Transcriptome-Based Evaluation of Optimal Reference Genes for Quantitative Real-Time PCR in Yak Stomach throughout the Growth Cycle
Abstract
Simple Summary
Abstract
1. Introduction
2. Materials and Methods
2.1. Animals and Sample Collection
2.2. RNA Extraction and cDNA Synthesis
2.3. Selection of CRGs
2.4. Primer Pairs Design
2.5. RT-qPCR Assay
2.6. Stability Analysis of CRGs
2.7. Validation of Optimal Reference Gene Combinations
3. Results
3.1. Quality Control of Total RNA
3.2. Selection of CRGs Based on RNA-seq Data and Previous Literature
3.3. Characteristics of Primer Pairs
3.4. RT-qPCR Analysis for CRGs
3.5. Evaluation of Expression Stability for CRGs
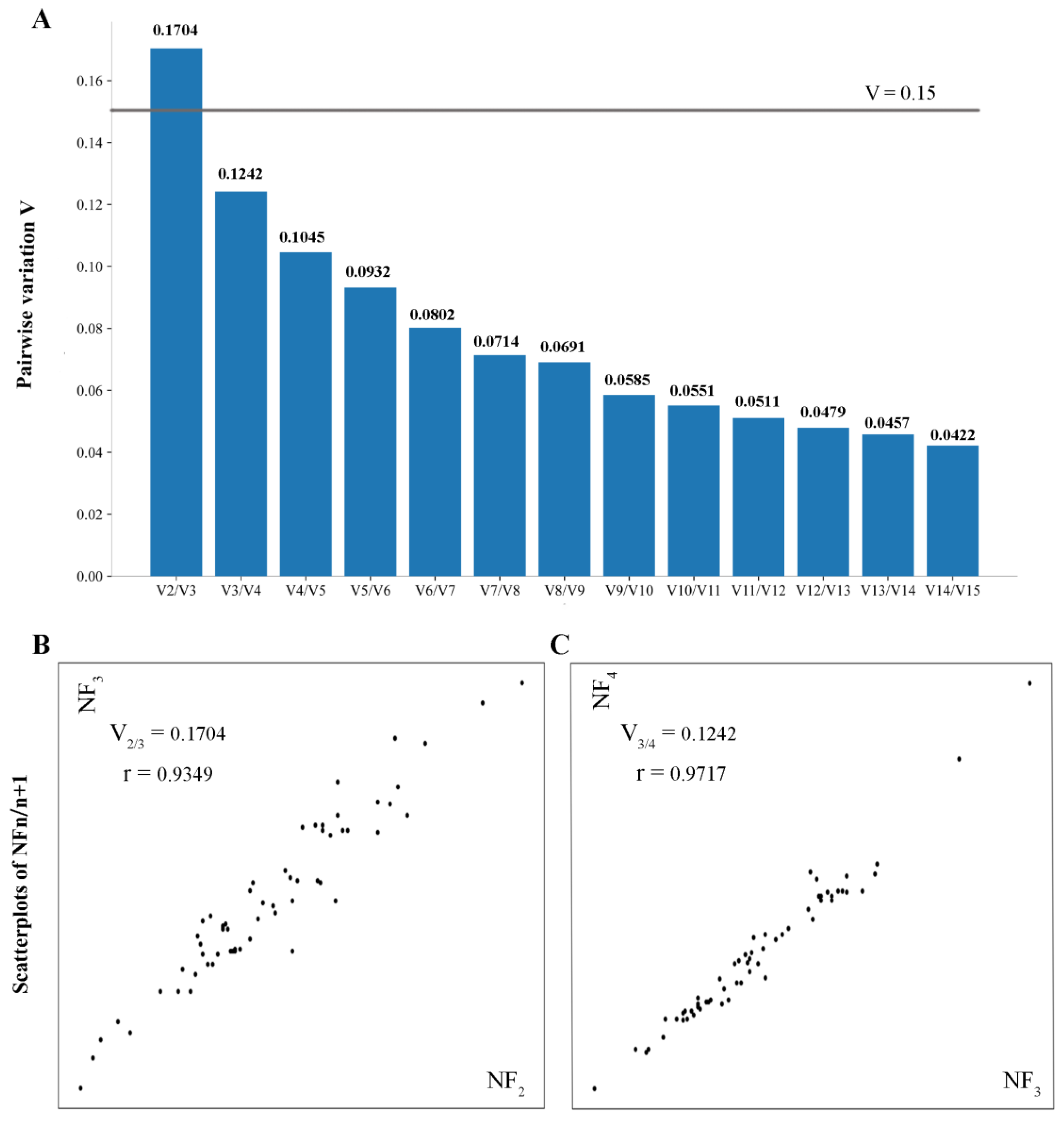
3.6. Optimal Number of Reference Genes
3.7. Validation of the Combination of CRGs
4. Discussion
5. Conclusions
Supplementary Materials
Author Contributions
Funding
Institutional Review Board Statement
Informed Consent Statement
Data Availability Statement
Conflicts of Interest
References
- Guo, X.; Long, R.; Kreuzer, M.; Ding, L.; Shang, Z.; Zhang, Y.; Yang, Y.; Cui, G. Importance of functional ingredients in yak milk-derived food on health of Tibetan nomads living under high-altitude stress: A review. Crit. Rev. Food Sci. Nutr. 2014, 54, 292–302. [Google Scholar] [CrossRef] [PubMed]
- Qiu, Q.; Zhang, G.; Ma, T.; Qian, W.; Wang, J.; Ye, Z.; Cao, C.; Hu, Q.; Kim, J.; Larkin, D.M.; et al. The yak genome and adaptation to life at high altitude. Nat. Genet. 2012, 44, 946–949. [Google Scholar] [CrossRef] [PubMed]
- Nozière, P.; Ortigues-Marty, I.; Loncke, C.; Sauvant, D. Carbohydrate quantitative digestion and absorption in ruminants: From feed starch and fibre to nutrients available for tissues. Anim. Int. J. Anim. Biosci. 2010, 4, 1057–1074. [Google Scholar] [CrossRef] [PubMed]
- Ma, L.; Xu, S.; Liu, H.; Xu, T.; Hu, L.; Zhao, N.; Han, X.; Zhang, X. Yak rumen microbial diversity at different forage growth stages of an alpine meadow on the Qinghai-Tibet Plateau. PeerJ 2019, 7, e7645. [Google Scholar] [CrossRef]
- Guo, L.; Yao, J.; Cao, Y. Regulation of pancreatic exocrine in ruminants and the related mechanism: The signal transduction and more. Anim. Nutr. (Zhongguo Xu Mu Shou Yi Xue Hui) 2021, 7, 1145–1151. [Google Scholar] [CrossRef]
- Swanson, K.C. Small Intestinal Anatomy, Physiology, and Digestion in Ruminants. In Reference Module in Food Science; Elsevier: Amsterdam, The Netherlands, 2019. [Google Scholar]
- Teixeira, A.F.; Kühnel, W.; Vives, P.; Wedel, T. Functional morphology of unguiculiform papillae of the reticular groove in the ruminant stomach. Ann. Anat. = Anat. Anz. Off. Organ Anat. Ges. 2009, 191, 469–476. [Google Scholar] [CrossRef]
- Meale, S.J.; Chaucheyras-Durand, F.; Berends, H.; Steele, M.A. From pre- to postweaning: Transformation of the young calf’s gastrointestinal tract. J. Dairy Sci. 2017, 100, 5984–5995. [Google Scholar] [CrossRef]
- Cholewińska, P.; Czyż, K.; Nowakowski, P.; Wyrostek, A. The microbiome of the digestive system of ruminants—A review. Anim. Health Res. Rev. 2020, 21, 3–14. [Google Scholar] [CrossRef]
- Wagner, E.M. Monitoring gene expression: Quantitative real-time rt-PCR. Methods Mol. Biol. 2013, 1027, 19–45. [Google Scholar]
- Derveaux, S.; Vandesompele, J.; Hellemans, J. How to do successful gene expression analysis using real-time PCR. Methods 2010, 50, 227–230. [Google Scholar] [CrossRef]
- Bustin, S.A.; Benes, V.; Garson, J.A.; Hellemans, J.; Huggett, J.; Kubista, M.; Mueller, R.; Nolan, T.; Pfaffl, M.W.; Shipley, G.L.; et al. The MIQE guidelines: Minimum information for publication of quantitative real-time PCR experiments. Clin. Chem. 2009, 55, 611–622. [Google Scholar] [CrossRef]
- Bai, W.L.; Yin, R.H.; Zhao, S.J.; Jiang, W.Q.; Yin, R.L.; Ma, Z.J.; Wang, Z.Y.; Zhu, Y.B.; Luo, G.B.; Yang, R.J.; et al. Technical note: Selection of suitable reference genes for studying gene expression in milk somatic cell of yak (Bos grunniens) during the lactation cycle. J. Dairy Sci. 2014, 97, 902–910. [Google Scholar] [CrossRef]
- Hruz, T.; Wyss, M.; Docquier, M.; Pfaffl, M.W.; Masanetz, S.; Borghi, L.; Verbrugghe, P.; Kalaydjieva, L.; Bleuler, S.; Laule, O.; et al. RefGenes: Identification of reliable and condition specific reference genes for RT-qPCR data normalization. BMC Genom. 2011, 12, 156. [Google Scholar] [CrossRef]
- Zhang, J.; Deng, C.; Li, J.; Zhao, Y. Transcriptome-based selection and validation of optimal house-keeping genes for skin research in goats (Capra hircus). BMC Genom. 2020, 21, 493. [Google Scholar] [CrossRef]
- Vandesompele, J.; De Preter, K.; Pattyn, F.; Poppe, B.; Van Roy, N.; De Paepe, A.; Speleman, F. Accurate normalization of real-time quantitative RT-PCR data by geometric averaging of multiple internal control genes. Genome Biol. 2002, 3, Research0034. [Google Scholar] [CrossRef] [PubMed]
- Andersen, C.L.; Jensen, J.L.; Ørntoft, T.F. Normalization of real-time quantitative reverse transcription-PCR data: A model-based variance estimation approach to identify genes suited for normalization, applied to bladder and colon cancer data sets. Cancer Res. 2004, 64, 5245–5250. [Google Scholar] [CrossRef]
- Pfaffl, M.W.; Tichopad, A.; Prgomet, C.; Neuvians, T.P. Determination of stable housekeeping genes, differentially regulated target genes and sample integrity: BestKeeper--Excel-based tool using pair-wise correlations. Biotechnol. Lett. 2004, 26, 509–515. [Google Scholar] [CrossRef] [PubMed]
- Silver, N.; Best, S.; Jiang, J.; Thein, S.L. Selection of housekeeping genes for gene expression studies in human reticulocytes using real-time PCR. BMC Mol. Biol. 2006, 7, 33. [Google Scholar] [CrossRef]
- Li, Y.; Han, J.; Wu, J.; Li, D.; Yang, X.; Huang, A.; Bu, G.; Meng, F.; Kong, F.; Cao, X.; et al. Transcriptome-based evaluation and validation of suitable housekeeping gene for quantification real-time PCR under specific experiment condition in teleost fishes. Fish Shellfish. Immunol. 2020, 98, 218–223. [Google Scholar] [CrossRef] [PubMed]
- Mezera, M.A.; Li, W.; Edwards, A.J.; Koch, D.J.; Beard, A.D.; Wiltbank, M.C. Identification of stable genes in the corpus luteum of lactating Holstein cows in pregnancy and luteolysis: Implications for selection of reverse-transcription quantitative PCR reference genes. J. Dairy Sci. 2020, 103, 4846–4857. [Google Scholar] [CrossRef] [PubMed]
- Zhao, J.; Wang, C.; Zhang, L.; Lei, A.; Wang, L.; Niu, L.; Zhan, S.; Guo, J.; Cao, J.; Li, L.; et al. Genome-Wide Identification of Reference Genes for Reverse-Transcription Quantitative PCR in Goat Rumen. Animals 2021, 11, 3137. [Google Scholar] [CrossRef]
- Pfaffl, M.W. A new mathematical model for relative quantification in real-time RT-PCR. Nucleic Acids Res. 2001, 29, e45. [Google Scholar] [CrossRef]
- Jiang, M.; Lee, J.N.; Bionaz, M.; Deng, X.Y.; Wang, Y. Evaluation of Suitable Internal Control Genes for RT-qPCR in Yak Mammary Tissue during the Lactation Cycle. PLoS ONE 2016, 11, e0147705. [Google Scholar] [CrossRef]
- Wu, X.; Zhou, X.; Ding, X.; Chu, M.; Liang, C.; Pei, J.; Xiong, L.; Bao, P.; Guo, X.; Yan, P. The Selection of Reference Genes for Quantitative Real-Time PCR in the Ashidan Yak Mammary Gland during Lactation and Dry Period. Animals 2019, 9, 943. [Google Scholar] [CrossRef] [PubMed]
- Wu, X.; Zhou, X.; Ding, X.; Chu, M.; Liang, C.; Pei, J.; Xiong, L.; Bao, P.; Guo, X. Reference gene selection and myosin heavy chain (MyHC) isoform expression in muscle tissues of domestic yak (Bos grunniens). PLoS ONE 2020, 15, e0228493. [Google Scholar] [CrossRef] [PubMed]
- Die, J.V.; Baldwin, R.L.; Rowland, L.J.; Li, R.; Oh, S.; Li, C.; Connor, E.E.; Ranilla, M.-J. Selection of internal reference genes for normalization of reverse transcription quantitative polymerase chain reaction (RT-qPCR) analysis in the rumen epithelium. PLoS ONE 2017, 12, e0172674. [Google Scholar] [CrossRef]
- Bionaz, M.; Loor, J.J. Identification of reference genes for quantitative real-time PCR in the bovine mammary gland during the lactation cycle. Physiol. Genom. 2007, 29, 312–319. [Google Scholar] [CrossRef]
- Ma, S.; Niu, H.; Liu, C.; Zhang, J.; Hou, C.; Wang, D. Expression stabilities of candidate reference genes for RT-qPCR under different stress conditions in soybean. PLoS ONE 2013, 8, e75271. [Google Scholar] [CrossRef] [PubMed]
- Fu, X.; Fu, N.; Guo, S.; Yan, Z.; Xu, Y.; Hu, H.; Menzel, C.; Chen, W.; Li, Y.; Zeng, R.; et al. Estimating accuracy of RNA-Seq and microarrays with proteomics. BMC Genom. 2009, 10, 161. [Google Scholar] [CrossRef] [PubMed]
- Gao, D.; Kong, F.; Sun, P.; Bi, G.; Mao, Y. Transcriptome-wide identification of optimal reference genes for expression analysis of Pyropia yezoensis responses to abiotic stress. BMC Genom. 2018, 19, 251. [Google Scholar] [CrossRef]
- Léger-Silvestre, I.; Milkereit, P.; Ferreira-Cerca, S.; Saveanu, C.; Rousselle, J.C.; Choesmel, V.; Guinefoleau, C.; Gas, N.; Gleizes, P.-E. The ribosomal protein Rps15p is required for nuclear exit of the 40S subunit precursors in yeast. EMBO J. 2004, 23, 2336–2347. [Google Scholar] [CrossRef]
- Fu, H.; Subramanian, R.R.; Masters, S.C. 14-3-3 proteins: Structure, function, and regulation. Annu. Rev. Pharmacol. Toxicol. 2000, 40, 617–647. [Google Scholar] [CrossRef]
- Gan, Y.; Ye, F.; He, X.X. The role of YWHAZ in cancer: A maze of opportunities and challenges. J. Cancer 2020, 11, 2252–2264. [Google Scholar] [CrossRef] [PubMed]
- De Ketelaere, A.; Goossens, K.; Peelman, L.; Burvenich, C. Technical note: Validation of internal control genes for gene expression analysis in bovine polymorphonuclear leukocytes. J. Dairy Sci. 2006, 89, 4066–4069. [Google Scholar] [CrossRef]
- Macabelli, C.H.; Ferreira, R.M.; Gimenes, L.U.; de Carvalho, N.A.T.; Soares, J.G.; Ayres, H.; Ferraz, M.L.; Watanabe, Y.F.; Watanabe, O.Y.; Sangalli, J.R.; et al. Reference gene selection for gene expression analysis of oocytes collected from dairy cattle and buffaloes during winter and summer. PLoS ONE 2014, 9, e93287. [Google Scholar] [CrossRef] [PubMed]
- Kozera, B.; Rapacz, M. Reference genes in real-time PCR. J. Appl. Genet. 2013, 54, 391–406. [Google Scholar] [CrossRef] [PubMed]
- Xiang, R.; Oddy, V.H.; Archibald, A.L.; Vercoe, P.E.; Dalrymple, B.P. Epithelial, metabolic and innate immunity transcriptomic signatures differentiating the rumen from other sheep and mammalian gastrointestinal tract tissues. PeerJ 2016, 4, e1762. [Google Scholar] [CrossRef]
- Pan, X.; Cai, Y.; Li, Z.; Chen, X.; Heller, R.; Wang, N.; Wang, Y.; Zhao, C.; Wang, Y.; Xu, H.; et al. Modes of genetic adaptations underlying functional innovations in the rumen. Sci. China Life Sci. 2021, 64, 1–21. [Google Scholar] [CrossRef]
- Lane, M.A.; Baldwin IV, R.L.; Jesse, B.W. Developmental changes in ketogenic enzyme gene expression during sheep rumen development. J. Anim. Sci. 2002, 80, 1538–1544. [Google Scholar] [CrossRef] [PubMed]




| Gene | Accession No. | Primer Sequence (5′-3′) 1 | Size (bp) 2 | E (%) 3 | R2 |
|---|---|---|---|---|---|
| GAPDH | XM_014482068.1 | F: TGGGTGTGAACCACGAGAAG R: CGTGGACGGTGGTCATAAGT | 141 | 95 | 0.9970 |
| ACTB | XM_005887322.2 | F: GAGCTACGAGCTTCCTGACG R: CGCAGGATTCCATGCCCAG | 104 | 99 | 0.9961 |
| UXT | XM_005899362.2 | F: TGAGCGACTCCAGGAAGCTA R: CCAAGGGCCACATAGATCCG | 114 | 97 | 0.9955 |
| DBNDD2 | XM_014477527.1 | F: TTCTTGCCTTGTGAAGACCCTC R: AGGACAAGGAGGAAGTACGAGAC | 124 | 106 | 0.9996 |
| RPS9 | XM_014483477.1 | F: CTGAAGCTGATCGGCGAGTA R: GGGTCTTTCTCATCCAGCGT | 119 | 101 | 0.9940 |
| DDX54 | XM_005904734.2 | F: CCTTGCACGAAAATCCCGAC R: AGCCCATTTCAAAGAGCCTGT | 135 | 97 | 0.9937 |
| HMBS | XM_005897125.2 | F: TTGGATCTGGTGGGTGTGTT R: CTCCAGTCAGGTACAGTTGCC | 148 | 100 | 0.9949 |
| RPS15 | XM_005890466.2 | F: GCGGAAGTGGAACAGAAGAA R: GCATCAGTTGCTCATAGGACAT | 100 | 91 | 0.9979 |
| MRPS15 | XM_014477429.1 | F: CTCAAGTCCTGGAGGTCTCAT R: CTGGTAGTCCTTCAGCAGCAT | 115 | 99 | 0.9967 |
| RPS23 | XM_005903762.2 | F: TGTGCTGGAAAAAGTAGGAGTT R: AGCAACCATCATTGGGTACAA | 122 | 109 | 0.9999 |
| PPP1R11 | XM_014483599.1 | F: AGTGGGTTTGGGAGAATCGC R: GTTAGGCTCCGGTTCTCAGAC | 143 | 92 | 0.9965 |
| MRPL39 | XM_005898618.2 | F: AGAGCCCCAGAAGTTCCAGT R: AGAACGCAGGTTCTCTTTTGTTG | 102 | 92 | 0.9948 |
| TBP | XM_005908678.2 | F: AAGATAACCCACAGAGCCGAG R: GCTCCTCCAGAATAGACAGACTGTT | 286 | 97 | 0.9958 |
| YWHAZ | XM_005887010.2 | F: CCTACTCCGGACACAGAACAT R: CAGGCTGCCATGTCATCATATC | 101 | 99 | 0.9985 |
| RPL13A | XM_005904989.2 | F: GGTTCCTTCTTTCCCAGGCA R: CAACCTTGCGGCCCAGAA | 130 | 107 | 0.9984 |
| CRGs | GeNorm | NormFinder | BestKeeper | Delta Ct | Comprehensive Ranking | |||||
|---|---|---|---|---|---|---|---|---|---|---|
| R-Based | R-Based | Excel Plug-in | Excel Plug-in | RefFinder | ||||||
| Rank | Value | Rank | Value | Rank | Value | Rank | Value | Rank | Value | |
| RPS15 | 1 | 0.48 | 1 | 0.35 | 1 | 0.51 | 2 | 0.78 | 1 | 1.41 |
| MRPL39 | 3 | 0.53 | 2 | 0.38 | 8 | 0.67 | 1 | 0.77 | 2 | 2.51 |
| RPS23 | 4 | 0.56 | 8 | 0.55 | 4 | 0.55 | 7 | 0.85 | 3 | 3.74 |
| DDX54 | 6 | 0.61 | 5 | 0.49 | 6 | 0.58 | 3 | 0.81 | 4 | 3.83 |
| DBNDD2 | 1 | 0.48 | 3 | 0.44 | 3 | 0.54 | 6 | 0.85 | 5 | 5.05 |
| GAPDH | 13 | 0.72 | 11 | 0.58 | 5 | 0.57 | 9 | 0.87 | 6 | 5.90 |
| TBP | 7 | 0.63 | 6 | 0.50 | 12 | 0.70 | 4 | 0.83 | 7 | 6.31 |
| RPL13A | 15 | 0.74 | 15 | 0.62 | 2 | 0.52 | 11 | 0.88 | 8 | 6.42 |
| MRPS15 | 10 | 0.69 | 10 | 0.57 | 9 | 0.68 | 5 | 0.85 | 9 | 6.89 |
| PPP1R11 | 5 | 0.59 | 4 | 0.48 | 11 | 0.70 | 8 | 0.86 | 10 | 8.85 |
| ACTB | 12 | 0.71 | 12 | 0.59 | 7 | 0.63 | 10 | 0.87 | 11 | 9.37 |
| HMBS | 9 | 0.67 | 9 | 0.56 | 10 | 0.69 | 12 | 0.91 | 12 | 11.92 |
| RPS9 | 8 | 0.65 | 7 | 0.53 | 14 | 0.76 | 13 | 0.93 | 13 | 12.98 |
| UXT | 11 | 0.70 | 13 | 0.61 | 13 | 0.73 | 14 | 0.93 | 14 | 13.49 |
| YWHAZ | 14 | 0.73 | 14 | 0.62 | 15 | 0.80 | 15 | 0.93 | 15 | 15.00 |
Disclaimer/Publisher’s Note: The statements, opinions and data contained in all publications are solely those of the individual author(s) and contributor(s) and not of MDPI and/or the editor(s). MDPI and/or the editor(s) disclaim responsibility for any injury to people or property resulting from any ideas, methods, instructions or products referred to in the content. |
© 2023 by the authors. Licensee MDPI, Basel, Switzerland. This article is an open access article distributed under the terms and conditions of the Creative Commons Attribution (CC BY) license (https://creativecommons.org/licenses/by/4.0/).
Share and Cite
Min, Q.; Yang, L.; Wang, Y.; Liu, Y.; Jiang, M. Transcriptome-Based Evaluation of Optimal Reference Genes for Quantitative Real-Time PCR in Yak Stomach throughout the Growth Cycle. Animals 2023, 13, 925. https://doi.org/10.3390/ani13050925
Min Q, Yang L, Wang Y, Liu Y, Jiang M. Transcriptome-Based Evaluation of Optimal Reference Genes for Quantitative Real-Time PCR in Yak Stomach throughout the Growth Cycle. Animals. 2023; 13(5):925. https://doi.org/10.3390/ani13050925
Chicago/Turabian StyleMin, Qi, Lu Yang, Yu Wang, Yili Liu, and Mingfeng Jiang. 2023. "Transcriptome-Based Evaluation of Optimal Reference Genes for Quantitative Real-Time PCR in Yak Stomach throughout the Growth Cycle" Animals 13, no. 5: 925. https://doi.org/10.3390/ani13050925
APA StyleMin, Q., Yang, L., Wang, Y., Liu, Y., & Jiang, M. (2023). Transcriptome-Based Evaluation of Optimal Reference Genes for Quantitative Real-Time PCR in Yak Stomach throughout the Growth Cycle. Animals, 13(5), 925. https://doi.org/10.3390/ani13050925

