Relationship between Selected SNPs (g.16024A/G, g.16039T/C and g.16060A/C) of the FASN Gene and the Fat Content and Fatty Acid Profile in the Milk of Three Breeds of Cows
Abstract
Simple Summary
Abstract
1. Introduction
2. Materials and Methods
2.1. Research Material
2.2. Milk Analyses
2.3. Isolation of Genomic DNA. SNPs Genotyping
2.4. Statistical Analysis
3. Results
3.1. Frequency of SNPs Genotypes of the FASN Gene
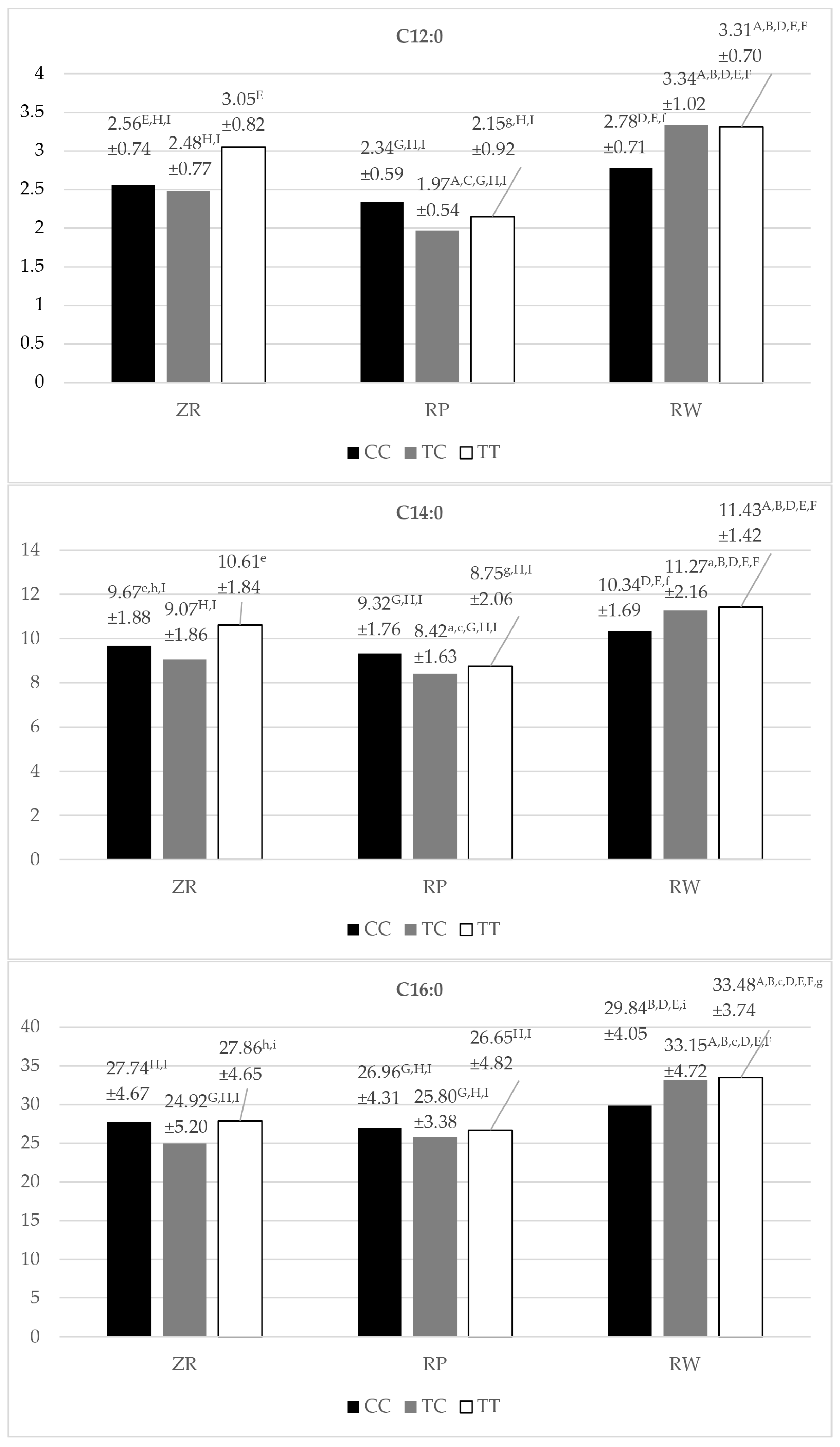
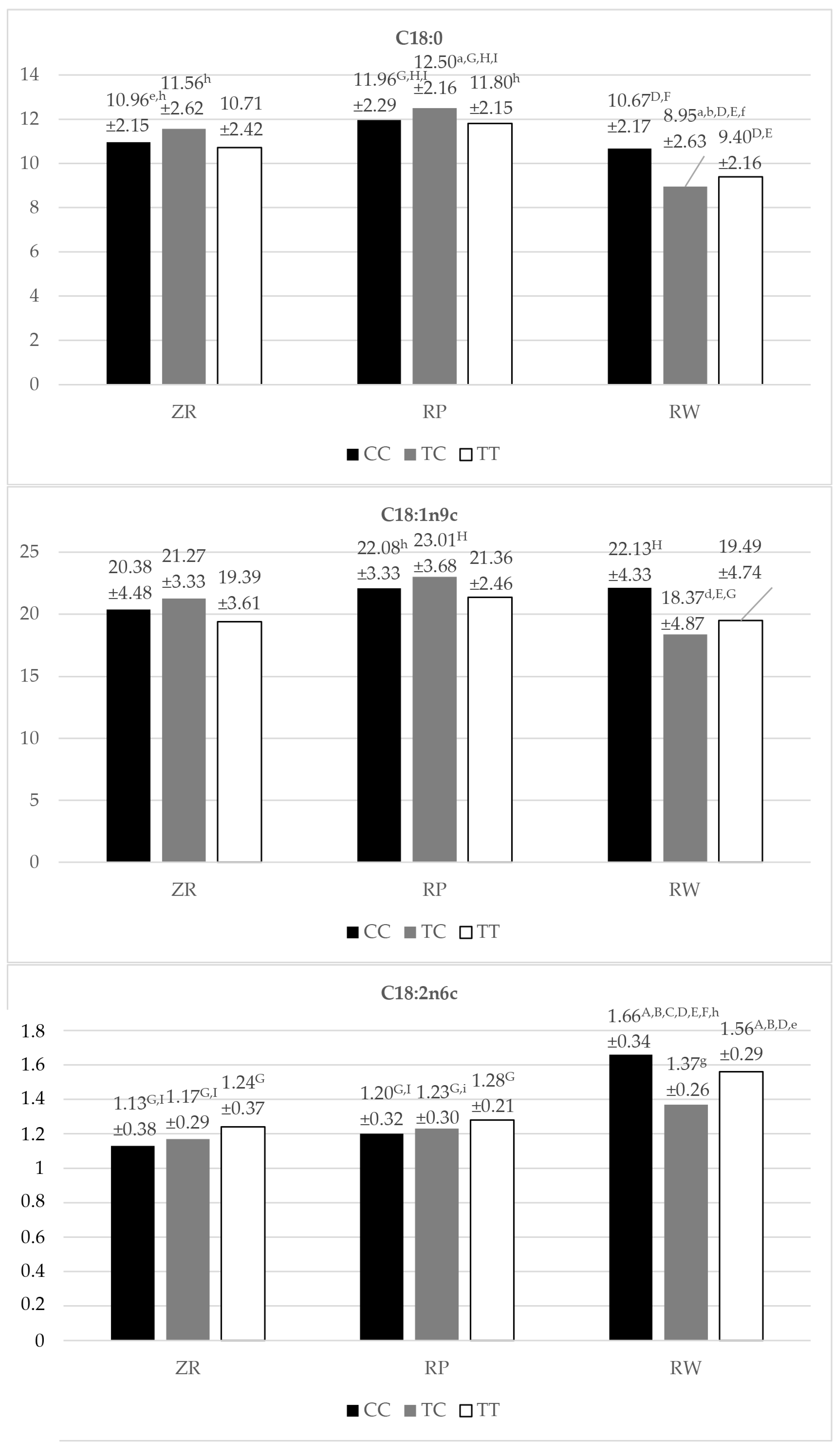
3.2. Effect of FASN Gene Polymorphisms on Milk Fat Content and Fatty Acid Profile
3.2.1. Effect of the SNP g.16024A/G
3.2.2. Effect of the SNP g.16039T/C
3.2.3. Effect of the SNP g.16060A/C
4. Discussion
4.1. Effect of the SNP g.16024A/G
4.2. Effect of the SNP g.16039T/C and SNP g.16024A/G
4.3. Effect of the SNP g.16060A/C
5. Conclusions
Supplementary Materials
Author Contributions
Funding
Institutional Review Board Statement
Informed Consent Statement
Data Availability Statement
Conflicts of Interest
Correction Statement
References
- Fardellone, P.; Séjourné, A.; Blain, H.; Cortet, B.; Thomas, T. Osteoporosis: Is Milk a Kindness or a Curse? Jt. Bone Spine 2017, 84, 275–281. [Google Scholar] [CrossRef] [PubMed]
- Antunes, I.C.; Bexiga, R.; Pinto, C.; Roseiro, L.C.; Quaresma, M.A.G. Cow’s Milk in Human Nutrition and the Emergence of Plant-Based Milk Alternatives. Foods 2023, 12, 99. [Google Scholar] [CrossRef] [PubMed]
- Gaucheron, F. Milk and Dairy Products: A Unique Micronutrient Combination. J. Am. Coll. Nutr. 2011, 30, 400S–409S. [Google Scholar] [CrossRef] [PubMed]
- Tian, Z.; Zhang, Y.; Zhang, H.; Sun, Y.; Mao, Y.; Yang, Z.; Li, M. Transcriptional regulation of milk fat synthesis in dairy cattle. J. Funct. Foods 2022, 96, 105208. [Google Scholar] [CrossRef]
- Singh, A.; Malla, W.A.; Kumar, A.; Jain, A.; Thakur, M.S.; Khare, V.; Tiwari, S.P. Review: Genetic background of milk fatty acid synthesis in bovines. Trop Anim. Health Prod. 2023, 55, 328. [Google Scholar] [CrossRef] [PubMed]
- Månsson, L. Helena Fatty Acids in Bovine Milk Fat. Food Nutr. Res. 2008, 52, 1821. [Google Scholar] [CrossRef]
- García, C.; Montiel, R.L.A.; Borderas, T.F. Grasa y proteína de la leche de vaca: Componentes, síntesis y modificación. Arch. Zootec. 2014, 63, 85–105. [Google Scholar] [CrossRef]
- Harvatine, K.J.; Boisclair, Y.R.; Bauman, D.E. Recent advances in the regulation of milk fat synthesis. Animal 2009, 3, 40–54. [Google Scholar] [CrossRef]
- Jensen, R.G. The Composition of Bovine Milk Lipids: January 1995 to December 2000. J. Dairy Sci. 2002, 85, 295–350. [Google Scholar] [CrossRef]
- Pereira, C.P. Milk nutritional composition and its role in human health. Nutrition 2014, 30, 619–627. [Google Scholar] [CrossRef]
- Markiewicz-Kęszycka, M.; Czyżak-Runowska, G.; Lipińska, P.; Wójtowski, J. Fatty acid profile of milk a review. Bull. Vet. Inst. Pulawy 2013, 57, 135–139. [Google Scholar] [CrossRef]
- Bionaz, M.; Loor, J.J. Gene networks driving bovine milk fat synthesis during the lactation cycle. BMC Genom. 2008, 9, 366. [Google Scholar] [CrossRef] [PubMed]
- Kumar, M.; Poonam, R.; Dahiya, S.P. Potential candidate gene markers for milk fat in bovines: A review. Indian J. Anim. Sci. 2020, 90, 667–671. [Google Scholar] [CrossRef]
- Chirala, S.S.; Chang, H.; Matzuk, M.; Abu-Elheiga, L.; Mao, J.; Mahon, K.; Finegold, M.; Wakil, S.J. Fatty acid synthesis is essential in embryonic development: Fatty acid synthase null mutants and most of the heterozygotes die in utero. Proc. Natl. Acad. Sci. USA 2003, 100, 6358–6363. [Google Scholar] [CrossRef] [PubMed]
- Kale, D.S.; Singh, J.; Sathe, Y.B.; Patil, D.V. FASN Gene And Its Role in Bovine Milk Production. Int. J. Biotech Trends Technol. 2021, 11, 20–25. [Google Scholar]
- Roy, R.; Gautier, M.; Hayes, H.; Laurent, P.; Osta, R.; Zaragoza, P.; Eggen, A.; Rodellar, C. Assignment of the fatty acid synthase (FASN) gene to bovine chromosome 19 (19q22) by in situ hybridization and confirmation by somatic cell hybrid mapping. Cytogenet. Cell Genet. 2001, 93, 141–142. [Google Scholar] [CrossRef] [PubMed]
- Kala, R.; Samková, E.; Čitek, J. Selected candidate genes affecting milk fatty acids. Acta Fytotechnzootechn 2016, 19, 31–33. [Google Scholar] [CrossRef]
- Guo, J.; Ji, X.; Mao, Y.; Yang, Z.; Chen, Z.; Yuan, Y. Advances in molecular regulation of goat lipid metabolism and FAS structure and function regulation. Biocell 2021, 45, 835–847. [Google Scholar] [CrossRef]
- Roy, R.; Ordovas, L.; Zaragoza, P.; Romero, A.; Moreno, C.; Altarriba, J.; Rodellar, C. Association of polymorphisms in the bovine FASN gene with milk-fat content. Anim. Genet. 2006, 37, 215–218. [Google Scholar] [CrossRef]
- Chakravarty, B.; Gu, Z.; Chirala, S.S.; Wakil, S.J.; Quiocho, F.A. Human fatty acid synthase: Structure and substrate selectivity of the thioesterase domain. Proc. Natl. Acad. Sci. USA 2004, 101, 15567–15572. [Google Scholar] [CrossRef]
- Zalewska, M.; Puppel, K.; Sakowski, T. Associations between gene polymorphisms and selected meat traits in cattle—A review. Anim. Biosci. 2021, 34, 1425. [Google Scholar] [CrossRef]
- Otto, J.R.; Mwangi, F.W.; Pewan, S.B.; Adegboye, O.A.; Malau-Aduli, A.E. Lipogenic gene single nucleotide polymorphic DNA markers associated with intramuscular fat, fat melting point, and health-beneficial omega-3 long-chain polyunsaturated fatty acids in Australian pasture-based Bowen Genetics Forest Pastoral Angus, Hereford, and Wagyu beef cattle. Genes 2022, 13, 1411. [Google Scholar] [CrossRef]
- Miluchová, M.; Gábor, M.; Candrák, J.; Šťastná, D.; Gašper, J. Association study between g. 16024A> G polymorphism of the FASN gene and milk production of Holstein cattle. J. Cent. Eur. Agric. 2023, 24, 25–31. [Google Scholar] [CrossRef]
- Bartoň, L.; Bureš, D.; Kott, T.; Řehák, D. Associations of polymorphisms in bovine DGAT1, FABP4, FASN, and PPARGC1A genes with intramuscular fat content and the fatty acid composition of muscle and subcutaneous fat in Fleckvieh bulls. Meat Sci. 2016, 114, 18–23. [Google Scholar] [CrossRef] [PubMed]
- Motoyama, M.; Sasaki, K.; Watanabe, A. Wagyu and the factors contributing to its beef quality: A Japanese industry overview. Meat Sci. 2016, 120, 10–18. [Google Scholar] [CrossRef] [PubMed]
- Mauric, M.; Masek, T.; Ljoljic, D.B.; Grbavac, J.; Starcevic, K. Effects of different variants of the FASN gene on production performance and milk fatty acid composition in Holstein × Simmental dairy cows. Vet. Med. 2019, 64, 101–108. [Google Scholar] [CrossRef]
- Matsumoto, H.; Inada, S.; Kobayashi, E.; Abe, T.; Hasebe, H.; Sasazaki, S.; Oyama, K.; Mannen, H. Identification of SNPs in the FASN gene and their effect on fatty acid milk composition in Holstein cattle. Livest. Sci. 2012, 144, 281–284. [Google Scholar] [CrossRef]
- Abe, T.; Saburi, J.; Hasebe, H.; Nakagawa, T.; Misumi, S.; Nade, T.; Nakajima, H.; Shoji, N.; Kobayashi, M.; Kobayashi, E. Novel mutations of the FASN gene and their effect on fatty acid composition in Japanese Black beef. Biochem. Genet. 2009, 47, 397–411. [Google Scholar] [CrossRef] [PubMed]
- Schennink, A.; Bovenhuis, H.; Léon-Kloosterziel, K.M.; Van Arendonk, J.A.M.; Visker, M.H.P.W. Effect of polymorphisms in the FASN, OLR1, PPARGC1A, PRL and STAT5A genes on bovine milk-fat composition. Anim. Genet. 2009, 40, 909–916. [Google Scholar] [CrossRef]
- Folch, J.; Lees, M.; Sloane, S.G.H. A simple method for the isolation and purification of total lipids from animal tissues. J. Biol. Chem. 1957, 226, 497–509. [Google Scholar] [CrossRef]
- Nayoung, K.; Ji-Su, K.; Won-Hee, K.; Seon, I.-Y. High-Resolution Melting (HRM) Genotyping. In Plant Genotyping, Methods and Protocols; Shavrukov, J., Clifton, N.J., Eds.; Humana Press: Totowa, NJ, USA, 2023; Volume 2638, pp. 337–349. [Google Scholar]
- Zhang, M.; Peng, W.F.; Hu, X.J.; Zhao, Y.X.; Lv, F.H.; Yang, J. Global genomic diversity and conservation priorities for domestic animals are associated with the economies of their regions of origin. Sci. Rep. 2018, 8, 11677. [Google Scholar] [CrossRef] [PubMed]
- Morris, C.A.; Cullen, N.G.; Glass, B.C.; Hyndman, D.L.; Manley, T.R.; Hickey, S.M.; McEwan, J.C.; Pitchford, W.S.; Bottema, C.D.K.; Lee, M.A.H. Fatty acid synthase effects on bovine adipose fat and milk fat. Mamm Genome. 2007, 18, 64–74. [Google Scholar] [CrossRef]
- Zhou, Z.; He, X.; Liu, Y.; Li, Q.; Wang, P.; An, Y.; Di, R.; Yang, Y.; Chu, M. Polymorphisms of Fatty Acid Synthase Gene and their Association with Milk Production Traits in Chinese Holstein Cows. Pakistan J. Zool. 2023, 1–7. [Google Scholar] [CrossRef]
- Matsuhashi, T.; Maruyama, S.; Uemoto, Y.; Kobayashi, N.; Mannen, H.; Abe, T.; Sakaguchi, S.; Kobayashi, E. Effects of bovine fatty acid synthase, stearoyl-coenzyme A desaturase, sterol regulatory element-binding protein 1, and growth hormone gene polymorphisms on fatty acid composition and carcass traits in Japanese Black cattle. J. Anim. Sci. 2011, 89, 12–22. [Google Scholar] [CrossRef] [PubMed]
- Miluchová, M.; Gábor, M.; Gašper, J. Analysis of the Genetic Structure of Slovak Holstein Cattle Using Seven Candidate Genes Related to Milk Quality. Diversity 2022, 14, 989. [Google Scholar] [CrossRef]
- Kawaguchi, F.; Kakiuchi, F.; Oyama, K.; Mannen, H.; Sasazaki, S. Effect of Five Polymorphisms on Percentage of Oleic Acid in Beef and Investigation of Linkage Disequilibrium to Confirm the Locations of Quantitative Trait Loci on BTA19 in Japanese Black Cattle. Life 2021, 11, 597. [Google Scholar] [CrossRef]
- Mauriæ, M.A.J.A.; Mašek, T.; Beniae, M.; Špehar, M.; Stareeviae, K. Effect of DGAT1, FASN and PRL genes on milk production and milk composition traits in Simmental and crossbred Holstein cattle. Indian J. Anim. Sci. 2017, 87, 859–863. [Google Scholar] [CrossRef]
- Čítek, J.; Brzáková, M.; Hanusová, L.; Hanuš, O.; Večerek, L.; Samková, E.; Křížová, Z.; Hoštičková, I.; Káva, T.; Straková, K.; et al. Gene polymorphisms influencing yield, composition and technological properties of milk from Czech Simmental and Holstein cows. Anim. Biosci. 2021, 34, 2–11. [Google Scholar] [CrossRef]
- Walker, C.C.; do EGITO, A.A.; Feijó, G.L.D.; Morais, M.G. Polimorfismos (g. 16024A> G e g. 16039T> C) do gene FASN relacionados à composição lipídica da carne em raças bovinas. Actas Iberoam. En Conserv. Ón Anim. 2016, 7, 53–58. [Google Scholar]








| SNP | Loci | Location AA Change | Primer Sequence (5′-3′) | Annealing Temperature (°C) |
|---|---|---|---|---|
| SNP 1 | rs208645216 g.16024A/G | Exon 34 Thr/Ala | F: GAGACGCCAGGGTGTGC R: GTTGAAGATGCCTCCCACG | 65 °C |
| SNP 2 | rs209734560 g.16039C/T | Exon 34 Trp/Arg | F: AGGCAGGTCCACGAGTG R: TCTAAAGCCGTCCTCAC | 65 °C |
| SNP 3 | rs211379310 g.16060A/C | Exon 34 | F: GCAGGTCCTGGTGTCCA R: TGGAGGGCTTCTTAGG | 65 °C |
| Breed | n | SNP 1 GENOTYPES | n | SNP 2 GENOTYPES | n | SNP 3 GENOTYPES | ||||||
|---|---|---|---|---|---|---|---|---|---|---|---|---|
| ZR | 94 | GG | AG | AA | 93 | CC | TC | TT | 94 | CC | AC | AA |
| 79% * | 19% | 2% | 67% * | 22% | 12% | 68% | 29% | 3% | ||||
| RP | 146 | GG | AG | AA | 147 | CC | TC | TT | 147 | CC | AC | AA |
| 60% | 29% * | 11% | 57% | 29% * | 14% | 66% | 32% | 2% | ||||
| RW | 226 | GG | AG | AA | 240 | CC | TC | TT | 241 | CC | AC | AA |
| 85% * | 8% | 6% | 77% * | 13% | 10% | 70% | 24% | 6% | ||||
| χ2 = 36.25 df = 4 p < 0.00001 VC = 0.20 | χ2 = 17.59 df = 4 p = 0.0015 VC = 0.14 | χ2 = 6.37 df = 4 p = 0.17 | ||||||||||
Disclaimer/Publisher’s Note: The statements, opinions and data contained in all publications are solely those of the individual author(s) and contributor(s) and not of MDPI and/or the editor(s). MDPI and/or the editor(s) disclaim responsibility for any injury to people or property resulting from any ideas, methods, instructions or products referred to in the content. |
© 2024 by the authors. Licensee MDPI, Basel, Switzerland. This article is an open access article distributed under the terms and conditions of the Creative Commons Attribution (CC BY) license (https://creativecommons.org/licenses/by/4.0/).
Share and Cite
Przybylska, P.; Kuczaj, M. Relationship between Selected SNPs (g.16024A/G, g.16039T/C and g.16060A/C) of the FASN Gene and the Fat Content and Fatty Acid Profile in the Milk of Three Breeds of Cows. Animals 2024, 14, 1934. https://doi.org/10.3390/ani14131934
Przybylska P, Kuczaj M. Relationship between Selected SNPs (g.16024A/G, g.16039T/C and g.16060A/C) of the FASN Gene and the Fat Content and Fatty Acid Profile in the Milk of Three Breeds of Cows. Animals. 2024; 14(13):1934. https://doi.org/10.3390/ani14131934
Chicago/Turabian StylePrzybylska, Paulina, and Marian Kuczaj. 2024. "Relationship between Selected SNPs (g.16024A/G, g.16039T/C and g.16060A/C) of the FASN Gene and the Fat Content and Fatty Acid Profile in the Milk of Three Breeds of Cows" Animals 14, no. 13: 1934. https://doi.org/10.3390/ani14131934
APA StylePrzybylska, P., & Kuczaj, M. (2024). Relationship between Selected SNPs (g.16024A/G, g.16039T/C and g.16060A/C) of the FASN Gene and the Fat Content and Fatty Acid Profile in the Milk of Three Breeds of Cows. Animals, 14(13), 1934. https://doi.org/10.3390/ani14131934

