Quantification of Mitral Valve Regurgitation in Cavalier King Charles Spaniels and Chihuahuas Using Radius of Proximal Isovelocity Surface Area
Abstract
Simple Summary
Abstract
1. Introduction
2. Animals, Materials and Methods
2.1. Animals
2.2. Echocardiography
2.3. Statistical Analysis
3. Results
4. Discussion
4.1. PISA and PISA-r
4.2. Clinical Evaluation
4.3. MR Severity
4.4. Clinical Applications
4.5. Limitations of the Study
5. Conclusions
Author Contributions
Funding
Institutional Review Board Statement
Informed Consent Statement
Data Availability Statement
Acknowledgments
Conflicts of Interest
References
- Keene, B.W.; Atkins, C.E.; Bonagura, J.D.; Fox, P.R.; Haggstrom, J.; Fuentes, V.L.; Oyama, M.A.; Rush, J.E.; Stepien, R.; Uechi, M. ACVIM consensus guidelines for the diagnosis and treatment of myxomatous mitral valve disease in dogs. J. Vet. Intern. Med. 2019, 33, 1127–1140. [Google Scholar] [CrossRef]
- Bonnett, B.N.; Egenvall, A.; Olson, P.; Hedhammar, A. Mortality in insured Swedish dogs: Rates and causes of death in various breeds. Vet. Rec. 1997, 141, 40–44. [Google Scholar] [CrossRef]
- Mattin, M.J.; Boswood, A.; Church, D.B.; Lopez-Alvarez, J.; McGreevy, P.D.; O’Neill, D.G.; Thomson, P.C.; Brodbelt, D.C. Prevalence of and risk factors for degenerative mitral valve disease in dogs attending primary-care veterinary practices in England. J. Vet. Intern. Med. 2015, 29, 847–854. [Google Scholar] [CrossRef]
- Beardow, A.W.; Buchanan, J.W. Chronic mitral valve disease in cavalier King Charles spaniels: 95 cases (1987–1991). J. Am. Vet. Med. Assoc. 1993, 203, 1023–1029. [Google Scholar] [CrossRef]
- Chetboul, V.; Tissier, R.; Villaret, F.; Nicolle, A.; Dean, E.; Benalloul, T.; Pouchelon, J.L. Epidemiological, clinical, echo-doppler characteristics of mitral valve endocardiosis in Cavalier King Charles in France: A retrospective study of 451 cases (1995 to 2003). Can. Vet. J. 2004, 45, 1012–1015. [Google Scholar]
- Haggstrom, J.; Hansson, K.; Kvart, C.; Swenson, L. Chronic valvular disease in the cavalier King Charles spaniel in Sweden. Vet. Rec. 1992, 131, 549–553. [Google Scholar]
- Pedersen, H.D.; Lorentzen, K.A.; Kristensen, B.O. Echocardiographic mitral valve prolapse in cavalier King Charles spaniels: Epidemiology and prognostic significance for regurgitation. Vet. Rec. 1999, 144, 315–320. [Google Scholar] [CrossRef]
- Thrusfield, M.V.; Aitken, C.G.G.; Darke, P.G.G. Observations on Breed and Sex in Relation to Canine Heart-Valve Incompetence. J. Small Anim. Pract. 1985, 26, 709–717. [Google Scholar] [CrossRef]
- Araki, R.; Iwanaga, K.; Ueda, K.; Isaka, M. Intestinal Complication With Myxomatous Mitral Valve Diseases in Chihuahuas. Front. Vet. Sci. 2021, 8, 777579. [Google Scholar] [CrossRef]
- Prieto Ramos, J.; Corda, A.; Swift, S.; Saderi, L.; De La Fuente Oliver, G.; Corcoran, B.; Summers, K.M.; French, A.T. Clinical and Echocardiographic Findings in an Aged Population of Cavalier King Charles Spaniels. Animals 2021, 11, 949. [Google Scholar] [CrossRef]
- Chetboul, V.; Tissier, R. Echocardiographic assessment of canine degenerative mitral valve disease. J. Vet. Cardiol. 2012, 14, 127–148. [Google Scholar] [CrossRef]
- Haggstrom, J.; Hansson, K.; Kvart, C.; Karlberg, B.E.; Vuolteenaho, O.; Olsson, K. Effects of naturally acquired decompensated mitral valve regurgitation on the renin-angiotensin-aldosterone system and atrial natriuretic peptide concentration in dogs. Am. J. Vet. Res. 1997, 58, 77–82. [Google Scholar] [CrossRef]
- Boswood, A.; Haggstrom, J.; Gordon, S.G.; Wess, G.; Stepien, R.L.; Oyama, M.A.; Keene, B.W.; Bonagura, J.; MacDonald, K.A.; Patteson, M.; et al. Effect of Pimobendan in Dogs with Preclinical Myxomatous Mitral Valve Disease and Cardiomegaly: The EPIC Study-A Randomized Clinical Trial. J. Vet. Intern. Med. 2016, 30, 1765–1779. [Google Scholar] [CrossRef]
- Lancellotti, P.; Tribouilloy, C.; Hagendorff, A.; Popescu, B.A.; Edvardsen, T.; Pierard, L.A.; Badano, L.; Zamorano, J.L.; Scientific Document Committee of the European Association of Cardiovascular Imaging. Recommendations for the echocardiographic assessment of native valvular regurgitation: An executive summary from the European Association of Cardiovascular Imaging. Eur. Heart J. Cardiovasc. Imaging 2013, 14, 611–644. [Google Scholar] [CrossRef]
- Zoghbi, W.A.; Adams, D.; Bonow, R.O.; Enriquez-Sarano, M.; Foster, E.; Grayburn, P.A.; Hahn, R.T.; Han, Y.; Hung, J.; Lang, R.M.; et al. Recommendations for Noninvasive Evaluation of Native Valvular Regurgitation: A Report from the American Society of Echocardiography Developed in Collaboration with the Society for Cardiovascular Magnetic Resonance. J. Am. Soc. Echocardiogr. 2017, 30, 303–371. [Google Scholar] [CrossRef]
- Larouche-Lebel, E.; Loughran, K.A.; Oyama, M.A. Echocardiographic indices and severity of mitral regurgitation in dogs with preclinical degenerative mitral valve disease. J. Vet. Intern. Med. 2019, 33, 489–498. [Google Scholar] [CrossRef]
- Choi, H.; Lee, K.; Lee, H.; Lee, Y.; Chang, D.; Eom, K.; Youn, H.; Choi, M.; Yoon, J. Quantification of mitral regurgitation using proximal isovelocity surface area method in dogs. J. Vet. Sci. 2004, 5, 163–171. [Google Scholar] [CrossRef]
- Doiguchi, O.; Takahashi, T. Examination of quantitative analysis and measurement of the regurgitation rate in mitral valve regurgitation by the “proximal isovelocity surface area” method. J. Vet. Med. Sci. 2000, 62, 109–112. [Google Scholar] [CrossRef]
- Enriquez-Sarano, M.; Schaff, H.V.; Orszulak, T.A.; Tajik, A.J.; Bailey, K.R.; Frye, R.L. Valve repair improves the outcome of surgery for mitral regurgitation. A multivariate analysis. Circulation 1995, 91, 1022–1028. [Google Scholar] [CrossRef]
- Gouni, V.; Serres, F.J.; Pouchelon, J.L.; Tissier, R.; Lefebvre, H.P.; Nicolle, A.P.; Sampedrano, C.C.; Chetboul, V. Quantification of mitral valve regurgitation in dogs with degenerative mitral valve disease by use of the proximal isovelocity surface area method. J. Am. Vet. Med. Assoc. 2007, 231, 399–406. [Google Scholar] [CrossRef]
- Kittleson, M.D.; Brown, W.A. Regurgitant fraction measured by using the proximal isovelocity surface area method in dogs with chronic myxomatous mitral valve disease. J. Vet. Intern. Med. 2003, 17, 84–88. [Google Scholar] [CrossRef]
- Schwammenthal, E.; Chen, C.; Giesler, M.; Sagie, A.; Guerrero, J.L.; Vazquez de Prada, J.A.; Hombach, V.; Weyman, A.E.; Levine, R.A. New method for accurate calculation of regurgitant flow rate based on analysis of Doppler color flow maps of the proximal flow field. Validation in a canine model of mitral regurgitation with initial application in patients. J. Am. Coll. Cardiol. 1996, 27, 161–172. [Google Scholar] [CrossRef]
- Baumgartner, H.; Hung, J.; Bermejo, J.; Chambers, J.B.; Edvardsen, T.; Goldstein, S.; Lancellotti, P.; LeFevre, M.; Miller, F., Jr.; Otto, C.M. Recommendations on the Echocardiographic Assessment of Aortic Valve Stenosis: A Focused Update from the European Association of Cardiovascular Imaging and the American Society of Echocardiography. J. Am. Soc. Echocardiogr. 2017, 30, 372–392. [Google Scholar] [CrossRef]
- Recusani, F.; Bargiggia, G.S.; Yoganathan, A.P.; Raisaro, A.; Valdes-Cruz, L.M.; Sung, H.W.; Bertucci, C.; Gallati, M.; Moises, V.A.; Simpson, I.A.; et al. A new method for quantification of regurgitant flow rate using color Doppler flow imaging of the flow convergence region proximal to a discrete orifice. An in vitro study. Circulation 1991, 83, 594–604. [Google Scholar] [CrossRef]
- Berrezaie, M.; Connolly, D.; Cruzado, J.; Mederska, E.; Dukes-McEwan, J.; Humm, K. Infective endocarditis in dogs in the UK: 77 cases (2009–2019). J. Small Anim. Pract. 2023, 64, 78–87. [Google Scholar] [CrossRef]
- Muzzi, R.A.; de Araujo, R.B.; Muzzi, L.A.; Pena, J.L.; Silva, E.F. Regurgitant jet area by Doppler color flow mapping: Quantitative assessment of mitral regurgitation severity in dogs. J. Vet. Cardiol. 2003, 5, 33–38. [Google Scholar] [CrossRef]
- Tidholm, A. Retrospective study of congenital heart defects in 151 dogs. J. Small Anim. Pract. 1997, 38, 94–98. [Google Scholar] [CrossRef]
- Moya, J.L.; Darriba-Pollan, J.; Garcia-Lledo, A.; Taboada, D.; Catalan-Sanz, P.; Megias-Saez, A.; Guzman-Martinez, G.; Campuzano-Ruiz, R.; Asin-Cardiel, E. [Evaluation of mitral regurgitation severity using a simplified method based on proximal flow convergence]. Rev. Esp. Cardiol. 2006, 59, 1019–1025. [Google Scholar] [CrossRef]
- Pu, M.; Prior, D.L.; Fan, X.; Asher, C.R.; Vasquez, C.; Griffin, B.P.; Thomas, J.D. Calculation of mitral regurgitant orifice area with use of a simplified proximal convergence method: Initial clinical application. J. Am. Soc. Echocardiogr. 2001, 14, 180–185. [Google Scholar] [CrossRef]
- Tokushima, T.; Reid, C.L.; Gardin, J.M. Left ventricular diastolic function in the elderly. Am. J. Geriatr. Cardiol. 2001, 10, 20–29. [Google Scholar] [CrossRef]
- Fox, P.R. Pathology of myxomatous mitral valve disease in the dog. J. Vet. Cardiol. 2012, 14, 103–126. [Google Scholar] [CrossRef]
- Haggstrom, J.; Boswood, A.; O’Grady, M.; Jons, O.; Smith, S.; Swift, S.; Borgarelli, M.; Gavaghan, B.; Kresken, J.G.; Patteson, M.; et al. Longitudinal analysis of quality of life, clinical, radiographic, echocardiographic, and laboratory variables in dogs with myxomatous mitral valve disease receiving pimobendan or benazepril: The QUEST study. J. Vet. Intern. Med. 2013, 27, 1441–1451. [Google Scholar] [CrossRef]
- Uretsky, S.; Morales, D.C.V.; Aldaia, L.; Mediratta, A.; Koulogiannis, K.; Marcoff, L.; Sakul, S.; Wolff, S.D.; Gillam, L.D. Characterization of Primary Mitral Regurgitation With Flail Leaflet and/or Wall-Impinging Flow. J. Am. Coll. Cardiol. 2021, 78, 2537–2546. [Google Scholar] [CrossRef]
- Hollmer, M.; Willesen, J.L.; Tolver, A.; Koch, J. Left atrial volume and function in dogs with naturally occurring myxomatous mitral valve disease. J. Vet. Cardiol. 2017, 19, 24–34. [Google Scholar] [CrossRef]
- Thomas, W.P.; Gaber, C.E.; Jacobs, G.J.; Kaplan, P.M.; Lombard, C.W.; Moise, N.S.; Moses, B.L. Recommendations for standards in transthoracic two-dimensional echocardiography in the dog and cat. Echocardiography Committee of the Specialty of Cardiology, American College of Veterinary Internal Medicine. J. Vet. Intern. Med. 1993, 7, 247–252. [Google Scholar] [CrossRef]
- Hanton, G.; Geffray, B.; Lodola, A. Echocardiography, a non-invasive method for the investigation of heart morphology and function in laboratory dogs: 1. Method and reference values for M-mode parameters. Lab. Anim. 1998, 32, 173–182. [Google Scholar] [CrossRef]
- Cornell, C.C.; Kittleson, M.D.; Della Torre, P.; Haggstrom, J.; Lombard, C.W.; Pedersen, H.D.; Vollmar, A.; Wey, A. Allometric scaling of M-mode cardiac measurements in normal adult dogs. J. Vet. Intern. Med. 2004, 18, 311–321. [Google Scholar] [CrossRef] [PubMed]
- Hansson, K.; Haggstrom, J.; Kvart, C.; Lord, P. Left atrial to aortic root indices using two-dimensional and M-mode echocardiography in cavalier King Charles spaniels with and without left atrial enlargement. Vet. Radiol. Ultrasound 2002, 43, 568–575. [Google Scholar] [CrossRef]
- Schiller, N.B.; Shah, P.M.; Crawford, M.; DeMaria, A.; Devereux, R.; Feigenbaum, H.; Gutgesell, H.; Reichek, N.; Sahn, D.; Schnittger, I.; et al. Recommendations for quantitation of the left ventricle by two-dimensional echocardiography. American Society of Echocardiography Committee on Standards, Subcommittee on Quantitation of Two-Dimensional Echocardiograms. J. Am. Soc. Echocardiogr. 1989, 2, 358–367. [Google Scholar] [CrossRef] [PubMed]
- Boon, J.A. Veterinary Echocardiography, 2nd ed.; John Wiley & Sons: Hoboken, NJ, USA, 2011. [Google Scholar]
- The R Project for Statistical Computing. Available online: https://www.r-project.org (accessed on 13 August 2024).
- Wuensch, K.L.; Evans, J.D. Straightforward Statistics for the Behavioral Sciences. J. Am. Stat. Assoc. 1996, 91, 1750. [Google Scholar] [CrossRef]
- Nahm, F.S. Receiver operating characteristic curve: Overview and practical use for clinicians. Korean J. Anesthesiol. 2022, 75, 25–36. [Google Scholar] [CrossRef] [PubMed]
- Popovic, Z.B.; Thomas, J.D. Assessing observer variability: A user’s guide. Cardiovasc. Diagn. Ther. 2017, 7, 317–324. [Google Scholar] [CrossRef] [PubMed]
- Vignola, P.A.; Bloch, A.; Kaplan, A.D.; Walker, H.J.; Chiotellis, P.N.; Myers, G.S. Interobserver variability in echocardiography. J. Clin. Ultrasound 1977, 5, 238–242. [Google Scholar] [CrossRef]
- Landis, J.R.; Koch, G.G. The measurement of observer agreement for categorical data. Biometrics 1977, 33, 159–174. [Google Scholar] [CrossRef] [PubMed]
- Simpson, I.A.; Shiota, T.; Gharib, M.; Sahn, D.J. Current status of flow convergence for clinical applications: Is it a leaning tower of “PISA”? J. Am. Coll. Cardiol. 1996, 27, 504–509. [Google Scholar] [CrossRef] [PubMed]
- Yosefy, C.; Levine, R.A.; Solis, J.; Vaturi, M.; Handschumacher, M.D.; Hung, J. Proximal flow convergence region as assessed by real-time 3-dimensional echocardiography: Challenging the hemispheric assumption. J. Am. Soc. Echocardiogr. 2007, 20, 389–396. [Google Scholar] [CrossRef]
- Topilsky, Y.; Michelena, H.; Bichara, V.; Maalouf, J.; Mahoney, D.W.; Enriquez-Sarano, M. Mitral valve prolapse with mid-late systolic mitral regurgitation: Pitfalls of evaluation and clinical outcome compared with holosystolic regurgitation. Circulation 2012, 125, 1643–1651. [Google Scholar] [CrossRef]
- Borgarelli, M.; Crosara, S.; Lamb, K.; Savarino, P.; La Rosa, G.; Tarducci, A.; Haggstrom, J. Survival characteristics and prognostic variables of dogs with preclinical chronic degenerative mitral valve disease attributable to myxomatous degeneration. J. Vet. Intern. Med. 2012, 26, 69–75. [Google Scholar] [CrossRef]
- Lisciandro, G.R.; Fosgate, G.T.; Fulton, R.M. Frequency and number of ultrasound lung rockets (B-lines) using a regionally based lung ultrasound examination named vet BLUE (veterinary bedside lung ultrasound exam) in dogs with radiographically normal lung findings. Vet. Radiol. Ultrasound 2014, 55, 315–322. [Google Scholar] [CrossRef]
- Vezzosi, T.; Mannucci, T.; Pistoresi, A.; Toma, F.; Tognetti, R.; Zini, E.; Domenech, O.; Auriemma, E.; Citi, S. Assessment of Lung Ultrasound B-Lines in Dogs with Different Stages of Chronic Valvular Heart Disease. J. Vet. Intern. Med. 2017, 31, 700–704. [Google Scholar] [CrossRef]
- Hagendorff, A.; Knebel, F.; Helfen, A.; Stobe, S.; Haghi, D.; Ruf, T.; Lavall, D.; Knierim, J.; Altiok, E.; Brandt, R.; et al. Echocardiographic assessment of mitral regurgitation: Discussion of practical and methodologic aspects of severity quantification to improve diagnostic conclusiveness. Clin. Res. Cardiol. 2021, 110, 1704–1733. [Google Scholar] [CrossRef] [PubMed]
- Zoghbi, W.A.; Enriquez-Sarano, M.; Foster, E.; Grayburn, P.A.; Kraft, C.D.; Levine, R.A.; Nihoyannopoulos, P.; Otto, C.M.; Quinones, M.A.; Rakowski, H.; et al. Recommendations for evaluation of the severity of native valvular regurgitation with two-dimensional and Doppler echocardiography. J. Am. Soc. Echocardiogr. 2003, 16, 777–802. [Google Scholar] [CrossRef] [PubMed]





| Control CKCSs (N = 17) | CKCSs with MMVD B1 (N = 17) | CKCSs with MMVD B2 (N = 15) | CKCSs with MMVD C (N = 15) | p | |||||
|---|---|---|---|---|---|---|---|---|---|
| On treatment at presentation (nb) | 0 (0.0%) | 5 (29.4%) | 6 (40.0%) | 14 (93.3%) | - | ||||
| Age (years) | 2.0 | (1.0–4.4) a | 6.0 | (3.2–11.5) b | 8.5 | (6.6–10.1) b | 9.0 | (6.4–12.1) b | <0.001 |
| Male/Female (nb) | 3 (17.6%)/14 (82.4%) | 11 (64.7%)/6 (35.3%) | 9 (60.0%)/6 (40.0%) | 11 (73.3%)/4 (26.7%) | - | ||||
| Body weight (Kg) | 7.8 | (5.0–10.5) a | 11.3 | (7.8–14.6) b | 10.10 | (7.3–11.9) b | 9.2 | (7.5–14.6) b | <0.001 |
| Heart rate | 125 | (100–148) a | 140 | (107–160) ab | 140 | (96–165) ab | 156 | (105–182) b | <0.021 |
| IVSd (mm) | 6.36 | (5.11–9.09) a | 7.86 | (6.45–10.73) b | 7.33 | (5.85–9.94) ab | 6.68 | (5.46–11.20) ab | <0.001 |
| LVIDd (mm) | 24.94 | (20.40–29.13) a | 32.51 | (22.50–36.20) b | 38.18 | (31.20–45.34) bc | 42.82 | (33.00–50.25) c | <0.001 |
| LVPWd (mm) | 6.52 | (4.76–7.00) a | 7.17 | (4.99–9.33) b | 7.27 | (5.70–8.57) b | 7.34 | (5.11–9.10) b | 0.002 |
| IVSs (mm) | 8.33 | (6.19–11.02) a | 10.33 | (7.99–12.49) b | 10.14 | (7.90–14.16) b | 11.32 | (8.66–14.70) b | <0.001 |
| LVIDs (mm) | 16.24 | (10.80–20.90) a | 20.14 | (11.93–22.36) ab | 23.00 | (16.31–31.00) b | 24.33 | (15.72–29.30) b | <0.001 |
| LVPWs (mm) | 9.67 | (6.88–11.82) a | 10.97 | (8.61–14.52) b | 12.00 | (8.70–15.10) b | 11.95 | (8.92–14.70) b | <0.001 |
| LV FS (%) | 34.3 | (21.7–50.9) a | 37.2 | (32.2–51.3) a | 40.0 | (32.0–51.2) ab | 44.7 | (32.7–54.4) b | 0.012 |
| LVIDdN | 1.34 | (1.13–1.58) a | 1.56 | (1.23–1.71) a* | 2.01 | (1.71–2.31) b* | 2.22 | (1.74–2.54) b | <0.001 |
| LVEDV (mL) | 12.00 | (7.87–16.53) a | 21.33 | (12.47–25.20) a | 31.00 | (24.00–56.10) b | 39.00 | (25.25–56.55) b | <0.001 |
| LVEDV (mL/kg) | 1.57 | (1.02–2.04) a | 1.75 | (1.31–2.41) a | 3.70 | (2.60–5.10) b | 3.89 | (2.49–6.26) b | <0.001 |
| LVESV (mL) | 3.33 | (2.00–6.73) a | 6.00 | (2.53–7.33) a | 9.00 | (4.01–19.00) b | 9.33 | (3.95–15.10) b | <0.001 |
| LVESV (mL/kg) | 0.46 | (0.21–0.80) a | 0.53 | (0.29–0.65) a | 1.03 | (0.48–2.10) b | 0.93 | (0.46–1.63) b | <0.001 |
| LV EF (%) | 71.1 | (57.1–79.1) a | 70.2 | (60.1–82.8) ab | 72.0 | (49.1–86.0) ab | 76.1 | (66.6–84.7) b | 0.170 |
| LA max (mL) | 5.32 | (2.63–6.65) a | 11.77 | (4.32–18.26) ab | 32.00 | (17.12–53.00) bc | 49.00 | (30.72–86.15) c | <0.001 |
| LA max (mL/kg) | 0.62 | (0.36–0.97) a | 1.02 | (0.46–1.54) a | 3.37 | (2.16–5.04) b | 4.75 | (2.99–8.23) c | <0.001 |
| LA min (mL) | 1.56 | (0.88–2.60) a | 3.79 | (1.52–6.05) a | 13.80 | (5.12–24.78) b | 28.31 | (15.60–52.90) c | <0.001 |
| LA min (mL/kg) | 0.22 | (0.13–0.33) a | 0.34 | (0.15–0.53) a | 1.57 | (0.60–2.23) b | 3.02 | (1.32–4.96) c | <0.001 |
| LA/Ao | 1.23 | (1.00–1.36) a | 1.38 | (1.18–1.70) a* | 1.73 | (1.62–2.40) b* | 2.25 | (1.73–2.94) b | <0.001 |
| PISA-r (mm) | - | - | 3.07 | (1.56–5.32) a | 5.84 | (4.00–6.50) b | 8.00 | (6.35–10.78) c | <0.001 |
| MRVTI (cm) | - | - | 88.90 | (50.58–114.99) a | 98.4 | (80.60–127.00) b | 74.43 | (57.77–95.77) a | 0.002 |
| Peak MR (m/s) | - | - | 5.88 | (5.26–7.06) a | 5.80 | (5.28–6.38) a | 5.34 | (1.60–5.97) b | 0.012 |
| EROA (cm2) | - | - | 0.034 | (0.009–0.11) a | 0.15 | (0.08–0.23) b | 0.27 | (0.17–0.46) b | <0.001 |
| RgV (mL) | - | - | 3.18 | (0.51–9.44) a | 11.8 | (6.35–20.00) b | 21.00 | (12.33–34.65) c | <0.001 |
| RgF (%) | - | - | 21.6 | (5.8–54.8) a | 50.0 | (33.0–83.0) b | 70.0 | (54.4–94.0) c | <0.001 |
| Peak E (m/s) | 0.67 | (0.51–0.86)a | 0.80 | (0.58–0.95) a | 1.47 | (1.16–1.71) b | 1.75 | (1.17–2.21) c | <0.001 |
| Peak TR (m/s) * | - | - | 2.31 | (2.0–2.80) a n = 12 | 2.87 | (2.06–3.11) ab n = 12 | 3.26 | (2.81–4.06) b n = 14 | <0.001 |
| Control CHHs (N = 15) | CHHs with MMVD B1 (N = 15) | CHHs with MMVD B2 (N = 14) | CHHs with MMVD C (N = 16) | p | |||||
|---|---|---|---|---|---|---|---|---|---|
| On treatment at presentation (nb) | 0 (0.0%) | 5 (33.3%) | 4 (28.6%) | 10 (62.5%) | - | ||||
| Age (years) | 2.5 | (0.9–8.0) a | 9.5 | (6.0–11.3) b | 11.0 | (8.7–16.4) c | 10.0 | (6.4–14.5) bc | <0.001 |
| Male/Female (nb) | 5 (33.3%)/10 (66.6%) | 9 (60.0%)/6 (40.0%) | 9 (64.3%)/5 (35.7%) | 12 (75.0%)/4 (25.0%) | - | ||||
| Body weight (kg) | 2.3 | (1.7–3.3) a | 3.2 | (2.0–4.6) ab | 3.2 | (2.1–5.0) b | 4.3 | (2.1–5.6) b | <0.001 |
| Heart rate | 118 | (84–146) a | 140 | (107–158) a | 136 | (103–167) a | 155 | (112–204) b | <0.001 |
| IVSd (mm) | 4.51 | (3.66–5.61) a | 5.03 | (3.21–6.77) a | 4.95 | (3.64–6.20) a | 5.00 | (3.56–6.75) a | 0.444 |
| LVIDd (mm) | 18.02 | (14.66–20.83) a | 21.00 | (17.43–24.65) b | 26.00 | (23.14–30.43) c | 30.00 | (23.46–39.39) d | <0.001 |
| LVPWd (mm) | 4.73 | (3.33–5.75) a | 4.40 | (3.16–5.98) a | 5.35 | (3.48–6.61) a | 5.64 | (3.54–6.58) a | 0.037 |
| IVSs (mm) | 6.32 | (5.14–9.60) a | 7.36 | (6.06–10.30) ab | 8.81 | (6.95–10.40) b | 9.94 | (6.33–11.02) b | <0.001 |
| LVIDs (mm) | 11.04 | (8.15–12.45) a | 11.33 | (8.23–15.67) ac | 13.57 | (10.29–18.18) bc | 14.68 | (10.12–22.14) b | <0.001 |
| LVPWs (mm) | 7.55 | (6.34–8.82) a | 8.00 | (6.41–10.00) ab | 9.00 | (7.61–11.32) b | 9.12 | (6.43–10.78) b | <0.002 |
| LV FS (%) | 41.5 | (27.0–52.0) a | 47.2 | (33.9–54.9) a | 48.6 | (36.0–59.1) a | 47.8 | (34.9–62.9) a | 0.084 |
| LVIDdN | 1.38 | (1.20–1.58) a | 1.59 | (1.20–1.70) a* | 1.86 | (1.70–2.07) b* | 2.00 | (1.72–2.57) b | <0.001 |
| LVEDV (mL) | 4.00 | (3.00–7.00) a | 7.33 | (4.00–10.20) ab | 11.00 | (6.55–18.90) bc | 13.17 | (8.12–30.00) c | <0.001 |
| LVEDV (mL/kg) | 1.62 | (1.11–3.23) a | 2.22 | (1.28–2.79) a | 3.61 | (2.17–4.91) b | 4.22 | (2.22–6.46) b | <0.001 |
| LVESV (mL) | 1.00 | (1.00–2.00) a | 1.67 | (1.00–3.43) ab | 2.00 | (1.00–3.23) b | 3.00 | (1.00–7.25) b | 0.001 |
| LVESV (mL/kg) | 0.53 | (0.31–1.02) a | 0.54 | (0.31–0.99) a | 0.63 | (0.36–1.12) a | 0.73 | (0.36–1.69) a | 0.208 |
| LV EF (%) | 70.0 | (60.9–81.7) a | 75.0 | (63.6–85.5) ab | 82.9 | (64.7–88.8) b | 82.7 | (71.0–88.6) b | <0.001 |
| LA max (mL) | 1.75 | (0.76–2.34) a | 3.61 | (1.98–7.12) a | 7.69 | (5.25–17.59) b | 15.00 | (7.85–34.25) c | <0.001 |
| LA max (mL/kg) | 0.72 | (0.44–1.08) a | 1.16 | (0.71–1.85) a | 2.68 | (1.35–4.34) b | 4.26 | (1.68–7.80) c | <0.001 |
| LA min (mL) | 0.47 | (0.20–0.86) a | 0.82 | (0.55–2.27) a | 2.40 | (1.42–7.50) b | 5.62 | (2.18–18.17) b | <0.001 |
| LA min (mL/kg) | 0.19 | (0.12–0.42) a | 0.26 | (0.16–0.54) a | 0.85 | (0.32–2.24) b | 1.68 | (0.46–3.91) b | <0..001 |
| LA/Ao | 1.23 | (0.96–1.36) a | 1.36 | (1.15–1.50) a* | 1.84 | (1.64–2.41) b* | 2.52 | (1.73–3.44) c | <0.001 |
| PISA-r (mm) | - | - | 2.15 | (1.67–3.40) a | 3.38 | (2.59–5.48) b | 6.00 | (4.00–7.73) c | <0.001 |
| MRVTI (cm) | - | - | 81.90 | (43.25–101.99) a | 89.28 | (67.86–124.41) a | 74.58 | (55.50–92.63) b | 0.016 |
| Peak MR (m/s) | - | - | 6.14 | (4.75–6.64) a | 576.50 | (450.38–640.13) a | 567.50 | (439.13–648.13) a | 1.115 |
| EROA (cm2) | - | - | 0.017 | (0.010–0.039) a | 0.051 | (0.025–0.12) b | 0.17 | (0.02–0.20) b | <0.001 |
| RgV (mL) | - | - | 1.26 | (0.65–3.42) a | 4.43 | (2.18–10.06) b | 10.96 | (4.02–17.63) c | <0.001 |
| RgF (%) | - | - | 30.1 | (14.4–46.3) a | 56.0 | (29.3–84.6) b | 80.0 | (46.5–100.0) c | <0.001 |
| Peak E (m/s) | 0.64 | (0.50–0.76) a | 0.86 | (0.63–1.02) a | 1.29 | (0.74–1.76) b | 1.72 | (1.19–2.09) c | <0.001 |
| Peak TR (m/s) * | - | - | 2.76 | (2.23–3.93) a n = 4 | 2.74 | (2.2–3.68) a n = 9 | 3.31 | (2.0–4.61) a n = 13 | <0.001 |
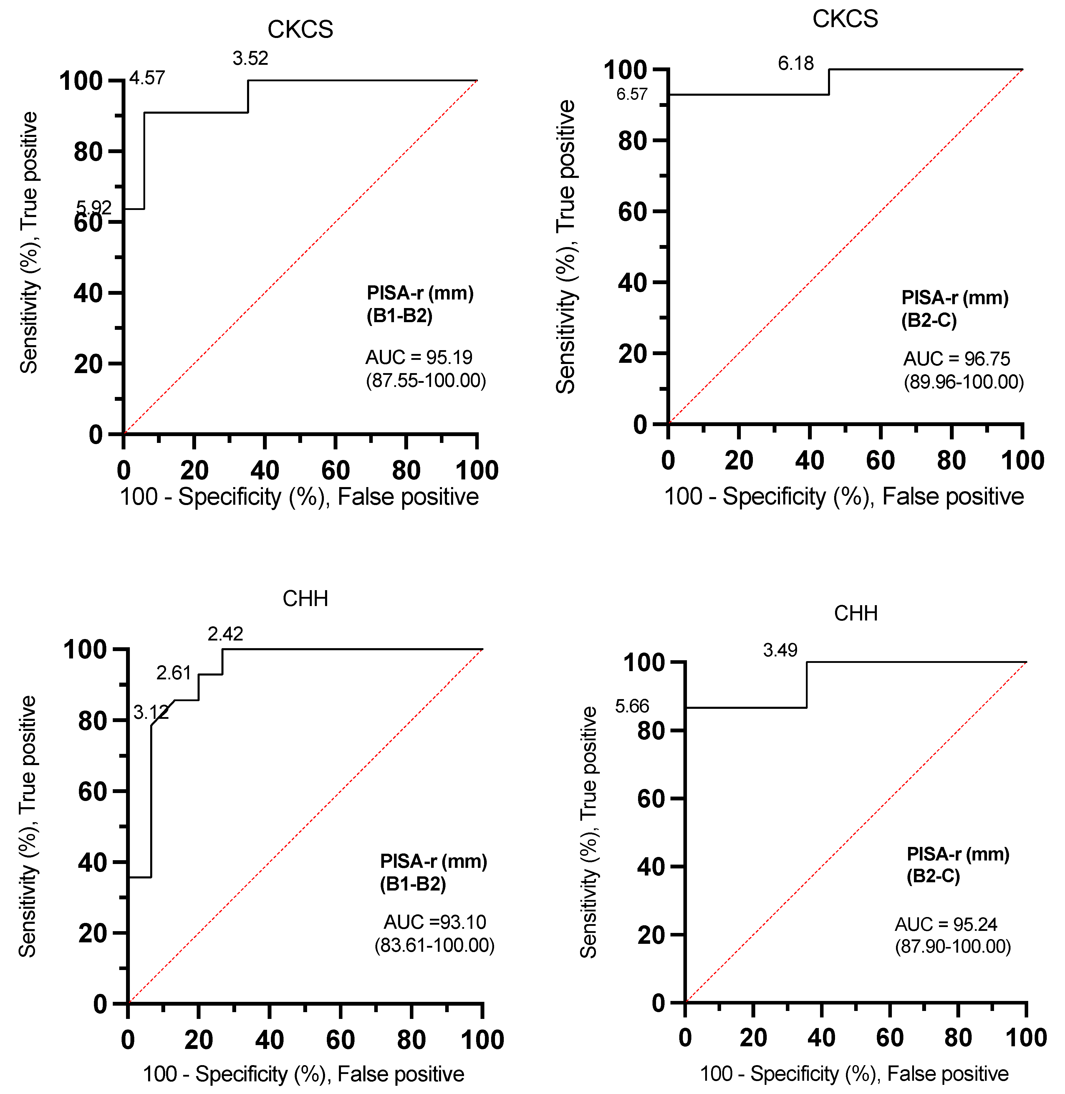
| AUC (%) | 95% CI | Cut-off Value | Se (%) | Sp (%) | p | |
|---|---|---|---|---|---|---|
| Control vs. MMVD stage B1 | ||||||
| CKCS | ||||||
| LAmax (mL/kg) | 86.33 | (72.53–100.00) | 0.80 | 82.35 | 88.24 | <0.001 |
| CHH | ||||||
| LAmax (mL/kg) | 91.78 | (80.70–100.00) | 0.83 | 93.33 | 86.67 | <0.001 |
| MMVD stage B1 vs. stage B2 | ||||||
| CKCS | ||||||
| PISA-r (mm) | 95.19 | (87.55–100.00) | 4.57 | 90.91 | 94.12 | <0.001 |
| EROA (cm2) | 95.99 | (89.39–100.00) | 0.090 | 90.91 | 94.12 | <0.001 |
| RgV (mL) | 97.33 | (92.25–100.00) | 5.88 | 100.00 | 88.24 | <0.001 |
| RgF (%) | 92.0 | (81.3–100.0) | 32.4 | 100.00 | 82.35 | <0.001 |
| LAmax (mL/kg) | 100.00 | (100.00–100.00) | 1.97 | 100.00 | 100.00 | <0.001 |
| CHH | ||||||
| PISA-r (mm) | 93.10 | (83.61–100.00) | 2.42 | 100.00 | 73.33 | <0.001 |
| EROA (cm2) | 96.19 | (90.30–100.00) | 0.024 | 100.00 | 80.00 | <0.001 |
| RgV (mL) | 96.67 | (91.08–100.00) | 2.73 | 92.86 | 93.33 | <0.001 |
| RgF (%) | 92.3 | (82.1–100.0) | 38.0 | 92.86 | 80.00 | <0.001 |
| LAmax (mL/kg) | 96.43 | (90.54–100.00) | 1.53 | 92.86 | 86.67 | <0.001 |
| MMVD stage B2 vs. stage C | ||||||
| CKCS | ||||||
| PISA-r (mm) | 96.75 | (89.96–100.00) | 6.57 | 92.86 | 100.00 | <0.001 |
| EROA (cm2) | 87.66 | (74.19–100.00) | 0.165 | 100.00 | 63.64 | 0.002 |
| RgV (mL) | 82.79 | (66.69–98.89) | 20.50 | 64.29 | 100.00 | 0.005 |
| RgF (%) | 79.6 | (60.0–99.1) | 52.0 | 100.00 | 63.64 | 0.013 |
| LAmax (mL/kg) | 87.34 | (72.94–100.00) | 4.27 | 78.57 | 90.91 | 0.002 |
| CHH | ||||||
| PISA-r (mm) | 95.24 | (87.90–100.00) | 5.66 | 86.67 | 100.00 | <0.001 |
| EROA (cm2) | 82.62 | (66.86–98.38) | 0.134 | 60.00 | 100.00 | 0.003 |
| RgV (mL) | 88.10 | (75.73–100.00) | 9.55 | 73.33 | 92.86 | <0.001 |
| RgF (%) | 81.0 | (65.1–96.9) | 67.5 | 80.00 | 78.57 | 0.005 |
| LAmax (mL/kg) | 75.71 | (57.53–93.90) | 4.21 | 60.00 | 92.86 | 0.018 |
Disclaimer/Publisher’s Note: The statements, opinions and data contained in all publications are solely those of the individual author(s) and contributor(s) and not of MDPI and/or the editor(s). MDPI and/or the editor(s) disclaim responsibility for any injury to people or property resulting from any ideas, methods, instructions or products referred to in the content. |
© 2024 by the authors. Licensee MDPI, Basel, Switzerland. This article is an open access article distributed under the terms and conditions of the Creative Commons Attribution (CC BY) license (https://creativecommons.org/licenses/by/4.0/).
Share and Cite
Koch, J.; Engeland, I.V.; Willesen, J.L.; Schrøder, A.S.; Gleerup, C.H.; Bach, M.B.T. Quantification of Mitral Valve Regurgitation in Cavalier King Charles Spaniels and Chihuahuas Using Radius of Proximal Isovelocity Surface Area. Animals 2024, 14, 2805. https://doi.org/10.3390/ani14192805
Koch J, Engeland IV, Willesen JL, Schrøder AS, Gleerup CH, Bach MBT. Quantification of Mitral Valve Regurgitation in Cavalier King Charles Spaniels and Chihuahuas Using Radius of Proximal Isovelocity Surface Area. Animals. 2024; 14(19):2805. https://doi.org/10.3390/ani14192805
Chicago/Turabian StyleKoch, Jørgen, Inge V. Engeland, Jakob L. Willesen, Anders S. Schrøder, Caroline H. Gleerup, and Maiken B. T. Bach. 2024. "Quantification of Mitral Valve Regurgitation in Cavalier King Charles Spaniels and Chihuahuas Using Radius of Proximal Isovelocity Surface Area" Animals 14, no. 19: 2805. https://doi.org/10.3390/ani14192805
APA StyleKoch, J., Engeland, I. V., Willesen, J. L., Schrøder, A. S., Gleerup, C. H., & Bach, M. B. T. (2024). Quantification of Mitral Valve Regurgitation in Cavalier King Charles Spaniels and Chihuahuas Using Radius of Proximal Isovelocity Surface Area. Animals, 14(19), 2805. https://doi.org/10.3390/ani14192805

