Body Condition Score and Milk Production on Conception Rate of Cows under a Small-Scale Dairy System
Simple Summary
Abstract
1. Introduction
2. Materials and Methods
2.1. Farms Selection, Housing, and Feeding
2.2. Reproductive Management
2.3. Data Management
2.4. Classification of Variables
2.5. Statistical Analysis
3. Results and Discussion
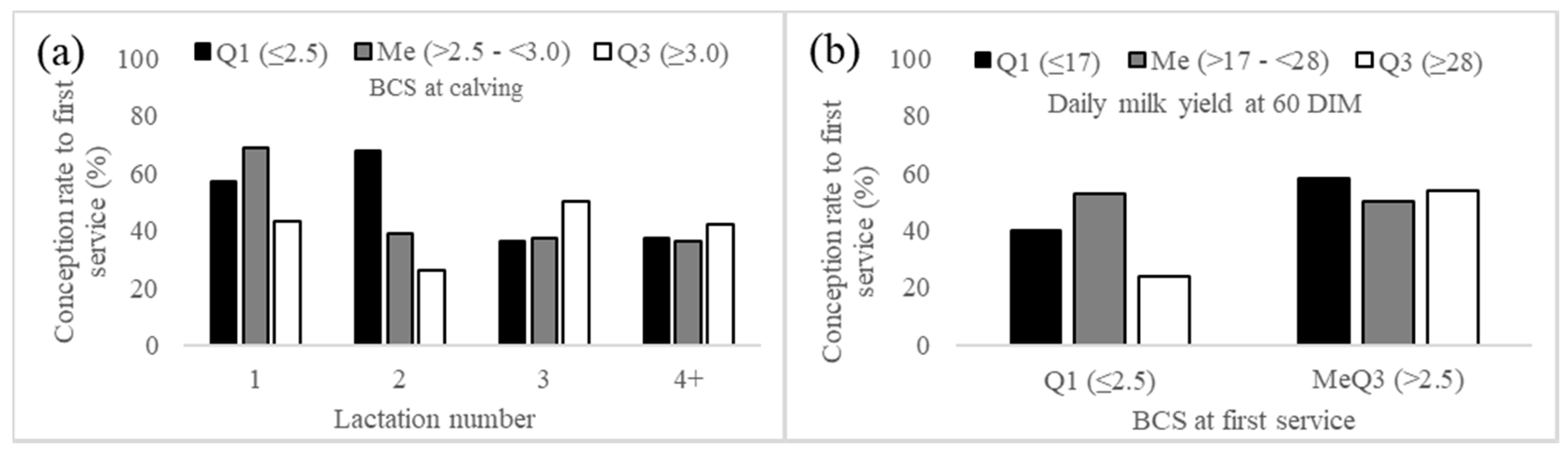
3.1. Impact of Study Variables on First-Service Conception Rate
3.2. Effect of Body Condition Score on Milk Production
4. Conclusions
Author Contributions
Funding
Conflicts of Interest
References
- Hemme, T.; Otte, J. Status and Prospects for Smallholder Milk Production: A Global Perspective; Food and Agriculture Organization of the United Nations (FAO): Rome, Italy, 2010; p. 181. [Google Scholar]
- Jouzi, Z.; Azadi, H.; Taheri, F.; Zarafshani, K.; Gebrehiwot, K.; Van Passel, S.; Lebailly, P. Organic farming and small-scale farmers: Main opportunities and challenges. Ecol. Econ. 2017, 132, 144–154. [Google Scholar] [CrossRef]
- Bele, B.; Norderhaug, A.; Sickel, H. Localized Agri-Food Systems and Biodiversity. Agriculture. 2018, 8, 22. [Google Scholar] [CrossRef]
- Zamudio, B.A.; Alberti, M.D.P.; Manzo, F.; Sánchez, M.T. La participación de las mujeres en los sistemas de traspatio de producción lechera en la ciudad de México. Cuad. Desarro. Rural 2004, 51, 37–60. [Google Scholar]
- FAOSTATS. Production of Milk, Whole Fresh Cow. Available online: http://www.fao.org/faostat/en/#data/QL/visualize (accessed on 29 June 2018).
- Hemme, T. IFCN Dairy Report 2007. International Farm Comparison Network; IFCN Dairy Research Center: Kiel, Germany, 2007. [Google Scholar]
- Plata-Reyes, D.A.; Morales-Almaraz, E.; Martínez-García, C.G.; Flores-Calvete, G.; López-González, F.; Prospero-Bernal, F.; Valdez-Ruiz, C.L.; Zamora-Juárez, Y.G.; Arriaga-Jordán, C.M. Milk production and fatty acid profile of dairy cows grazing four grass species pastures during the rainy season in small-scale dairy systems in the highlands of Mexico. Trop. Anim. Health Prod. 2018, 50, 1797–1805. [Google Scholar] [CrossRef] [PubMed]
- Posadas-Domínguez, R.R.; Arriaga-Jordán, C.M.; Martínez-Castañeda, F.E. Contribution of family labour to the profitability and competitiveness of small-scale dairy production systems in central Mexico. Trop. Anim. Health Pro. 2014, 46, 235–240. [Google Scholar] [CrossRef]
- Vázquez-Selem, E.; Aguilar-Barradas, U.; Villagómez-Cortés, J.A. Comparación de la eficiencia productiva y económica de grupos ganaderos organizados de doble propósito y de lechería familiar/semiespecializada. Cienc. Admin. 2016, 1, 226–237. [Google Scholar]
- Montiel-Olguín, L.J.; Estrada-Cortés, E.; Espinosa-Martínez, M.A.; Mellado, M.; Hernández-Vélez, J.O.; Martínez-Trejo, G.; Ruiz-López, F.J.; Vera-Avila, H.R. Risk factors associated with reproductive performance in small-scale dairy farms in Mexico. Trop. Anim. Health Pro. 2019, 51, 229–236. [Google Scholar] [CrossRef]
- Inchaisri, C.; Jorritsma, R.; Vos, P.L.A.M.; Van Der Weijden, G.C.; Hogeveen, H. Economic consequences of reproductive performance in dairy cattle. Theriogenology. 2010, 74, 835–846. [Google Scholar] [CrossRef]
- Roche, J.R.; Friggens, N.C.; Kay, J.K.; Fisher, M.W.; Stafford, K.J.; Berry, D.P. Body condition score and its association with dairy cow productivity, health, and welfare. J. Dairy Sci. 2009, 92, 5769–5801. [Google Scholar] [CrossRef]
- Bedere, N.; Cutullic, E.; Delaby, L.; Garcia-Launay, F.; Disenhaus, C. Meta-analysis of the relationships between reproduction, milk yield and body condition score in dairy cows. Livest. Sci. 2018, 210, 73–84. [Google Scholar] [CrossRef]
- Fouz, R.; Gandoy, F.; Sanjuán, M.L.; Yus, E.; Diéguez, F.J. Factors associated with 56-day non-return rate in dairy cattle. Pesqui. Agropecu. Bras. 2011, 46, 648–654. [Google Scholar] [CrossRef][Green Version]
- Buckley, F.; O’sullivan, K.; Mee, J.F.; Evans, R.D.; Dillon, P. Relationships among milk yield, body condition, cow weight, and reproduction in spring-calved Holstein-Friesians. J. Dairy Sci. 2003, 86, 2308–2319. [Google Scholar] [CrossRef]
- Vera, A.H.; Hernández, A.L.; Espinoza, G.J.; Ortega, R.L.; Díaz, A.E.; Román, P.H.; Núñez, H.G.; Medina, C.M.; Ruiz, L.F. Producción de Leche de Bovino en el Sistema Familiar; INIFAP CIRGOC: Veracruz, México, 2009; p. 384. [Google Scholar]
- Martínez-García, C.G.; Rayas-Amor, A.A.; Anaya-Ortega, J.P.; Martínez-Castañeda, F.E.; Espinoza-Ortega, A.; Prospero-Bernal, F.; Arriaga-Jordán, C.M. Performance of small-scale dairy farms in the highlands of central Mexico during the dry season under traditional feeding strategies. Trop. Anim. Health Pro. 2015, 47, 331–333. [Google Scholar] [CrossRef] [PubMed]
- Val-Arreola, D.; Kebreab, E.; Dijkstra, J.; France, J. Study of the lactation curve in dairy cattle on farms in central Mexico. J. Dairy Sci. 2004, 87, 3789–3799. [Google Scholar] [CrossRef]
- SIAP. Servicio de Información Agroalimentaria y Pesquera. SAGARPA, México. Available online: https://www.gob.mx/siap/acciones-y-programas/produccion-pecuaria (accessed on 17 March 2018).
- Villarreal-Rodas, J.H.; Arias-Chávez, L.E.; Bonilla-Cárdenas, J.A.; Román-Ponce, S.I.; Basurto-Gutiérrez, R.; Núñez-Hernández, G. Enteric methane emissions in Holstein cows in family dairy farms. Mitigación Daño ambient. For. Méx. 2016, 2, 240–250. [Google Scholar]
- Edmonson, A.J.; Lean, I.J.; Weaver, L.D.; Farver, T.; Webster, G. A body condition scoring chart for Holstein dairy cows. J. Dairy Sci. 1989, 72, 68–78. [Google Scholar] [CrossRef]
- Bijttebier, J.; Hamerlinck, J.; Moakes, S.; Scollan, N.; Van Meensel, J.; Lauwers, L. Low-input dairy farming in Europe: Exploring a context-specific notion. Agr. Syst. 2017, 156, 43–51. [Google Scholar] [CrossRef]
- Potter, T.J.; Guitian, J.; Fishwick, J.; Gordon, P.J.; Sheldon, I.M. Risk factors for clinical endometritis in postpartum dairy cattle. Theriogenology. 2010, 74, 127–134. [Google Scholar] [CrossRef]
- López-Gatius, F.; Yániz, J.; Madriles-Helm, D. Effects of body condition score and score change on the reproductive performance of dairy cows: a meta-analysis. Theriogenology 2003, 59, 801–812. [Google Scholar] [CrossRef]
- Cutullic, E.; Delaby, L.; Gallard, Y.; Disenhaus, C. Towards a better understanding of the respective effects of milk yield and body condition dynamics on reproduction in Holstein dairy cows. Animal 2012, 6, 476–487. [Google Scholar] [CrossRef]
- Grimard, B.; Freret, S.; Chevallier, A.; Pinto, A.; Ponsart, C.; Humblot, P. Genetic and environmental factors influencing first service conception rate and late embryonic/foetal mortality in low fertility dairy herds. Anim. Reprod. Sci. 2006, 91, 31–44. [Google Scholar] [CrossRef] [PubMed]
- García-Ruiz, A.; Ruiz-López, F.D.J.; Van Tassell, C.P.; Montaldo, H.H.; Huson, H.J. Genetic differentiation of Mexican Holstein cattle and its relationship with Canadian and U.S. Holsteins. Front. Genet. 2015, 6, 7. [Google Scholar] [CrossRef]
- Montiel-Olguín, L.J.; Estrada-Cortés, E.; Espinosa-Martínez, M.A.; Mellado, M.; Hernández-Vélez, J.O.; Martínez-Trejo, G.; Hernández-Andrade, L.; Hernández-Ortíz, R.; Alvarado-Islas, A.; Ruiz-López, F.J.; et al. Farm-level risk factors associated with reproductive performance in small-scale dairy farms in Mexico. Rev. Mex. Cienc. Pecu. 2019, 10, 676–691. [Google Scholar] [CrossRef]
- Berry, D.P.; Lee, J.M.; Macdonald, K.A.; Roche, J.R. Body condition score and body weight effects on dystocia and stillbirths and consequent effects on post-calving performance. J. Dairy Sci. 2007, 90, 4201–4211. [Google Scholar] [CrossRef] [PubMed]
- Esposito, G.; Irons, P.C.; Webb, E.C.; Chapwanya, A. Interactions between negative energy balance, metabolic diseases, uterine health and immune response in transition dairy cows. Anim. Reprod. Sci. 2014, 144, 60–71. [Google Scholar] [CrossRef]
- Vanholder, T.; Papen, J.; Bemers, R.; Vertenten, G.; Berge, A.C.B. Risk factors for subclinical and clinical ketosis and association with production parameters in dairy cows in the Netherlands. J. Dairy Sci. 2015, 98, 880–888. [Google Scholar] [CrossRef]
- Roche, J.R.; Lee, J.M.; Macdonald, K.A.; Berry, D.P. Relationships among body condition score, body weight, and milk production variables in pasture-based dairy cows. J. Dairy Sci. 2007, 90, 3802–3815. [Google Scholar] [CrossRef]
- Lean, I.J.; Lucy, M.C.; McNamara, J.P.; Bradford, B.J.; Block, E.; Thomson, J.M.; Morton, J.M.; Celi, P.; Rabiee, A.R.; Santos, J.E.P.; et al. Invited review: Recommendations for reporting intervention studies on reproductive performance in dairy cattle: Improving design, analysis, and interpretation of research on reproduction. J. Dairy Sci. 2016, 99, 1–17. [Google Scholar] [CrossRef]
- Hegde, N. Livestock development for sustainable livelihood of small farmers. Asian J. Res. Anim. Vet. Sci. 2019, 3, 1–17. [Google Scholar]


| Variable | Mean + SEM | Q1 | Median | Q3 |
|---|---|---|---|---|
| Body condition score at calving | 2.7 ± 0.02 | 2.5 | 2.75 | 3 |
| Body condition score at first service | 2.6 ± 0.01 | 2.5 | 2.75 | 2.75 |
| Change in body condition score | 0.1 ± 0.02 | 0 | 0 | 0.25 |
| Daily milk yield at 60 DIM (kg/d) | 22.8 ± 0.46 | 17 | 22 | 28 |
| 305-d milk production (kg) | 6688 ± 114 | 5450 | 6665 | 7920 |
| 305-d milk fat yield (kg) | 192.7 ± 7.12 | 134 | 220 | 267 |
| 305-d milk protein yield (kg) | 169.0 ± 6.06 | 122 | 193 | 234 |
| Days postpartum to first service | 84.2 ± 2.37 | 54 | 77 | 105 |
| Variable | p-Value | Categories | OR | 95% CI |
|---|---|---|---|---|
| Lactation number | 0.093 * | 1 | Ref. | - |
| 2 | 0.66 | 0.35–1.26 | ||
| 3 | 0.52 | 0.24–1.12 | ||
| ≥4 | 0.47 | 0.25–0.86 | ||
| Body condition score at calving | 0.325 * | Q1 (≤ 2.5) | Ref. | - |
| Me (> 2.5–< 3.0) | 0.88 | 0.50–1.55 | ||
| Q3 (≥ 3.0) | 0.65 | 0.36–1.15 | ||
| Body condition score at first service | 0.048 * | Q1 (≤ 2.5) | Ref. | - |
| Me Q3 (> 2.5) | 1.62 | 1.01–2.61 | ||
| Change in body condition score | 0.890 | Non-significant | ||
| Daily milk yield at 60 DIM (kg/d) | 0.070 * | Q1 (≤ 17) | Ref. | - |
| Me (> 17–< 28) | 1.09 | 0.62–1.94 | ||
| Q3 (≥ 28) | 0.56 | 0.29–1.08 | ||
| 305-d milk yield | 0.516 | Non-significant | ||
| 305-d milk fat yield | 0.934 | Non-significant | ||
| 305-d milk protein yield | 0.144 * | Q1 (≤ 122) | Ref. | - |
| Me (> 122–< 234) | 1.34 | 0.78–2.31 | ||
| Q3 (≥ 234) | 0.73 | 0.38–1.41 | ||
| Days postpartum to first service | 0.965 | Non-significant | ||
| Model | Regressors |
|---|---|
| 1 | Lactation number + BCS at calving + standardized protein |
| 2 | BCS at first service + daily milk yield at 60 DIM |
| Model | Variable | DF | Wald χ2 | p-Value |
|---|---|---|---|---|
| 1 | Lactation number | 3 | 5.878 | 0.118 |
| BCS at calving | 2 | 1.459 | 0.482 | |
| Lactation number and BCS at calving | 6 | 10.755 | 0.096 * | |
| 2 | BCS at first service | 1 | 5.988 | 0.014 * |
| Daily milk yield at 60 DIM | 2 | 3.348 | 0.188 | |
| BCS at first service and milk yield at 60 DIM | 2 | 5.610 | 0.061 * |
© 2019 by the authors. Licensee MDPI, Basel, Switzerland. This article is an open access article distributed under the terms and conditions of the Creative Commons Attribution (CC BY) license (http://creativecommons.org/licenses/by/4.0/).
Share and Cite
Montiel-Olguín, L.J.; Ruiz-López, F.J.; Mellado, M.; Estrada-Cortés, E.; Gómez-Rosales, S.; Elton-Puente, J.E.; Vera-Avila, H.R. Body Condition Score and Milk Production on Conception Rate of Cows under a Small-Scale Dairy System. Animals 2019, 9, 800. https://doi.org/10.3390/ani9100800
Montiel-Olguín LJ, Ruiz-López FJ, Mellado M, Estrada-Cortés E, Gómez-Rosales S, Elton-Puente JE, Vera-Avila HR. Body Condition Score and Milk Production on Conception Rate of Cows under a Small-Scale Dairy System. Animals. 2019; 9(10):800. https://doi.org/10.3390/ani9100800
Chicago/Turabian StyleMontiel-Olguín, Luis Javier, Felipe J. Ruiz-López, Miguel Mellado, Eliab Estrada-Cortés, Sergio Gómez-Rosales, Juana Elizabeth Elton-Puente, and Hector Raymundo Vera-Avila. 2019. "Body Condition Score and Milk Production on Conception Rate of Cows under a Small-Scale Dairy System" Animals 9, no. 10: 800. https://doi.org/10.3390/ani9100800
APA StyleMontiel-Olguín, L. J., Ruiz-López, F. J., Mellado, M., Estrada-Cortés, E., Gómez-Rosales, S., Elton-Puente, J. E., & Vera-Avila, H. R. (2019). Body Condition Score and Milk Production on Conception Rate of Cows under a Small-Scale Dairy System. Animals, 9(10), 800. https://doi.org/10.3390/ani9100800

