Early Trauma Leaves No Social Signature in Sanctuary-Housed Chimpanzees (Pan troglodytes)
Abstract
Simple Summary
Abstract
1. Introduction
“Chimpanzees have suffered so much pain and trauma at the hands of humans... yet they still have the grace to forgive us.”—Sheila Siddle (founder of the Chimfunshi Wildlife Orphanage).
2. Materials and Methods
2.1. Study System and Subjects
2.2. Data Collection and Operational Measures
2.3. Data Analysis
3. Results
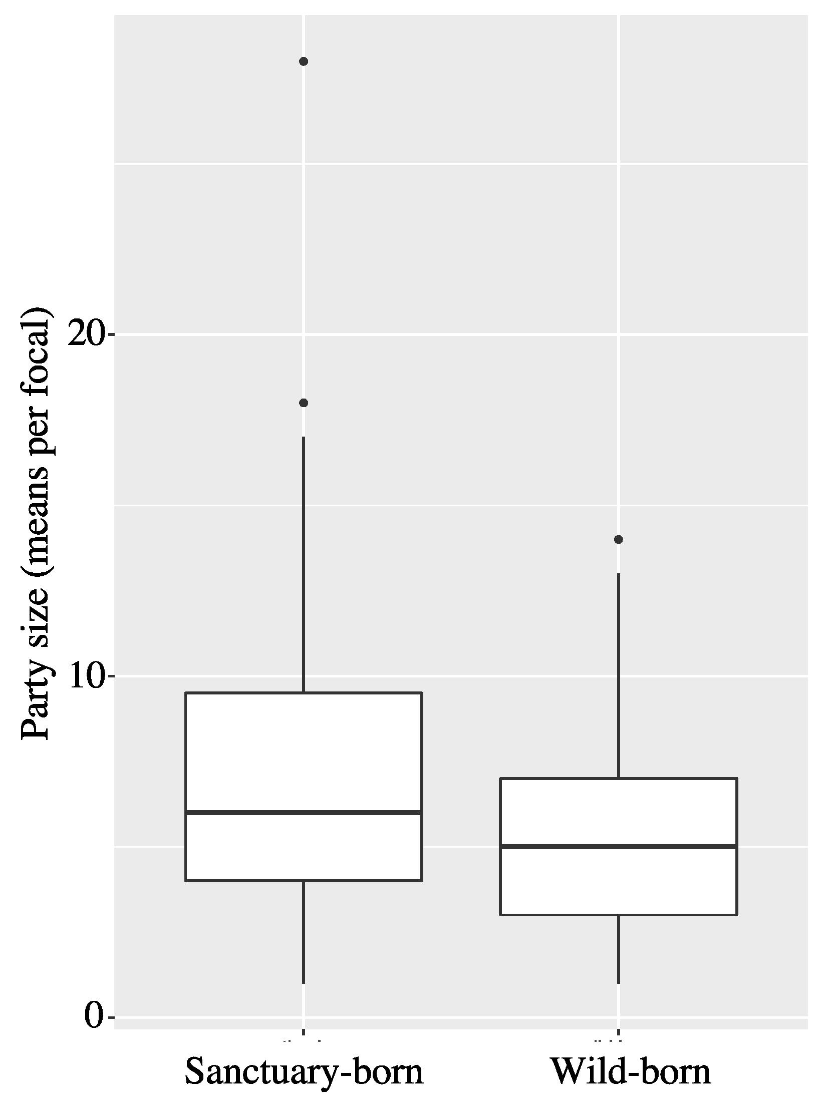
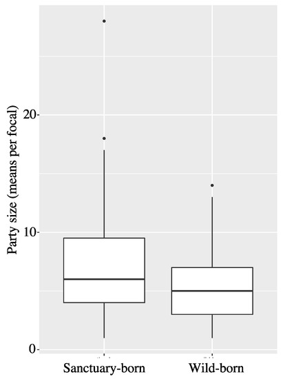
3.1. Party Size
3.2. Proximity
3.3. Grooming
4. Discussion
5. Conclusions
Supplementary Materials
Author Contributions
Funding
Institutional Review Board Statement
Data Availability Statement
Acknowledgments
Conflicts of Interest
References
- Pechtel, P.; Pizzagalli, D.A. Effects of Early Life Stress on Cognitive and Affective Function: An Integrated Review of Human Literature. Psychopharmacology 2011, 214, 55–70. [Google Scholar] [CrossRef] [PubMed]
- Kaler, S.R.; Freeman, B.J. Analysis of Environmental Deprivation: Cognitive and Social Development in Romanian Orphans. J. Child Psychol. Psychiatry 1994, 35, 769–781. [Google Scholar] [CrossRef] [PubMed]
- Wilson, S.L. Post-Institutionalization: The Effects of Early Deprivation on Development of Romanian Adoptees. Child Adolesc. Soc. Work J. 2003, 20, 473–483. [Google Scholar] [CrossRef]
- Chugani, H.T.; Behen, M.E.; Muzik, O.; Juhász, C.; Nagy, F.; Chugani, D.C. Local Brain Functional Activity Following Early Deprivation: A Study of Postinstitutionalized Romanian Orphans. Neuroimage 2001, 14, 1290–1301. [Google Scholar] [CrossRef] [PubMed]
- Deputte, B.L. Primate Socialization Revisited: Theoretical and Practical Issues in Social Ontogeny. Adv. Study Behav. 2000, 29, 99–157. [Google Scholar] [CrossRef]
- van Leeuwen, E.J.C.; Mulenga, I.C.; Chidester, D.L. Early Social Deprivation Negatively Affects Social Skill Acquisition in Chimpanzees (Pan Troglodytes). Anim. Cogn. 2013, 17, 407–414. [Google Scholar] [CrossRef]
- Nishida, T. Development of Social Grooming between Mother and Offspring in Wild Chimpanzees. Folia Primatol. 1988, 50, 109–123. [Google Scholar] [CrossRef]
- Crailsheim, D.; Stüger, H.P.; Kalcher-Sommersguter, E.; Llorente, M. Early Life Experience and Alterations of Group Composition Shape the Social Grooming Networks of Former Pet and Entertainment Chimpanzees (Pan Troglodytes). PLoS ONE 2020, 15, e0226947. [Google Scholar] [CrossRef]
- Kalcher-Sommersguter, E.; Preuschoft, S.; Franz-Schaider, C.; Hemelrijk, C.K.; Crailsheim, K.; Massen, J.J.M. Early Maternal Loss Affects Social Integration of Chimpanzees throughout Their Lifetime. Sci. Rep. 2015, 5, 1643. [Google Scholar] [CrossRef]
- Freeman, H.D.; Ross, S.R. The Impact of Atypical Early Histories on Pet or Performer Chimpanzees. PeerJ 2014, 2, e579. [Google Scholar] [CrossRef]
- Mason, W.A. Determinants of Social Behavior in Young Chimpanzees. In Behavior of Nonhuman Primates; Schrier, A.M., Harlow, H.F., Stollnitz, F., Eds.; Academic Press: New York, NY, USA, 1965; Volume II, pp. 335–364. [Google Scholar]
- Suomi, S.J. Attachment in Rhesus Monkeys. In Handbook of Attachment: Theory, Research, and Clinical Applications; Cassidy, J., Shaver, P.R., Eds.; The Guilford Press: New York, NY, USA, 2008; pp. 173–191. [Google Scholar]
- Bloomsmith, M.A.; Baker, K.C.; Ross, S.R.; Lambeth, S.P. Early Rearing Conditions and Captive Chimpanzee Behavior: Some Surprising Findings. In Nursery Rearing of Nonhuman Primates in the 21st Century; Sackett, G.P., Ruppentahal, G.C., Elias, K., Eds.; Springer: Boston, MA, USA, 2006; pp. 289–312. ISBN 978-0-387-25632-0. [Google Scholar]
- van Ijzendoorn, M.H.; Bard, K.A.; Bakermans-Kranenburg, M.J.; Ivan, K. Enhancement of Attachment and Cognitive Development of Young Nursery-Reared Chimpanzees in Responsive versus Standard Care. Dev. Psychobiol. 2009, 51, 173–185. [Google Scholar] [CrossRef] [PubMed]
- Gunnar, M.R.; Bruce, J.; Grotevant, H.D. International Adoption of Institutionally Reared Children: Research and Policy. Dev. Psychopathol. 2000, 12, 677–693. [Google Scholar] [CrossRef] [PubMed]
- Levé, M.; Sueur, C.; Petit, O.; Matsuzawa, T.; Hirata, S. Social Grooming Network in Captive Chimpanzees: Does the Wild or Captive Origin of Group Members Affect Sociality? Primates 2016, 57, 73–82. [Google Scholar] [CrossRef] [PubMed]
- Kumsta, R.; Kreppner, J.; Kennedy, M.; Knights, N.; Rutter, M.; Sonuga-Barke, E. Psychological Consequences of Early Global Deprivation. Eur. Psychol. 2015, 20, 138–151. [Google Scholar] [CrossRef]
- Ortín, S.; Úbeda, Y.; Garriga, R.M.; Llorente, M. Bushmeat Trade Consequences Predict Higher Anxiety, Restraint, and Dominance in Chimpanzees. Dev. Psychobiol. 2019, 61, 874–887. [Google Scholar] [CrossRef]
- Martin, J.E. Early Life Experiences: Activity Levels and Abnormal Behaviours in Resocialised Chimpanzees. Available online: https://psycnet.apa.org/record/2002-04876-005 (accessed on 8 September 2022).
- Ferdowsian, H.R.; Durham, D.L.; Kimwele, C.; Kranendonk, G.; Otali, E.; Akugizibwe, T.; Mulcahy, J.B.; Ajarova, L.; Johnson, C.M. Signs of Mood and Anxiety Disorders in Chimpanzees. PLoS ONE 2011, 6, e19855. [Google Scholar] [CrossRef]
- Ferdowsian, H.R.; Durham, D.L.; Johnson, C.M.; Brüne, M.; Kimwele, C.; Kranendonk, G.; Otali, E.; Akugizibwe, T.; Mulcahy, J.B.; Ajarova, L. Signs of Generalized Anxiety and Compulsive Disorders in Chimpanzees. J. Vet. Behav. 2012, 7, 353–361. [Google Scholar] [CrossRef]
- Lubit, R.; Rovine, D.; Defrancisci, L.; Eth, S. Impact of Trauma on Children. J. Psychiatr. Pract. 2003, 9, 128–138. [Google Scholar] [CrossRef]
- Bradshaw, G.A.; Capaldo, T.; Lindner, L.; Grow, G. Building an inner sanctuary: Complex PTSD in chimpanzees. J. Trauma Dissociation 2008, 9, 9–34. [Google Scholar] [CrossRef]
- Chernus, L.A. Separation/Abandonment/Isolation Trauma: An Application of Psychoanalytic Developmental Theory to Understanding Its Impact on Both Chimpanzee and Human Children. J. Emot. Abus. 2008, 8, 447–468. [Google Scholar] [CrossRef]
- Reimers, M.; Schwarzenberger, F.; Preuschoft, S. Rehabilitation of Research Chimpanzees: Stress and Coping after Long-Term Isolation. Horm. Behav. 2007, 51, 428–435. [Google Scholar] [CrossRef]
- Kranendonk, G.; Schippers, E.P. A Pilot Study on the Effects of a Change in Behavioural Management on the Behaviour of Captive Chimpanzees (Pan Troglodytes). Appl. Anim. Behav. Sci. 2014, 160, 127–137. [Google Scholar] [CrossRef]
- Kalcher-Sommersguter, E.; Preuschoft, S.; Crailsheim, K.; Franz, C. Social Competence of Adult Chimpanzees (Pan Troglodytes) with Severe Deprivation History: I. An Individual Approach. Dev. Psychol. 2011, 47, 77–90. [Google Scholar] [CrossRef] [PubMed]
- Jacobson, S.L.; Ross, S.R.; Bloomsmith, M.A. Characterizing Abnormal Behavior in a Large Population of Zoo-Housed Chimpanzees: Prevalence and Potential Influencing Factors. PeerJ 2016, 4, e2225. [Google Scholar] [CrossRef] [PubMed]
- Crailsheim, D.; Romani, T.; Llorente, M.; Kalcher-Sommersguter, E. Assessing the Sociability of Former Pet and Entertainment Chimpanzees by Using Multiplex Networks. Sci. Rep. 2020, 10, 20969. [Google Scholar] [CrossRef] [PubMed]
- Girard-Buttoz, C.; Tkaczynski, P.J.; Samuni, L.; Fedurek, P.; Gomes, C.; Löhrich, T.; Manin, V.; Preis, A.; Valé, P.F.; Deschner, T.; et al. Early Maternal Loss Leads to Short- but Not Long-Term Effects on Diurnal Cortisol Slopes in Wild Chimpanzees. Elife 2021, 10, e64134. [Google Scholar] [CrossRef] [PubMed]
- Boesch, C.; Bolé, C.; Eckhardt, N.; Boesch, H. Altruism in Forest Chimpanzees: The Case of Adoption. PLoS ONE 2010, 5, e8901. [Google Scholar] [CrossRef]
- Ron, T.; McGrew, W.C. Ecological Assessment for a Chimpanzee Rehabilitation Project in Northern Zambia. Primate Conserv. 1988, 9, 37–41. [Google Scholar]
- Goodall, J. The Chimpanzees of Gombe: Patterns of Behavior; Harvard University Press: Boston, MA, USA, 1986; ISBN 0674116496. [Google Scholar]
- Nishida, T. The Chimpanzees of Mahale: Natural History and Local Culture; Cambridge University Press: Cambridge, UK, 2012; ISBN 1107601789. [Google Scholar]
- Duncan, L.M.; Jones, M.A.; van Lierop, M.; Pillay, N. Chimpanzees use multiple strategies to limit aggression and stress during spatial density changes. Appl. Anim. Behav. Sci. 2013, 147, 159–171. [Google Scholar] [CrossRef]
- Videan, E.N.; Fritz, J. Effects of short-and long-term changes in spatial density on the social behavior of captive chimpanzees (Pan troglodytes). Appl. Anim. Behav. Sci. 2007, 102, 95–105. [Google Scholar] [CrossRef]
- Mitani, J.C.; Watts, D.P.; Lwanga, J.S. Ecological and Social Correlates of Chimpanzee Party Size and Composition. In Behavioural Diversity in Chimpanzees and Bonobos; Boesch, C., Hohmann, G., Eds.; Cambridge University Press: Cambridge, UK, 2002; pp. 102–111. ISBN 9780511606397. [Google Scholar]
- Chapman, C.; White, F.; Wrangham, R. Party Size in Chimpanzees and Bonobos: A Reevaluation of Theory Based on Two Similarly Forested Sites. In Party Size in Chimpanzees & Bonobos; Harvard University Press: Boston, MA, USA, 1994; pp. 41–57. ISBN 9780674116634. [Google Scholar]
- Martin, P.R.; Bateson, P.P.G. Measuring Behaviour: An Introductory Guide; Cambridge University Press: Cambridge, UK, 2007; ISBN 9780521535632. [Google Scholar]
- Nishida, T.; Kano, T.; Goodall, J.; McGrew, W.C.; Nakamura, M. Ethogram and Ethnography of Mahale Chimpanzees. Anthropol. Sci. 1999, 107, 141–188. [Google Scholar] [CrossRef]
- Whitehead, H. Analyzing Animal Societies: Quantitative Methods for Vertebrate Social Analysis; University of Chicago Press: Chicago, IL, USA, 2008; ISBN 9780226895239. [Google Scholar]
- Whitehead, H. SOCPROG Programs: Analysing Animal Social Structures. Behav. Ecol. Sociobiol. 2009, 63, 765–778. [Google Scholar] [CrossRef]
- Cairns, S.J.; Schwager, S.J. A Comparison of Association Indices. Anim. Behav. 1987, 35, 1454–1469. [Google Scholar] [CrossRef]
- Wakefield, M.L. Social Dynamics among Females and Their Influence on Social Structure in an East African Chimpanzee Community. Anim. Behav. 2013, 85, 1303–1313. [Google Scholar] [CrossRef]
- Sosa, S.; Sueur, C.; Puga-Gonzalez, I. Network Measures in Animal Social Network Analysis: Their Strengths, Limits, Interpretations and Uses. Methods Ecol. Evol. 2021, 12, 10–21. [Google Scholar] [CrossRef]
- Bates, D.; Maechler, M.; Bolker, B.; Lme4: Linear Mixed-Effects Models Using S4 Classes. R Package Version 0.999999-2. 2013. Available online: http://CRAN.R-project.org/package=lme4 (accessed on 3 October 2022).
- Dobson, A.J. An Introduction to Generalized Linear Models; Chapman & Hall/CRC: Boca Raton, FL, USA, 2002. [Google Scholar]
- Kalcher-Sommersguter, E.; Franz, C.; Crailsheim, K.; Preuschoft, S. Differential Onset of Infantile Deprivation Produces Distinctive Long-Term Effects in Adult Ex-Laboratory Chimpanzees (Pan Troglodytes). Dev. Psychobiol. 2008, 50, 777–788. [Google Scholar] [CrossRef]
- Forstmeier, W.; Schielzeth, H. Cryptic Multiple Hypotheses Testing in Linear Models: Overestimated Effect Sizes and the Winner’s Curse. Behav. Ecol. Sociobiol. 2011, 65, 47–55. [Google Scholar] [CrossRef] [PubMed]
- Barr, D.J.; Levy, R.; Scheepers, C.; Tily, H.J. Random Effects Structure for Confirmatory Hypothesis Testing: Keep It Maximal. J. Mem. Lang. 2013, 68, 255–278. [Google Scholar] [CrossRef] [PubMed]
- R Core Team R: A Language and Environment for Statistical Computing; R Foundation for Statistical Computing: Vienna, Austria, 2020.
- Holm, S. A Simple Sequentially Rejective Multiple Test Procedure. Scand. J. Stat. 1979, 6, 65–70. [Google Scholar]
- Vicino, G.; Miller, L.J. From Prevention of Cruelty to Optimizing Welfare: Opportunities to Thrive. In Proceedings of the International Ethological Conference, Cairns, Australia, 19 September 2015. [Google Scholar]
- van Leeuwen, E.J.C.; Cronin, K.A.; Haun, D.B.M. Reply to Farine and Aplin: Chimpanzees choose their association and interaction partners. Proc. Natl. Acad. Sci. USA. 2019, 116, 16676–16677. [Google Scholar] [CrossRef]
- Clark, F.E. Space to choose: Network analysis of social preferences in a captive chimpanzee community, and implications for management. Am. J. Primatol. 2011, 73, 748–757. [Google Scholar] [CrossRef]



| Behavioural Measure | SNA Metric | Sanctuary-Born | Wild-Born | p-Value |
|---|---|---|---|---|
| Proximity | Strength | 0.77 ± 0.26 | 0.78 ± 0.25 | 0.96 |
| Eigenvector centrality | 0.18 ± 0.09 | 0.19 ± 0.07 | 0.99 | |
| Reach | 0.67 ± 0.28 | 0.66 ± 0.27 | 0.78 | |
| Clustering coefficient | 0.14 ± 0.13 | 0.14 ± 0.08 | 0.21 | |
| Affinity | 0.85 ± 0.10 | 0.84 ± 0.13 | 0.11 | |
| Grooming | Strength | 0.15 ± 0.10 | 0.21 ± 0.11 | 0.48 |
| Eigenvector centrality | 0.11 ± 0.16 | 0.15 ± 0.16 | 0.07 | |
| Reach | 0.04 ± 0.03 | 0.05 ± 0.03 | 0.80 | |
| Clustering coefficient | 0.07 ± 0.10 | 0.10 ± 0.10 | 0.51 | |
| Affinity | 0.23 ± 0.09 | 0.22 ± 0.07 | 0.09 |
Disclaimer/Publisher’s Note: The statements, opinions and data contained in all publications are solely those of the individual author(s) and contributor(s) and not of MDPI and/or the editor(s). MDPI and/or the editor(s) disclaim responsibility for any injury to people or property resulting from any ideas, methods, instructions or products referred to in the content. |
© 2022 by the authors. Licensee MDPI, Basel, Switzerland. This article is an open access article distributed under the terms and conditions of the Creative Commons Attribution (CC BY) license (https://creativecommons.org/licenses/by/4.0/).
Share and Cite
van Leeuwen, E.J.C.; Bruinstroop, B.M.C.; Haun, D.B.M. Early Trauma Leaves No Social Signature in Sanctuary-Housed Chimpanzees (Pan troglodytes). Animals 2023, 13, 49. https://doi.org/10.3390/ani13010049
van Leeuwen EJC, Bruinstroop BMC, Haun DBM. Early Trauma Leaves No Social Signature in Sanctuary-Housed Chimpanzees (Pan troglodytes). Animals. 2023; 13(1):49. https://doi.org/10.3390/ani13010049
Chicago/Turabian Stylevan Leeuwen, Edwin J. C., Bernadette M. C. Bruinstroop, and Daniel B. M. Haun. 2023. "Early Trauma Leaves No Social Signature in Sanctuary-Housed Chimpanzees (Pan troglodytes)" Animals 13, no. 1: 49. https://doi.org/10.3390/ani13010049
APA Stylevan Leeuwen, E. J. C., Bruinstroop, B. M. C., & Haun, D. B. M. (2023). Early Trauma Leaves No Social Signature in Sanctuary-Housed Chimpanzees (Pan troglodytes). Animals, 13(1), 49. https://doi.org/10.3390/ani13010049
