Lin28b-let-7 Modulates mRNA Expression of GnRH1 Through Multiple Signaling Pathways Related to Glycolysis in GT1-7 Cells
Simple Summary
Abstract
1. Introduction
2. Methods and Materials
2.1. Ethics Approval
2.2. Experimental Animals and Tissues Collection
2.3. Cell Culture
2.4. Cell transfection and Rapamycin Treatment
2.5. Cells Treatment for GnRH Concentration, Pyruvate and ATP Content Detection
2.6. RNA Isolation and RT-qPCR
2.7. Library Construction and Small Sequencing
2.8. Small RNA Annotation and miRNA Identification
2.9. Differential Expression Analysis of miRNA and Target Gene Analysis
2.10. Statistical Analysis
3. Results
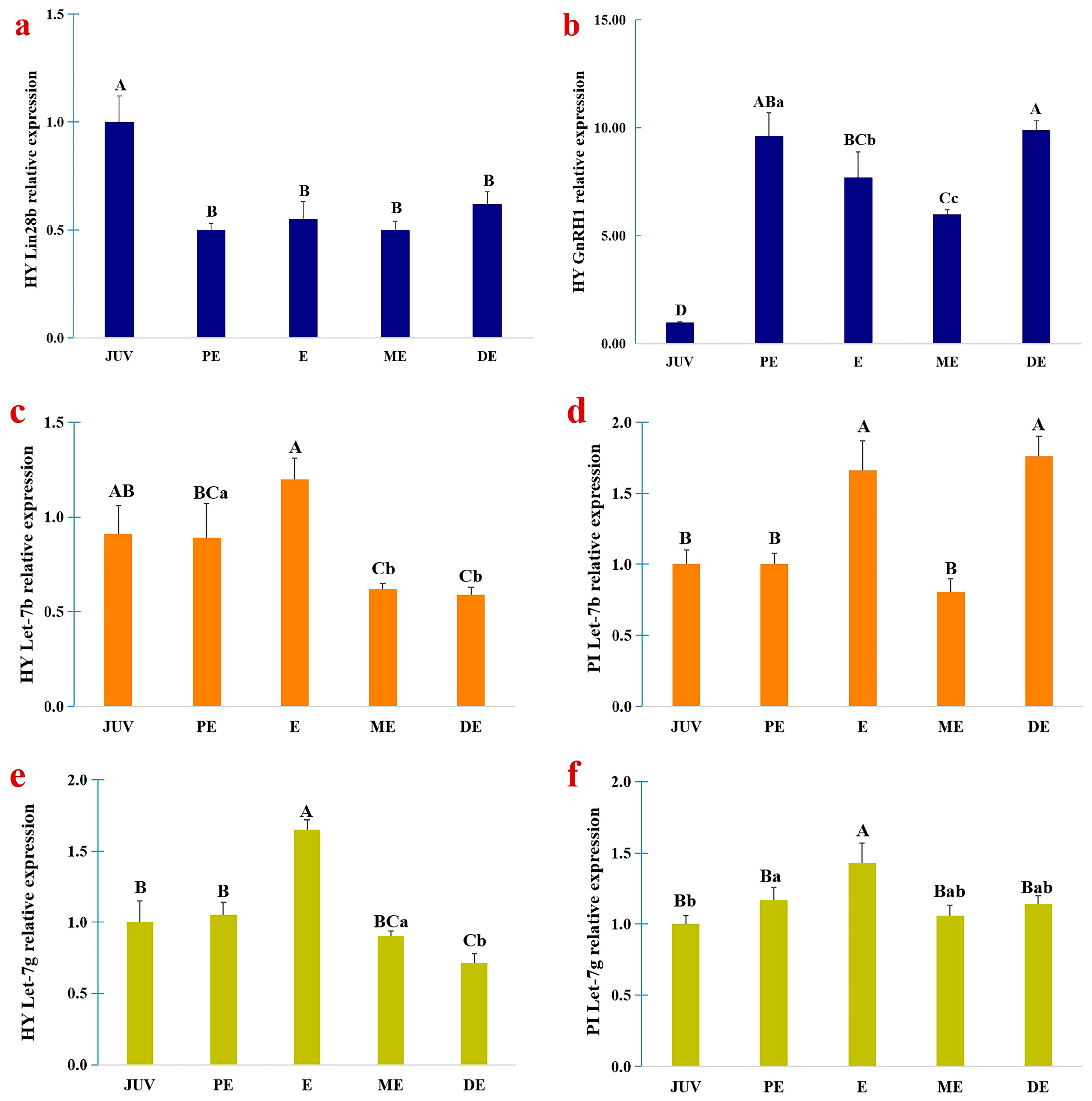
3.1. Expression of Lin28b, GnRH1, and let-7b/g in the Hypothalamus and/or Pituitary of Goats During Postnatal Maturation
3.2. Lin28b Affects the Expression of GnRH1, Kiss1 and Gpr54
3.3. Lin28b Affects the Expression of Genes Related to Glycolysis
3.4. The miRNA Expression Pattern Was Affected by Lin28b
3.5. GnRH1 mRNA Expression Was Inhibited by Blocking the mTOR Signaling
3.6. Rapamycin Altered the Expression of Genes Related to the mTOR Signaling Pathway
4. Discussion
5. Conclusions
Supplementary Materials
Author Contributions
Funding
Institutional Review Board Statement
Informed Consent Statement
Data Availability Statement
Acknowledgments
Conflicts of Interest
References
- Fuqua, J.S.; Eugster, E.A. History of puberty: Normal and precocious. Horm. Res. Paediatr. 2022, 95, 568–578. [Google Scholar] [CrossRef] [PubMed]
- Tzounakou, A.M.; Stathori, G.; Paltoglou, G.; Valsamakis, G.; Mastorakos, G.; Vlahos, N.F.; Charmandari, E. Childhood obesity, hypothalamic inflammation, and the onset of puberty: A narrative review. Nutrients 2024, 16, 1720. [Google Scholar] [CrossRef] [PubMed]
- Navarro, V.M. Metabolic regulation of kisspeptin, the link between energy balance and reproduction. Nat. Rev. Endocrinol. 2020, 16, 407–420. [Google Scholar] [CrossRef] [PubMed]
- Childs, G.V.; Odle, A.K.; MacNicol, M.C.; MacNicol, A.J. The importance of leptin to reproduction. Endocrinology 2021, 162, bqaa204. [Google Scholar] [CrossRef]
- Oyejobi, G.K.; Yan, X.; Sliz, P.; Wang, L. Regulating protein-RNA interactions: Advances in targeting the Lin28/let-7 pathway. Int. J. Mol. Sci. 2024, 25, 3585. [Google Scholar] [CrossRef]
- Zhu, H.; Shah, S.; Shyh-Chang, N.; Shinoda, G.; Einhorn, W.S.; Viswanathan, S.R.; Takeuchi, A.; Grasemann, C.; Rinn, J.L.; Lopez, M.F.; et al. Lin28a transgenic mice manifest size and puberty phenotypes identified in human genetic association studies. Nat. Genet. 2010, 42, 626–630. [Google Scholar] [CrossRef]
- Corre, C.; Shinoda, G.; Zhu, H.; Cousminer, D.L.; Crossman, C.; Bellissimo, C.; Goldenberg, A.; Daley, G.Q.; Palmert, M.R. Sex-specific regulation of weight and puberty by the Lin28/let-7 axis. J. Endocrinol. 2016, 228, 179–191. [Google Scholar] [CrossRef]
- Sangiao-Alvarellos, S.; Manfredi-Lozano, M.; Ruiz-Pino, F.; Navarro, V.M.; Sánchez-Garrido, M.A.; Leon, S.; Dieguez, C.; Cordido, F.; Matagne, V.; Dissen, G.A.; et al. Changes in hypothalamic expression of the Lin28/let-7 system and related microRNAs during postnatal maturation and after experimental manipulations of puberty. Endocrinology 2013, 154, 942–955. [Google Scholar] [CrossRef]
- Uenoyama, Y.; Nagae, M.; Tsuchida, H.; Inoue, N.; Tsukamura, H. Role of KNDy neurons expressing kisspeptin, neurokinin b, and dynorphin as a GnRH pulse generator controlling mammalian reproduction. Front. Endocrinol. 2021, 12, 724632. [Google Scholar] [CrossRef]
- Ruiz-Cruz, M.; Torres-Granados, C.; Tena-Sempere, M.; Roa, J. Central and peripheral mechanisms involved in the control of GnRH neuronal function by metabolic factors. Curr. Opin. Pharmacol. 2023, 71, 102382. [Google Scholar] [CrossRef]
- Chen, T.; Wu, H.; Chen, X.; Xie, R.; Wang, F.; Sun, H.; Chen, L. P53 mediates GnRH secretion via Lin28/let-7 system in GT1-7 Cells. Diabetes Metab. Syndr. Obes. 2020, 13, 4681–4688. [Google Scholar] [CrossRef] [PubMed]
- Guo, Y.; Chen, Y.; Ito, H.; Watanabe, A.; Ge, X.; Kodama, T.; Aburatani, H. Identification and characterization of lin-28 homolog B (LIN28B) in human hepatocellular carcinoma. Gene 2006, 384, 51–61. [Google Scholar] [CrossRef] [PubMed]
- Yang, D.H.; Moss, E.G. Temporally regulated expression of Lin-28 in diverse tissues of the developing mouse. Gene Expr. Patterns 2003, 3, 719–726. [Google Scholar] [CrossRef]
- Grieco, A.; Rzeczkowska, P.; Alm, C.; Palmert, M.R. Investigation of peripubertal expression of Lin28a and Lin28b in C57BL/6 female mice. Mol. Cell. Endocrinol. 2013, 365, 241–248. [Google Scholar] [CrossRef]
- He, C.; Kraft, P.; Chen, C.; Buring, J.E.; Paré, G.; Hankinson, S.E.; Chanock, S.J.; Ridker, P.M.; Hunter, D.J.; Chasman, D.I. Genome-wide association studies identify loci associated with age at menarche and age at natural menopause. Nat. Genet. 2009, 41, 724–728. [Google Scholar] [CrossRef]
- Perry, J.R.; Stolk, L.; Franceschini, N.; Lunetta, K.L.; Zhai, G.; McArdle, P.F.; Smith, A.V.; Aspelund, T.; Bandinelli, S.; Boerwinkle, E.; et al. Meta-analysis of genome-wide association data identifies two loci influencing age at menarche. Nat. Genet. 2009, 41, 648–650. [Google Scholar] [CrossRef]
- Ong, K.K.; Elks, C.E.; Li, S.; Zhao, J.H.; Luan, J.; Andersen, L.B.; Bingham, S.A.; Brage, S.; Smith, G.D.; Ekelund, U.; et al. Genetic variation in LIN28B is associated with the timing of puberty. Nat. Genet. 2009, 41, 729–733. [Google Scholar] [CrossRef]
- Sulem, P.; Gudbjartsson, D.F.; Rafnar, T.; Holm, H.; Olafsdottir, E.J.; Olafsdottir, G.H.; Jonsson, T.; Alexandersen, P.; Feenstra, B.; Boyd, H.A.; et al. Genome-wide association study identifies sequence variants on 6q21 associated with age at menarche. Nat. Genet. 2009, 41, 734–738. [Google Scholar] [CrossRef]
- Elks, C.E.; Perry, J.R.; Sulem, P.; Chasman, D.I.; Franceschini, N.; He, C.; Lunetta, K.L.; Visser, J.A.; Byrne, E.M.; Cousminer, D.L.; et al. Thirty new loci for age at menarche identified by a meta-analysis of genome-wide association studies. Nat. Genet. 2010, 42, 1077–1087. [Google Scholar] [CrossRef] [PubMed]
- Day, F.R.; Thompson, D.J.; Helgason, H.; Chasman, D.I.; Finucane, H.; Sulem, P.; Ruth, K.S.; Whalen, S.; Sarkar, A.K.; Albrecht, E.; et al. Genomic analyses identify hundreds of variants associated with age at menarche and support a role for puberty timing in cancer risk. Nat. Genet. 2017, 49, 834–841. [Google Scholar] [CrossRef]
- Zhu, H.; Shyh-Chang, N.; Segre, A.V.; Shinoda, G.; Shah, S.P.; Einhorn, W.S.; Takeuchi, A.; Engreitz, J.M.; Hagan, J.P.; Kharas, M.G.; et al. The Lin28/let-7 axis regulates glucose metabolism. Cell 2011, 147, 81–94. [Google Scholar] [CrossRef] [PubMed]
- Sung, Y.; Jeong, J.; Kang, R.J.; Choi, M.; Park, S.; Kwon, W.; Lee, J.; Jang, S.; Park, S.J.; Kim, S.H.; et al. Lin28a expression protects against streptozotocin induced β-cell destruction and prevents diabetes in mice. Cell Biochem. Funct. 2019, 37, 139–147. [Google Scholar] [CrossRef] [PubMed]
- Chen, T.; Chen, C.; Wu, H.; Chen, X.; Xie, R.; Wang, F.; Sun, H.; Chen, L. Overexpression of p53 accelerates puberty in high-fat diet-fed mice through Lin28/let-7 system. Exp. Biol. Med. 2021, 246, 66–71. [Google Scholar] [CrossRef] [PubMed]
- Zhou, X.; Li, J.; Wang, J.; Yang, H.; Xie, X.; Chen, Z.; Zhang, B. Lin28 promoting the protective effect of PMSCs on hepatic ischaemia-reperfusion injury by regulating glucose metabolism. J. Cell. Mol. Med. 2023, 27, 1384–1397. [Google Scholar] [CrossRef]
- Garcia-Galiano, D.; Borges, B.C.; Donato, J., Jr.; Allen, S.J.; Bellefontaine, N.; Wang, M.; Zhao, J.J.; Kozloff, K.M.; Hill, J.W.; Elias, C.F. PI3Kα inactivation in leptin receptor cells increases leptin sensitivity but disrupts growth and reproduction. JCI Insight 2017, 2, e96728. [Google Scholar] [CrossRef]
- Tao, L.; Fan, X.; Sun, J.; Zhang, Z. Metformin prevented high glucose-induced endothelial reactive oxygen species via OGG1 in an AMPKα-Lin-28 dependent pathway. Life Sci. 2021, 268, 119015. [Google Scholar] [CrossRef]
- Luo, C.; Lin, K.; Hu, C.; Zhu, X.; Zhu, J.; Zhu, Z. LINC01094 promotes pancreatic cancer progression by sponging miR-577 to regulate LIN28B expression and the PI3K/AKT pathway. Mol. Ther. Nucl. Acids 2021, 26, 523–535. [Google Scholar] [CrossRef]
- Abouelfetouh, M.M.; Salah, E.; Liu, L.; Ding, M.; Ding, Y. Intrathecal adenosine enhances the antinociception of Xylazine in goats. BMC Vet. Res. 2022, 18, 105. [Google Scholar] [CrossRef]
- Leng, D.; Huang, Z.; Bai, X.; Wang, T.; Zhang, Y.; Chang, W.; Zhao, W.; Li, D.; Chen, B. Gene expression profiles in specific skeletal muscles and meat quality characteristics of sheep and goats. Sci. Data 2024, 11, 1390. [Google Scholar] [CrossRef]
- Langmead, B.; Salzberg, S.L. Fast gapped-read alignment with Bowtie 2. Nat. Methods 2012, 9, 357–359. [Google Scholar] [CrossRef]
- Friedländer, M.R.; Chen, W.; Adamidi, C.; Maaskola, J.; Einspanier, R.; Knespel, S.; Rajewsky, N. Discovering microRNAs from deep sequencing data using miRDeep. Nat. Biotechnol. 2008, 26, 407–415. [Google Scholar] [CrossRef] [PubMed]
- Krüger, J.; Rehmsmeier, M. RNAhybrid: microRNA target prediction easy, fast and flexible. Nucleic Acids Res. 2006, 34, W451–W454. [Google Scholar] [CrossRef] [PubMed]
- Agarwal, V.; Bell, G.W.; Nam, J.; Bartel, D.P. Predicting effective microRNA target sites in mammalian mRNAs. eLife 2015, 4, e05005. [Google Scholar] [CrossRef] [PubMed]
- Bonnet, E.; He, Y.; Billiau, K.; Van de Peer, Y. TAPIR, a web server for the prediction of plant microRNA targets, including target mimics. Bioinformatics 2010, 26, 1566–1568. [Google Scholar] [CrossRef] [PubMed]
- Fahlgren, N.; Carrington, J.C. miRNA target prediction in plants. Methods Mol. Biol. 2010, 592, 51–57. [Google Scholar]
- Prioni, S.; Loberto, N.; Prinetti, A.; Chigorno, V.; Guzzi, F.; Maggi, R.; Parenti, M.; Sonnino, S. Sphingolipid metabolism and caveolin expression in gonadotropin-releasing hormone-expressing GN11 and gonadotropin-releasing hormone-secreting GT1-7 neuronal cells. Neurochem. Res. 2002, 27, 831–840. [Google Scholar] [CrossRef]
- Chen, X.; Zheng, M.; Fei, X.; Ma, Y. Analysis of the efficacy of Dabuyin pill combined with gonadotropin-releasing hormone analogue in the treatment of central precocious puberty girls based on network pharmacology. Transl. Pediatr. 2023, 12, 364–374. [Google Scholar] [CrossRef]
- Liu, Y.; Bai, J.H.; Xu, X.L.; Chen, Z.L.; Spicer, L.J.; Feng, T. Effects of N-carbamylglutamate and L-arginine on gonadotrophin-releasing hormone (GnRH) gene expression and secretion in GT1-7 cells. Reprod. Fertil. Dev. 2018, 30, 759–765. [Google Scholar] [CrossRef]
- Xie, Q.; Kang, Y.; Zhang, C.; Xie, Y.; Wang, C.; Liu, J.; Yu, C.; Zhao, H.; Huang, D. The role of kisspeptin in the control of the Hypothalamic-pituitary-gonadal axis and reproduction. Front. Endocrinol. 2022, 13, 925206. [Google Scholar] [CrossRef]
- Ma, X.; Li, C.; Sun, L.; Huang, D.; Li, T.; He, X.; Wu, G.; Yang, Z.; Zhong, X.; Song, L.; et al. Lin28/let-7 axis regulates aerobic glycolysis and cancer progression via PDK1. Nat. Commun. 2014, 5, 5212. [Google Scholar] [CrossRef]
- Docherty, C.K.; Salt, I.P.; Mercer, J.R. Lin28A induces energetic switching to glycolytic metabolism in human embryonic kidney cells. Stem Cell Res. Ther. 2016, 7, 78. [Google Scholar] [CrossRef] [PubMed]
- Cao, L.; Wang, M.; Dong, Y.; Xu, B.; Chen, J.; Ding, Y.; Qiu, S.; Li, L.; Karamfilova Zaharieva, E.; Zhou, X.; et al. Circular RNA circRNF20 promotes breast cancer tumorigenesis and Warburg effect through miR-487a/HIF-1α/HK2. Cell Death Dis. 2020, 11, 145. [Google Scholar] [CrossRef] [PubMed]
- Wang, H.; Sun, J.; Sun, H.; Wang, Y.; Lin, B.; Wu, L.; Qin, W.; Zhu, Q.; Yi, W. The OGT-c-Myc-PDK2 axis rewires the TCA cycle and promotes colorectal tumor growth. Cell Death Differ. 2024, 31, 1157–1169. [Google Scholar] [CrossRef] [PubMed]
- Holness, M.J.; Sugden, M.C. Regulation of pyruvate dehydrogenase complex activity by reversible phosphorylation. Biochem. Soc. Trans. 2003, 31 Pt 6, 1143–1151. [Google Scholar] [CrossRef]
- Kim, J.W.; Tchernyshyov, I.; Semenza, G.L.; Dang, C.V. HIF-1-mediated expression of pyruvate dehydrogenase kinase: A metabolic switch required for cellular adaptation to hypoxia. Cell Metab. 2006, 3, 177–185. [Google Scholar] [CrossRef]
- Papandreou, I.; Cairns, R.A.; Fontana, L.; Lim, A.L.; Denko, N.C. HIF-1 mediates adaptation to hypoxia by actively downregulating mitochondrial oxygen consumption. Cell Metab. 2006, 3, 187–197. [Google Scholar] [CrossRef]
- Salvi, R.; Castillo, E.; Voirol, M.J.; Glauser, M.; Rey, J.P.; Gaillard, R.C.; Vollenweider, P.; Pralong, F.P. Gonadotropin-releasing hormone-expressing neurons immortalized conditionally are activated by insulin: Implication of the mitogen-activated protein kinase pathway. Endocrinology 2006, 147, 816–826. [Google Scholar] [CrossRef]
- Tran, D.Q.; Ramos, E.H.; Belsham, D.D. Induction of GnRH mRNA expression by the ω-3 polyunsaturated fatty acid docosahexaenoic acid and the saturated fatty acid palmitate in a GnRH-synthesizing neuronal cell model, mHypoA-GnRH/GFP. Mol. Cell. Endocrinol. 2016, 426, 125–135. [Google Scholar] [CrossRef]
- Zhou, S.; Shen, Y.; Zang, S. The epigenetic role of HTR1A antagonist in facilitaing GnRH expression for pubertal initiation control. Mol. Ther. Nucl. Acids 2021, 25, 198–206. [Google Scholar] [CrossRef]
- Huang, T.; Gu, W.; Liu, E.; Zhang, L.; Dong, F.; He, X.; Jiao, W.; Li, C.; Wang, B.; Xu, G. Screening and validation of p38 MAPK involved in ovarian development of Brachymystax lenok. Front. Vet. Sci. 2022, 9, 752521. [Google Scholar] [CrossRef]
- Oldach, L.M.; Gorshkov, K.; Mills, W.T.; Zhang, J.; Meffert, M.K. A biosensor for MAPK-dependent Lin28 signaling. Mol. Biol. Cell 2018, 29, 1157–1167. [Google Scholar] [CrossRef] [PubMed]
- Ye, J.; Yan, X.; Qin, P.; Gong, X.; Li, H.; Liu, Y.; Yu, T.; Zhang, Y.; Ling, Y.; Cao, H.; et al. Proteomic analysis of hypothalamus in prepubertal and pubertal female goat. J. Proteom. 2022, 251, 104411. [Google Scholar] [CrossRef] [PubMed]
- Guo, H.; Xuanyuan, S.; Zhang, B.; Shi, C. Activation of PI3K/Akt prevents hypoxia/reoxygenation-induced GnRH decline via FOXO3a. Physiol. Res. 2022, 71, 509–516. [Google Scholar] [CrossRef] [PubMed]
- Liu, S.; Chen, Y.; Li, T.; Qiao, L.; Yang, Q.; Rong, W.; Liu, Q.; Wang, W.; Song, J.; Wang, X.; et al. Effects of 17α-methyltestosterone on the transcriptome and sex hormones in the brain of Gobiocypris rarus. Int. J. Mol. Sci. 2023, 24, 3571. [Google Scholar] [CrossRef]









Disclaimer/Publisher’s Note: The statements, opinions and data contained in all publications are solely those of the individual author(s) and contributor(s) and not of MDPI and/or the editor(s). MDPI and/or the editor(s) disclaim responsibility for any injury to people or property resulting from any ideas, methods, instructions or products referred to in the content. |
© 2025 by the authors. Licensee MDPI, Basel, Switzerland. This article is an open access article distributed under the terms and conditions of the Creative Commons Attribution (CC BY) license (https://creativecommons.org/licenses/by/4.0/).
Share and Cite
Xie, Y.; Li, X.; Wang, M.; Chu, M.; Cao, G. Lin28b-let-7 Modulates mRNA Expression of GnRH1 Through Multiple Signaling Pathways Related to Glycolysis in GT1-7 Cells. Animals 2025, 15, 120. https://doi.org/10.3390/ani15020120
Xie Y, Li X, Wang M, Chu M, Cao G. Lin28b-let-7 Modulates mRNA Expression of GnRH1 Through Multiple Signaling Pathways Related to Glycolysis in GT1-7 Cells. Animals. 2025; 15(2):120. https://doi.org/10.3390/ani15020120
Chicago/Turabian StyleXie, Yujing, Xin Li, Meng Wang, Mingxing Chu, and Guiling Cao. 2025. "Lin28b-let-7 Modulates mRNA Expression of GnRH1 Through Multiple Signaling Pathways Related to Glycolysis in GT1-7 Cells" Animals 15, no. 2: 120. https://doi.org/10.3390/ani15020120
APA StyleXie, Y., Li, X., Wang, M., Chu, M., & Cao, G. (2025). Lin28b-let-7 Modulates mRNA Expression of GnRH1 Through Multiple Signaling Pathways Related to Glycolysis in GT1-7 Cells. Animals, 15(2), 120. https://doi.org/10.3390/ani15020120

