; Faverdin, P. Vertical distribution of biomass, chemical composition and pepsin-cellulase digestibility in a perennial ryegrass sward: Interaction with month of year, regrowth age and time of day. Anim. Feed Sci. Technol. 2000, 84, 49–68. [Google Scholar] [CrossRef]
- Scott, B.A.; Clark, C.E.F.; Camacho, A.; Golder, H.; Molfino, J.; Kerrisk, K.L.; Lean, I.; García, S.C.; Chaves, A.V.; Hall, E. The nutritive value of pasture ingested by dairy cows varies within a herd. In Proceedings of the 6th Australasian Dairy Science Symposium, Hamilton, New Zealand, 19–21 November 2014; pp. 343–346. [Google Scholar]
- Barret, P.B.; Laidlaw, A.S.; Mayne, C.S.; Christie, H. Pattern of herbage intake rate and bite dimensions of rotationally grazed dairy cows as sward height declines. Grass Forage Sci. 2001, 56, 362–373. [Google Scholar] [CrossRef]
- Botheras, N. The Behaviour and Welfare of Grazing Dairy Cows (Bos Taurus): Effects of Time Away from Pasture and Position in the Milking Order. Ph.D. Thesis, University of Melbourne, Melbourne, Australia, 2006. [Google Scholar]
- Beggs, D.S.; Jongman, E.C.; Hemsworth, P.H.; Fisher, A.D. Short communication: Milking order consistency of dairy cows in large Australian herds. J. Dairy Sci. 2018, 101, 603–608. [Google Scholar] [CrossRef] [PubMed]
- Clark, C.E.F.; Kaur, R.; Millapan, L.O.; Golder, H.M.; Thomson, P.C.; Horadagoda, A.; Islam, R.M.; Kerrisk, K.; Garcia, S.C. The effect of temperate or tropical pasture grazing state and grain-based concentrate allocation on dairy cattle production and behavior. J. Dairy Sci. 2018, 101, 5454–5465. [Google Scholar] [CrossRef] [PubMed]
- Rathore, A.K. Order of cow entry at milking and its relationships with milk yield and consistency of the order. Appl. Anim. Ethol. 1982, 8, 45–52. [Google Scholar] [CrossRef]
- Polikarpus, A.; Kaart, T.; Mootse, H.; De Rosa, G.; Arney, D. Influences of various factors on cows’ entrance order into the milking parlour. Appl. Anim. Behav. Sci. 2015, 166, 20–24. [Google Scholar] [CrossRef]
- Grasso, F.; De Rosa, G.; Napolitano, F.; Di Francia, A.; Bordi, A. Entrance order and side preference of dairy cows in the milking parlour. Ital. J. Anim. Sci. 2007, 6, 187–194. [Google Scholar] [CrossRef]
- Berry, D.P.; McCarthy, J. Genetic and non-genetic factors associated with milking order in lactating dairy cows. Appl. Anim. Behav. Sci. 2012, 136, 15–19. [Google Scholar] [CrossRef]
- Ketelaars, J.J.M.H.; Tolkamp, B.J. Oxygen efficiency and the control of energy flow in animals and humans. J. Anim. Sci. 1996, 74, 3036–3051. [Google Scholar] [CrossRef] [PubMed]
- Brink, G.E.; Casler, M.D.; Hall, M.B. Canopy Structure and Neutral Detergent Fiber Differences among Temperate Perennial Grasses. Crop Sci. 2007, 47, 2182–2189. [Google Scholar] [CrossRef]
- Holderbaum, J.F.; Sollenberger, L.E.; Quesenberry, K.H.; Moore, J.E.; Jones, C.S., Jr. Canopy structure and nutritive value of rotationally-grazed limpograss pastures during mid-summer to early autumn. Agron. J. 1992, 84, 11–16. [Google Scholar] [CrossRef]
- Duru, M. Effect of nitrogen fertiliser rates and defoliation regimes on the vertical structure and composition (crude protein content and digestibility) of a grass sward. J. Sci. Food Agric. 2003, 83, 1469–1479. [Google Scholar] [CrossRef]
- Griggs, T.C.; MacAdam, J.W.; Mayland, H.F.; Burns, J.C. Temporal and vertical distribution of nonstructural carbohydrate, fiber, protein, and digestibility levels in orchardgrass swards. Agron. J. 2007, 99, 755–763. [Google Scholar] [CrossRef]
- Burns, J.C.; Pond, K.R.; Fisher, D.S. Effects of grass species on grazing steers: II. Dry matter intake and digesta kinetics. J. Anim. Sci. 1991, 69, 1199–1204. [Google Scholar] [CrossRef] [PubMed]
- Fisher, D.S.; Burns, J.C.; Pond, K.R.; Mochrie, R.D.; Timothy, D.H. Effects of grass species on grazing steers: 1. Diet composition and ingestive mastication. J. Anim. Sci. 1991, 69, 1188–1198. [Google Scholar] [CrossRef] [PubMed]
- Nave, R.L.G.; Sulc, R.M.; Barker, D.J.; St-Pierre, N. Changes in Forage Nutritive Value among Vertical Strata of a Cool-Season Grass Canopy. Crop Sci. 2014, 54, 2837. [Google Scholar] [CrossRef]
- Fisher, A.D.; Verkerk, G.A.; Morrow, C.J.; Matthew, L.R. The effects of feed restriction and lying deprivation on pituitary-adrenal axis regulation in lactating cows. Livest. Prod. Sci. 2002, 73, 255–263. [Google Scholar] [CrossRef]
- Coulon, J.B.; Pradel, P.; Cochard, T.; Poutrel, B. Effect of extreme walking conditions for dairy cows on milk yield, chemical composition, and somatic cell count. J. Dairy Sci. 1998, 81, 994–1003. [Google Scholar] [CrossRef]
- Chaplin, S.J.; Ternent, H.E.; Offer, J.E.; Logue, D.N.; Knight, C.H. A comparison of hoof lesions and behaviour in pregnant and early lactation heifers at housing. Vet. J. 2000, 159, 147–153. [Google Scholar] [CrossRef]
- Galindo, F.; Broom, D.M. The relationships between social behaviour of dairy cows and the occurrence of lameness in three herds. Res. Vet. Sci. 2000, 69, 75–79. [Google Scholar] [CrossRef] [PubMed]
- Hassall, S.A.; Ward, W.R.; Murray, R.D. Effects of lameness on the behaviour of cows during the summer. Vet. Rec. 1993, 132, 578–580. [Google Scholar] [CrossRef] [PubMed]
- Barkema, H.W.; Westrik, J.D.; Van Keulen, K.A.S.; Schukken, Y.H.; Brand, A. The effects of lameness on reproductive performance, milk production and culling in Dutch dairy farms. Prev. Vet. Med. 1994, 20, 249–259. [Google Scholar] [CrossRef]
- Melendez, P.; Bartolome, J.; Archbald, L.F.; Donovan, A. The association between lameness, ovarian cysts and fertility in lactating dairy cows. Theriogenology 2003, 59, 927–937. [Google Scholar] [CrossRef]
- Pérez-Ramírez, E.; Peyraud, J.L.; Delagarde, R. Restricting daily time at pasture at low and high pasture allowance: Effects on pasture intake and behavioral adaptation of lactating dairy cows. J. Dairy Sci. 2009, 92, 3331–3340. [Google Scholar] [CrossRef] [PubMed]
- Clark, C.E.F.; McLeod, K.L.M.; Glassey, C.B.; Gregorini, P.; Costall, D.A.; Betteridge, K.; Jago, J.G. Capturing urine while maintaining pasture intake, milk production, and animal welfare of dairy cows in early and late lactation. J. Dairy Sci. 2010, 93, 2280–2286. [Google Scholar] [CrossRef] [PubMed]
- Kennedy, E.; McEvoy, M.; Murphy, J.P.; O’Donovan, M. Effect of restricted access time to pasture on dairy cow milk production, grazing behavior, and dry matter intake. J. Dairy Sci. 2009, 92, 168–176. [Google Scholar] [CrossRef] [PubMed]
- Jung, H.G.; Allen, M.S. Characteristics of plant cell walls affecting intake and digestibility of forages by ruminants. J. Anim. Sci. 1995, 73, 2774–2790. [Google Scholar] [CrossRef] [PubMed]
- Vazquez, O.P.; Smith, T.R. Factors affecting pasture intake and total dry matter intake in grazing dairy cows. J. Dairy Sci. 2000, 83, 2301–2309. [Google Scholar] [CrossRef]
- NRC. Nutrient Requirements of Dairy Cattle, 6th ed.; National Academic Press: Washington, DC, USA, 1989. [Google Scholar]

| Farm | Number Cows | DIM | Milk Yield (L/cow/day) | Body Weight (kg/cow) 2 | Grain-Based Concentrate (kg/cow/day) 2 | |||||
|---|---|---|---|---|---|---|---|---|---|---|
| Mean | SD 1 | Mean | SD | Mean | SD | Mean | SD | Mean | SD | |
| 1 | 451 | 40 | 192 | 97 | 27.1 | 8 | 555 | 88 | 10 | 3 |
| 2 | 519 | 50 | 227 | 119 | 21.2 | 6 | - | - | 5 | 1 |
| 3 | 704 | 33 | 178 | 127 | 24.6 | 8 | - | - | 7 | 2 |
| 4 | 770 | 41 | 187 | 121 | 26.4 | 8 | - | - | 7 | 2 |
| 5 | 497 | 5 | 253 | 35 | 13.0 | 3 | - | - | 2 | 1 |
| 6 | 774 | 36 | 278 | 186 | 15.5 | 5 | 475 | 77 | 4 | 3 |
| Farm | Number of Cows | Milk Yield (L/cow/day) | Days in Milk | Grain-Based Concentrate (kg/cow/day) | |||
|---|---|---|---|---|---|---|---|
| Mean | SD 1 | Mean | SD | Mean | SD | ||
| 1 | 805 | 28.7 | 12.9 | 128 | 127 | 4.3 | 0.6 |
| 2 | 708 | 23.7 | 12.4 | 311 | 172 | 1.9 | 1.1 |
| 3 | 724 | 22.9 | 9.8 | 137 | 117 | 4.3 | 0.7 |
| Farm | MYdif (%) | MYdif (L/cow/d) | Number of Cattle | Milking Throughput (cows/h) | Milking Duration (h/d) | |||
|---|---|---|---|---|---|---|---|---|
| Mean | SD 1 | Mean | SD | Mean | SD | |||
| 1 | 17 | –5.0 | 476 | 115 | 210 | 38 | 2.3 | 0.9 |
| 2 | 19 | –3.9 | 568 | 172 | 212 | 40 | 2.7 | 0.9 |
| 3 | 29 | –7.5 | 700 | 111 | 231 | 42 | 3.2 | 0.9 |
| 4 | 15 | –4.1 | 776 | 118 | 178 | 29 | 4.5 | 0.9 |
| 5 | 14 | –2.3 | 618 | 82 | 272 | 47 | 2.3 | 0.6 |
| 6 | 16 | –3.4 | 763 | 210 | 232 | 55 | 3.4 | 1.2 |
| Variable | Farm 1 | Farm 2 | Farm 3 | |||||||||
|---|---|---|---|---|---|---|---|---|---|---|---|---|
| First | Last | SE 1 | p Value | First | Last | SE | p Value | First | Last | SE | p Value | |
| DIM (d) | 300 | 301 | 16.3 | NS | 106 | 107 | 8.4 | NS | 218 | 218 | 5.2 | NS |
| Number of lactations | 1.3 | 1.3 | 0.46 | NS | 2.1 | 2.3 | 1.38 | NS | 3.0 | 2.5 | 1.84 | NS |
| MY (L/d) | 24.6 | 22.8 | 0.54 | * | 30.4 | 27.3 | 0.65 | * | 23.1 | 23.2 | 0.68 | NS |
| Fat (%) | 4.2 | 4.4 | 0.08 | NS | 3.7 | 3.8 | 0.07 | NS | 3.7 | 3.5 | 0.06 | * |
| Protein (%) | 3.7 | 3.7 | 0.04 | NS | 3.8 | 3.9 | 0.04 | * | 3.7 | 3.6 | 0.03 | * |
| Somatic Cell Count (×1000) | 54.7 | 70.5 | 12.42 | NS | 82.0 | 100.6 | 22.88 | NS | 69.2 | 70.6 | 16.48 | NS |
| SNF (%) 2 | 9.4 | 9.5 | 0.04 | NS | 9.5 | 9.8 | 0.05 | * | 9.6 | 9.5 | 0.03 | NS |
| Lactose (%) | 5.1 | 5.2 | 0.02 | * | 5.0 | 5.0 | 0.02 | † | 5.1 | 5.1 | 0.02 | NS |
| Fat yield (kg/d) | 1.0 | 1.0 | 0.02 | NS | 1.1 | 1.0 | 0.02 | † | 0.9 | 0.8 | 0.03 | NS |
| Protein yield (kg/d) | 0.9 | 0.8 | 0.02 | * | 1.1 | 1.1 | 0.02 | NS | 0.8 | 0.8 | 0.02 | NS |
| SNF yield (kg/d) | 2.3 | 2.2 | 0.05 | * | 2.9 | 2.7 | 0.06 | * | 2.2 | 2.2 | 0.06 | NS |
| Lactose yield (kg/d) | 1.3 | 1.2 | 0.03 | † | 1.5 | 1.4 | 0.03 | * | 1.2 | 1.2 | 8.43 | NS |
| Pasture height (cm) | 20.9 | 18.4 | 1.6 | NS | 22.7 | 15.7 | 1.6 | * | 26.9 | 20.4 | 1.6 | * |
| Pasture stratum | 11.0 | 10.0 | 0.8 | NS | 12.0 | 8.0 | 0.8 | * | 14.0 | 11.0 | 0.8 | * |
| Pasture crude protein (%) | 23.4 | 21.9 | 0.9 | NS | 28.7 | 23.5 | 0.9 | * | 21.2 | 18.1 | 0.9 | * |
| ADF (%) 3 | 25.4 | 27.6 | 1.2 | NS | 23.6 | 29.4 | 1.2 | * | 23.6 | 25.8 | 1.2 | NS |
| OMD (%) 4 | 68.9 | 68.3 | 0.3 | NS | 69.4 | 67.8 | 0.3 | * | 69.4 | 68.8 | 0.3 | NS |
| ME (MJ/kg/DM) 5 | 10.3 | 10.2 | 0.0 | NS | 10.4 | 10.2 | 0.0 | * | 10.5 | 10.4 | 0.0 | NS |
| Variable | Farm 1 | Farm 2 | Farm 3 | SE1 | p Value |
|---|---|---|---|---|---|
| Ryegrass (%) | 89.6 a | 85.5 a | 71.7 b | 1.1 | * |
| Clover (%) | 5.8 b | 10.1 ab | 16.1 a | 1.1 | * |
| Other species (%) | 4.6 b | 4.3 b | 12.3 a | 1.1 | * |
| Area grazed morning paddock (ha) | 4.2 a | 1.1 b | 5.1 a | 0.3 | * |
| Pre-grazing height (cm) | 20.9 b | 22.7 ab | 26.9 a | 1.4 | † |
| Post-grazing height (cm) | 11.5 | 10.5 | 12.2 | 2.0 | NS |
| Pre-grazing mass (kg/DM/ha) | 4022 b | 4162 b | 5641 a | 389 | * |
| Post-grazing mass (kg/DM/ha) | 2317 b | 2729 ab | 3688 a | 408 | * |
| Herbage allowance (kg DM/cow) | 34.1 a | 11.9 b | 40.1 a | 3.8 | * |
| Pasture DMI2 (kg/DM/cow) | 10.2 ab | 4.1 b | 13.9 a | 1.8 | * |
| Duration milking (h) | 2.2 b | 1.5 c | 3.0 a | 0.1 | * |
| Grain (kg/cow/d) | 1.9 b | 4.2 a | 4.3 a | 0.03 | * |
| Grain crude protein (%) | 5.9 | 8.4 | 11.1 | - | - |
© 2019 by the authors. Licensee MDPI, Basel, Switzerland. This article is an open access article distributed under the terms and conditions of the Creative Commons Attribution (CC BY) license (http://creativecommons.org/licenses/by/4.0/).
Share and Cite
Dias, K.; Garcia, S.; Islam, M.; Clark, C. Milk Yield, Milk Composition, and the Nutritive Value of Feed Accessed Varies with Milking Order for Pasture-Based Dairy Cattle. Animals 2019, 9, 60. https://doi.org/10.3390/ani9020060
Dias K, Garcia S, Islam M, Clark C. Milk Yield, Milk Composition, and the Nutritive Value of Feed Accessed Varies with Milking Order for Pasture-Based Dairy Cattle. Animals. 2019; 9(2):60. https://doi.org/10.3390/ani9020060
Chicago/Turabian StyleDias, Kamila, Sergio Garcia, Mohammed (Rafiq) Islam, and Cameron Clark. 2019. "Milk Yield, Milk Composition, and the Nutritive Value of Feed Accessed Varies with Milking Order for Pasture-Based Dairy Cattle" Animals 9, no. 2: 60. https://doi.org/10.3390/ani9020060
APA StyleDias, K., Garcia, S., Islam, M., & Clark, C. (2019). Milk Yield, Milk Composition, and the Nutritive Value of Feed Accessed Varies with Milking Order for Pasture-Based Dairy Cattle. Animals, 9(2), 60. https://doi.org/10.3390/ani9020060

