Evaluation of Different Methods to Estimate the Transfer of Immunity in Donkey Foals Fed with Colostrum of Good IgG Quality: A Preliminary Study
Abstract
Simple Summary
Abstract
1. Introduction
2. Materials and Methods
2.1. Animals
2.2. Sampling Procedures
2.3. Determination of Serum IgG and Total Protein
2.4. Statistic Analysis
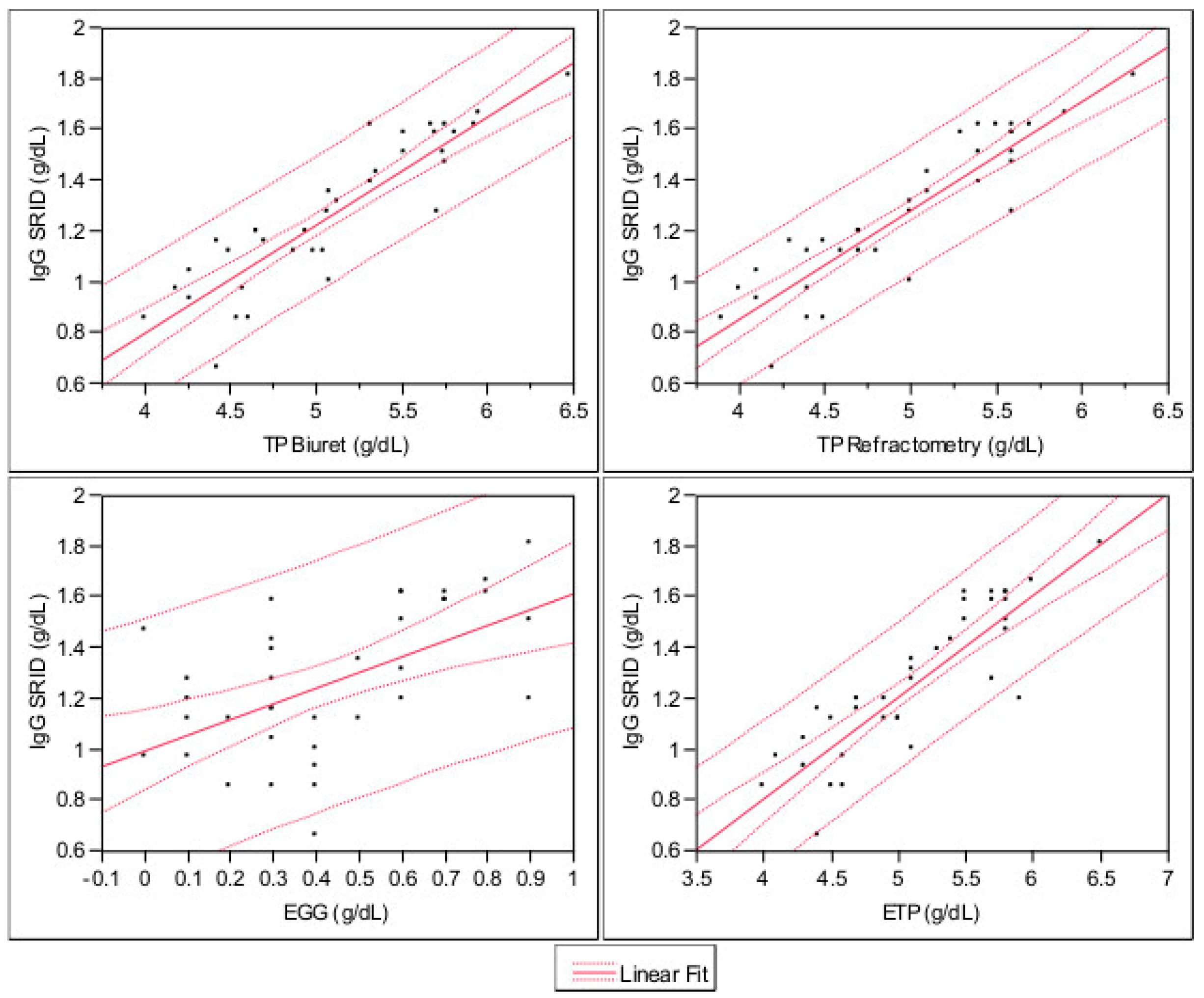
3. Results
4. Discussion
5. Conclusions
Author Contributions
Funding
Institutional Review Board Statement
Informed Consent Statement
Data Availability Statement
Conflicts of Interest
References
- Saber, A.; Abd-Elnaeim, M.; Hembes, T.; Pfarrer, C.; Salim, A.; Leiser, R. Light and Scanning Electron Microscopic Study on the Blood Vascular System of the Donkey Placenta. Anat. Histol. Embryol. 2008, 37, 86–94. [Google Scholar] [CrossRef] [PubMed]
- Carluccio, A.; Panzani, S.; Tosi, U.; Riccaboni, P.; Contri, A.; Veronesi, M.C. Morphological features of the placenta at term in the Martina Franca donkey. Theriogenology 2008, 69, 918–924. [Google Scholar] [CrossRef] [PubMed]
- Turini, L.; Bonelli, F.; Nocera, I.; Battaglia, F.; Meucci, V.; Panzani, D.; Mele, M.; Sgorbini, M. Evaluation of jennies’ colostrum: IgG concentrations and absorption in the donkey foals. A preliminary study. Heliyon 2020, 6, e04598. [Google Scholar] [CrossRef]
- Veronesi, M.C.; Dall’Ara, P.; Gloria, A.; Servida, F.; Sala, E.; Robbe, D. IgG, IgA, and lysozyme in Martina Franca donkey jennies and their foals. Theriogenology 2014, 81, 825–831. [Google Scholar] [CrossRef]
- Girardi, A.M.; Toledo, C.Z.P.; Sabes, A.F.; Oliveira, J.A.; Marques, L.C. Serum protein fractions, hematological and biochemical variables of the Pêga donkey (Equus asinus) breed in the first year of age. Vet. Arhiv. 2016, 86, 335–349. [Google Scholar]
- Taylor, S. A review of equine sepsis. Equine Vet. Educ. 2015, 27, 99–109. [Google Scholar] [CrossRef]
- Hines, M.T. Immunodeficiencies of foals. In Current Therapy in Equine Medicine, 5th ed.; Robinson, N.E., Ed.; WB Saunders: Philadelphia, PA, USA, 2003; pp. 692–697. [Google Scholar]
- Koterba, A.M.; Brewer, B.; Drummond, W.H. Prevention and control of infection. Vet. Clin. N. Am. Equine Pract. 1985, 1, 41–50. [Google Scholar] [CrossRef]
- Morris, D.D.; Meirs, D.A.; Merryman, G.S. Passive transfer failure in horses: Incidence and causative factors on a breeding farm. Am. J. Vet. Res. 1985, 46, 2294–2299. [Google Scholar] [PubMed]
- Tyler-McGowan, C.M.; Hodgson, J.L.; Hodgson, D.R. Failure of passive transfer in foals: Incidence and outcome on four studs in New South Wales. Aust. Vet. J. 1997, 75, 56–59. [Google Scholar] [CrossRef]
- Davis, D.G.; Schaefer, D.M.W.; Hinchcliff, K.W.; Wellman, M.L.; Willet, V.E.; Fletcher, J.M. Measurement of Serum IgG in Foals by Radial Immunodiffusion and Automated Turbidimetric Immunoassay. J. Vet. Intern. Med. 2005, 19, 93–96. [Google Scholar] [CrossRef] [PubMed]
- Clabough, D.L.; Conboy, H.S.; Roberts, M.C. Comparison of four screening techniques for the diagnosis of equine neonatal hypogammaglobulinemia. J. Am. Vet. Med. Ass. 1989, 194, 1717–1720. [Google Scholar]
- Davis, R.; Giguere, S. Evaluation of five commercially available assays and measurement of serum total protein concentration via refractometry for the diagnosis of failure of passive transfer of immunity in foals. J. Am. Vet. Med. Ass. 2005, 227, 1640–1645. [Google Scholar] [CrossRef]
- Tscheschlok, L.; Venner, M.; Howard, J. Comparison of IgG concentrations by radial immunodiffusion, electrophoretic gamma globulin concentrations and total globulins in neonatal foals. Equine Vet. J. 2017, 49, 149–154. [Google Scholar] [CrossRef]
- Ujvari, S.; Schwarzwald, C.; Fouché, N.; Howard, J.; Schoster, A. Validation of a Point-of-Care Quantitative Equine IgG Turbidimetric Immunoassay and Comparison of IgG Concentrations Measured with Radial Immunodiffusion and a Point-of-Care IgG ELISA. J. Vet. Intern. Med. 2017, 31, 1170–1177. [Google Scholar] [CrossRef] [PubMed]
- Thornhill, J.B.; Krebs, G.L.; Petzel, C.E. Evaluation of the Brix refractometer as an on-farm tool for the detection of passive transfer of immunity in dairy calves. Aust. Vet. J. 2015, 93, 26–30. [Google Scholar] [CrossRef]
- Hurcombe, S.D.; Matthews, A.L.; Scott, V.H.; Williams, J.M.; Kohn, C.W.; Toribio, R.E. Serum protein concentrations as predictors of serum immunoglobulin G concentration in neonatal foals. J. Vet. Emerg Crit Care 2012, 22, 573–579. [Google Scholar] [CrossRef] [PubMed]
- Elsohaby, I.; Riley, C.B.; McClure, J.T. Usefulness of digital and optical refractometers for the diagnosis of failure of transfer of passive immunity in neonatal foals. Equine Vet. J. 2019, 51, 451–457. [Google Scholar] [CrossRef] [PubMed]
- George, J.W. The usefulness and limitations of hand-held refractometers in veterinary laboratory medicine: An historical and technical review. Vet. Clin. Pathol. 2001, 30, 201–210. [Google Scholar] [CrossRef]
- Bonelli, F.; Rota, A.; Corazza, M.; Serio, D.; Sgorbini, M. Hematological and biochemical findings in pregnant, postfoaling, and lactating jennies. Theriogenology 2016, 85, 1233–1238. [Google Scholar] [CrossRef]
- Sgorbini, M.; Bonelli, F.; Rota, A.; Baragli, P.; Marchetti, V.; Corazza, M. Hematology and Clinical Chemistry in Amiata Donkey Foals from Birth to 2 Months of Age. J. Equine Vet. Sci. 2013, 33, 35–39. [Google Scholar] [CrossRef]
- Bonelli, F.; Nocera, I.; Conte, G.; Panzani, D.; Sgorbini, M. Relation between Apgar scoring and physical parameters in 44 newborn Amiata donkey foals at birth. Theriogenology 2019, 142, 310–314. [Google Scholar] [CrossRef] [PubMed]
- McCue, P.M. Colostrum banking. In Equine Reproductive Procedures, 1st ed.; Dascanio, J., McCue, P.M., Eds.; Wiley and Sons: Hoboken, NJ, USA, 2014; pp. 299–303. [Google Scholar]
- Turini, L.; Nocera, I.; Bonelli, F.; Mele, M.; Sgorbini, M. Evaluation of Brix Refractometry for the Estimation of Colostrum Quality in Jennies. J. Equine Vet. Sci. 2020, 92, 103172. [Google Scholar] [CrossRef] [PubMed]
- Nógrádi, N.; Magdesian, N.G. Physical Examination of the Neonatal Foal. In Manual of Clinical Procedures in the Horse, 1st ed.; Costa, L.R.R., Paradis, M.R., Eds.; John Wiley & Sons: Hoboken, NJ, USA, 2017; pp. 416–426. [Google Scholar]
- Allen, P.Z.; Dalton, E.J. Studies on equine immunoglobulins IV. Immunoglobulins of the donkey. Immunology 1975, 28, 187–197. [Google Scholar] [PubMed]
- Pescovitz, M.D. Immunology of horses and donkeys. In Handbook of Veterinary Immunology; Pastoret, P., Griebel, P., Bazin, H., Govaerts, A., Eds.; Elsevier: Amsterdam, The Netherlands, 1998; pp. 343–371. [Google Scholar]
- Baird, A.N.; Pugh, D.G.; Rupp, G.P.; Shull, J.W.; Field, R.W. Detection of immunoglobulin G in the neonate. J. Equine Vet. Sci 1987, 7, 124–129. [Google Scholar] [CrossRef]
- Wong, D.M.; Giguére, S.; Wendel, M.A. Evaluation of a point-of-care portable analyzer for measurement of plasma immunoglobulin G, total protein, and albumin concentrations in ill neonatal foals. J. Am. Vet. Med. Ass. 2013, 242, 812–819. [Google Scholar] [CrossRef]
- LeBlanc, M.M. Update on passive transfer of immunglobulins in the foal. Pferdeheilkunde 2001, 17, 662–665. [Google Scholar] [CrossRef]
- Kummer, L.L.; Govaere, J.; Egri, B. Comparison of the reliability of snap foal Ig test, Gamma-Check E test, refractometry and electrophoresis for determining the immune status of newborn foals in the first hours of life. Acta Vet. Hung. 2018, 66, 573–586. [Google Scholar] [CrossRef]
- McKenzie, H.C., III. Disorders of Foals. In Equine Internal Medicine, 4th ed.; Reed, S.M., Bayly, W.M., Sellon, D.C., Eds.; Elsevier: Amsterdam, The Netherlands, 2018; pp. 1365–1459. [Google Scholar]
- Sheoran, A.S.; Timoney, J.F.; Holmes, M.A.; Karzenski, S.S.; Crisman, M.V. Immunoglobulin isotypes in sera and nasal mucosal secretions and their neonatal transfer and distribution in horses. Am. J. Vet. Res. 2000, 61, 1099–1105. [Google Scholar] [CrossRef]
- Aoki, T.; Chiba, A.; Itoh, M.; Nambo, Y.; Yamagishi, N.; Shibano, K.I.; Cheong, S.H. Colostral and foal serum immunoglobulin G levels and associations with perinatal abnormalities in heavy draft horses in Japan. J. Equine Sci. 2020, 31, 29–34. [Google Scholar] [CrossRef]
- Pusterla, N.; Pusterla, J.B.; Spier, S.J.; Watson, J.L.; Puget, B. Evaluation of the SNAP foal IgG test for the semiquantitative measurement of immunoglobulin G in foals. Vet. Rec. 2002, 151, 258–260. [Google Scholar] [CrossRef]

| Hours Post-Partum. | n | IgG SRID (g/dL) | EGG (g/dL) | TP Biuret (g/dL) | TP Refractometry (g/dL) | ETP (g/dL) |
|---|---|---|---|---|---|---|
| 0 | 9 | 0.9 ± 0.12 C | 0.28 ± 0.15 A | 4.44 ± 0.31 B | 4.29 ± 0.33 B | 4.43 ± 0.32 B |
| 6 | 9 | 1.18 ± 0.08 B | 0.41 ± 0.25 A | 4.80 ± 0.24 B | 4.67 ± 0.26 B | 4.94 ± 0.44 B |
| 12 | 9 | 1.49 ± 0.16 A | 0.48 ± 0.31 A | 5.58 ± 0.39 A | 5.44 ± 0.36 A | 5.59 ± 0.38 A |
| 24 | 9 | 1.49 ± 0.20 A | 0.57 ± 0.25A | 5.57 ± 0.44 A | 5.46 ± 0.42 A | 5.59 ± 0.45 A |
| All time points | 36 | 1.26 ± 0.29 | 0.43 ± 0.26 | 5.1 ± 0.6 | 4.96 ± 0.61 | 5.14 ± 0.62 |
| SE | 0.049 | 0.082 | 0.118 | 0.116 | 0.134 | |
| p-value | *** | Ns | *** | *** | *** |
| Methods | IgG SRID (g/dL) | EGG (g/dL) | TP Biuret (g/dL) | TP Refractometry (g/dL) | ETP (g/dL) |
|---|---|---|---|---|---|
| IgG SRID (g/dL) | 1.00 | ** 0.56 | *** 0.89 | *** 0.91 | *** 0.87 |
| EGG (g/dL) | 1.00 | ** 0.50 | ** 0.52 | ** 0.59 | |
| TP Biuret (g/dL) | 1.00 | *** 0.99 | *** 0.94 | ||
| TP Refractometry (g/dL) | 1.00 | *** 0.95 | |||
| ETP (g/dL) | 1.00 |
Publisher’s Note: MDPI stays neutral with regard to jurisdictional claims in published maps and institutional affiliations. |
© 2021 by the authors. Licensee MDPI, Basel, Switzerland. This article is an open access article distributed under the terms and conditions of the Creative Commons Attribution (CC BY) license (http://creativecommons.org/licenses/by/4.0/).
Share and Cite
Turini, L.; Bonelli, F.; Nocera, I.; Meucci, V.; Conte, G.; Sgorbini, M. Evaluation of Different Methods to Estimate the Transfer of Immunity in Donkey Foals Fed with Colostrum of Good IgG Quality: A Preliminary Study. Animals 2021, 11, 507. https://doi.org/10.3390/ani11020507
Turini L, Bonelli F, Nocera I, Meucci V, Conte G, Sgorbini M. Evaluation of Different Methods to Estimate the Transfer of Immunity in Donkey Foals Fed with Colostrum of Good IgG Quality: A Preliminary Study. Animals. 2021; 11(2):507. https://doi.org/10.3390/ani11020507
Chicago/Turabian StyleTurini, Luca, Francesca Bonelli, Irene Nocera, Valentina Meucci, Giuseppe Conte, and Micaela Sgorbini. 2021. "Evaluation of Different Methods to Estimate the Transfer of Immunity in Donkey Foals Fed with Colostrum of Good IgG Quality: A Preliminary Study" Animals 11, no. 2: 507. https://doi.org/10.3390/ani11020507
APA StyleTurini, L., Bonelli, F., Nocera, I., Meucci, V., Conte, G., & Sgorbini, M. (2021). Evaluation of Different Methods to Estimate the Transfer of Immunity in Donkey Foals Fed with Colostrum of Good IgG Quality: A Preliminary Study. Animals, 11(2), 507. https://doi.org/10.3390/ani11020507

