Three Studies Evaluating the Potential for Lidocaine, Bupivacaine or Procaine to Reduce Pain-Related Behaviors following Ring Castration and/or Tail Docking in Lambs
Abstract
:Simple Summary
Abstract
1. Introduction
2. Materials and Methods
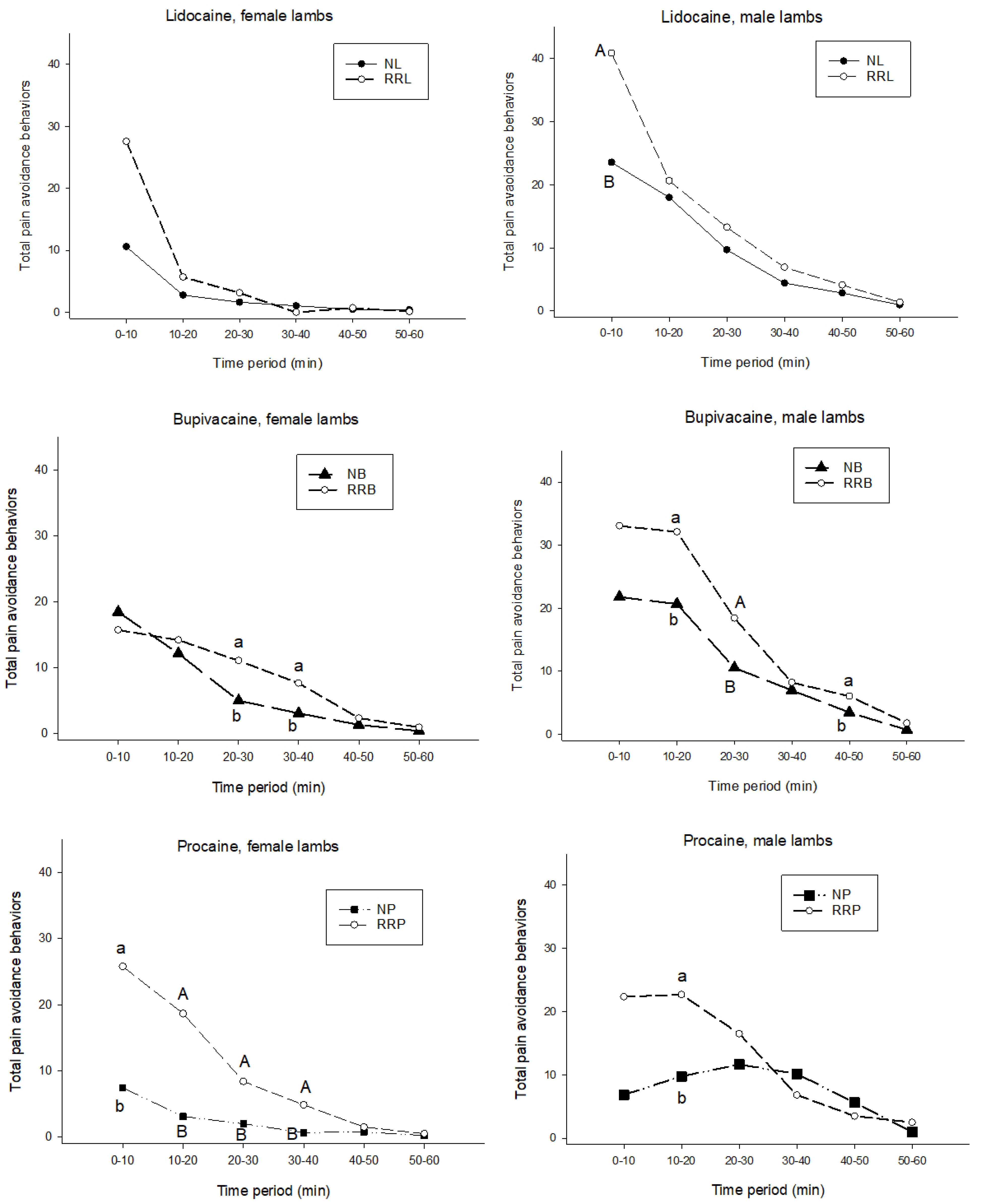
3. Results
4. Discussion
5. Conclusions
Author Contributions
Funding
Institutional Review Board Statement
Data Availability Statement
Acknowledgments
Conflicts of Interest
References
- Mellor, D.; Stafford, K. Acute castration and/or tailing distress and its alleviation in lambs. N. Z. Veter J. 2000, 48, 33–43. [Google Scholar] [CrossRef] [PubMed]
- Grant, C. Behavioural responses of lambs to common painful husbandry procedures. Appl. Anim. Behav. Sci. 2004, 87, 255–273. [Google Scholar] [CrossRef]
- Sutherland, M.A. Painful husbandry procedures and methods of alleviation: A review. In Proceedings of the New Zealand Society of Animal Production; New Zealand Society of Animal Production: Rotokauri, NZ, USA, 2011; Volume 71, pp. 189–194. [Google Scholar]
- French, N.; Wall, R.; Morgan, K. Tail docking of lambs in the control of flystrike. Vet. Rec. 1994, 135, 47. [Google Scholar] [CrossRef] [PubMed]
- French, N.; Wall, R.; Morgan, K.L. Lamb tail docking: A controlled field study of the effects of tail amputation on health and productivity. Vet. Rec. 1994, 134, 463–467. [Google Scholar] [CrossRef]
- Animal Health Australia. Australian Animal Welfare Standards and Guidelines—Sheep; Animal Health Australia: Canberra, Australia, 2016; p. 38. [Google Scholar]
- Farm Animal Welfare Advisory Council. Animal Welfare Guidelines for Sheep Farmers. In An Roinn Talmhaiochta Agus Bia; The Department of Agriculture & Food: Washington, DC, USA, 2003; Volume 14. [Google Scholar]
- The Scottish Government. Codes of Practice for the Welfare of Sheep; APS Group Scotland: Edinburgh, UK, 2012; Volume 35. [Google Scholar]
- Small, A.H.; Jongman, E.C.; Niemeyer, D.; Lee, C.; Colditz, I.G. Efficacy of precisely injected single local bolus of lignocaine for alleviation of behavioural responses to pain during tail docking and castration of lambs with rubber rings. Res. Vet. Sci. 2020, 133, 210–218. [Google Scholar] [CrossRef]
- Ghadirian, S.; Vesal, N.; Maghsoudi, B.; Akhlagh, S.H. Comparison of lidocaine, lidocaine-morphine, lidocaine-tramadol or bupivacaine for neural blockade of the brachial plexus in fat-tailed lambs. Vet. Anaesth. Analg. 2016, 43, 109–116. [Google Scholar] [CrossRef] [PubMed]
- Lizarraga, I.; Janovyak, E.; Beths, T. Comparing lidocaine, bupivacaine and a lidocaine–bupivacaine mixture as a metacarpal block in sheep. Vet. J. 2013, 197, 515–518. [Google Scholar] [CrossRef] [PubMed]
- Rostami, M.; Vesal, N. The effects of adding epinephrine or xylazine to lidocaine solution for lumbosacral epidural analgesia in fat-tailed sheep. J. S. Afr. Vet. Assoc. 2012, 83, 7. [Google Scholar] [CrossRef]
- Trim, C.M. Epidural analgesia with 0.75-percent bupivacaine for laparotomy in goats. J. Am. Vet. Med Assoc. 1989, 194, 1292–1296. [Google Scholar]
- Paull, D.R.; Small, A.H.; Lee, C.; Palladin, P.; Colditz, I.G. Evaluating a novel analgesic strategy for ring castration of ram lambs. Vet. Anaesth. Analg. 2012, 39, 539–549. [Google Scholar] [CrossRef]
- R Core Team. R: A Language and Environment for Statistical Computing; R Foundation for Statistical Computing: Vienna, Austria, 2018. [Google Scholar]
- Mellema, S.C.; Doherr, M.G.; Wechsler, B.; Thueer, S.; Steiner, A. Influence of local anaesthesia on pain and distress induced by two bloodless castration methods in young lambs. Vet. J. 2006, 172, 274–283. [Google Scholar] [CrossRef]
- Stewart, M.; Beausoleil, N.J.; Johnson, C.B.; Webster, J.R.; Schütz, K.E.; Cox, N.; Stafford, K.J. Do rubber rings coated with lignocaine reduce the pain associated with ring castration of lambs? Appl. Anim. Behav. Sci. 2014, 160, 56–63. [Google Scholar] [CrossRef]
- Thornton, P.; Waterman-Pearson, A. Quantification of the pain and distress responses to castration in young lambs. Res. Vet. Sci. 1999, 66, 107–118. [Google Scholar] [CrossRef] [PubMed]
- Kent, J.E.; Molony, V.; Graham, M.J. Comparison of methods for the reduction of acute pain produced by rubber ring castration or tail docking of week-old lambs. Vet. J. 1998, 155, 39–51. [Google Scholar] [CrossRef]
- Dinniss, A.; Mellor, D.; Stafford, K.; Bruce, R.; Ward, R. Acute cortisol responses of lambs to castration using a rubber ring and/or a castration clamp with or without local anaesthetic. N. Z. Vet. J. 1997, 45, 114–121. [Google Scholar] [CrossRef]
- Sutherland, M.A.; Mellor, D.J.; Stafford, K.J.; Gregory, N.G.; Bruce, R.A.; Ward, R.N.; Todd, S.E. Acute cortisol responses of lambs to ring castration and docking after the injection of lignocaine into the scrotal neck or testes at the time of ring application. Aust. Vet. J. 1999, 77, 738–741. [Google Scholar] [CrossRef] [PubMed]
- DeRossi, R.; Jardim, P.; Hermeto, L.; Pagliosa, R. Comparison of analgesic and systemic effects of bupivacaine, methadone, or bupivacaine/methadone administered epidurally in conscious sheep. Aust. Vet. J. 2015, 93, 164–169. [Google Scholar] [CrossRef]
- DeRossi, R.; Silva-Neto, A.B.; Pompermeyer, C.T.; Frazilio, F.O.; Jardim, P.H.; De Barros, A.C. The efficacy and safety of levobupivacaine administered by lumbosacral epidural route in conscious sheep. Res. Vet. Sci. 2012, 92, 278–282. [Google Scholar] [CrossRef] [PubMed]
- Graham, M.J.; Kent, J.E.; Molony, V. Effects of four analgesic treatments on the behavioural and cortisol responses of 3-week-old lambs to tail docking. Vet. J. 1997, 153, 87–97. [Google Scholar] [CrossRef]
- Molony, V.; Kent, J.E.; Viñuela-Fernández, I.; Anderson, C.; Dwyer, C.M. Pain in lambs castrated at 2days using novel smaller and tighter rubber rings without and with local anaesthetic. Vet. J. 2012, 193, 81–86. [Google Scholar] [CrossRef]
- Morishima, H.O.; Finster, M.; Pedersen, H.; Fukunaga, A.; Ronfeld, R.A.; Vassallo, H.G.; Covino, B.G. Pharmacokinetics of Lidocaine in Fetal and Neonatal Lambs and Adult Sheep. Anesthesiology 1979, 50, 431–436. [Google Scholar] [CrossRef] [PubMed]
- Karatassas, A. The Effect of Regional Blood Flow on the Pharmacokinetics of Infiltrated Doses of Lignocaine; School of Medicine, Department of Surgery, University of Adelaide: Adelaide, Australia, 1992; p. 191. [Google Scholar]
- Ratajczak-Enselme, M.; Estebe, J.-P.; Rose, F.-X.; Wodey, E.; Malinovsky, J.-M.; Chevanne, F.; Dollo, G.; Ecoffey, C.; Le Corre, P. Effect of epinephrine on epidural, intrathecal, and plasma pharmacokinetics of ropivacaine and bupivacaine in sheep. Br. J. Anaesth. 2007, 99, 881–890. [Google Scholar] [CrossRef] [PubMed] [Green Version]
- Santos, A.C.; Arthur, G.R.; Lehning, E.J.; Finster, M. Comparative pharmacokinetics of ropivacaine and bupivacaine in nonpregnant and pregnant ewes. Anesth. Analg. 1997, 85, 87–93. [Google Scholar]
- Rastabi, H.I.; Guraninejad, S.; Naddaf, H.; Hasani, A. Comparison of the application of lidocaine, lidocaine-dexamethasone and lidocaine-epinephrine for caudal epidural anesthesia in cows. Iran. J. Vet. Res. 2018, 19, 172–177. [Google Scholar]

| Code | Procedure | Therapeutic Agent | No. Lambs |
|---|---|---|---|
| Experiment 1–Evaluation of Lidocaine 4–6 April 2017 | |||
| RRL | Males: Ring castration and tail-dock Females: Ring tail-dock | No anesthetic Control | 15 males and 8 females |
| NL | Males: Ring castration and tail-dock Females: Ring tail-dock | Lidocaine 2% (1.5 mL/site) 30 mg per site | 28 males and 28 females |
| Experiment 2–Evaluation of Bupivacaine 25–26 April 2017 | |||
| RRB | Males: Ring castration and tail-dock Females: Ring tail-dock | No anesthetic Control | 16 males and 16 females |
| NB | Males: Ring castration and tail-dock Females: Ring tail-dock | Levobupivacaine 7.5 mg/mL (1.5 mL/site) 10.75 mg per site | 16 males and 16 females |
| Experiment 3–Evaluation of Procaine 10–11 May 2018 | |||
| RRP | Males: Ring castration Females: Ring tail-dock | No anesthetic Control | 7 males and 9 females |
| NP | Males: Ring castration Females: Ring tail-dock | Procaine 5% + Adrenaline (1.5 mL/site) 75 mg per site | 8 males and 9 females |
| Behavior | Abbreviation | Description |
|---|---|---|
| Restlessness | RST | The number of times lamb stood up and laid down. Instances of lamb rising as far as its knees included in the one count. |
| Kicking/foot-stamping | FSK | Either a front or hind limb (usually hind limb) was lifted and forcefully placed on the ground while standing or was used to kick while standing or lying. |
| Rolling | RL | Lamb rolled from lying on one side to the other without getting up. Half rolls where the lamb rolled on its back and then returned to lying on the same side included. |
| Jumping | JMP | Lamb moved forward using bunny hops with its hind limbs |
| Licking/biting wound site | LBW | Movement of the head beyond the shoulder, including both looking and touching at the source of pain and grooming. |
| Easing quarters | EQ | Abnormally lowers rear quarters (standing) or attempts to keep quarters off the ground (lying). |
| Total acute pain avoidance behaviors | RST + FSK + RL + JMP + LBW + EQ | All pain avoidance behaviors pooled. |
| Treatment | 0–10 min | 10–20 min | 20–30 min | 30–40 min | 40–50 min | 50–60 min | 0–60 min |
|---|---|---|---|---|---|---|---|
| Experiment 1—Evaluation of lidocaine 4–6 April 2017 | |||||||
| RRL (n = 15) | 40.87 A (±27.44) | 20.97 (±12.61) | 13.27 (±10.01) | 6.93 (±4.48) | 4.13 (±4.23) | 1.40 (±2.10) | 87.27 a (±51.48) |
| NL (n = 28) | 23.55 B (±20.43) | 18.00 (±12.24) | 9.69 (±5.66) | 4.41 (±5.77) | 2.86 (±3.30) | 0.97 (±1.70) | 59.48 b (±34.19) |
| Experiment 2—Evaluation of bupivacaine 25–26 April 2017 | |||||||
| RRB (n = 16) | 33.06 (±30.33) | 32.13 a (±20.87) | 18.44 A (±10.50) | 8.25 (±7.51) | 6.06 a (±4.58) | 1.75 (±2.74) | 99.69 A (±53.60) |
| NB (n = 16) | 21.81 (±10.30) | 20.69 b (±11.45) | 10.56 B (±5.60) | 7.00 (±3.54) | 3.44 b (±2.63) | 0.69 (±1.01) | 64.19 B (±27.72) |
| Experiment 3—Evaluation of procaine 10–11 May 2018 | |||||||
| RRP (n = 7) | 22.33 (±21.24) | 22.67 a (±13.23) | 16.50 (±12.01) | 6.83 (±4.07) | 3.50 (±2.66) | 2.50 (±3.15) | 74.33 (±46.75) |
| NP (n = 8) | 6.88 (±4.82) | 9.75 b (±8.58) | 11.63 (±7.61) | 10.13 (±8.82) | 5.63 (±4.34) | 1.00 (±1.41) | 45.00 (±28.96) |
| Treatment | 0–10 min | 10–20 min | 20–30 min | 30–40 min | 40–50 min | 50–60 min | 0–60 min |
|---|---|---|---|---|---|---|---|
| Experiment 1—Evaluation of lidocaine 4–6 April 2017 | |||||||
| RRL (n = 8) | 27.57 (±23.64) | 5.71 (±3.99) | 3.14 (±4.02) | 0 A (0) | 0.71 (±0.76) | 0.14 (±0.38) | 37.29 (±31.52) |
| NL (n = 28) | 10.58 (±12.46) | 2.79 (±4.17) | 1.63 (±2.65) | 1.05 B (±1.81) | 0.47 (±0.84) | 0.42 (±0.84) | 16.95 (±18.20) |
| Experiment 2—Evaluation of bupivacaine 25–26 April 2017 | |||||||
| RRB (n = 16) | 15.73 (±15.00) | 14.20 (±12.08) | 11.07 a (±10.43) | 7.67 a (±9.04) | 2.33 (±3.51) | 0.93 (±1.33) | 51.93 (±44.70) |
| NB (n = 16) | 18.46 (±21.07) | 12.15 (±12.34) | 5.00 b (±4.30) | 3.08 b (±3.12) | 1.31 (±1.93) | 0.38 (±1.93) | 40.38 (±35.67) |
| Experiment 3—Evaluation of procaine 10–11 May 2018 | |||||||
| RRP (n = 9) | 25.75 a (±18.37) | 18.63 A (±12.30) | 8.38 A (±5.68) | 4.88 A (±3.40) | 1.50 (±2.14) | 0.50 (±1.07) | 59.63 A (±28.35) |
| NP (n = 9) | 7.44 b (±18.03) | 3.11 B (±4.04) | 2.00 B (±2.55) | 0.67 B (±1.00) | 0.78 (±1.09) | 0.22 (±0.67) | 14.22 B (±23.58) |
| Treatment | 0–10 min | 10–20 min | 20–30 min | 30–40 min | 40–50 min | 50–60 min | 0–60 min |
|---|---|---|---|---|---|---|---|
| Experiment 1—Evaluation of lidocaine 4–6 April 2017 | |||||||
| RRL (n = 15) | 18.87 A (±7.39) | 9.00 (±4.86) | 6.40 (±4.39) | 3.87 A (±1.92) | 2.53 (±1.85) | 0.80 (±1.47) | 41.47 a (±17.32) |
| NL (n = 28) | 12.86 B (±7.98) | 8.66 (±4.24) | 5.07 (±2.42) | 2.28 B (±2.86) | 1.86 (±2.35) | 0.55 (±1.12) | 31.28 b (±14.42) |
| Experiment 2—Evaluation of bupivacaine 25–26 April 2017 | |||||||
| RRB (n = 16) | 17.69 (±12.78) | 17.75 (±16.61) | 10.44 A (±5.06) | 6.81 (±5.91) | 5.81 A (±4.21) | 1.56 (±2.73) | 60.06 a (±31.94) |
| NB (n = 16) | 16.50 (±6.00) | 11.38 (±3.88) | 6.69 B (±3.22) | 5.31 (±3.02) | 2.94 B (±2.08) | 0.38 (±0.72) | 43.19 b (±12.97) |
| Experiment 3—Evaluation of procaine 10–11 May 2018 | |||||||
| RRP (n = 7) | 12.33 (±11.89) | 12.67 A (±5.47) | 8.50 (±5.65) | 4.17 (±2.86) | 1.67 (±1.51) | 1.00 (±1.10) | 40.33 (±23.75) |
| NP (n = 8) | 4.00 (±3.51) | 5.63 B (±4.98) | 6.38 (±4.78) | 4.50 (±3.70) | 3.38 (±2.83) | 0.50 (±0.76) | 24.38 (±17.17) |
| Treatment | 0–10 min | 10–20 min | 20–30 min | 30–40 min | 40–50 min | 50–60 min | 0–60 min |
|---|---|---|---|---|---|---|---|
| Experiment 1—Evaluation of lidocaine 4–6 April 2017 | |||||||
| RRL (n = 15) | 18.67 a (±17.65) | 9.80 (±7.87) | 5.60 (±6.15) | 2.60 (±3.07) | 1.20 (±2.04) | 0.40 (±0.83) | 38.27 a (±31.00) |
| NL (n = 28) | 9.03 b (±10.82) | 7.17 (±7.64) | 3.31 (±3.52) | 1.41 (±2.49) | 0.59 (±0.91) | 0.24 (±0.69) | 21.76 b (±19.21) |
| Experiment 2—Evaluation of bupivacaine 25–26 April 2017 | |||||||
| RRB (n = 16) | 8.56 (±8.80) | 8.06 (±6.94) | 4.75 (±4.61) | 1.13 (±1.67) | 0.25 (±0.68) | 0 (0) | 22.75 (±16.18) |
| NB (n = 16) | 4.44 (±5.81) | 10.94 (±22.18) | 3.13 (±3.36) | 1.06 (±1.65) | 0.50 (±1.32) | 0.13 (±0.50) | 20.19 (±27.01) |
| Experiment 3—Evaluation of procaine 10–11 May 2018 | |||||||
| RRP (n = 7) | 9.67 (±9.61) | 6.83 (±5.04) | 6.33 (±7.00) | 2.00 (±2.00) | 1.33 (±1.97) | 1.00 (±1.67) | 27.17 (±21.52) |
| NP (n = 8) | 2.50 (±2.14) | 3.50 (±3.34) | 4.25 (±2.96) | 3.25 (±4.46) | 1.50 (±2.39) | 0.25 (±0.71) | 15.25 (±11.71) |
| Treatment | 0–10 min | 10–20 min | 20–30 min | 30–40 min | 40–50 min | 50–60 min | 0–60 min |
|---|---|---|---|---|---|---|---|
| Experiment 1—Evaluation of lidocaine 4–6 April 2017 | |||||||
| RRL (n = 8) | 15.29 (±12.37) | 4.57 (±3.46) | 2.00 (2.24) | 0 A (0) | 0.57 (±0.53) | 0.14 (±0.38) | 14.64 (±14.20) |
| NL (n = 28) | 6.74 (±8.89) | 2.21 (±3.57) | 1.37 (±2.29) | 0.89 B (±1.59) | 0.37 (±0.76) | 0.16 (±0.37) | 11.74 (±13.73) |
| Experiment 2—Evaluation of bupivacaine 25–26 April 2017 | |||||||
| RRB (n = 16) | 11.60 (±10.99) | 10.33 (±8.43) | 9.60 a (±9.09) | 7.60 a (±9.16) | 2.27 (±3.53) | 0.93 (±3.53) | 42.33 (±37.06) |
| NB (n = 16) | 11.15 (±13.90) | 7.85 (±5.29) | 4.85 b (±4.30) | 3.00 b (±3.03) | 1.31 (±1.93) | 0.31 (±1.93) | 28.46 (±22.52) |
| Experiment 3—Evaluation of procaine 10–11 May 2018 | |||||||
| RRP (n = 9) | 8.50 (±7.21) | 8.88 A (±5.74) | 7.00 A (±5.01) | 4.75 A (±3.37) | 1.50 (±2.14) | 0.50 (±1.07) | 31.13 A (±14.89) |
| NP (n = 9) | 4.78 (±11.10) | 2.44 B (±3.54) | 1.33 B (±1.94) | 0.56 B (±1.01) | 0.33 (±0.71) | 0.11 (±0.33) | 9.56 B (±15.76) |
| Treatment | 0–10 min | 10–20 min | 20–30 min | 30–40 min | 40–50 min | 50–60 min | 0–60 min |
|---|---|---|---|---|---|---|---|
| Experiment 1—Evaluation of lidocaine 4–6 April 2017 | |||||||
| RRL (n = 8) | 9.86 (±12.55) | 1.14 (±1.68) | 0.86 (±2.27) | 0 (0) | 0 (0) | 0 (0) | 6.33 (±10.87) |
| NL (n = 28) | 2.68 (±4.45) | 0.21 (±0.71) | 0.11 (±0.32) | 0 (0) | 0 (0) | 0 (0) | 3.00 (±4.92) |
| Experiment 2—Evaluation of bupivacaine 25–26 April 2017 | |||||||
| RRB (n = 16) | 2.13 (±2.72) | 1.33 (±2.23) | 0.20 (±0.41) | 0 (0) | 0 (0) | 0 (0) | 3.67 (±4.47) |
| NB (n = 16) | 3.31 (±4.59) | 1.31 (±2.78) | 0.08 (±0.28) | 0 (0) | 0 (0) | 0 (0) | 4.69 (±6.60) |
| Experiment 3—Evaluation of procaine 10–11 May 2018 | |||||||
| RRP (n = 9) | 4.50 (±5.61) | 5.00 A (±5.32) | 0.75 (±0.89) | 0.13 (±0.35) | 0 (0) | 0 (0) | 10.38 A (±7.29) |
| NP (n = 9) | 1.44 (±3.97) | 0.33 B (±0.71) | 0.33 (±0.71) | 0 (0) | 0.11 (±0.33) | 0 (0) | 2.22 B (±4.55) |
Publisher’s Note: MDPI stays neutral with regard to jurisdictional claims in published maps and institutional affiliations. |
© 2021 by the authors. Licensee MDPI, Basel, Switzerland. This article is an open access article distributed under the terms and conditions of the Creative Commons Attribution (CC BY) license (https://creativecommons.org/licenses/by/4.0/).
Share and Cite
Small, A.; Fetiveau, M.; Smith, R.; Colditz, I. Three Studies Evaluating the Potential for Lidocaine, Bupivacaine or Procaine to Reduce Pain-Related Behaviors following Ring Castration and/or Tail Docking in Lambs. Animals 2021, 11, 3583. https://doi.org/10.3390/ani11123583
Small A, Fetiveau M, Smith R, Colditz I. Three Studies Evaluating the Potential for Lidocaine, Bupivacaine or Procaine to Reduce Pain-Related Behaviors following Ring Castration and/or Tail Docking in Lambs. Animals. 2021; 11(12):3583. https://doi.org/10.3390/ani11123583
Chicago/Turabian StyleSmall, Alison, Manon Fetiveau, Robin Smith, and Ian Colditz. 2021. "Three Studies Evaluating the Potential for Lidocaine, Bupivacaine or Procaine to Reduce Pain-Related Behaviors following Ring Castration and/or Tail Docking in Lambs" Animals 11, no. 12: 3583. https://doi.org/10.3390/ani11123583
APA StyleSmall, A., Fetiveau, M., Smith, R., & Colditz, I. (2021). Three Studies Evaluating the Potential for Lidocaine, Bupivacaine or Procaine to Reduce Pain-Related Behaviors following Ring Castration and/or Tail Docking in Lambs. Animals, 11(12), 3583. https://doi.org/10.3390/ani11123583

