Dairy Cattle Infection with Bovine Rotavirus at Different Growth Stages and Its Impact on Health and Productivity
Simple Summary
Abstract
1. Introduction
2. Materials and Methods
2.1. Sample Collection
2.2. Viral Nucleic Acid Extraction
2.3. RT–qPCR Analysis
2.4. Criteria for Positive Samples
2.5. Data Collection for Production Performance
2.6. Statistical Analysis
3. Results
3.1. Prevalence of BRV Across Farms
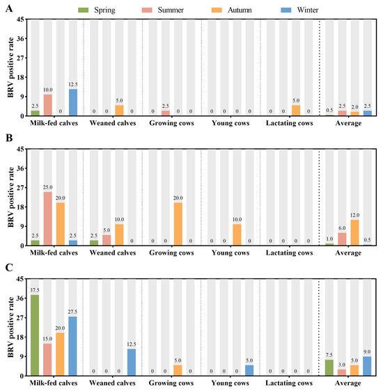
3.2. Prevalence of BRV Across Farms, Seasons, and Growth Stages
3.3. Correlation Between BRV Positivity and Morbidity in Milk-Fed Calves
3.4. Correlation Between BRV Positivity and Mortality in Milk-Fed Calves
3.5. Negative Correlation Between BRV Positivity and ADG in Milk-Fed Calves
3.6. Correlation Between BRV Positivity and the ADGPR in Milk-Fed Calves
4. Discussion
5. Conclusions
Author Contributions
Funding
Institutional Review Board Statement
Informed Consent Statement
Data Availability Statement
Conflicts of Interest
Abbreviations
| MDPI | Multidisciplinary Digital Publishing Institute |
| DOAJ | Directory of open access journals |
| TLA | Three-letter acronym |
| LD | Linear dichroism |
| BRV | Bovine Rotavirus |
| ADG | Average daily weight gain |
| ADGPR | Average daily weight gain pass rate |
| OECD | Organization for Economic Co-operation and Development |
| FAO | Food and Agriculture Organization of the United Nations |
| RT–qPCR | Real-Time Quantitative poly chain reaction |
| FAM | Carboxyfluorescein |
| Ct | Cycle threshold |
| BVDV | Bovine viral diarrhea virus |
| BCoV | Bovine coronavirus |
| E. coli | Escherichia coli |
References
- OECD; Food and Agriculture Organization of the United Nations. OECD-FAO Agricultural Outlook 2023–2032; OECD-FAO Agricultural Outlook; OECD, 2023; ISBN 978-92-64-61933-3. Available online: https://www.oecd-ilibrary.org/agriculture-and-food/oecd-fao-agricultural-outlook-2023-2032_08801ab7-en (accessed on 1 April 2025).
- Lora, I.; Magrin, L.; Contiero, B.; Ranzato, G.; Cozzi, G. Individual Antimicrobial Treatments in Veal Calves: Effect on the Net Carcasses Weight at the Slaughterhouse and Relationship with the Serostatus of the Calves upon Arrival to the Fattening Unit. Prev. Vet. Med. 2022, 207, 105715. [Google Scholar] [CrossRef] [PubMed]
- Renaud, D.L.; Rot, C.; Marshall, J.; Steele, M.A. The Effect of Cryptosporidium Parvum, Rotavirus, and Coronavirus Infection on the Health and Performance of Male Dairy Calves. J. Dairy Sci. 2021, 104, 2151–2163. [Google Scholar] [CrossRef] [PubMed]
- Scott, K.; Kelton, D.F.; Duffield, T.F.; Renaud, D.L. Risk Factors Identified on Arrival Associated with Morbidity and Mortality at a Grain-Fed Veal Facility: A Prospective, Single-Cohort Study. J. Dairy Sci. 2019, 102, 9224–9235. [Google Scholar] [CrossRef] [PubMed]
- Kaneene, J.B.; Scott Hurd, H. The National Animal Health Monitoring System in Michigan. III. Cost Estimates of Selected Dairy Cattle Diseases. Prev. Vet. Med. 1990, 8, 127–140. [Google Scholar] [CrossRef]
- Roche, S.M.; Von Massow, M.; Renaud, D.; Shock, D.A.; Jones-Bitton, A.; Kelton, D.F. Cost-Benefit of Implementing a Participatory Extension Model for Improving on-Farm Adoption of Johne’s Disease Control Recommendations. J. Dairy Sci. 2020, 103, 451–472. [Google Scholar] [CrossRef]
- Gulliksen, S.M.; Jor, E.; Lie, K.I.; Hamnes, I.S.; Løken, T.; Akerstedt, J.; Osterås, O. Enteropathogens and Risk Factors for Diarrhea in Norwegian Dairy Calves. J. Dairy Sci. 2009, 92, 5057–5066. [Google Scholar] [CrossRef]
- Umaña Sedó, S.G.; Winder, C.B.; Perry, K.V.; Caswell, J.L.; Mee, J.F.; Renaud, D.L. Herd-Level Risk Factors Associated with Preweaning Mortality on Ontario Dairy Farms. J. Dairy Sci. 2024, 107, 11502–11512. [Google Scholar] [CrossRef]
- Svensson, C.; Lundborg, K.; Emanuelson, U.; Olsson, S.-O. Morbidity in Swedish Dairy Calves from Birth to 90 Days of Age and Individual Calf-Level Risk Factors for Infectious Diseases. Prev. Vet. Med. 2003, 58, 179–197. [Google Scholar] [CrossRef]
- Trotz-Williams, L.A.; Leslie, K.E.; Peregrine, A.S. Passive Immunity in Ontario Dairy Calves and Investigation of Its Association with Calf Management Practices. J. Dairy Sci. 2008, 91, 3840–3849. [Google Scholar] [CrossRef]
- Svensson, C.; Hultgren, J.; Oltenacu, P.A. Morbidity in 3-7-Month-Old Dairy Calves in South-Western Sweden, and Risk Factors for Diarrhoea and Respiratory Disease. Prev. Vet. Med. 2006, 74, 162–179. [Google Scholar] [CrossRef]
- Frank, N.A.; Kaneene, J.B. Management Risk Factors Associated with Calf Diarrhea in Michigan Dairy Herds. J. Dairy Sci. 1993, 76, 1313–1323. [Google Scholar] [CrossRef] [PubMed]
- Swiatek, D.L.; Palombo, E.A.; Lee, A.; Coventry, M.J.; Britz, M.L.; Kirkwood, C.D. Characterisation of G8 Human Rotaviruses in Australian Children with Gastroenteritis. Virus Res. 2010, 148, 1–7. [Google Scholar] [CrossRef]
- Wang, M.; Yan, Y.; Wang, R.; Wang, L.; Zhou, H.; Li, Y.; Tang, L.; Xu, Y.; Jiang, Y.; Cui, W.; et al. Simultaneous Detection of Bovine Rotavirus, Bovine Parvovirus, and Bovine Viral Diarrhea Virus Using a Gold Nanoparticle-Assisted PCR Assay with a Dual-Priming Oligonucleotide System. Front. Microbiol. 2019, 10, 2884. [Google Scholar] [CrossRef]
- Gomez, D.E.; Weese, J.S. Viral Enteritis in Calves. Can. Vet. J. 2017, 58, 1267–1274. [Google Scholar]
- Izzo, M.M.; Kirkland, P.D.; Mohler, V.L.; Perkins, N.R.; Gunn, A.A.; House, J.K. Prevalence of Major Enteric Pathogens in Australian Dairy Calves with Diarrhoea. Aust. Vet. J. 2011, 89, 167–173. [Google Scholar] [CrossRef]
- Lanz Uhde, F.; Kaufmann, T.; Sager, H.; Albini, S.; Zanoni, R.; Schelling, E.; Meylan, M. Prevalence of Four Enteropathogens in the Faeces of Young Diarrhoeic Dairy Calves in Switzerland. Vet. Rec. 2008, 163, 362–366. [Google Scholar] [CrossRef] [PubMed]
- Nydam, D.V.; Mohammed, H.O. Quantitative Risk Assessment of Cryptosporidium Species Infection in Dairy Calves. J. Dairy Sci. 2005, 88, 3932–3943. [Google Scholar] [CrossRef]
- Dhama, K.; Chauhan, R.S.; Mahendran, M.; Malik, S.V.S. Rotavirus Diarrhea in Bovines and Other Domestic Animals. Vet. Res. Commun. 2009, 33, 1–23. [Google Scholar] [CrossRef] [PubMed]
- Waltner-Toews, D.; Martin, S.W.; Meek, A.H. An Epidemiological Study of Selected Calf Pathogens on Holstein Dairy Farms in Southwestern Ontario. Can. J. Vet. Res. 1986, 50, 307–313. [Google Scholar]
- Chen, S.; Zhang, W.; Zhai, J.; Chen, X.; Qi, Y. Prevalence of Bovine Rotavirus among Cattle in Mainland China: A Meta-Analysis. Microb. Pathog. 2022, 170, 105727. [Google Scholar] [CrossRef]
- Papp, H.; László, B.; Jakab, F.; Ganesh, B.; De Grazia, S.; Matthijnssens, J.; Ciarlet, M.; Martella, V.; Bányai, K. Review of Group A Rotavirus Strains Reported in Swine and Cattle. Vet. Microbiol. 2013, 165, 190–199. [Google Scholar] [CrossRef] [PubMed]
- Saif, L.J.; Fernandez, F.M. Group A Rotavirus Veterinary Vaccines. J. Infect. Dis. 1996, 174, S98–S106. [Google Scholar] [CrossRef] [PubMed]
- Cheng, X.; Wu, W.; Teng, F.; Yan, Y.; Li, G.; Wang, L.; Wang, X.; Wang, R.; Zhou, H.; Jiang, Y.; et al. Isolation and Characterization of Bovine RVA from Northeast China, 2017–2020. Life 2021, 11, 1389. [Google Scholar] [CrossRef]
- Brunauer, M.; Roch, F.-F.; Conrady, B. Prevalence of Worldwide Neonatal Calf Diarrhoea Caused by Bovine Rotavirus in Combination with Bovine Coronavirus, Escherichia Coli K99 and Cryptosporidium spp.: A Meta-Analysis. Animals 2021, 11, 1014. [Google Scholar] [CrossRef] [PubMed]
- Chase, C.C.L.; Hurley, D.J.; Reber, A.J. Neonatal Immune Development in the Calf and Its Impact on Vaccine Response. Vet. Clin. N. Am. Food Anim. Pract. 2008, 24, 87–104. [Google Scholar] [CrossRef]
- Lichtmannsperger, K.; Hartsleben, C.; Spöcker, M.; Hechenberger, N.; Tichy, A.; Wittek, T. Factors Associated with Colostrum Quality, the Failure of Transfer of Passive Immunity, and the Impact on Calf Health in the First Three Weeks of Life. Animals 2023, 13, 1740. [Google Scholar] [CrossRef]
- Cho, Y.; Yoon, K.-J. An Overview of Calf Diarrhea—Infectious Etiology, Diagnosis, and Intervention. J. Vet. Sci. 2014, 15, 1. [Google Scholar] [CrossRef]





| Farm | Season | Positive Rate of BRV (%) | Morbidity (%) | Mortality (%) | ADG (kg) | ADGPR (%) |
|---|---|---|---|---|---|---|
| 1 | Spring | 2.50 | 11.48 | 1.78 | 0.98 | 87.42 |
| Summer | 10.00 | 12.80 | 3.51 | 0.99 | 90.15 | |
| Autumn | 0.00 | 11.26 | 1.68 | 0.99 | 91.87 | |
| Winter | 12.50 | 12.69 | 3.38 | 0.96 | 91.60 | |
| 2 | Spring | 2.50 | 13.15 | 3.00 | 1.00 | 87.60 |
| Summer | 25.00 | 25.02 | 4.64 | 0.88 | 88.68 | |
| Autumn | 20.00 | 12.59 | 2.83 | 0.95 | 87.38 | |
| Winter | 2.50 | 11.57 | 2.51 | 0.98 | 94.92 | |
| 3 | Spring | 37.50 | 14.10 | 4.35 | 0.94 | 71.43 |
| Summer | 15.00 | 12.26 | 4.00 | 0.96 | 90.20 | |
| Autumn | 20.00 | 10.90 | 3.25 | 0.95 | 88.34 | |
| Winter | 27.50 | 11.17 | 3.93 | 0.94 | 91.53 |
Disclaimer/Publisher’s Note: The statements, opinions and data contained in all publications are solely those of the individual author(s) and contributor(s) and not of MDPI and/or the editor(s). MDPI and/or the editor(s) disclaim responsibility for any injury to people or property resulting from any ideas, methods, instructions or products referred to in the content. |
© 2025 by the authors. Licensee MDPI, Basel, Switzerland. This article is an open access article distributed under the terms and conditions of the Creative Commons Attribution (CC BY) license (https://creativecommons.org/licenses/by/4.0/).
Share and Cite
Hou, X.; Niu, Z.; Wu, S.; Du, Q.; Liu, G.; Nie, L.; Zhu, C.; Qiu, Y.; Huang, Y.; Cao, Y.; et al. Dairy Cattle Infection with Bovine Rotavirus at Different Growth Stages and Its Impact on Health and Productivity. Animals 2025, 15, 1628. https://doi.org/10.3390/ani15111628
Hou X, Niu Z, Wu S, Du Q, Liu G, Nie L, Zhu C, Qiu Y, Huang Y, Cao Y, et al. Dairy Cattle Infection with Bovine Rotavirus at Different Growth Stages and Its Impact on Health and Productivity. Animals. 2025; 15(11):1628. https://doi.org/10.3390/ani15111628
Chicago/Turabian StyleHou, Xinfeng, Zheng Niu, Shengru Wu, Qian Du, Guanglei Liu, Lichen Nie, Changlei Zhu, Yudong Qiu, Yong Huang, Yangchun Cao, and et al. 2025. "Dairy Cattle Infection with Bovine Rotavirus at Different Growth Stages and Its Impact on Health and Productivity" Animals 15, no. 11: 1628. https://doi.org/10.3390/ani15111628
APA StyleHou, X., Niu, Z., Wu, S., Du, Q., Liu, G., Nie, L., Zhu, C., Qiu, Y., Huang, Y., Cao, Y., & Tong, D. (2025). Dairy Cattle Infection with Bovine Rotavirus at Different Growth Stages and Its Impact on Health and Productivity. Animals, 15(11), 1628. https://doi.org/10.3390/ani15111628

