Weber’s Law and the Scalar Property of Timing: A Test of Canine Timing
Simple Summary
Abstract
1. Introduction
2. Materials and Methods
2.1. Subjects
2.2. Apparatus
2.3. Procedure
2.3.1. Discrimination Training
2.3.2. Testing
3. Results
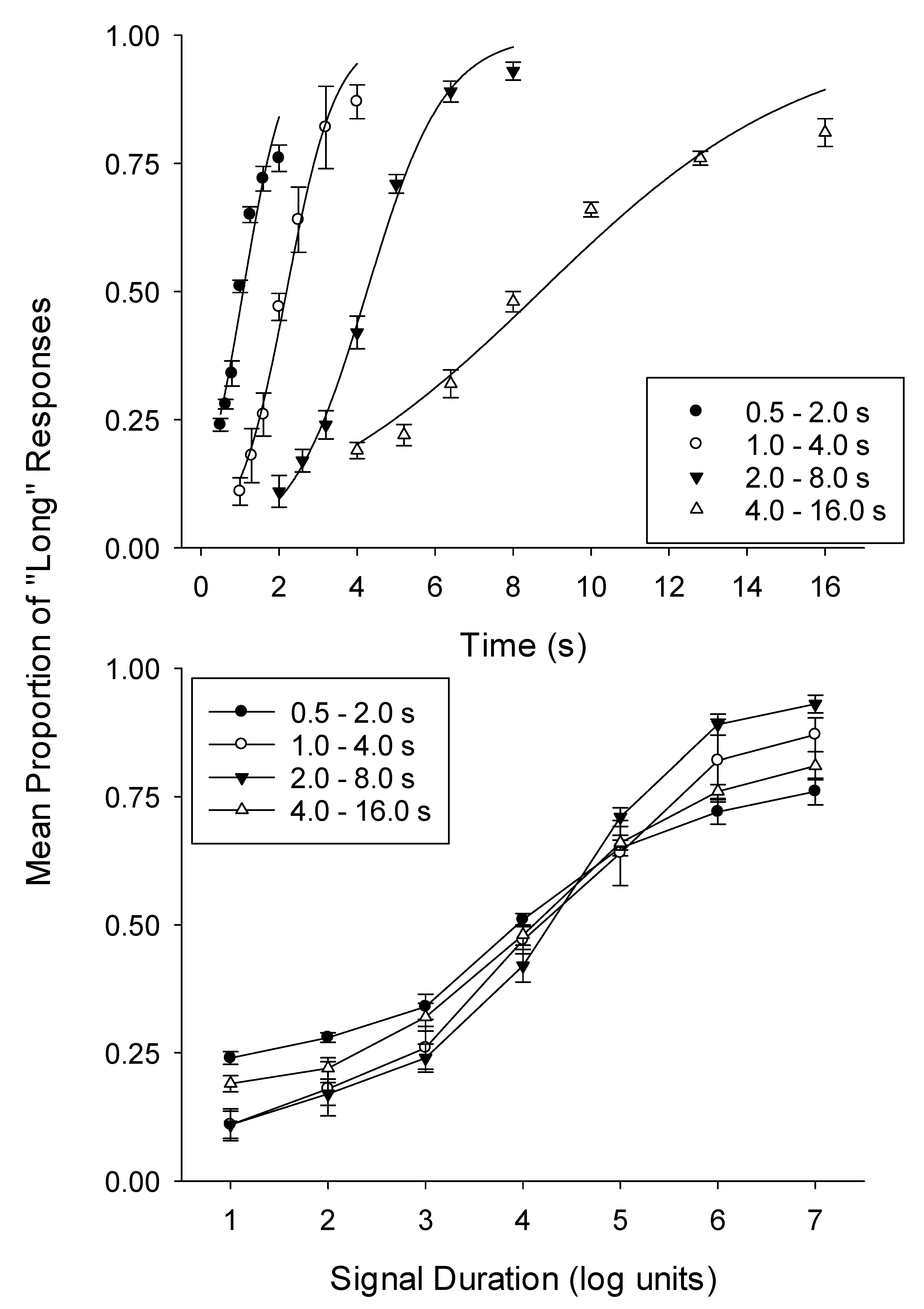
3.1. Proportion of Long Responses
3.2. Points of Subjective Equality
3.3. Weber Fractions
4. Discussion
5. Conclusions
Author Contributions
Funding
Acknowledgments
Conflicts of Interest
References
- Schwartz, M. A History of Dogs in the Early Americas; Yale University Press: New Haven, CT, USA, 1998. [Google Scholar]
- Healy, S.D. The face of animal cognition. Integr. Zool. 2019, 14, 132–144. [Google Scholar] [CrossRef]
- Zentall, T. The value of research in comparative cognition. Int. J. Comp. Psychol. 2018, 31. Available online: https://escholarship.org/uc/item/1z49c9mm (accessed on 20 September 2019).
- Breukelaar, J.W.C.; Dalrymple-Alford, J.C. Timing ability and numerical competence in rats. J. Exp. Psychol. Anim. B 1998, 24, 84–97. [Google Scholar] [CrossRef]
- Church, R.M.; Deluty, M.Z. Bisection of temporal intervals. J. Exp. Anal. Behav. 1977, 3, 216–228. [Google Scholar] [CrossRef]
- Bizo, L.A.; White, K.G. The behavioral theory of timing: Reinforcer rate determines pacemaker rate. J. Exp. Anal. Behav. 1994, 61, 19–33. [Google Scholar] [CrossRef] [PubMed]
- Stubbs, A. The discrimination of stimulus duration by pigeons. J. Exp. Anal. Behav. 1968, 11, 223–238. [Google Scholar] [CrossRef]
- Fetterman, J.G.; Dreyfus, L.R. Pair comparison of durations. Behav. Process. 1986, 12, 111–123. [Google Scholar] [CrossRef]
- Higa, J.J.; Simm, L.A. Interval timing in Siamese fighting fish (Betta splendens). Behav. Process. 2004, 67, 501–509. [Google Scholar] [CrossRef]
- Drew, M.R.; Zupan, B.; Cooke, A.; Couvillon, P.A.; Balsam, P.D. Temporal control of conditioned responding in goldfish. J. Exp. Psychol. Anim. B 2005, 31, 31–39. [Google Scholar] [CrossRef]
- Buhusi, C.V.; Aziz, D.; Winslow, D.; Carter, R.E.; Swearingen, J.E.; Buhusi, M.C. Interval timing accuracy and scalar timing in C57BL/6 mice. Behav. Neurosci. 2009, 123, 1102–1113. [Google Scholar] [CrossRef]
- Sargisson, R.J.; Lockhart, R.A.; McEwan, J.S.; Bizo, L.A. Demonstration of the scalar property of timing with possums (Trichosurus vulpecula). J. Comp. Psychol. 2016, 130, 81–86. [Google Scholar] [CrossRef] [PubMed]
- Carr, J.A.R.; Wilkie, D.M. Ordinal, phase, and interval timing. In Time and Behaviour: Psychological and Neurobehavioural Analyses; Bradshaw, C.M., Szabadi, E., Eds.; Elsevier: Amsterdam, The Netherlands, 1997; pp. 265–327. [Google Scholar]
- Hills, T.T. Toward a unified theory of animal event timing. In Functional and Neural Mechanisms of Interval Timing; Meck, W.H., Ed.; CRC Press: Boca Raton, FL, USA, 2003; pp. 77–112. [Google Scholar] [CrossRef]
- Buhusi, C.V.; Meck, W.H. What makes us tick? Functional and neural mechanisms of interval timing. Nat. Rev. Neurosci. 2005, 755–765. [Google Scholar] [CrossRef] [PubMed]
- Domeniconi, C.; Machado, A. Temporal bisection task with dogs: An exploratory study. Psych. Neurosci. 2017, 10, 101–108. [Google Scholar] [CrossRef]
- Devenport, J.A.; Devenport, L.D. Time-dependent decisions in dogs (Canis familiaris). J. Comp. Psychol. 1993, 107, 169–173. [Google Scholar] [CrossRef]
- Macpherson, K.; Roberts, W.A. On the clock: Interval timing and overshadowing in domestic dogs (Canis familiaris). J. Comp. Psychol. 2017, 131, 348–361. [Google Scholar] [CrossRef]
- Allan, L.G.; Gibbon, J. Human bisection at the geometric mean. Learn. Motiv. 1991, 22, 39–58. [Google Scholar] [CrossRef]
- Fetterman, J.G.; Killeen, P.R. Adjusting the pacemaker. Learn. Motiv. 1991, 22, 226–252. [Google Scholar] [CrossRef]
- Penney, T.B.; Gibbon, J.; Meck, W.H. Categorical scaling of duration bisection in pigeons (Columba livia), mice (Mus musculus), and humans (Homo sapiens). Psychol. Sci. 2008, 19, 1103–1109. [Google Scholar] [CrossRef]
- Stubbs, A. Scaling of stimulus duration by pigeons. J. Exp. Anal. Behav. 1976, 26, 15–25. [Google Scholar] [CrossRef]
- Meck, W.H. Selective adjustment of the speed of internal clock and memory processes. J. Exp. Psychol. Anim. B. 1983, 9, 171–201. [Google Scholar] [CrossRef]
- Raslear, T.G. A test of the Pfanzagl bisection model in rats. J. Exp. Psychol. Anim. B. 1983, 9, 49–62. [Google Scholar] [CrossRef]
- Gibbon, J. Scalar expectancy theory and Weber’s law in animal timing. Psychol. Rev. 1977, 84, 279–325. [Google Scholar] [CrossRef]
- Malapani, C.; Fairhurst, S. Scalar timing in animals and humans. Learn. Motiv. 2002, 33, 156–176. [Google Scholar] [CrossRef]
- Grondin, S. From physical time to the first and second moments of psychological time. Psychol. Bull. 2001, 127, 22–44. [Google Scholar] [CrossRef]
- Allan, L.G.; Kristofferson, A.B. Judgments about the duration of brief stimuli. Percept. Psychophys. 1974, 15, 434–440. [Google Scholar] [CrossRef]
- Killeen, P.R.; Weiss, N.A. Optimal timing and the Weber function. Psychol. Rev. 1987, 94, 455–468. [Google Scholar] [CrossRef]
- Getty, D.J. Discrimination of short temporal intervals: A comparison of two models. Percept. Psychophys. 1975, 18, 1–8. [Google Scholar] [CrossRef]
- Bizo, L.A.; Chu, J.Y.M.; Sanabria, F.; Killeen, P.R. The failure of Weber’s law in time perception and production. Behav. Process. 2006, 71, 201–210. [Google Scholar] [CrossRef]
- Lavoie, P.; Grondin, S. Information processing limitations as revealed by temporal discrimination. Brain. Cogn. 2004, 54, 198–200. [Google Scholar] [CrossRef]
- Catania, A.C. Reinforcement schedules and the psychophysical judgments: A study of some temporal properties of behavior. In The Theory of Reinforcement Schedules; Schoenfeld, W.N., Ed.; Appleton-Century–Crofts: New York, NY, USA, 1970; pp. 1–42. [Google Scholar]
- Lejeune, H.; Wearden, J.H. Scalar properties of animal timing: Conformity and violations. Q. J. Exp. Psychol. 2006, 59, 1875–1908. [Google Scholar] [CrossRef]
- Zeiler, M.D. Ecological influences on timing. J. Exp. Psych: Anim. Proc. 1991, 17, 13–25. [Google Scholar] [CrossRef]
- Zelanti, P.S.; Droit-Volet, S. Cognitive abilities explaining age-related changes in time perception of short and long durations. J. Exp. Child. Psychol. 2011, 109, 143–157. [Google Scholar] [CrossRef] [PubMed]
- Machado, A.; Keen, R. Learning to Time (LET) or Scalar Expectancy Theory (SET)? A critical test of two models of timing. Psychol. Sci. 1999, 10, 285–290. [Google Scholar] [CrossRef]
- Killeen, P.R.; Fetterman, J.G.; Bizo, L.A. Time’s causes. In Advances in Psychology: Time and Behavior: Psychological and Neurobehavioral Analyses; Bradshaw, C.M., Szabadi, E., Eds.; Elsevier: Amsterdam, The Netherlands, 1997; pp. 79–131. [Google Scholar]



| Condition | Dog | Mean | SD | WF | RSqr | SEE |
|---|---|---|---|---|---|---|
| 0.5–2.0 s | 1 | 1.065 | 0.875 | 0.821 | 0.980 | 0.037 |
| 2 | 0.986 | 0.822 | 0.833 | 0.956 | 0.056 | |
| 3 | 1.261 | 1.295 | 1.027 | 0.890 | 0.067 | |
| 4 | 1.069 | 0.929 | 0.870 | 0.924 | 0.070 | |
| 5 | 1.078 | 1.004 | 0.932 | 0.934 | 0.062 | |
| 6 | 1.076 | 1.210 | 1.124 | 0.889 | 0.070 | |
| Average | 1.089 | 1.023 | 0.935 | 0.929 | 0.060 | |
| 1.0–4.0 s | 1 | 2.013 | 0.542 | 0.269 | 0.991 | 0.044 |
| 2 | 2.043 | 0.789 | 0.386 | 0.979 | 0.058 | |
| 3 | 2.119 | 1.461 | 0.690 | 0.917 | 0.088 | |
| 4 | 2.222 | 0.838 | 0.377 | 0.983 | 0.053 | |
| 5 | 1.932 | 1.446 | 0.749 | 0.954 | 0.062 | |
| 6 | 3.110 | 2.188 | 0.704 | 0.904 | 0.070 | |
| Average | 2.240 | 1.211 | 0.529 | 0.955 | 0.063 | |
| 2.0–8.0 s | 1 | 4.355 | 1.383 | 0.317 | 0.999 | 0.016 |
| 2 | 4.384 | 1.547 | 0.353 | 0.985 | 0.050 | |
| 3 | 3.827 | 2.260 | 0.591 | 0.979 | 0.047 | |
| 4 | 4.478 | 1.646 | 0.367 | 0.993 | 0.033 | |
| 5 | 4.050 | 1.897 | 0.468 | 0.994 | 0.029 | |
| 6 | 4.418 | 2.336 | 0.529 | 0.980 | 0.048 | |
| Average | 4.252 | 1.845 | 0.438 | 0.988 | 0.037 | |
| 4.0–16.0 s | 1 | 9.049 | 4.869 | 0.538 | 0.982 | 0.044 |
| 2 | 8.617 | 4.730 | 0.549 | 0.973 | 0.054 | |
| 3 | 7.927 | 5.933 | 0.749 | 0.971 | 0.048 | |
| 4 | 8.919 | 6.433 | 0.721 | 0.961 | 0.055 | |
| 5 | 8.329 | 8.285 | 0.995 | 0.929 | 0.061 | |
| 6 | 9.249 | 7.658 | 0.828 | 0.916 | 0.073 | |
| Average | 8.682 | 6.318 | 0.730 | 0.955 | 0.054 |
© 2019 by the authors. Licensee MDPI, Basel, Switzerland. This article is an open access article distributed under the terms and conditions of the Creative Commons Attribution (CC BY) license (http://creativecommons.org/licenses/by/4.0/).
Share and Cite
Cliff, J.H.; Jackson, S.M.K.; McEwan, J.S.; Bizo, L.A. Weber’s Law and the Scalar Property of Timing: A Test of Canine Timing. Animals 2019, 9, 801. https://doi.org/10.3390/ani9100801
Cliff JH, Jackson SMK, McEwan JS, Bizo LA. Weber’s Law and the Scalar Property of Timing: A Test of Canine Timing. Animals. 2019; 9(10):801. https://doi.org/10.3390/ani9100801
Chicago/Turabian StyleCliff, Jessica H., Surrey M. K. Jackson, James S. McEwan, and Lewis A. Bizo. 2019. "Weber’s Law and the Scalar Property of Timing: A Test of Canine Timing" Animals 9, no. 10: 801. https://doi.org/10.3390/ani9100801
APA StyleCliff, J. H., Jackson, S. M. K., McEwan, J. S., & Bizo, L. A. (2019). Weber’s Law and the Scalar Property of Timing: A Test of Canine Timing. Animals, 9(10), 801. https://doi.org/10.3390/ani9100801

