Effect of a Mineral–Microbial Deodorizing Preparation on the Functions of Internal Organs and the Immune System in Commercial Poultry
Abstract
Simple Summary
Abstract
1. Introduction
2. Materials and Methods
2.1. Birds
2.1.1. Parent-Stock Chickens
2.1.2. Broiler Turkeys
2.1.3. Broiler Chickens
2.2. Sample Collection
2.3. Biochemical Analyses
2.4. Serological Analyses
2.5. Cytometric Analyses
2.6. Statistical Analysis
3. Results
3.1. Biochemical Analyses
3.2. Serological Analyses
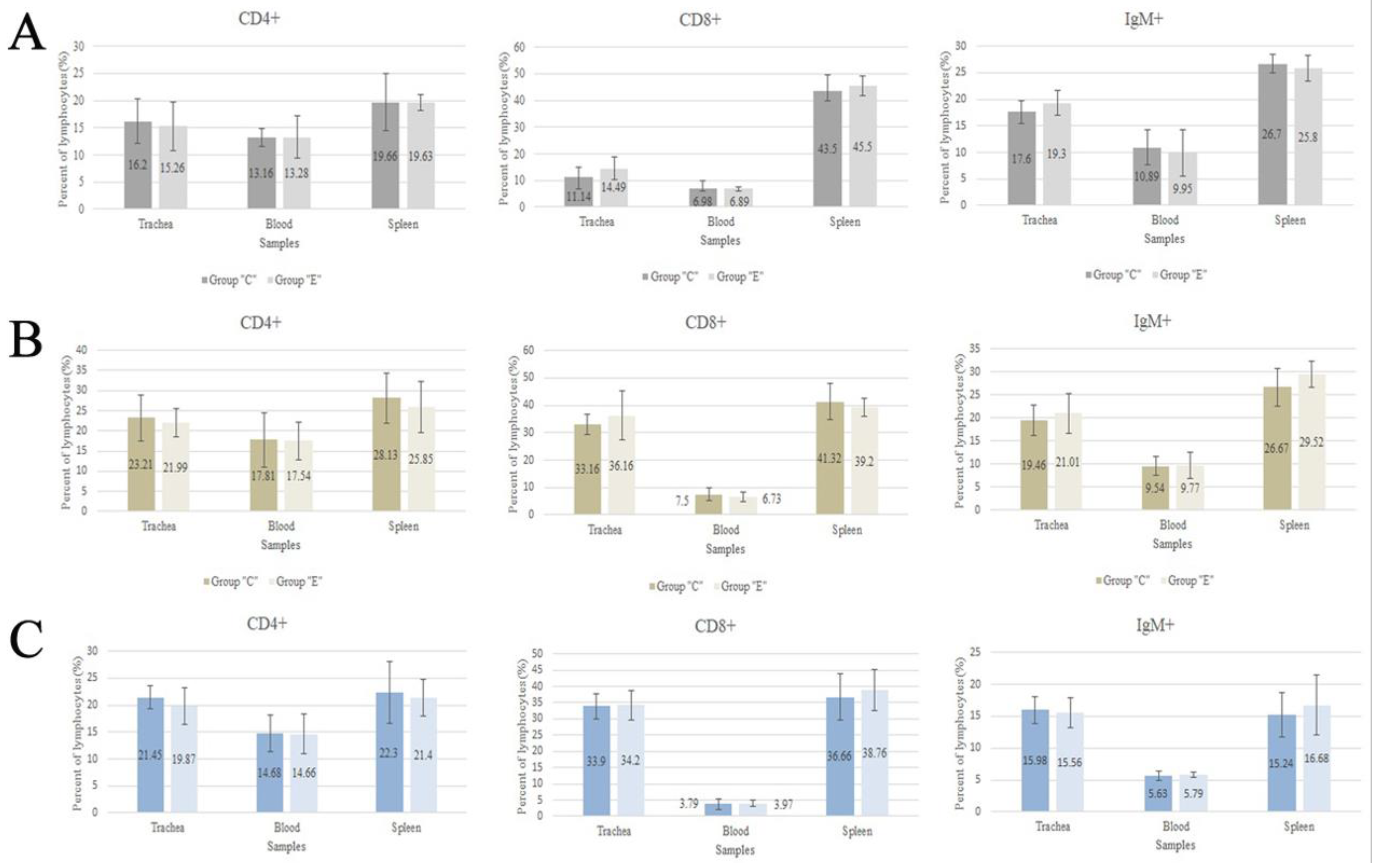
3.3. Cytometric Analyses
4. Discussion
5. Conclusions
Author Contributions
Funding
Institutional Review Board Statement
Data Availability Statement
Acknowledgments
Conflicts of Interest
References
- Groenestein, C.M.; Hutchings, N.J.; Haenek, H.D.; Amon, B.; Menzi, H.; Mikkelsen, M.H.; Misselbrook, T.H.; van Bruggen, C.; Kupper, T.; Webb, J. Comparison of ammonia emissions related to nitrogen use efficiency of livestock production in Europe. J. Clean. Prod. 2019, 211, 1162–1170. [Google Scholar] [CrossRef] [PubMed]
- Van der Hoek, K.W. Estimating ammonia emission factors in Europe: Summary of the work of the UNECE ammonia expert panel. Atmos. Environ. 1998, 32, 315–316. [Google Scholar] [CrossRef]
- Bouwman, A.F.; Lee, D.S.; Asman, W.A.H.; Dentener, F.J.; Van Der Hoek, K.W.; Olivier, J.G.J. A global high-resolution emission inventory for ammonia. Global Biogeochem. Cycles 1997, 11, 561–587. [Google Scholar] [CrossRef]
- Oenema, O.; Witzke, H.P.; Klimont, Z.; Lesschen, J.P.; Velthof, G.L. Integrated assessment of promising measures to decrease nitrogen losses from agriculturein EU-27. Agric. Ecosyst. Environ. 2009, 133, 280–288. [Google Scholar] [CrossRef]
- Steinfeld, H.; Gerber, P.; Wassenaar, T.; Castel, V.; Rosales, M.; de Haan, C. Livestock’s Long Shadow—Environmental Issues and Options; FAO, Ed.; FAO: Rome, Italy, 2006; p. 390. [Google Scholar]
- Bittman, S.; Dedina, M.; Howard, C.M.; Oenema, O.; Sutton, M.A. Options for Ammonia Mitigation: Guidance from the UNECE Task Force on Reactive Nitrogen; Centre for Ecology and Hydrology (CEH): Edynburg, UK, 2014; pp. 21–26. ISBN 978-1-906698-46-1. [Google Scholar]
- DeLaune, P.B.; Moore, P.A.; Daniel, T.C.; Lemunyon, J.L. Effect of chemical and microbial amendments on ammonia volatilization from composting poultry litter. J. Environ. Qual. 2004, 33, 728–734. [Google Scholar] [CrossRef]
- Santoso, U.; Ohtani, S.; Tanaka, K.; Sakaida, M. Dried Bacillus subtilis culture reduced ammonia gas release in poultry house. Asian-Austral J. Anim 1999, 12, 806–809. [Google Scholar] [CrossRef]
- Beker, A.; Vanhooser, S.L.; Swartzlander, J.H.; Teeter, R.G. Atmospheric ammonia concentration effects on broiler growth and performance. J. Appl. Poultry Res. 2004, 13, 5–9. [Google Scholar] [CrossRef]
- Gałęcki, R.; Dąbrowski, M.; Bakułą, T.; Obremski, K.; Nowak, A.; Gutarowska, B. The influence of the mineral-microbial preparation on ammonia concentration and productivity in laying hens’ houses. Atmosphere 2019, 10, 751. [Google Scholar] [CrossRef]
- Miles, D.M.; Branton, S.L.; Lott, B.D. Atmospheric ammonia is detrimental to the performance of modern commercial broilers. Poultry Sci. 2004, 83, 1650–1654. [Google Scholar] [CrossRef]
- Oyetunde, O.O.; Thomson, R.G.; Carlson, H.C. Aerosol exposure of ammonia, dust and Escherichia coli in broiler chickens. Can. Vet J. 1978, 19, 187–193. [Google Scholar]
- David, B.; Mejdell, C.; Michel, V.; Lund, V.; Moe, R.O. Air Quality in Alternative Housing Systems may have an Impact on Laying Hen Welfare. Part II-Ammonia. Animals 2015, 5, 886–896. [Google Scholar] [CrossRef]
- Nimmermark, S.; Lund, V.; Gustafsson, G.; Eduard, W. Ammonia, dust and bacteria in welfare-oriented systems for laying hens. Ann. Agric. Environ. Med. 2009, 16, 103–113. [Google Scholar]
- Koncicki, A.; Jankowski, J.; Rafalski, R.; Bukowska, A.; Krasnodebska-Depta, A.; Mazur-Gonkowska, B. Wpływ zróżnicowanego poziomu białka i aminokwasów egzogennych w paszy na zdrowotność i produkcyjność indyków rzeźnych. Med. Weter. 2004, 60, 62–65. [Google Scholar]
- Koncicki, A.; Tykałowski, B.; Stenzel, T.; Śmiałek, M.; Pestka, D. Effect of infection of turkeys with haemorrhagic enteritis adenovirus isolate on the selected parameters of cellular immunity and the course of colibacillosis. Pol. J. Vet. Sci. 2012, 5, 215–220. [Google Scholar] [CrossRef] [PubMed]
- Gałęcki, R.; Dąbrowski, M.; Bakuła, T.; Obremski, K.; Baranowski, M.; Nowak, A.; Gutarowska, B. The influence of the mineral-microbial deodorizing preparation on ammonia emission and growth performance in turkey production. Atmosphere 2020, 11, 743. [Google Scholar] [CrossRef]
- Borowski, S.; Gutarowska, B.; Brycki, B.; Kołacz, R. Method of preparation of biopreparation for deodorization of poultry manure. Patent P-393863, 7 February 2011. [Google Scholar]
- ROSS Parent Stock Management Manual and ROSS-308 Laying Hen Nutrition Specifications” (Aviagen, USA). Available online: https://en.aviagen.com/assets/Tech_Center/Ross_PS/RossPSHandBook2018.pdf (accessed on 23 April 2018).
- Gutarowska, B.; Matusiak, K.; Borowski, S.; Rajkowska, A.; Brycki, B. Removal of odours compounds from poultry manure by microorganisms on perlite—Bentonite carrier. J. Environ. Manag. 2014, 141, 70–76. [Google Scholar] [CrossRef] [PubMed]
- Kowalczyk, J.; Śmiałek, M.; Tykałowski, B.; Dziewulska, D.; Stenzel, T.; Koncicki, A. Field evaluation of maternal antibody transfer from breeder turkey hens to egg yolks, egg whites, and poults. Poult. Sci. 2019, 98, 3150–3157. [Google Scholar] [CrossRef]
- Śmiałek, M.; Pestka, D.; Tykałowski, B.; Stenzel, T.; Koncicki, A. Development of vaccine-induced immunity against TRT in turkeys depends remarkably on the level of maternal antibodies and the age of birds on the day of vaccination. BMC Vet. Res. 2015, 11, 28. [Google Scholar] [CrossRef]
- Hofmann, T.; Schmucker, S.S.; Bessei, W.; Grashorn, M.; Stefanski, V. Impact of Housing Environment on the Immune System in Chickens: A Review. Animals 2020, 10, 1138. [Google Scholar] [CrossRef]
- Kristensen, H.H.; Wathes, C.M. Ammonia and poultry welfare: A review. Worlds Poult. Sci. J. 2000, 56, 235–245. [Google Scholar] [CrossRef]
- Li, D.; Tong, Q.; Shi, Z.; Li, H.; Wang, Y.; Li, B.; Yan, G.; Chen, H.; Zheng, W. Effects of chronic heat stress and ammonia concentration on blood parameters of laying hens. Poult. Sci. 2020, 99, 3784–3792. [Google Scholar] [CrossRef] [PubMed]
- Wei, F.X.; Hu, X.F.; Xu, B.; Zhang, M.H.; Li, S.Y.; Sun, Q.Y.; Lin, P. Ammonia concentration and relative humidity in poultry houses affect the immune response of broilers. Genet. Mol. Res. 2015, 14, 3160–3169. [Google Scholar] [CrossRef]
- McFarlane, J.M.; Curtis, S.E. Multiple concurrent stressors in chicks. 3. Effects on plasma corticosterone and the heterophil:lymphocyte ratio. Poult. Sci. 1989, 68, 522–527. [Google Scholar] [CrossRef] [PubMed]
- McFarlane, J.M.; Curtis, S.E.; Simon, J.; Izquierdo, O.A. Multiple concurrent stressors in chicks. 2. Effects on hematologic, body composition, and pathologic traits. Poult. Sci. 1989, 68, 510–521. [Google Scholar] [CrossRef]
- Wang, Y.M.; Meng, Q.P.; Guo, Y.M.; Wang, Y.Z.; Wang, Z.; Yao, Z.L.; Shan, T.Z. Effect of Atmospheric Ammonia on Growth Performance, and Immunological Response of Broiler Chickens. J. Anim. Vet. Adv. 2010, 9, 2802–2806. [Google Scholar] [CrossRef]
- Deaton, J.W.; Reece, F.N.; Lott, B.D. Effect of atmospheric ammonia on laying hen performance. Poult. Sci. 1982, 61, 1815–1817. [Google Scholar] [CrossRef]
- Chen, H.; Yan, F.F.; Hu, J.Y.; Wu, Y.; Tucker, C.M.; Green, A.R.; Cheng, H.W. Immune Response of Laying Hens Exposed to 30 ppm Ammonia for 25 Weeks. Int. J. Poult. Sci. 2017, 16, 139–146. [Google Scholar] [CrossRef][Green Version]
- Krasnodępska-Depta, A.; Koncicki, A. Diagnostyka biochemiczna. In Choroby Drobiu, 3rd ed.; Mazurkiewicz, M., Wieliczko, A., Eds.; Wydawnictwo Uniwersytetu Przyrodniczego we Wrocławiu: Wrocław, Poland, 2019; pp. 895–909. [Google Scholar]


| Age * | Disease ** | Type of Vaccine | Method of Vaccination |
|---|---|---|---|
| 1 d | MD IB | live live | intramuscular injection coarse spray |
| 9 d | coccidiosis | live | drinking water |
| 18 d | IB + ND | live | drinking water |
| 28 d | IBD | live | drinking water |
| 50 d | IB + ND | live | drinking water |
| 8 wk | IBD | live | drinking water |
| 9 wk | REO MG salmonellosis | live live inactivated | intramuscular injection eye drop intramuscular injection |
| 10 wk | IB | live | drinking water |
| 11 wk | IBD | live | drinking water |
| 12 wk | CIA | live | drinking water |
| 13 wk | AE | live | drinking water |
| 14 wk | IB + ND | live | drinking water |
| 15 wk | REO salmonellosis | inactivated inactivated | intramuscular injection intramuscular injection |
| 16 wk | SHS | live | drinking water |
| 19 wk | IB+ND+EDS+SHS IBD + REO | inactivated inactivated | intramuscular injection intramuscular injection |
| Chemistry Parameters | Units | Parent-Stock Chickens | Broilers | Turkeys | |||
|---|---|---|---|---|---|---|---|
| Control Group | Experimental Group | Control Group | Experimental Group | Control Group | Experimental Group | ||
| ALT | U/L | 11.5 ± 1.84 | 11.87 ± 2.57 | 3.6 ± 0.97 | 3 ± 1.94 | 14.75 ± 3.13 | 14.2 ± 2.35 |
| AST | U/L | 252.75 ± 23.24 | 230.25 ± 45.7 | 146 B ± 23.22 | 175.67 A ± 14.96 | 9 B ± 5.47 | 19.3 A ± 27.10 |
| ALP | U/L | 188.37 ± 37.95 | 178.87 ± 56.71 | 1879.8 ± 539.12 | 2262.56 ± 655.99 | 738 ± 215.42 | 656.5 ± 175.05 |
| Calcium | mmol/L | 4.72 ± 0.31 | 4.52 ± 0.39 | 2.678 ± 0.12 | 2.82 ± 0.68 | 2.66 ± 0.14 | 2.96 ± 0.96 |
| CK | U/L | 3118.18 B ± 643.54 | 6001.12 A ± 1846.39 | 5139.15 ± 855.51 | 4003.47 ± 1605.27 | 5231.88 ± 1852.68 | 5469.61 ± 1821.56 |
| Creatinine | µmol/L | 4.41 ± 1.61 | 5.85 ± 2.52 | 4.61 B ± 0.47 | 5.79 A ± 1.37 | 4.15 ± 1.44 | 5.79 ± 3.15 |
| LDH | U/L | 1044.62 ± 136.7 | 1141.37 ± 203.06 | 2191.7 A ± 535.06 | 1473.78 B ± 389.52 | 2629.87 ± 696.27 | 2687.4 ± 533.28 |
| Phosphate | mmol/L | 2.53 ± 0.54 | 2.24 ± 0.38 | 2.41 ± 0.86 | 2.25 ± 0.54 | 2.07 ± 0.48 | 2.27 ± 0.31 |
| Total protein | g/L | 51.51 ± 3.65 | 50.92 ± 2.81 | 34.27 ± 10.66 | 32.31 ± 6.68 | 35.52 ± 82.1 | 35.25 ± 5.17 |
Publisher’s Note: MDPI stays neutral with regard to jurisdictional claims in published maps and institutional affiliations. |
© 2021 by the authors. Licensee MDPI, Basel, Switzerland. This article is an open access article distributed under the terms and conditions of the Creative Commons Attribution (CC BY) license (https://creativecommons.org/licenses/by/4.0/).
Share and Cite
Kowalczyk, J.; Tykałowski, B.; Śmiałek, M.; Stenzel, T.; Dziewulska, D.; Koncicki, A. Effect of a Mineral–Microbial Deodorizing Preparation on the Functions of Internal Organs and the Immune System in Commercial Poultry. Animals 2021, 11, 2592. https://doi.org/10.3390/ani11092592
Kowalczyk J, Tykałowski B, Śmiałek M, Stenzel T, Dziewulska D, Koncicki A. Effect of a Mineral–Microbial Deodorizing Preparation on the Functions of Internal Organs and the Immune System in Commercial Poultry. Animals. 2021; 11(9):2592. https://doi.org/10.3390/ani11092592
Chicago/Turabian StyleKowalczyk, Joanna, Bartłomiej Tykałowski, Marcin Śmiałek, Tomasz Stenzel, Daria Dziewulska, and Andrzej Koncicki. 2021. "Effect of a Mineral–Microbial Deodorizing Preparation on the Functions of Internal Organs and the Immune System in Commercial Poultry" Animals 11, no. 9: 2592. https://doi.org/10.3390/ani11092592
APA StyleKowalczyk, J., Tykałowski, B., Śmiałek, M., Stenzel, T., Dziewulska, D., & Koncicki, A. (2021). Effect of a Mineral–Microbial Deodorizing Preparation on the Functions of Internal Organs and the Immune System in Commercial Poultry. Animals, 11(9), 2592. https://doi.org/10.3390/ani11092592

