Effect of a 14-Day Period of Heat Acclimation on Horses Using Heated Indoor Arenas in Preparation for Tokyo Olympic Games
Abstract
Simple Summary
Abstract
1. Introduction
2. Materials and Methods
2.1. Horses
2.2. Study Design
2.2.1. Acclimation Period
2.2.2. Standardised Exercise Tests
2.3. Measurements
2.4. Data Analysis
3. Results
3.1. General
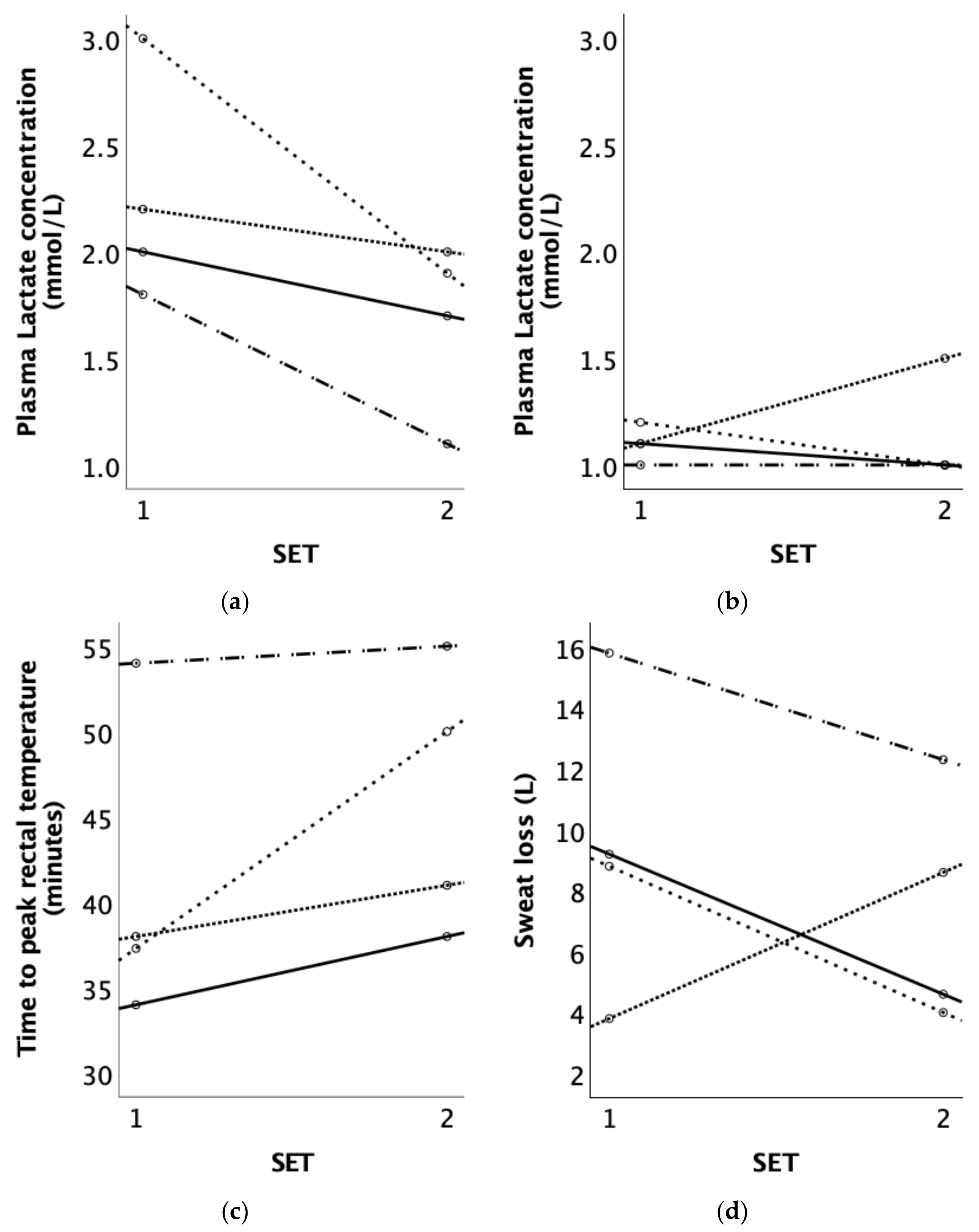
3.2. Heart Rate and Plasma Lactate Concentration
3.3. Rectal Temperature
3.4. Heat Storage
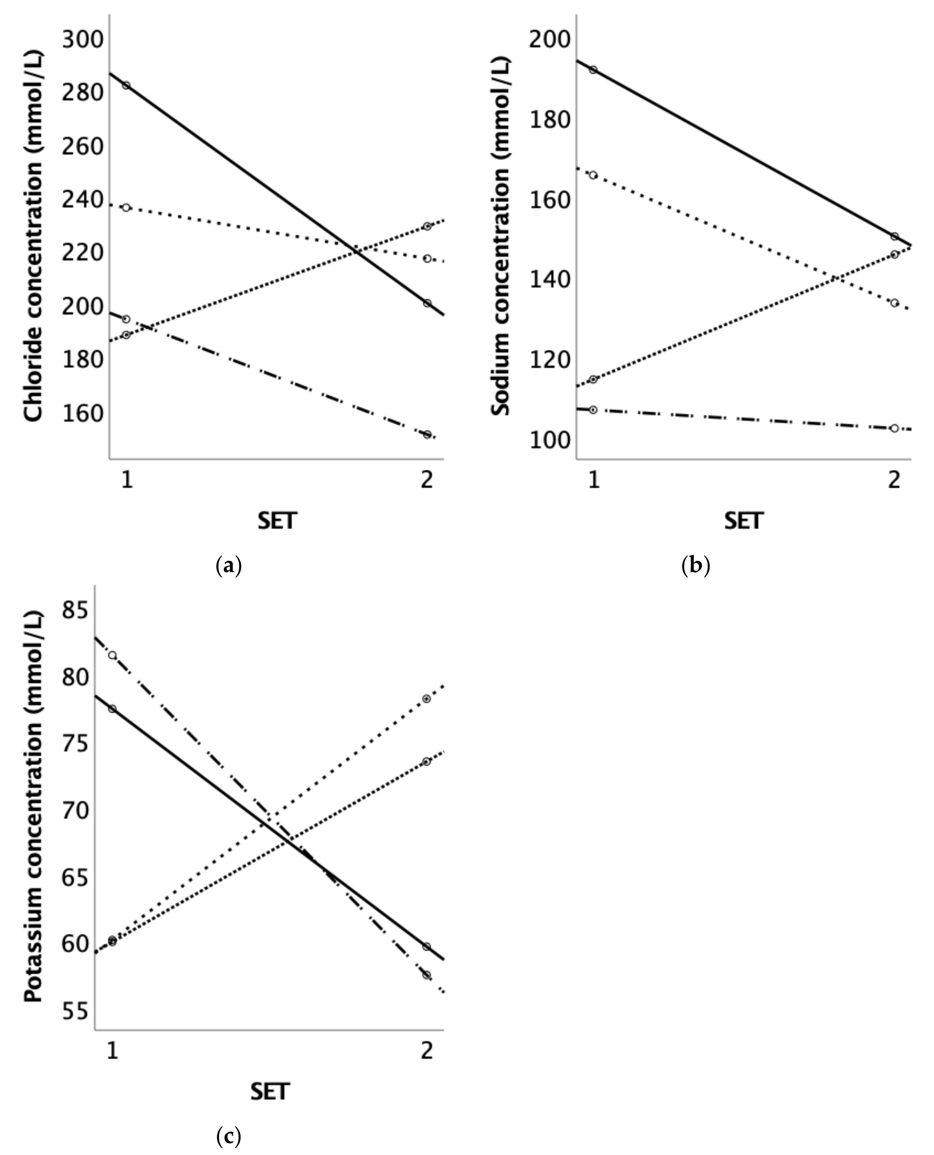
3.5. SL and Sweat Composition
3.6. SAA
4. Discussion
5. Conclusions
Author Contributions
Funding
Institutional Review Board Statement
Informed Consent Statement
Data Availability Statement
Acknowledgments
Conflicts of Interest
References
- Jeffcott, L.B.; Hodgson, D.R. Heat, Humidity and Horses Health. Equine Vet. J. 1995, 27, 5–6. [Google Scholar] [CrossRef]
- Jeffcott, L.B.; Kohn, C.W. Contributions of Equine Exercise Physiology Research to the Success of the 1996 Equestrian Olympic Games: A Review. Equine Vet. J. 1999, 30, 347–355. [Google Scholar] [CrossRef] [PubMed]
- Marlin, D.J.; Scott, C.M.; Schroter, R.C.; Mills, P.C.; Harris, R.C.; Harris, P.A.; Orme, C.E.; Roberts, C.A.; Marr, C.M.; Dyson, S.J.; et al. Physiological Responses in Nonheat Acclimated Horses Performing Treadmill Exercise in Cool (20 °C/40%RH), Hot Dry (30 °C/40%RH) and Hot Humid (30 °C/80%RH) Conditions. Equine Vet. J. 1996, 28, 70–84. [Google Scholar] [CrossRef]
- Marlin, D.J.; Harris, P.A.; Schroter, R.C.; Harris, R.C.; Roberts, C.A.; Scott, C.M.; Orme, C.E.; Dunnett, M.; Dyson, S.J.; Barrelet, F.; et al. Physiological, Metabolic and Biochemical Responses of Horses Competing in the Speed and Endurance Phase of a CCI**** 3-day-event. Equine Vet. J. 1995, 27, 37–46. [Google Scholar] [CrossRef]
- Kohn, C.W.; Hinchcliff, K.W.; McCutcheon, L.J.; Geor, R.; Foreman, J.; Allen, A.K.; Whiten, S.L.; Maykuths, P.L.; Williamsonn, L.H. Physiological Responses of Horses Competing at a Modified 1 Star 3-Day-Event. Equine Vet. J. 1995, 27 (Suppl. S20), 97–104. [Google Scholar] [CrossRef] [PubMed]
- McCutcheon, L.; Geor, R.J.; Hare, M.J.; Eckert, G.L.; Lindingers, M.I. Sweating Rate and Sweat Composition during Exercise and Recovery in Ambient Heat and Humidity. Equine Vet. J. 1995, 27 (Suppl. S20), 153–157. [Google Scholar] [CrossRef] [PubMed]
- Geor, R.J.; McCutcheon, L.J.; Ecker, G.L.; Lindinger, M.I. Thermal and Cardiorespiratory Responses of Horses to Submaximal Exercise under Hot and Humid Conditions. Equine Vet. J. 1995, 27, 125–132. [Google Scholar] [CrossRef]
- Lindinger, M.I.; Geor, R.J.; Ecker, G.L.; McCutcheon, L.J. Plasma Volume and Ions during Exercise in Cool, Dry; Hot, Dry; and Hot, Humid Conditions. Equine Vet. J. 1995, 27, 133–139. [Google Scholar] [CrossRef]
- Campbell, M.L.H. An Ethical Framework for the Use of Horses in Competitive Sport: Theory and Function. Animals 2021, 11, 1725. [Google Scholar] [CrossRef]
- Douglas, J.; Owers, R.; Campbell, M.L.H. Social Licence to Operate: What Can Equestrian Sports Learn from Other Industries? Animals 2022, 12, 1987. [Google Scholar] [CrossRef]
- Takahashi, Y.; Takahashi, T. Risk Factors for Exertional Heat Illness in Thoroughbred Racehorses in Flat Races in Japan (2005–2016). Equine Vet. J. 2020, 52, 364–368. [Google Scholar] [CrossRef]
- Trigg, L.E.; Lyons, S.; Mullan, S. Risk Factors for, and Prediction of, Exertional Heat Illness in Thoroughbred Racehorses at British Racecourses. Sci. Rep. 2023, 13, 3063. [Google Scholar] [CrossRef] [PubMed]
- Art, T.; Votion, D.; Lekeux, R. Physiological Measurements in Horses after Strenuous Exercise in Hot, Humid Conditions. Equine Vet. J. 1995, 27, 120–124. [Google Scholar] [CrossRef] [PubMed]
- Kohn, C.W.; Hinchcliff, K.W.; McKeever, K.H. Evaluation of Washing with Cold Water to Facilitate Heat Dissipation in Horses Excercised in Hot, Humid Conditons. Am. J. Vet. Res. 1999, 60, 299–305. [Google Scholar] [CrossRef] [PubMed]
- Geor, R.J.; McCutcheon, L.J.; Lindinger, M.I. Adaptations to Daily Exercise in Hot and Humid Ambient Conditions in Trained Thoroughbred Horses. Equine Vet. J. 1996, 22, 63–68. [Google Scholar] [CrossRef] [PubMed]
- Gerrett, N.; Kingma, B.R.M.; Sluijter, R.; Daanen, H.A.M. Ambient Conditions Prior to Tokyo 2020 Olympic and Paralympic Games: Considerations for Acclimation or Acclimatization Strategies. Front. Physiol. 2019, 10, 414. [Google Scholar] [CrossRef] [PubMed]
- Marlin, D.J.; Scott, C.M.; Schroter, R.C.; Harris, R.C.; Harris, P.A.; Roberts, C.A.; Mills, P.C. Physiological Responses of Horses to a Treadmill Simulated Speed and Endurance Test in High Heat and Humidity before and after Humid Heat Acclimation. Equine Vet. J. 1999, 31, 31–42. [Google Scholar] [CrossRef] [PubMed]
- Lindinger, M.I.; McCutcheon, L.J.; Ecker, G.L.; Geor, R.J. Heat Acclimation Improves Regulation of Plasma Volume and Plasma Na+ Content during Exercise in Horses. J. Appl. Physiol. 2000, 88, 1006–1013. [Google Scholar] [CrossRef]
- McCutcheon, L.J.; Geor, R.J.; Ecker, G.L.; Lindinger, M.I. Equine Sweating Responses to Submaximal Exercise during 21 Days of Heat Acclimation. J. Appl. Physiol. 1999, 87, 1843–1851. [Google Scholar] [CrossRef]
- Marlin, D.J.; Schroter, R.C.; White, S.L.; Maykuth, P.; Matthesen, G.; Mills, P.C.; Waran, N.; Harris, P. Recovery from Transport and Acclimatisation of Competition Horses in a Hot Humid Environment. Equine Vet. J. 2001, 33, 371–379. [Google Scholar] [CrossRef]
- Marlin, D.M.; Schroter, R.C.; Mills, P.C.; White, S.L.; Maykuth, P.L.; Votion, D.; Waran, N. Performance of Acclimatized European Horses in a Modified One Star Three Day Event in Heat and Humidity. J. Equine Vet. Sci. 2001, 21, 341–350. [Google Scholar]
- Marlin, D.; Misheff, M.; Whitehead, P. FEI. Lausanne March 18 2018. Available online: https://inside.fei.org/fei/sports-forum/2018#session-6-optimising-performance-in-a-challenging-climate (accessed on 5 January 2024).
- Geor, R.J.; McCutcheon, L.J.; Ecker, G.L.; Lindinger, M.I. Heat Storage in Horses during Submaximal Exercise before and after Humid Heat Acclimation. J. Appl. Physiol. 2000, 89, 2283–2293. [Google Scholar] [CrossRef]
- Hodgson, D.R.; McCutcheon, L.J.; Byrd, S.K.; Brown, W.S.; Bayly, W.M.; Brengelmann, G.L.; Gollnick, P.D. Dissipation of Metabolic Heat in the Horse during Exercise. J. Appl. Physiol. 1993, 74, 1161–1170. [Google Scholar] [CrossRef]
- Klous, L.; Folkerts, M.; Daanen, H.; Gerrett, N. The Effect of Sweat Sample Storage Condition on Sweat Content. Temperature 2021, 8, 254–261. [Google Scholar] [CrossRef] [PubMed]
- Alkemade, P.; Gerrett, N.; Eijsvogels, T.M.H.; Daanen, H.A.M. Individual Characteristics Associated with the Magnitude of Heat Acclimation Adaptations. Eur. J. Appl. Physiol. 2021, 121, 1593–1606. [Google Scholar] [CrossRef] [PubMed]
- Périard, J.D.; Travers, G.J.S.; Racinais, S.; Sawka, M.N. Cardiovascular Adaptations Supporting Human Exercise-Heat Acclimation. Auton. Neurosci. 2016, 196, 52–62. [Google Scholar] [CrossRef] [PubMed]
- Rammstorfer, G.D.; Potter, G.W.; Brumbaugh, P.G.; Varner, E.H.; Rammerstorfer, M.S. Physiologic Responses of Acclimatized or Non-Acclimatized Mature Reining Horses to Heat Stress-I. Heart Rate, Respiration Rate, Lactate, Rectal Temperature, Cortisol and Packed Cell Volume. J. Equine Vet. Sci. 2001, 21, 431–438. [Google Scholar] [CrossRef]
- Lorenzo, S.; Halliwill, J.R.; Sawka, M.N.; Minson, C.T. Heat Acclimation Improves Exercise Performance. J. Appl. Physiol. 2010, 109, 1140–1147. [Google Scholar] [CrossRef] [PubMed]
- Corbett, J.; Rendell, R.A.; Massey, H.C.; Costello, J.T.; Tipton, M.J. Inter-Individual Variation in the Adaptive Response to Heat Acclimation. J. Therm. Biol. 2018, 74, 29–36. [Google Scholar] [CrossRef] [PubMed]
- Marlin, D. Heat, Humidity and Horse Welfare in the Olympic Games: Learning from History. Vet. J. 2009, 182, 373–374. [Google Scholar] [CrossRef]
- Hulten, C.; Tulamo, R.-M.; Suominen, M.M.; Burvall, K.; Marhaug, G.; Forsberg, M. A Non-Competitive Chemiluminescence Enzyme Immunoassay for the Equine Acute Phase Protein Serum Amyloid A (SAA) ± a Clinically Useful Inflammatory Marker in the Horse. Vet. Immunol. Immunopathol. 1999, 68, 267–281. [Google Scholar] [CrossRef]
- Nunokawa, Y.; Fujinaga, T.; Taira, T.; Okumura, M.; Yamashita, K.; Tsunoda, N.; Hagio, M. Evaluation of Serum Amyloid A Protein as an Acute-Phase Reactive Protein in Horses. J. Vet. Med. 1993, 55, 1011–1016. [Google Scholar] [CrossRef]




| Acclimation | Stot (kJ/m2) | Sex (kJ/m2) | Srec (kJ/m2) |
|---|---|---|---|
| SET 1 | 379.5 ± 96.2 | 491.4 ± 237.7 | −4.3 ± 29.0 |
| SET 2 | 549.4 ± 135.0 | 539.7 ± 102.1 | 9.7 ± 72.5 |
| Acclimation Day | Sodium (mmol/L) | Chloride (mmol/L) | Potassium (mmol/L) |
|---|---|---|---|
| Day 1 (SET 1) | 152.5 ± 40.8 | 225.0 ± 43.4 | 69.7 ± 11.3 |
| Day 2 | |||
| Day 14 (SET 2) | 140.8 ± 21.6 | 199.2 ± 34.3 | 67.2 ± 10.2 |
Disclaimer/Publisher’s Note: The statements, opinions and data contained in all publications are solely those of the individual author(s) and contributor(s) and not of MDPI and/or the editor(s). MDPI and/or the editor(s) disclaim responsibility for any injury to people or property resulting from any ideas, methods, instructions or products referred to in the content. |
© 2024 by the authors. Licensee MDPI, Basel, Switzerland. This article is an open access article distributed under the terms and conditions of the Creative Commons Attribution (CC BY) license (https://creativecommons.org/licenses/by/4.0/).
Share and Cite
Munsters, C.; Siegers, E.; Sloet van Oldruitenborgh-Oosterbaan, M. Effect of a 14-Day Period of Heat Acclimation on Horses Using Heated Indoor Arenas in Preparation for Tokyo Olympic Games. Animals 2024, 14, 546. https://doi.org/10.3390/ani14040546
Munsters C, Siegers E, Sloet van Oldruitenborgh-Oosterbaan M. Effect of a 14-Day Period of Heat Acclimation on Horses Using Heated Indoor Arenas in Preparation for Tokyo Olympic Games. Animals. 2024; 14(4):546. https://doi.org/10.3390/ani14040546
Chicago/Turabian StyleMunsters, Carolien, Esther Siegers, and Marianne Sloet van Oldruitenborgh-Oosterbaan. 2024. "Effect of a 14-Day Period of Heat Acclimation on Horses Using Heated Indoor Arenas in Preparation for Tokyo Olympic Games" Animals 14, no. 4: 546. https://doi.org/10.3390/ani14040546
APA StyleMunsters, C., Siegers, E., & Sloet van Oldruitenborgh-Oosterbaan, M. (2024). Effect of a 14-Day Period of Heat Acclimation on Horses Using Heated Indoor Arenas in Preparation for Tokyo Olympic Games. Animals, 14(4), 546. https://doi.org/10.3390/ani14040546

