Effects of Head-Neck Position and Ground Surface on Gait Kinematics in Ridden Brazilian Criollo Horses
Simple Summary
Abstract
1. Introduction
2. Materials and Methods
2.1. Animals
2.2. Experimental Data Collection
2.3. Biomechanical Parameter Estimation
2.4. Statistical Analysis
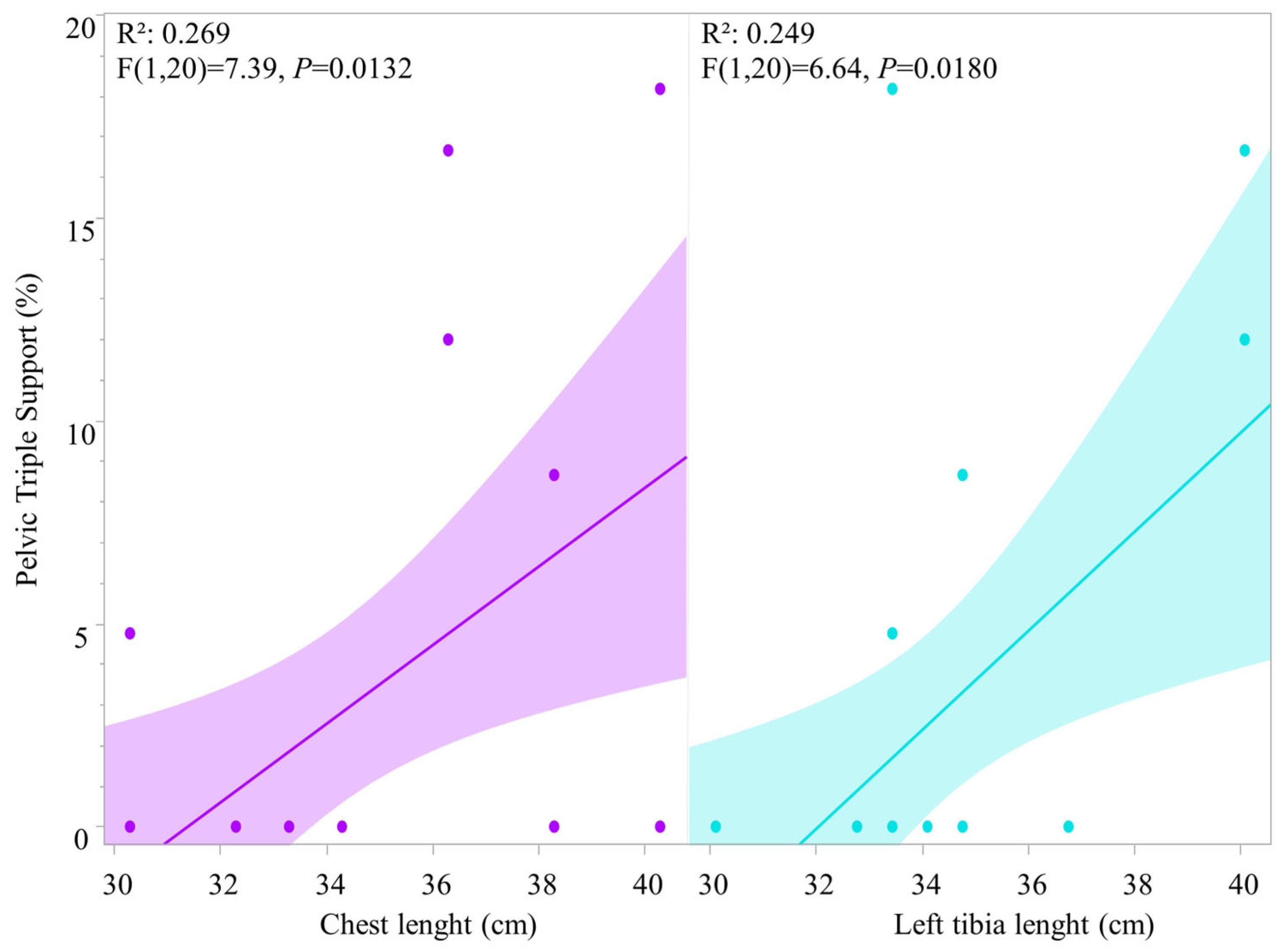
3. Results
4. Discussion
5. Conclusions
Supplementary Materials
Author Contributions
Funding
Institutional Review Board Statement
Informed Consent Statement
Data Availability Statement
Acknowledgments
Conflicts of Interest
Abbreviations
| HNP | Head and Neck Position |
| GRF | Ground Reaction Forces |
| PCA | Principal Component Analysis |
| ML | Maximum Likelihood |
References
- Karlau, A.; Molina, A.; Antonini, A.; Demyda-Peyrás, S. The influence of foreign lineages in the genetic component of reproductive traits in Criollo Argentino mares: A 30-year study. Livest. Sci. 2023, 267, 105153. [Google Scholar] [CrossRef]
- Pimentel, A.M.H.; de Souza, J.R.M.; Boligon, A.A.; Moreira, H.L.M.; Rechsteiner, S.M.d.E.F.; Pimentel, C.A.; Martins, C.F. Association of morphometric measurements with morphologic scores of Criollo horses at Freio de Ouro: A path analysis. Rev. Bras. Zootec. 2018, 47, e20180013. [Google Scholar] [CrossRef]
- Pizzi, G.L.B.L.; Holz, K.; Kowalski, É.A.; Ribeiro, P.F.; Blake, R.; Martins, C.F. Kinematic Analysis of the Esbarrada and Volta Sobre Patas Manoeuvres of Criollo Breed Horses Competing in Freio De Ouro. 2024. Available online: https://www.preprints.org/frontend/manuscript/78837b60e6941dafa8026b8bb334952a/download_pub (accessed on 24 March 2025).
- Minetti, A.; Ardigo, L.P.; Reinach, E.; Saibene, F. The relationship between mechanical work and energy expenditure of locomotion in horses. J. Exp. Biol. 1999, 202, 2329–2338. [Google Scholar] [CrossRef] [PubMed]
- Yamada, T.; Aoi, S.; Adachi, M.; Kamimura, T.; Higurashi, Y.; Wada, N.; Tsuchiya, K.; Matsuno, F. Center of mass offset enhances the selection of transverse gallop in high-speed running by horses: A modeling study. Front. Bioeng. Biotechnol. 2022, 10, 825157. [Google Scholar] [CrossRef]
- Hobbs, S.J.; Bertram, J.E.; Clayton, H.M. An exploration of the influence of diagonal dissociation and moderate changes in speed on locomotor parameters in trotting horses. PeerJ 2016, 4, e2190. [Google Scholar] [CrossRef] [PubMed]
- Hobbs, S.J.; Clayton, H.M. Collisional mechanics of the diagonal gaits of horses over a range of speeds. PeerJ 2019, 7, e7689. [Google Scholar] [CrossRef]
- Holmström, M.; Fredricson, I.; Drevemo, S. Biokinematic differences between riding horses judged as good and poor at the trot. Equine Vet. J. 1994, 26, 51–56. [Google Scholar] [CrossRef]
- Clayton, H.M. Comparison of the stride kinematics of the collected, working, medium and extended trot in horses. Equine Vet. J. 1994, 26, 230–234. [Google Scholar] [CrossRef]
- Deuel, N.R.; Park, J.-J. The gait patterns of Olympic dressage horses. J. Appl. Biomech. 1990, 6, 198–226. [Google Scholar] [CrossRef]
- Drevemo, S.; Dalin, G.; Fredricson, I.; Hjerten, G. Equine locomotion: 1. The analysis of linear and temporal stride characteristics of trotting Standardbreds. Equine Vet. J. 1980, 12, 60–65. [Google Scholar] [CrossRef]
- Holmström, M.; Fredricson, I.; Drevemo, S. Variation in angular pattern adaptation from trot in hand to passage and piaffe in the grand prix dressage horse. Equine Vet. J. 1995, 27, 132–137. [Google Scholar] [CrossRef]
- Weishaupt, M.A.; Hogg, H.; Auer, J.; Wiestner, T. Velocity-dependent changes of time, force and spatial parameters in Warmblood horses walking and trotting on a treadmill. Equine Vet. J. 2010, 42, 530–537. [Google Scholar] [CrossRef] [PubMed]
- Rhodin, M.; Smit, I.H.; Persson-Sjodin, E.; Pfau, T.; Gunnarsson, V.; Björnsdóttir, S.; Zetterberg, E.; Clayton, H.M.; Hobbs, S.J.; Serra Bragança, F.; et al. Timing of vertical head, withers and pelvis movements relative to the footfalls in different equine gaits and breeds. Animals 2022, 12, 3053. [Google Scholar] [CrossRef] [PubMed]
- Weishaupt, M.A.; Waldern, N.M.; Amport, C.; Ramseier, L.C.; Wiestner, T. Effects of shoeing on intra-and inter-limb coordination and movement consistency in Icelandic horses at walk, tölt and trot. Vet. J. 2013, 198, e109–e113. [Google Scholar] [CrossRef]
- Staiger, E.A.; Bellone, R.R.; Sutter, N.B.; Brooks, S.A. Morphological variation in gaited horse breeds. J. Equine Vet. Sci. 2016, 43, 55–65. [Google Scholar] [CrossRef]
- Staiger, E.A.; Pereira de Toledo, A.; Rizzato Paschoal, V.; Patterson Rosa, L. Variation in Four Horse Gait Categories Illustrated by Quantitative Analysis with ANALOC-E. Vet. Med. Int. 2025, 2025, 4906015. [Google Scholar] [CrossRef]
- Bertram, J.E.; Lee, D.V.; Case, H.N.; Todhunter, R.J. Comparison of the trotting gaits of Labrador Retrievers and Greyhounds. Am. J. Vet. Res. 2000, 61, 832–838. [Google Scholar] [CrossRef]
- Mousquer, M.A.; Paz, C.F.; Rafael, L.A.; Wendt, C.G.; Curcio, B.R.; de Souza, R.P.; Dos Santos, I.P.; da Silva, R.B.; Mueller, V.; Nogueira, C.E.W. Morphometric parameters, metabolic profile and musculoskeletal alterations in Criollo horses competing in the morphology trial. J. Equine Vet. Sci. 2025, 154, 105703. [Google Scholar] [CrossRef]
- Müller, V.; Moraes, B.d.S.S.; Carvalho, I.R.; Wendt, C.G.; Patten, R.D.; Nogueira, C.E.W. Genetic parameters of morphometric measurements in Criollo horses. J. Anim. Breed. Genet. 2021, 138, 174–178. [Google Scholar] [CrossRef] [PubMed]
- Meira, C.T.; Curi, R.A.; Silva, J.A.I.V.; Corrêa, M.J.M.; de Oliveira, H.N.; da Mota, M.D.S. Morphological and genomic differences between cutting and racing lines of Quarter Horses. J. Equine Vet. Sci. 2013, 33, 244–249. [Google Scholar] [CrossRef]
- Brooks, S.; Makvandi-Nejad, S.; Chu, E.; Allen, J.; Streeter, C.; Gu, E.; McCleery, B.; Murphy, B.; Bellone, R.; Sutter, N. Morphological variation in the horse: Defining complex traits of body size and shape. Anim. Genet. 2010, 41, 159–165. [Google Scholar] [CrossRef]
- Weishaupt, M.A.; Wiestner, T.; von Peinen, K.; Waldern, N.; Roepstorff, L.; Van Weeren, R.; Meyer, H.; Johnston, C. Effect of head and neck position on vertical ground reaction forces and interlimb coordination in the dressage horse ridden at walk and trot on a treadmill. Equine Vet. J. 2006, 38, 387–392. [Google Scholar] [CrossRef]
- Chateau, H.; Holden, L.; Robin, D.; Falala, S.; Pourcelot, P.; Estoup, P.; Denoix, J.M.; Crevier-Denoix, N. Biomechanical analysis of hoof landing and stride parameters in harness trotter horses running on different tracks of a sand beach (from wet to dry) and on an asphalt road. Equine Vet. J. 2010, 42, 488–495. [Google Scholar]
- Kramer, J.; Keegan, K.G.; Kelmer, G.; Wilson, D.A. Objective determination of pelvic movement during hind limb lameness by use of a signal decomposition method and pelvic height differences. Am. J. Vet. Res. 2004, 65, 741–747. [Google Scholar] [CrossRef]
- Keegan, K.G.; Yonezawa, Y.; Pai, P.F.; Wilson, D.A. Accelerometer-based system for the detection of lameness in horses. Biomed. Sci. Instrum. 2002, 38, 107–112. [Google Scholar]
- Keegan, K.G.; Yonezawa, Y.; Pai, P.F.; Wilson, D.A.; Kramer, J. Evaluation of a sensor-based system of motion analysis for detection and quantification of forelimb and hind limb lameness in horses. Am. J. Vet. Res. 2004, 65, 665–670. [Google Scholar] [CrossRef] [PubMed]
- Keegan, K.G. Evidence-based lameness detection and quantification. Vet. Clin. N. Am. Equine Pract. 2007, 23, 403–423. [Google Scholar] [CrossRef]
- Keegan, K.G.; Kramer, J.; Yonezawa, Y.; Maki, H.; Pai, P.F.; Dent, E.V.; Kellerman, T.E.; Wilson, D.A.; Reed, S.K. Assessment of repeatability of a wireless, inertial sensor–based lameness evaluation system for horses. Am. J. Vet. Res. 2011, 72, 1156–1163. [Google Scholar] [CrossRef]
- Donnell, J.R.; Frisbie, D.; King, M.; Goodrich, L.; Haussler, K. Comparison of subjective lameness evaluation, force platforms and an inertial-sensor system to identify mild lameness in an equine osteoarthritis model. Vet. J. 2015, 206, 136–142. [Google Scholar] [CrossRef]
- Rhodin, M.; Alvarez, C.G.; Byström, A.; Johnston, C.; Van Weeren, P.; Roepstorff, L.; Weishaupt, M. The effect of different head and neck positions on the caudal back and hindlimb kinematics in the elite dressage horse at trot. Equine Vet. J. 2009, 41, 274–279. [Google Scholar] [CrossRef]
- Clayton, H.M.; Schamhardt, H.C. Measurement techniques for gait analysis. In Equine Locomotion; Elsevier: Amsterdam, The Netherlands, 2001; Volume 2, pp. 31–60. [Google Scholar]
- Verna, E.; Audisi, S.; Vaquero, P.; Rossetto, L.; Arriagada, V.; Milanta, G. Aspectos cinemáticos del caballo criollo argentino al trote. Cienc. Vet. 2022, 24, 3. [Google Scholar] [CrossRef]
- Nicodemus, M.C.; Clayton, H.M. Temporal variables of four-beat, stepping gaits of gaited horses. Appl. Anim. Behav. Sci. 2003, 80, 133–142. [Google Scholar] [CrossRef]
- Ruina, A.; Bertram, J.E.; Srinivasan, M. A collisional model of the energetic cost of support work qualitatively explains leg sequencing in walking and galloping, pseudo-elastic leg behavior in running and the walk-to-run transition. J. Theor. Biol. 2005, 237, 170–192. [Google Scholar] [CrossRef]
- Clayton, H.M.; Hobbs, S.J. A review of biomechanical gait classification with reference to collected trot, passage and piaffe in dressage horses. Animals 2019, 9, 763. [Google Scholar] [CrossRef]
- Clayton, H.M.; van Weeren, P.R. Performance in equestrian sports. In Equine Locomotion; Elsevier: Amsterdam, The Netherlands, 2001; pp. 193–226. [Google Scholar]
- Clayton, H.M.; Hobbs, S.-J. The role of biomechanical analysis of horse and rider in equitation science. Appl. Anim. Behav. Sci. 2017, 190, 123–132. [Google Scholar] [CrossRef]
- Walker, V.A.; Tranquillle, C.A.; MacKechnie-Guire, R.; Spear, J.; Newton, R.; Murray, R.C. Effect of ground and raised Poles on kinematics of the walk. J. Equine Vet. Sci. 2022, 115, 104005. [Google Scholar] [PubMed]
- Church, E.; Walker, A.; Wilson, A.; Pfau, T. Evaluation of discriminant analysis based on dorsoventral symmetry indices to quantify hindlimb lameness during over ground locomotion in the horse. Equine Vet. J. 2009, 41, 304–308. [Google Scholar] [PubMed]
- Clayton, H.M.; Schamhardt, H.C.; Willemen, M.A.; Lanovaz, J.L.; Colborne, G.R. Kinematics and ground reaction forces in horses with superficial digital flexor tendinitis. Am. J. Vet. Res. 2000, 61, 191–196. [Google Scholar] [CrossRef] [PubMed]
- Clayton, H.M.; Hobbs, S.J. Ground reaction forces: The sine qua non of legged locomotion. J. Equine Vet. Sci. 2019, 76, 25–35. [Google Scholar] [CrossRef]
- Valera, M.; Galisteo, A.; Molina, A.; Miró, F.; Gómez, M.; Cano, M.; Agüera, E. Genetic parameters of biokinematic variables of the trot in Spanish Purebred horses under experimental treadmill conditions. Vet. J. 2008, 178, 219–226. [Google Scholar] [CrossRef]
- Molina, A.; Valera, M.; Dos Santos, R.; Rodero, A. Genetic parameters of morphofunctional traits in Andalusian horse. Livest. Prod. Sci. 1999, 60, 295–303. [Google Scholar] [CrossRef]
- Barrey, E.; Desliens, F.; Poirel, D.; Biau, S.; Lemaire, S.; Rivero, J.L.; Langlois, B. Early evaluation of dressage ability in different breeds. Equine Vet. J. 2002, 34, 319–324. [Google Scholar] [CrossRef] [PubMed]
- Back, W.; Schamhardt, H.; Savelberg, H.; Van den Bogert, A.; Bruin, G.; Hartman, W.; Barneveld, A. How the horse moves: 1. Significance of graphical representations of equine forelimb kinematics. Equine Vet. J. 1995, 27, 31–38. [Google Scholar]
- Back, W.; Schamhardt, H.C.; Hartman, W.; Barneveld, A. Kinematic differences between the distal portions of the forelimbs and hind limbs of horses at the trot. Am. J. Vet. Res. 1995, 56, 1522–1528. [Google Scholar] [CrossRef] [PubMed]
- Holmström, M.; Back, W. The effects of conformation. In Equine Locomotion; Elsevier: Amsterdam, The Netherlands, 2013; Volume 1. [Google Scholar]
- Clayton, H.M.; Bradbury, J. Temporal characteristics of the fox trot, a symmetrical equine gait. Appl. Anim. Behav. Sci. 1995, 42, 153–159. [Google Scholar] [CrossRef]







Disclaimer/Publisher’s Note: The statements, opinions and data contained in all publications are solely those of the individual author(s) and contributor(s) and not of MDPI and/or the editor(s). MDPI and/or the editor(s) disclaim responsibility for any injury to people or property resulting from any ideas, methods, instructions or products referred to in the content. |
© 2026 by the authors. Licensee MDPI, Basel, Switzerland. This article is an open access article distributed under the terms and conditions of the Creative Commons Attribution (CC BY) license.
Share and Cite
Martins, N.A.; Patterson Rosa, L.; Frank, M.I.; Dellbrigge, C.F.; Marafon, W.L.; Paz, L.B.; Schmidt, C.H.; De La Côrte, F.D. Effects of Head-Neck Position and Ground Surface on Gait Kinematics in Ridden Brazilian Criollo Horses. Animals 2026, 16, 1043. https://doi.org/10.3390/ani16071043
Martins NA, Patterson Rosa L, Frank MI, Dellbrigge CF, Marafon WL, Paz LB, Schmidt CH, De La Côrte FD. Effects of Head-Neck Position and Ground Surface on Gait Kinematics in Ridden Brazilian Criollo Horses. Animals. 2026; 16(7):1043. https://doi.org/10.3390/ani16071043
Chicago/Turabian StyleMartins, Natália Almeida, Laura Patterson Rosa, Maria Inês Frank, Camila Feil Dellbrigge, Weliton Luiz Marafon, Letícia Bisso Paz, Caio Henrique Schmidt, and Flávio Desessards De La Côrte. 2026. "Effects of Head-Neck Position and Ground Surface on Gait Kinematics in Ridden Brazilian Criollo Horses" Animals 16, no. 7: 1043. https://doi.org/10.3390/ani16071043
APA StyleMartins, N. A., Patterson Rosa, L., Frank, M. I., Dellbrigge, C. F., Marafon, W. L., Paz, L. B., Schmidt, C. H., & De La Côrte, F. D. (2026). Effects of Head-Neck Position and Ground Surface on Gait Kinematics in Ridden Brazilian Criollo Horses. Animals, 16(7), 1043. https://doi.org/10.3390/ani16071043

