Comparing Social Media Observations of Animals During a Solar Eclipse to Published Research
Simple Summary
Abstract
1. Introduction
2. Methods
3. Results
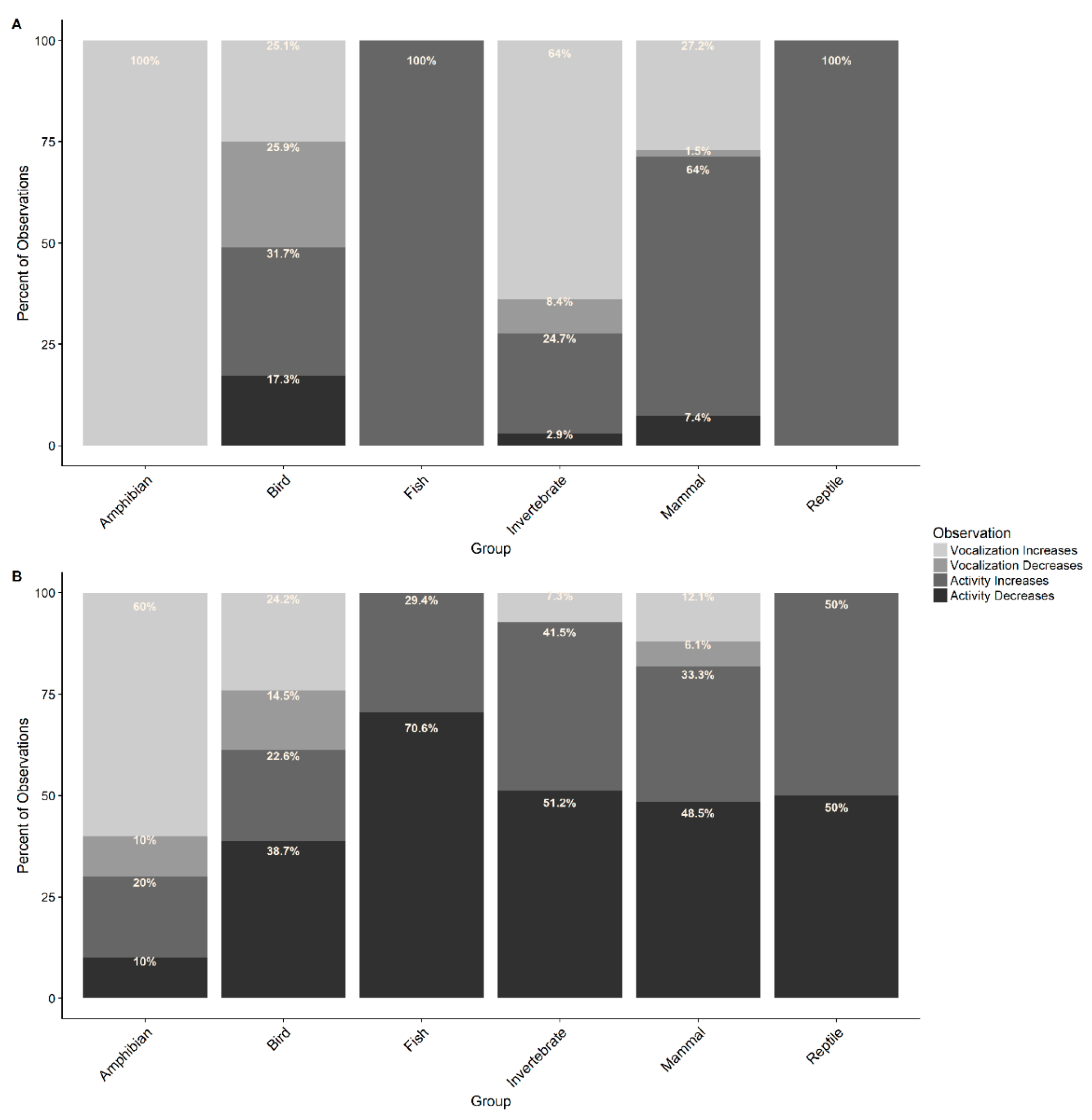
3.1. Social Media: Anecdotal Observations of Behavior during the 2017 Eclipse
3.2. Scientific Literature: Published Observations of Behavior from Previous Eclipses
4. Discussion
Recommendations for Future Research
Author Contributions
Funding
Conflicts of Interest
References
- Aschoff, J. (Ed.) Handbook of Behavioral Neurobiology; Volume 4, Biological Rhythms; Plenum Press: New York, NY, USA, 1981. [Google Scholar]
- Rusak, B.; Zucker, I. Biological rhythms and animal behavior. Annu. Rev. Psychol. 1975, 26, 137–171. [Google Scholar] [CrossRef] [PubMed]
- Kalmus, H. Comparative physiology: Navigation by animals. Annu. Rev. Psychol. 1964, 26, 109–130. [Google Scholar] [CrossRef] [PubMed]
- Burt, S. Meteorological impacts of the total solar eclipse of 21 August 2017. Weather 2018, 73, 90–95. [Google Scholar] [CrossRef]
- Pasachoff, J.M. Scientific observations at total solar eclipses. Res. Astron. Astrophys. 2009, 9, 613–634. [Google Scholar] [CrossRef]
- Hughes, S.; Wimmer, J.; Towsey, M.; Fahmi, M.; Winslett, G.; Dubler, G.; Le Prou, A.; Loose, D. The greatest shadow on Earth. Phys. Edu. 2013, 49, 88–94. [Google Scholar] [CrossRef]
- Wheeler, W.M.; MacCoy, C.V.; Griscom, L.; Allen, G.M.; Coolidge, H.J., Jr. Observations on the behavior of animals during the total solar eclipse of August 31, 1932. Proc. Am. Acad. Arts Sci. USA 1935, 70, 33–70. [Google Scholar] [CrossRef]
- MacCarone, A.D. Directions of foraging flights by wading birds during an annular eclipse. Colonial Waterbirds 1997, 20, 537–539. [Google Scholar] [CrossRef]
- Tramar, E.J. Bird behavior during a total solar eclipse. Wilson Bull. 2000, 112, 431–432. [Google Scholar] [CrossRef]
- Roonwal, M.L. Behaviour of the rock bees, Apis dorsata Fabr., during a partial solar eclipse in India. Proc. Natl. Acad. Sci. India Sect. B 1957, 22, 281–286. [Google Scholar]
- Delye, G. Observations sur le comportement de la fourmi Cataglyphis bicolor (Fabricius) lors d’une eclipse totale de soleil. Insectes Sociaux. 1974, 21, 369–380. [Google Scholar] [CrossRef]
- Sanborn, A.F.; Phillips, P.K. Observations of the effect of a partial solar eclipse on calling in some desert cicadas (Homoptera: Cicadidae). Fla. Entomol. 1992, 75, 285–287. [Google Scholar] [CrossRef]
- Uetz, G.W.; Hieber, C.S.; Jakob, E.M.; Wilcox, R.S.; Kroeger, D.; McCrate, A.; Mostrom, A.M. Behavior of colonial orb-weaving spiders during a solar eclipse. Ethology 1994, 96, 24–32. [Google Scholar] [CrossRef]
- Ugolini, A.; Castellini, C.; Tiribilli, B. The orientation of the sandhopper Talitrus saltator during a partial solar eclipse. J. Comp. Physiol. A 2004, 190, 855–859. [Google Scholar] [CrossRef] [PubMed]
- Backus, R.H.; Clark, R.C.; Wing, A.S. Behaviour of certain marine organisms during the solar eclipse of July 20, 1963. Nature 1965, 205, 989–991. [Google Scholar] [CrossRef]
- Bright, T.; Ferrari, F.; Martin, D.; Francheschini, G.A. Effects of a total solar eclipse on the vertical distribution of certain oceanic zooplankters. Limnol. Oceanogr. 1972, 17, 296–301. [Google Scholar] [CrossRef]
- Cadwallader, P.L.; Eden, A.K. Effect of a total solar eclipse on invertebrate drift in Snobs Creek, Victoria. Aust. J. Mar. Freshw. Res. 1977, 28, 799–805. [Google Scholar] [CrossRef]
- Pratiwi, N.T.M.; Zulmi, R.; Mulyawati, D.; Sulaiman, G.S.A. The existence of phytoplankton and zooplankton during solar eclipse in a single spot of Pramuka Island waters, Seribu Islands. IOP Conf. Ser. Earth Environ. Sci. 2017, 54, 1–9. [Google Scholar] [CrossRef]
- Adhikari, S.; Goswami, A.R.; Roy, U.S.; Aich, A.; Datta, K. Effect of a total solar eclipse on the surface crowding of zooplankton in a freshwater lake ecosystem. Limnology 2018, 19, 253–270. [Google Scholar] [CrossRef]
- Branch, J.E.; Gust, D.A. Effect of solar eclipse on the behavior of a captive group of chimpanzees (Pan troglodytes). Am. J. Primatol. 1986, 11, 367–373. [Google Scholar] [CrossRef]
- Gil-Burmann, C.; Beltrami, M. Effect of solar eclipse on the behavior of a captive group of hamadryas baboons (Papio hamadryas). Zoo Biol. 2003, 22, 299–303. [Google Scholar] [CrossRef]
- Nakamura, M.; Hitonaru, N. An annular solar eclipse at Mahale: Did chimpanzees exhibit any response? Pan Afr. News. 2016, 23, 9–13. [Google Scholar] [CrossRef]
- Shanida, S.S.; Lestari, T.H.; Partasasmita, R. The effect of total eclipse on the daily activites of Nasalis larvatus (Wurmb.) in Mangrove Center, Kariangau, East Kalimantan. J. Phys. Conf. Ser. 2016, 771, 1–4. [Google Scholar] [CrossRef]
- Pandey, K.; Shukla, J.P. Behavioural studies of freshwater fishes during a solar eclipse. Environ. Biol. Fishes. 1982, 7, 63–64. [Google Scholar] [CrossRef]
- Jennings, S.; Bustamante, R.H.; Collins, K.; Mallinson, J. Reef fish behavior during a total solar eclipse at Pinta Island, Galapagos. J. Fish Biol. 1998, 53, 683–686. [Google Scholar]
- Kavanau, J.L.; Rischer, C.E. Ground squirrel behaviour during a partial solar eclipse. Boll. Zool. 1973, 40, 217–221. [Google Scholar] [CrossRef]
- Advani, R. Some observations on behaviour of rodents during solar eclipse. J. Bombay Nat. Hist. Soc. 1981, 78, 590–591. [Google Scholar]
- Krzanowski, A. Behaviour of bats during the total solare eclipse in Poland on June 30th, 1954. Acta Theriol. 1959, II, 281–283. [Google Scholar]
- Sanchez, O.; Vargas, J.A.; Lopez-Forment, W. Observations of bats during a total solar eclipse in Mexico. Southwest. Nat. 1999, 44, 112–115. [Google Scholar]
- Ortega-Rubio, A.; Galina-Tessaro, P.; Alverez-Cardenas, S. Behavior of the zebra-tailed lizard during a total solar eclipse. Tex. J. Sci. 1994, 46, 121–126. [Google Scholar]
- Alvarez-Cardenas, S.; Ortega-Rubio, A.; Galina-Tessaro, P.; Vega-Villasante, F. Observations on behavior of the lizard Uta stansburiana during a total solar eclipse. Southwest. Nat. 1997, 42, 108–112. [Google Scholar]
- Mahato, A.K.R.; Majumder, S.S.; De, J.K.; Ramakrishna, A. Activities of blue bull, Boselaphus tragocamelus during partial solar eclipse: A case study in captivity. Ethnol. Ecol. Evolut. 2013, 25, 269–274. [Google Scholar] [CrossRef]
- Rutter, S.M.; Tainton, V.; Champion, R.A.; Le Grice, P. The effect of a total solar eclipse on the grazing behavior of dairy cattle. Appl. Anim. Behav. Sci. 2002, 79, 273–283. [Google Scholar] [CrossRef]
- Nilsson, C.; Horton, K.G.; Kokter, A.M.; Van Doren, B.M.; Famsworth, A. Aeroecology of a solar eclipse. Biol. Lett. 2018, 14, 1–5. [Google Scholar] [CrossRef] [PubMed]
- Brinley Buckley, E.M.; Caven, A.J.; Gottesman, B.L.; Harner, M.J.; Pijanowski, B.C.; Forsberg, M.L. Assessing biological and environmental effects of a total solar eclipse with passive multimodal technologies. Ecol. Indic. 2018, 95, 353–369. [Google Scholar] [CrossRef]
- Witze, A. Eclipse promises to reveal mysteries of Sun’s corona. Nature 2017, 548, 146–147. [Google Scholar] [CrossRef] [PubMed]
- March for Science; Facebook; 2017 August 21. Available online: https://www.facebook.com/groups/marchforscience/permalink/2020796228204204/ (accessed on 21 December 2017).
- Murdin, P. Effects of the 2001 total solar eclipse on African wildlife. Astron. Geophys. 2001, 42, 4. [Google Scholar]
- Kullenberg, B. Biological observations during the solar eclipse in southern Sweden (Province of Oland) on 30th June 1954. Oikos 1955, 6, 51–60. [Google Scholar] [CrossRef]
- Mori, S. Effects of the total solar eclipse on the rhythmic diurnal activities of some animals. Annot. Zool. Jpn. 1939, 18, 115–132. [Google Scholar]
- Lescure, J. The effect of a total sun eclipse on the vocal behavior of some amphibians. Copeia 1975, 1975, 764–765. [Google Scholar] [CrossRef]
- Madhavi, R. Effect of solar eclipse on the emergence of some freshwater cercariae. Proc. Indian Acad. Sci. USA 1983, 92, 65–71. [Google Scholar] [CrossRef]
- Emlen, S.T. The stellar-orientation system of a migratory bird. Sci. Am. 1975, 233, 102–111. [Google Scholar] [CrossRef] [PubMed]
- Wiltschko, R.; Munro, U.; Ford, H.; Wiltschko, W. Orientation in migratory birds: Time-associated relearning of celestial cues. Anim. Behav. 2001, 62, 245–250. [Google Scholar] [CrossRef]
- Diego-Rasilla, E.J.; Luengo, R.M. Celestial orientation in the marbled newt (Triturus marmoratus). J. Ethol. 2002, 20, 137–141. [Google Scholar] [CrossRef]
- Fidani, C. Biological Anomalies around the 2009 L’Aquila Earthquake. Animals 2013, 3, 693–721. [Google Scholar] [CrossRef] [PubMed]


| Animal | Group | Vocalization Increase | Vocalization Decrease | Activity Increase | Activity Decrease |
|---|---|---|---|---|---|
| Frogs | Amphibian | 15 | 0 | 0 | 0 |
| Birds | Bird | 27 | 53 | 14 | 26 |
| Chicken | Bird | 13 | 9 | 7 | 9 |
| Cranes | Bird | 1 | 0 | 1 | 0 |
| Crows | Bird | 7 | 0 | 7 | 0 |
| Geese | Bird | 2 | 0 | 3 | 3 |
| Hawk | Bird | 2 | 0 | 5 | 1 |
| Humming birds | Bird | 0 | 0 | 9 | 0 |
| Martin | Bird | 0 | 0 | 2 | 0 |
| Nighthawk | Bird | 0 | 0 | 6 | 0 |
| Owl | Bird | 8 | 0 | 0 | 0 |
| Pelicans | Bird | 0 | 0 | 2 | 0 |
| Seabirds | Bird | 0 | 0 | 4 | 1 |
| Seagulls | Bird | 1 | 1 | 3 | 0 |
| Starling | Bird | 0 | 0 | 4 | 0 |
| Swallow | Bird | 0 | 0 | 6 | 1 |
| Turkey | Bird | 0 | 0 | 3 | 0 |
| Vultures | Bird | 0 | 0 | 1 | 1 |
| Fish | Fish | 0 | 0 | 12 | 0 |
| Ants | Invertebrate | 0 | 0 | 3 | 0 |
| Bees | Invertebrate | 0 | 2 | 18 | 5 |
| Cicadas | Invertebrate | 73 | 14 | 0 | 0 |
| Crickets | Invertebrate | 86 | 7 | 0 | 0 |
| Dragon flies | Invertebrate | 0 | 0 | 7 | 0 |
| Fireflies | Invertebrate | 0 | 0 | 10 | 0 |
| Gnats | Invertebrate | 0 | 0 | 8 | 1 |
| Grasshopper | Invertebrate | 0 | 0 | 0 | 1 |
| Locust | Invertebrate | 2 | 0 | 0 | 0 |
| Mosquitos | Invertebrate | 0 | 0 | 16 | 0 |
| Nocturnal insects | Invertebrate | 15 | 0 | 2 | 0 |
| Slug | Invertebrate | 0 | 0 | 1 | 0 |
| Spiders | Invertebrate | 0 | 0 | 3 | 1 |
| Bat | Mammal | 0 | 0 | 23 | 0 |
| Cat | Mammal | 0 | 0 | 8 | 0 |
| Cows | Mammal | 5 | 0 | 3 | 2 |
| Coyote | Mammal | 14 | 0 | 0 | 0 |
| Deer | Mammal | 0 | 0 | 7 | 1 |
| Dogs | Mammal | 11 | 0 | 22 | 0 |
| Dolphins | Mammal | 0 | 0 | 2 | 0 |
| Elk | Mammal | 0 | 0 | 1 | 0 |
| Giraffes | Mammal | 0 | 0 | 2 | 0 |
| Horses | Mammal | 2 | 0 | 10 | 2 |
| Prairie Dog | Mammal | 1 | 0 | 1 | 0 |
| Rabbits | Mammal | 0 | 0 | 5 | 0 |
| Sheep | Mammal | 0 | 1 | 1 | 0 |
| Squirrels | Mammal | 0 | 1 | 2 | 5 |
| Wolves | Mammal | 4 | 0 | 0 | 0 |
| Snakes | Reptile | 0 | 0 | 4 | 0 |
| Animal | Group | Citation | Vocalization Increase | Vocalization Decrease | Activity Increase | Activity Decrease |
|---|---|---|---|---|---|---|
| American Toad | Amphibian | [7] | 0 | 0 | 1 | 1 |
| Bullfrog | Amphibian | [7] | 0 | 0 | 1 | 0 |
| Frog | Amphibian | [7,38] | 2 | 1 | 0 | 0 |
| Tree frog | Amphibian | [40] | 1 | 0 | 0 | 0 |
| Tree toad | Amphibian | [7] | 1 | 0 | 0 | 0 |
| Troschel’s tree frog | Amphibian | [41] | 1 | 0 | 0 | 0 |
| Barred owl | Bird | [7] | 1 | 0 | 0 | 0 |
| Black-Crowned Night Heron | Bird | [7] | 0 | 0 | 1 | 0 |
| Blue jay | Bird | [7] | 0 | 1 | 0 | 0 |
| Bronzed grackle | Bird | [7] | 0 | 0 | 0 | 1 |
| Brown pelican | Bird | [9] | 0 | 0 | 0 | 1 |
| Bulbuls | Bird | [38] | 0 | 1 | 0 | 0 |
| Cattle Egrets | Bird | [8] | 0 | 0 | 1 | 0 |
| Chicken | Bird | [7,40] | 2 | 0 | 1 | 1 |
| Common blackbird | Bird | [39] | 1 | 0 | 0 | 0 |
| Common chaffinch | Bird | [39] | 0 | 1 | 0 | 0 |
| Common tern | Bird | [7] | 1 | 0 | 0 | 0 |
| Crow | Bird | [7,40] | 0 | 0 | 1 | 2 |
| Dowitcher | Bird | [7] | 1 | 1 | 1 | 0 |
| Ducks | Bird | [7] | 0 | 0 | 1 | 0 |
| Egret | Bird | [38] | 0 | 0 | 0 | 1 |
| Eurasian blackcap | Bird | [39] | 1 | 0 | 0 | 0 |
| European robin | Bird | [39] | 1 | 0 | 1 | 0 |
| Fish hawk | Bird | [7] | 1 | 0 | 1 | 0 |
| Garden warbler | Bird | [39] | 0 | 1 | 0 | 0 |
| Geese | Bird | [38] | 0 | 0 | 0 | 1 |
| Glossy starlings | Bird | [38] | 0 | 1 | 0 | 0 |
| Goldfinch | Bird | [7] | 0 | 0 | 0 | 1 |
| Great Egrets | Bird | [8] | 0 | 0 | 1 | 0 |
| Herring gull | Bird | [7] | 0 | 0 | 0 | 1 |
| Ibis | Bird | [38] | 0 | 0 | 0 | 1 |
| Least sandpiper | Bird | [7] | 0 | 0 | 0 | 0 |
| Little Blue Herons | Bird | [8] | 0 | 0 | 1 | 0 |
| Magnificent frigate-bird | Bird | [9] | 0 | 0 | 0 | 1 |
| Northern flicker | Bird | [7] | 0 | 0 | 0 | 1 |
| Owl | Bird | [38] | 1 | 0 | 0 | 0 |
| Oxpecker | Bird | [38] | 0 | 0 | 0 | 1 |
| Pectoral sandpiper | Bird | [7] | 0 | 0 | 0 | 1 |
| Red-winged blackbird | Bird | [7] | 0 | 0 | 0 | 1 |
| Robin | Bird | [7] | 0 | 0 | 0 | 1 |
| Roseate tern | Bird | [7] | 1 | 0 | 0 | 0 |
| Royal tern | Bird | [9] | 0 | 0 | 0 | 1 |
| Screech owl | Bird | [7] | 1 | 0 | 0 | 0 |
| Semipalmated plover | Bird | [7] | 0 | 0 | 0 | 1 |
| Semipalmated sandpiper | Bird | [7] | 0 | 0 | 0 | 1 |
| Snowy egrets | Bird | [8] | 0 | 0 | 1 | 0 |
| Song thrush | Bird | [39] | 0 | 1 | 0 | 0 |
| Starling | Bird | [7] | 0 | 0 | 1 | 0 |
| Trumpeter hornbill | Bird | [38] | 0 | 0 | 0 | 1 |
| Turtle-dove | Bird | [38] | 0 | 1 | 0 | 0 |
| Water birds | Bird | [38] | 0 | 0 | 0 | 1 |
| Whip-poor-will | Bird | [7] | 1 | 0 | 0 | 0 |
| Willet | Bird | [7] | 1 | 0 | 1 | 0 |
| Willow warbler | Bird | [39] | 0 | 1 | 0 | 0 |
| Wilson’s petrel | Bird | [7] | 0 | 0 | 0 | 1 |
| Angelfish | Fish | [25] | 0 | 0 | 0 | 1 |
| Anthias | Fish | [25] | 0 | 0 | 0 | 1 |
| Banded gourami | Fish | [24] | 0 | 0 | 0 | 1 |
| Brook Trout | Fish | [7] | 0 | 0 | 1 | 1 |
| Butterflyfish | Fish | [25] | 0 | 0 | 0 | 1 |
| Climbing perch | Fish | [24] | 0 | 0 | 0 | 1 |
| Common Pickerel | Fish | [7] | 0 | 0 | 1 | 0 |
| Damselfish | Fish | [25] | 0 | 0 | 0 | 1 |
| Goldfish | Fish | [7] | 0 | 0 | 1 | 1 |
| Hawkfish | Fish | [25] | 0 | 0 | 0 | 1 |
| Mud eel | Fish | [24] | 0 | 0 | 0 | 1 |
| White perch | Fish | [7] | 0 | 0 | 1 | 0 |
| Wrasse | Fish | [25] | 0 | 0 | 0 | 1 |
| Bees | Invertebrate | [38] | 0 | 0 | 0 | 1 |
| Bumblebees | Invertebrate | [7] | 0 | 0 | 0 | 1 |
| Butterflies | Invertebrate | [7,38] | 0 | 0 | 0 | 2 |
| Cercariae | Invertebrate | [42] | 0 | 0 | 1 | 0 |
| Cicadas | Invertebrate | [7] | 1 | 0 | 0 | 0 |
| Cockroaches | Invertebrate | [7] | 0 | 0 | 1 | 0 |
| Crabro vagus | Invertebrate | [39] | 0 | 0 | 0 | 1 |
| Crickets | Invertebrate | [7] | 1 | 0 | 0 | 0 |
| Dinoflagelletes | Invertebrate | [15] | 0 | 0 | 1 | 0 |
| European rose chafer | Invertebrate | [39] | 0 | 0 | 0 | 1 |
| Fucellina fly | Invertebrate | [40] | 0 | 0 | 0 | 1 |
| Glanville fritillary | Invertebrate | [39] | 0 | 0 | 0 | 1 |
| Gnats | Invertebrate | [7] | 0 | 0 | 1 | 0 |
| Gorytes campestris | Invertebrate | [39] | 0 | 0 | 0 | 1 |
| Gorytes mystaceus | Invertebrate | [39] | 0 | 0 | 0 | 1 |
| Grasshoppers | Invertebrate | [7,39] | 0 | 0 | 0 | 2 |
| Hoplomerus melanocephalus | Invertebrate | [39] | 0 | 0 | 0 | 1 |
| Houseflies | Invertebrate | [7] | 0 | 0 | 1 | 1 |
| Katydids | Invertebrate | [7] | 1 | 0 | 0 | 0 |
| Large-spurred digger wasp | Invertebrate | [39] | 0 | 0 | 0 | 1 |
| Midge | Invertebrate | [38,40] | 0 | 0 | 2 | 0 |
| Mosquitoes | Invertebrate | [7,38] | 0 | 0 | 2 | 0 |
| Moths | Invertebrate | [7] | 0 | 0 | 1 | 0 |
| Orb-weaving spider | Invertebrate | [13] | 0 | 0 | 1 | 0 |
| Rock bees | Invertebrate | [10] | 0 | 0 | 1 | 0 |
| Sahara Desert ant | Invertebrate | [11] | 0 | 0 | 0 | 1 |
| Slender bodied digger wasp | Invertebrate | [39] | 0 | 0 | 0 | 1 |
| Wasps | Invertebrate | [7] | 0 | 0 | 0 | 1 |
| Zooplankton | Invertebrate | [16,17,18,19] | 0 | 0 | 4 | 2 |
| Antelope ground squirrel | Mammal | [26] | 0 | 0 | 1 | 0 |
| Baboon | Mammal | [38] | 0 | 0 | 0 | 1 |
| Bat | Mammal | [7] | 0 | 0 | 1 | 0 |
| Beaver | Mammal | [7] | 0 | 0 | 1 | 1 |
| Blue Bull Antelope | Mammal | [32] | 0 | 0 | 0 | 1 |
| Bush rat | Mammal | [27] | 0 | 0 | 0 | 1 |
| Chimpanzee | Mammal | [20] | 0 | 0 | 1 | 0 |
| Guinea-pig | Mammal | [7] | 0 | 0 | 0 | 1 |
| Hamadryas baboon | Mammal | [21] | 0 | 0 | 0 | 1 |
| Hippopotamus | Mammal | [38] | 0 | 0 | 1 | 0 |
| Impala | Mammal | [38] | 0 | 0 | 0 | 1 |
| Proboscis Monkey | Mammal | [23] | 0 | 0 | 0 | 1 |
| Red fox | Mammal | [7] | 1 | 0 | 1 | 0 |
| Rhesus monkey | Mammal | [7] | 0 | 0 | 0 | 1 |
| Skunk | Mammal | [7] | 0 | 0 | 1 | 0 |
| Eastern garter snake | Reptile | [7] | 0 | 0 | 1 | 0 |
| North American side-blotched lizard | Reptile | [31] | 0 | 0 | 1 | 0 |
| Northern watersnake | Reptile | [7] | 0 | 0 | 0 | 1 |
| Painted turtle | Reptile | [7] | 0 | 0 | 0 | 1 |
| Pythons | Reptile | [7] | 0 | 0 | 1 | 0 |
| Zebra-tailed lizard | Reptile | [30] | 0 | 0 | 0 | 1 |
© 2019 by the authors. Licensee MDPI, Basel, Switzerland. This article is an open access article distributed under the terms and conditions of the Creative Commons Attribution (CC BY) license (http://creativecommons.org/licenses/by/4.0/).
Share and Cite
Ritson, R.; Ranglack, D.H.; Bickford, N. Comparing Social Media Observations of Animals During a Solar Eclipse to Published Research. Animals 2019, 9, 59. https://doi.org/10.3390/ani9020059
Ritson R, Ranglack DH, Bickford N. Comparing Social Media Observations of Animals During a Solar Eclipse to Published Research. Animals. 2019; 9(2):59. https://doi.org/10.3390/ani9020059
Chicago/Turabian StyleRitson, Robert, Dustin H. Ranglack, and Nate Bickford. 2019. "Comparing Social Media Observations of Animals During a Solar Eclipse to Published Research" Animals 9, no. 2: 59. https://doi.org/10.3390/ani9020059
APA StyleRitson, R., Ranglack, D. H., & Bickford, N. (2019). Comparing Social Media Observations of Animals During a Solar Eclipse to Published Research. Animals, 9(2), 59. https://doi.org/10.3390/ani9020059

