Hematological Changes and Reference Intervals in Hanwoo Calves during the First 28 Weeks of Life
Abstract
Simple Summary
Abstract
1. Introduction
2. Materials and Methods
2.1. Animals
2.2. Blood Sampling
2.3. Hematologic Analysis
2.4. Data Analysis
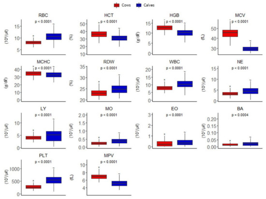
3. Results
4. Discussion
5. Conclusions
Author Contributions
Funding
Institutional Review Board Statement
Data Availability Statement
Acknowledgments
Conflicts of Interest
References
- George, J.W.; Snipes, J.; Lane, V.M. Comparison of bovine hematology reference intervals from 1957 to 2006. Vet. Clin. Pathol. 2010, 39, 138–148. [Google Scholar] [CrossRef] [PubMed]
- Jones, M.L.; Alison, R.W. Evaluation of the ruminant complete blood cell count. Vet. Clin. N. Am. Food Anim. Pract. 2007, 23, 377–402. [Google Scholar] [CrossRef] [PubMed]
- Mohri, M.; Sharifi, K.; Eidi, S. Hematology and serum biochemistry of Holstein dairy calves: Age related changes and comparison with blood composition in adults. Res. Vet. Sci. 2007, 83, 30–39. [Google Scholar] [CrossRef] [PubMed]
- Moretti, P.; Paltrinieri, S.; Trevisi, E.; Probo, M.; Ferrari, A.; Minuti, A.; Giordano, A. Reference intervals for hematological and biochemical parameters, acute phase proteins and markers of oxidation in Holstein dairy cows around 3 and 30 days after calving. Res. Vet. Sci. 2017, 114, 322–331. [Google Scholar] [CrossRef] [PubMed]
- Panousis, N.; Siachos, N.; Kitkas, G.; Kalaitzakis, E.; Kritsepi-Konstantinou, M.; Valergakis, G.E. Hematology reference intervals for neonatal Holstein calves. Res. Vet. Sci. 2017, 118, 1–10. [Google Scholar] [CrossRef] [PubMed]
- Knowles, T.G.; Edwards, J.E.; Bazeley, K.J.; Brown, S.N.; Butterworth, A.; Wariss, P.D. Changes in the blood biochemical and haematological profile of neonatal calves with age. Vet. Rec. 2000, 147, 593–598. [Google Scholar] [CrossRef] [PubMed]
- Friedrichs, K.R.; Harr, K.E.; Freeman, K.P.; Szladovits, B.; Walton, R.M.; Barnhart, K.F.; Blanco-Chavez, J. ASVCP reference interval guidelines: Determination of de novo reference intervals in veterinary species and other related topics. Vet. Clin. Pathol. 2012, 41, 441–453. [Google Scholar] [CrossRef] [PubMed]
- Brun-Hansen, H.C.; Kampen, A.H.; Lund, A. Hematologic values in calves during the first 6 months of life. Vet. Clin. Pathol. 2006, 35, 182–187. [Google Scholar] [CrossRef] [PubMed]
- Chung, K.Y.; Lee, S.H.; Cho, S.H.; Kwon, E.G.; Lee, J.H. Current situation and future prospects for beef production in South Korea—A review. Asian-Australas. J. Anim. Sci. 2018, 31, 951–960. [Google Scholar] [CrossRef] [PubMed]
- Kang, M.I.; Han, D.U.; Chung, Y.U.; Chung, D.Y.; Lee, C.Y.; Lee, C.G.; Wee, S.H.; Cho, J.J. Survey on Korean-native calves diseases and mortality. Korean J. Vet. Serv. 2001, 24, 223–241. [Google Scholar]
- Kwon, O.; Choi, K.; Lee, S.; Jeong, H.; Lee, J. Epidemiological investigation of diseases in Korean native suckling calves. J. Vet. Clin. Med. 2000, 17, 93–101. [Google Scholar]
- Kim, U.H.; Jung, Y.H.; Choe, C.Y.; Kang, S.J.; Chang, S.S.; Cho, S.R.; Yang, B.C.; Hur, T.Y. Korean native calf mortality: The causes of calf death in large breeding farm over a 10-year period. Korean J. Vet. Res. 2015, 55, 75–80. [Google Scholar] [CrossRef]
- Kim, Y.I.; Park, J.M.; Lee, Y.H.; Lee, M.; Choi, D.Y.; Kwak, E.S. Effect of By-product Feed-based Silage Feeding on the Performance, Blood Metabolites, and Carcass Characteristics of Hanwoo Steers (a Field Study). Asian-Australas. J. Anim. Sci. 2015, 28, 180–187. [Google Scholar] [CrossRef] [PubMed]
- Lee, S.J.; Lee, S.S.; Kim, E.T.; Jeong, J.S.; Lee, J.H.; Jeong, J.; Park, J.K.; Park, B.Y.; Jeong, H.Y.; Ki, K.S.; et al. Effect of optimal sodium stearoyl-2-lactylate supplementation on growth performance and blood and carcass characteristics in Hanwoo steers during the early fattening period. Asian-Australas. J. Anim. Sci. 2018, 31, 1442–1448. [Google Scholar] [CrossRef] [PubMed]
- Park, B.H.; Kim, U.H.; Jang, S.S.; Yang, S.H.; Lee, E.M.; Kang, D.H.; Kwon, E.G.; Chung, K.Y. Biological effects of dietary probiotics on blood characteristics in Hanwoo heifers subjected to lipopolysaccharide (LPS) challenge. Korean J. Agric. Sci. 2016, 43, 814–823. [Google Scholar]
- Park, B.K.; Lee, D.K.; Ahn, J.S.; Park, J.K.; Kim, M.J.; Son, G.H.; Shin, J.S. Effects of dietary levels of tapioca residue on growth performance and carcass characteristics in Hanwoo steers. Asian-Australas. J. Anim. Sci. 2019, 32, 1128–1136. [Google Scholar] [CrossRef] [PubMed]
- R Core Team. R: A Language and Environment for Statistical Computing; R Foundation for statistical Computing: Vienna, Austria, 2020. [Google Scholar]
- Kim, Y.M.; Lee, J.A.; Jung, B.G.; Kim, T.H.; Lee, B.J.; Suh, G.H. Reference ranges of hematology and lymphocyte subsets in healthy Korean native cattle (Hanwoo) and Holstein dairy cattle. Anim. Sci. J. 2016, 87, 796–801. [Google Scholar] [CrossRef] [PubMed]
- Wood, D.; Quiroz-Rocha, G.F. Normal hematology of cattle. In Schalm’s Veterinary Hematology, 6th ed.; Blackwell Publishing: Ames, IA, USA, 2010; pp. 829–834. [Google Scholar]
- Tennant, B.; Harrold, D.; Reina-Guerra, M.; Kendrick, J.W.; Laben, R.C. Hematology of the neonatal calf: Erythrocyte and leukocyte values of normal calves. Cornell Vet. 1974, 64, 516–532. [Google Scholar] [PubMed]
- Boudreaux, M.K.; Ebbe, S. Comparison of platelet number, mean platelet volume and platelet mass in five mammalian species. Comp. Haematol. Int. 1998, 8, 16–20. [Google Scholar] [CrossRef]
- Raleigh, R.J.; Wallace, J.D. The influence of iron and copper on hematologic values and on body weight of range calves. Am. J. Vet. Res. 1962, 23, 296–299. [Google Scholar] [PubMed]





| Parameter | Unit | Cows | Calves |
|---|---|---|---|
| RBC | 106/µℓ | 6.5–10.3 | 6.8–14.6 |
| HCT | % | 28.1–46.1 | 20.4–39.7 |
| HGB | g/dℓ | 9.1–15.3 | 6.5–13.5 |
| MCV | fL | 34.9–54.3 | 25.9–35.7 |
| MCHC | g/dℓ | 26.5–40.2 | 25.7–39.2 |
| RDW | % | 20.6–27.6 | 21.3–30.0 |
| WBC | 103/µℓ | 5.2–12.4 | 4.6–16.4 |
| NE | 103/µℓ | 1.6–5.8 | 1.9–10.2 |
| LY | 103/µℓ | 2.5–6.5 | 0.9–8.9 |
| MO | 103/µℓ | 0.06–0.49 | 0.09–0.84 |
| EO | 103/µℓ | 0.01–1.16 | 0.04–1.63 |
| BA | 103/µℓ | 0.00–ℓ0.09 | 0.00–0.11 |
| PLT | 103/µℓ | 129–573 | 166–918 |
| MPV | fL | 5.4–9.3 | 3.9–6.8 |
Publisher’s Note: MDPI stays neutral with regard to jurisdictional claims in published maps and institutional affiliations. |
© 2021 by the authors. Licensee MDPI, Basel, Switzerland. This article is an open access article distributed under the terms and conditions of the Creative Commons Attribution (CC BY) license (https://creativecommons.org/licenses/by/4.0/).
Share and Cite
Kim, U.-H.; Lee, S.-H.; Cho, S.-R.; Kang, S.-S.; Jin, S.; Ahn, J.-S.; Lee, S.-H. Hematological Changes and Reference Intervals in Hanwoo Calves during the First 28 Weeks of Life. Animals 2021, 11, 1806. https://doi.org/10.3390/ani11061806
Kim U-H, Lee S-H, Cho S-R, Kang S-S, Jin S, Ahn J-S, Lee S-H. Hematological Changes and Reference Intervals in Hanwoo Calves during the First 28 Weeks of Life. Animals. 2021; 11(6):1806. https://doi.org/10.3390/ani11061806
Chicago/Turabian StyleKim, Ui-Hyung, Seung-Hwan Lee, Sang-Rae Cho, Sung-Sik Kang, Shil Jin, Jun-Sang Ahn, and Soo-Hyun Lee. 2021. "Hematological Changes and Reference Intervals in Hanwoo Calves during the First 28 Weeks of Life" Animals 11, no. 6: 1806. https://doi.org/10.3390/ani11061806
APA StyleKim, U.-H., Lee, S.-H., Cho, S.-R., Kang, S.-S., Jin, S., Ahn, J.-S., & Lee, S.-H. (2021). Hematological Changes and Reference Intervals in Hanwoo Calves during the First 28 Weeks of Life. Animals, 11(6), 1806. https://doi.org/10.3390/ani11061806

