Pilot Study on the Efficacy and Safety of Long-Term Oral Imepitoin Treatment for Control of (Thunder)Storm-Associated Noise Phobia/Noise Aversion in Dogs Using an Individualized-Dose Titration Approach
Abstract
Simple Summary
Abstract
1. Introduction
2. Materials and Methods
2.1. Study Design
2.2. Outcome Measures
2.2.1. Efficacy
2.2.2. Safety
2.3. Statistical Analysis
3. Results
3.1. Subjects
3.2. Efficacy
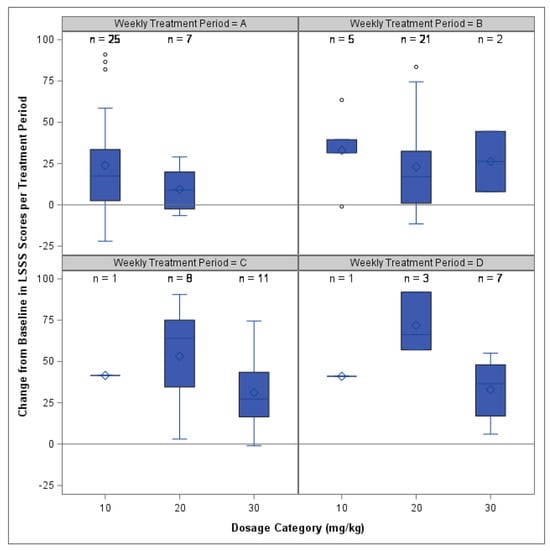
3.2.1. Weekly Surveys
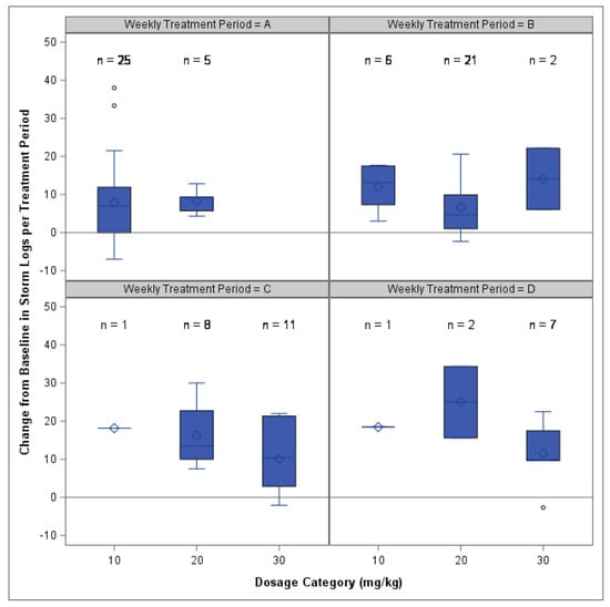
3.2.2. Storm Logs
3.2.3. Owners’ Categorical Rating of Effect Compared to LSSS and LCAS Scores
3.2.4. Ease of Administration
3.3. Safety
3.3.1. Laboratory Work
3.3.2. Adverse Events
3.3.3. Withdrawals
3.4. End-of-Study Survey
4. Discussion
5. Conclusions
Supplementary Materials
Author Contributions
Funding
Institutional Review Board Statement
Informed Consent Statement
Data Availability Statement
Acknowledgments
Conflicts of Interest
References
- Dinwoodie, I.R.; Dwyer, B.; Zottola, V.; Gleason, D.; Dodman, N.H. Demographics and comorbidity of behavior problems in dogs. J. Vet. Behav. 2019, 32, 62–71. [Google Scholar] [CrossRef]
- Tiira, K.; Sulkama, S.; Lohi, H. Prevalence, comorbidity, and behavioral variation in canine anxiety. J. Vet. Behav. Clin. Appl. Res. 2016, 16, 36–44. [Google Scholar] [CrossRef]
- Kurachi, T.; Irimajiri, M.; Mizuta, Y.; Satoh, T. Dogs predisposed to anxiety disorders and related factors in Japan. Appl. Anim. Behav. Sci. 2017, 196, 69–75. [Google Scholar] [CrossRef]
- Boissy, A. Fear and Fearfulness in Animals. Q. Rev. Biol. 1995, 70, 165–191. [Google Scholar] [CrossRef]
- Rosen, J.B.; Schulkin, J. From Normal Fear to Pathological Anxiety. Psychol. Rev. 1998, 105, 325–350. [Google Scholar] [CrossRef]
- Ohl, F.; Arndt, S.S.; van der Staay, F.J. Pathological anxiety in animals. Vet. J. 2008, 175, 18–26. [Google Scholar] [CrossRef]
- Bateson, M.; Brilot, B.; Nettle, D. Anxiety: An evolutionary approach. Can. J. Psychiatry 2011, 56, 707–715. [Google Scholar] [CrossRef]
- Perdew, I.; Emke, C.; Johnson, B.; Dixit, V.; Song, Y.; Griffith, E.H.; Watson, P.; Gruen, M.E. Evaluation of Pexion® (imepitoin) for treatment of storm anxiety in dogs: A randomised, double-blind, placebo-controlled trial. Vet. Rec. 2021, 188, e18. [Google Scholar] [CrossRef]
- Crowell-Davis, S.L. Storm and Noise Phobias. Compend. Contin. Educ. Vet. 2006, 28, 850–852. [Google Scholar]
- Cracknell, N.R.; Mills, D.S. A double-blind placebo-controlled study into the efficacy of a homeopathic remedy for fear of firework noises in the dog (Canis familiaris). Vet. J. 2008, 177, 80–88. [Google Scholar] [CrossRef]
- Overall, K.L.; Dunham, A.E.; Frank, D. Frequency of nonspecific clinical signs in dogs with separation anxiety, thunderstorm phobia, and noise phobia, alone or in combination. J. Am. Vet. Med. Assoc. 2001, 219, 467–473. [Google Scholar] [CrossRef]
- Ballantyne, K.C. Separation, Confinement, or Noises: What Is Scaring That Dog? Vet. Clin. N. Am. Small Anim. Pract. 2018, 48, 367–386. [Google Scholar] [CrossRef]
- Sherman, B.L.; Mills, D.S. Canine Anxieties and Phobias: An Update on Separation Anxiety and Noise Aversions. Vet. Clin. N. Am. Small Anim. Pract. 2008, 38, 1081–1106. [Google Scholar] [CrossRef]
- Boyd, C.; Jarvis, S.; McGreevy, P.D.; Heath, S.; Church, D.B.; Brodbelt, D.C.; O’Neill, D.G. Mortality resulting from undesirable behaviours in dogs aged under three years attending primary-care veterinary practices in England. Anim. Welf. 2018, 27, 251–262. [Google Scholar] [CrossRef]
- Yu, Y.; Wilson, B.; Masters, S.; van Rooy, D.; McGreevy, P.D. Mortality Resulting from Undesirable Behaviours in Dogs Aged Three Years and under Attending Primary-Care Veterinary Practices in Australia. Animals 2021, 11, 493. [Google Scholar] [CrossRef]
- Salman, M.D.; New, J.G., Jr.; Scarlett, J.M.; Kass, P.H.; Ruch-Gallie, R.; Hetts, S. Human and Animal Factors Related to Relinquishment of Dogs and Cats in 12 Selected Animal Shelters in the United States. J. Appl. Anim. Welf. Sci. 1998, 1, 207–226. [Google Scholar] [CrossRef] [PubMed]
- Buller, K.; Ballantyne, K.C. Living with and loving a pet with behavioral problems: Pet owners’ experiences. J. Vet. Behav. 2020, 37, 41–47. [Google Scholar] [CrossRef]
- Miller, D.D. Factors associated with the decision to surrender a pet to an animal shelter. J. Am. Vet. Med. Assoc. 1996, 209, 738–742. [Google Scholar] [CrossRef] [PubMed]
- Landsberg, G.M.; Hunthausen, W.L.; Ackerman, L.J. Chapter 12 Fears, phobias, and anxiety disorders. In Behavior Problems of the Dog and Cat, 3rd ed.; Landsberg, G.M., Hunthausen, W.L., Ackerman, L.J., Eds.; Saunders Ltd.: London, UK, 2011; pp. 181–210. [Google Scholar]
- Levine, E.D. Chapter 15 Sound sensitivities. In BSAVA Manual of Canine and Feline Behavioural Medicine, 2nd ed.; Horowitz, D., Mills, D., Eds.; British Small Animal Veterinary Association (BSAVA): Gloucester, UK, 2009; pp. 159–168. [Google Scholar] [CrossRef]
- Mazur, J.E. Basic Principles of Classical Conditioning. In Learning and Behavior, 8th ed.; Routledge: New York, NY, USA, 2017; pp. 66–92. [Google Scholar] [CrossRef]
- Reid, P.J. Treatment of emotional distress and disorders—Nonpharmacologic methods. In Mental Health and Well-Being in Animals, 2nd ed.; McMillan, F.D., Ed.; CAB International: Wallingford, UK, 2019; pp. 345–363. [Google Scholar] [CrossRef]
- Wolpe, J. Reciprocal inhibition and therapeutic change. J. Behav. Ther. Exp. Psychiatry 1981, 12, 185–188. [Google Scholar] [CrossRef] [PubMed]
- Overall, K.L. Behavioral Pharmacotherapeutics. In Pharmacotherapeutics for Veterinary Dispensing; Mealey, K.L., Ed.; Wiley Blackwell: Hoboken, NJ, USA, 2019; pp. 377–402. [Google Scholar]
- Landsberg, G.M.; Hunthausen, W.L.; Ackerman, L.J. Chapter 8 Pharmacologic intervention in behavior therapy. In Behavior Problems of the Dog and Cat, 3rd ed.; Landsberg, G.M., Hunthausen, W.L., Ackerman, L.J., Eds.; Saunders Ltd.: London, UK, 2011; pp. 113–138. [Google Scholar]
- de Souza Dantas, L.M.; Crowell-Davis, S.L. Benzodiazepines. In Veterinary Psychopharmacology, 2nd ed.; Crowell-Davis, S.L., de Souza Dantas, L.M., Murray Thomas, F., Eds.; Wiley Blackwell: Hoboken, NJ, USA, 2019; pp. 67–103. [Google Scholar]
- Bleuer-Elsner, S.; Medam, T.; Masson, S. Effects of a single oral dose of gabapentin on storm phobia in dogs: A double-blind, placebo-controlled crossover trial. Vet. Rec. 2021, 189, e453. [Google Scholar] [CrossRef] [PubMed]
- Food and Drug Administration. Freedom of Information Summary Original New Animal Drug Application—NADA 141-509 Pexion; Food and Drug Administration: Silver Spring, MD, USA, 2018. [Google Scholar]
- Food and Drug Administration. Freedom of Information Summary Original New Animal Drug Application—NADA 141-456 SILEO; Food and Drug Administration: Silver Spring, MD, USA, 2015. [Google Scholar]
- Engel, O.; Masic, A.; Landsberg, G.; Brooks, M.; Mills, D.S.; Rundfeldt, C. Imepitoin shows benzodiazepine-like effects in models of anxiety. Front. Pharmacol. 2018, 9, 1225. [Google Scholar] [CrossRef]
- Rundfeldt, C.; Löscher, W. The pharmacology of imepitoin: The first partial benzodiazepine receptor agonist developed for the treatment of epilepsy. CNS Drugs 2014, 28, 29–43. [Google Scholar] [CrossRef]
- Rundfeldt, C.; Gasparic, A.; Wlaź, P. Imepitoin as novel treatment option for canine idiopathic epilepsy: Pharmacokinetics, distribution, and metabolism in dogs. J. Vet. Pharmacol. Ther. 2014, 37, 421–434. [Google Scholar] [CrossRef]
- European Medicines Agency (EMA). Pexion (Imepitoin): An Overview of Pexion and Why It Is Authorised in the EU; European Medicines Agency (EMA): London, UK, 2018. [Google Scholar]
- Engel, O.; Müller, H.W.; Klee, R.; Francke, B.; Mills, D.S. Effectiveness of imepitoin for the control of anxiety and fear associated with noise phobia in dogs. J. Vet. Intern. Med. 2019, 33, 2675–2684. [Google Scholar] [CrossRef]
- McPeake, K.J.; Mills, D.S. The use of imepitoin (PexionTM) on fear and anxiety related problems in dogs—A case series. BMC Vet. Res. 2017, 13, 173. [Google Scholar] [CrossRef]
- Mills, D.; Dube, M.B.; Zulch, H. Stress and Pheromonatherapy in Small Animal Clinical Behaviour; John Wiley & Sons, Ltd.: Hoboken, NJ, USA, 2012. [Google Scholar]
- Cracknell, N.R.; Mills, D.S. An evaluation of owner expectation on apparent treatment effect in a blinded comparison of 2 homeopathic remedies for firework noise sensitivity in dogs. J. Vet. Behav. Clin. Appl. Res. 2011, 6, 21–30. [Google Scholar] [CrossRef]
- Bhatti, S.F.M.; De Risio, L.; Muñana, K.; Penderis, J.; Stein, V.M.; Tipold, A.; Berendt, M.; Farquhar, R.G.; Fischer, A.; Long, S.; et al. International Veterinary Epilepsy Task Force consensus proposal: Medical treatment of canine epilepsy in Europe. BMC Vet. Res. 2015, 11, 176. [Google Scholar] [CrossRef] [PubMed]
- Gallucci, A.; Gagliardo, T.; Menchetti, M.; Bianchi, E.; Bucci, D.; Gandini, G. Long-term efficacy of imepitoin in the treatment of naive dogs affected by idiopathic epilepsy. Vet. Rec. 2017, 181, 144. [Google Scholar] [CrossRef]
- Tipold, A.; Keefe, T.J.; Löscher, W.; Rundfeldt, C.; de Vries, F. Clinical efficacy and safety of imepitoin in comparison with phenobarbital for the control of idiopathic epilepsy in dogs. J. Vet. Pharmacol. Ther. 2015, 38, 160–168. [Google Scholar] [CrossRef] [PubMed]
- Rundfeldt, C.; Tipold, A.; Löscher, W. Efficacy, safety, and tolerability of imepitoin in dogs with newly diagnosed epilepsy in a randomized controlled clinical study with long-term follow up. BMC Vet. Res. 2015, 11, 228. [Google Scholar] [CrossRef] [PubMed]
- Herron, M.E.; Shofer, F.S.; Reisner, I.R. Retrospective evaluation of the effects of diazepam in dogs with anxiety-related behavior problems. J. Am. Vet. Med. Assoc. 2008, 233, 1420–1424. [Google Scholar] [CrossRef] [PubMed]
- Aiyegbusi, O.L.; Roydhouse, J.; Rivera, S.C.; Kamudoni, P.; Schache, P.; Wilson, R.; Stephens, R.; Calvert, M. Key considerations to reduce or address respondent burden in patient-reported outcome (PRO) data collection. Nat. Commun. 2022, 13, 6026. [Google Scholar] [CrossRef] [PubMed]
- Egleston, B.L.; Miller, S.M.; Meropol, N.J. The impact of misclassification due to survey response fatigue on estimation and identifiability of treatment effects. Stat. Med. 2011, 30, 3560–3572. [Google Scholar] [CrossRef] [PubMed]







| Treatment Period | Number of Dogs at the Start of the Treatment Period | Mean Duration (Days ± Standard Deviation (SD)) | Mean Dosage (mg/kg BID ± SD) | Mean Dosage in 10 mg/kg BID Group (mg/kg BID ± SD) | Mean Dosage in 20 mg/kg BID Group (mg/kg BID ± SD) | Mean Dosage in 30 mg/kg BID Group (mg/kg BID ± SD) |
|---|---|---|---|---|---|---|
| Baseline | 33 | 17.48 ± 5.07 | NA | NA | NA | NA |
| A | 33 | 20.18 ± 8.02 | 12.24 ± 3.30 | 10.86 ± 2.03 | 17.35 ± 1.52 | NA |
| B | 31 | 17.52 ± 8.80 | 19.45 ± 5.28 | 10.16 ± 2.59 | 21.36 ± 2.42 | 25.40 ± 0.34 |
| C | 24 | 20.29 ± 12.52 | 24.58 ± 7.32 | 10.34 ± 4.66 | 19.97 ± 2.61 | 30.80 ± 2.47 |
| D | 15 | 24.90 ± 7.51 | 26.63 ± 7.45 | 7.04 | 19.81 ± 4.09 | 30.26 ± 2.75 |
| Period | Number of Dogs | Mean Difference (Base–Current) | Standard Error | Degrees of Freedom | t-Statistic | p-Value |
|---|---|---|---|---|---|---|
| A | 32 | 21.03 | 4.83 | 31 | 4.35 | 0.0001 |
| B | 28 | 25.01 | 4.87 | 27 | 5.14 | <0.0001 |
| C | 18 | 40.31 | 6.16 | 17 | 6.54 | <0.0001 |
| D | 11 | 44.20 | 7.17 | 10 | 6.16 | 0.0001 |
| Period | Number of Dogs | Mean Difference (Base–Current) | Standard Error | Degrees of Freedom | t-Statistic | p-Value |
|---|---|---|---|---|---|---|
| A | 30 | 8.01 | 1.84 | 29 | 4.35 | 0.0002 |
| B | 29 | 8.19 | 1.38 | 28 | 5.92 | <0.0001 |
| C | 20 | 12.99 | 1.95 | 19 | 6.65 | <0.0001 |
| D | 10 | 14.91 | 3.06 | 9 | 4.88 | 0.0009 |
| Period | Number of Dogs | Mean Difference (Base–Current) | Standard Error | Degrees of Freedom | t-Statistic | p-Value |
|---|---|---|---|---|---|---|
| A | 29 | 7.80 | 1.86 | 28 | 4.2 | 0.0002 |
| B | 27 | 9.45 | 1.86 | 26 | 5.10 | <0.0001 |
| C | 17 | 12.87 | 2.22 | 16 | 5.80 | <0.0001 |
| D | 8 | 14.31 | 3.69 | 7 | 3.88 | 0.0060 |
| Adverse Event | 10 mg/kg BID | 20 mg/kg BID | 30 mg/kg BID | |
|---|---|---|---|---|
| Number of dogs administered this dose at any point in the study 1 | N = 27 (%) | N = 32 (%) | N = 12 (%) | |
| Increased hunger | 0 (0) | 12 (38) | 1 (8) | |
| Increased salivation | 0 (0) | 2 (6) | 0 (0) | |
| Increased water intake | 0 (0) | 3 (9) | 1 (8) | |
| Increased urination | 0 (0) | 1 (3) | 0 (0) | |
| Increased activity | 0 (0) | 4 (12) | 0 (0) | |
| Ataxia 2 | 6 (22) | 9 (28) | 2 (17) | |
| Vomiting | 1 (4) | 2 (6) | 0 (0) | |
| Diarrhea | 1 (4) | 1 (3) | 0 (0) | |
| Irritability/Aggressive behavior | 2 (7) | 2 (6) | 1 (8) | |
| Decreased hunger | 1 (4) | 1 (3) | 0 (0) | |
| Decreased activity | 1 (4) | 2 (6) | 0 (0) | |
| Other 3 (all) | 4 (15) | 12 (38) | 2 (17) | |
| Other: Behavioral disinhibition | 1 | 8 | 1 | |
| Other: Increased anxiety | 2 | 3 | 1 | |
| Agree | Disagree | |
|---|---|---|
| The treatment was easy for me to administer to my dog | 29/33, 88% | 4/33, 12% |
| The treatment made my dog more relaxed and reduced my dog’s fear/anxiety during storms | 19/32, 59% | 13/32, 41% |
| The treatment made my dog more relaxed and reduced my dog’s fear/anxiety during other noises | 15/30, 50% | 15/30, 50% |
| After the first few doses, the treatment effect on my dog was predictable | 23/32, 72% | 9/32, 28% |
| Side effects (if any) were tolerable | 16/28, 57% | 12/28, 43% |
| Duration of the treatment effect was acceptable | 22/27, 81% | 5/27, 18% |
| The effect of the treatment for storms made me feel more relaxed | 15/31, 48% | 16/31, 52% |
| I would choose to continue giving this treatment to my dog | 14/32, 44% | 18/32, 56% |
Disclaimer/Publisher’s Note: The statements, opinions and data contained in all publications are solely those of the individual author(s) and contributor(s) and not of MDPI and/or the editor(s). MDPI and/or the editor(s) disclaim responsibility for any injury to people or property resulting from any ideas, methods, instructions or products referred to in the content. |
© 2024 by the authors. Licensee MDPI, Basel, Switzerland. This article is an open access article distributed under the terms and conditions of the Creative Commons Attribution (CC BY) license (https://creativecommons.org/licenses/by/4.0/).
Share and Cite
Muñoz Amezcua, A.C.; Jones, J.M.; Griffith, E.H.; Gruen, M.E. Pilot Study on the Efficacy and Safety of Long-Term Oral Imepitoin Treatment for Control of (Thunder)Storm-Associated Noise Phobia/Noise Aversion in Dogs Using an Individualized-Dose Titration Approach. Animals 2024, 14, 545. https://doi.org/10.3390/ani14040545
Muñoz Amezcua AC, Jones JM, Griffith EH, Gruen ME. Pilot Study on the Efficacy and Safety of Long-Term Oral Imepitoin Treatment for Control of (Thunder)Storm-Associated Noise Phobia/Noise Aversion in Dogs Using an Individualized-Dose Titration Approach. Animals. 2024; 14(4):545. https://doi.org/10.3390/ani14040545
Chicago/Turabian StyleMuñoz Amezcua, Ana C., Jennifer M. Jones, Emily H. Griffith, and Margaret E. Gruen. 2024. "Pilot Study on the Efficacy and Safety of Long-Term Oral Imepitoin Treatment for Control of (Thunder)Storm-Associated Noise Phobia/Noise Aversion in Dogs Using an Individualized-Dose Titration Approach" Animals 14, no. 4: 545. https://doi.org/10.3390/ani14040545
APA StyleMuñoz Amezcua, A. C., Jones, J. M., Griffith, E. H., & Gruen, M. E. (2024). Pilot Study on the Efficacy and Safety of Long-Term Oral Imepitoin Treatment for Control of (Thunder)Storm-Associated Noise Phobia/Noise Aversion in Dogs Using an Individualized-Dose Titration Approach. Animals, 14(4), 545. https://doi.org/10.3390/ani14040545
