The Effects of Heat Stress on Sheep Welfare during Live Export Voyages from Australia to the Middle East
Simple Summary
Abstract
1. Introduction
2. Materials and Methods
2.1. Description of the Ships and Voyages Transporting Live Animals to the Middle East
2.2. Statistical Analysis
3. Results
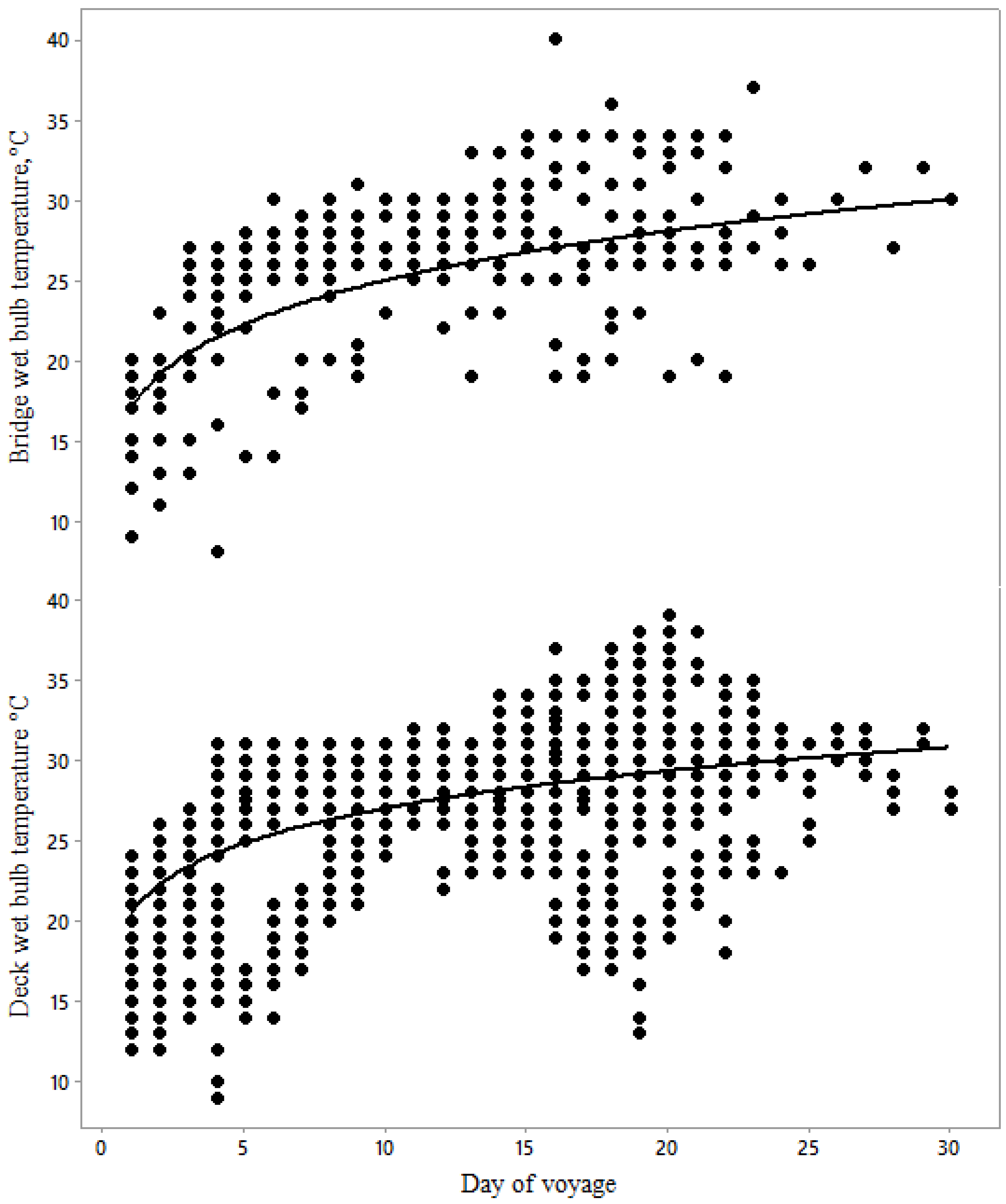
3.1. Bridge and Deck Temperatures
3.2. Mortality Rates
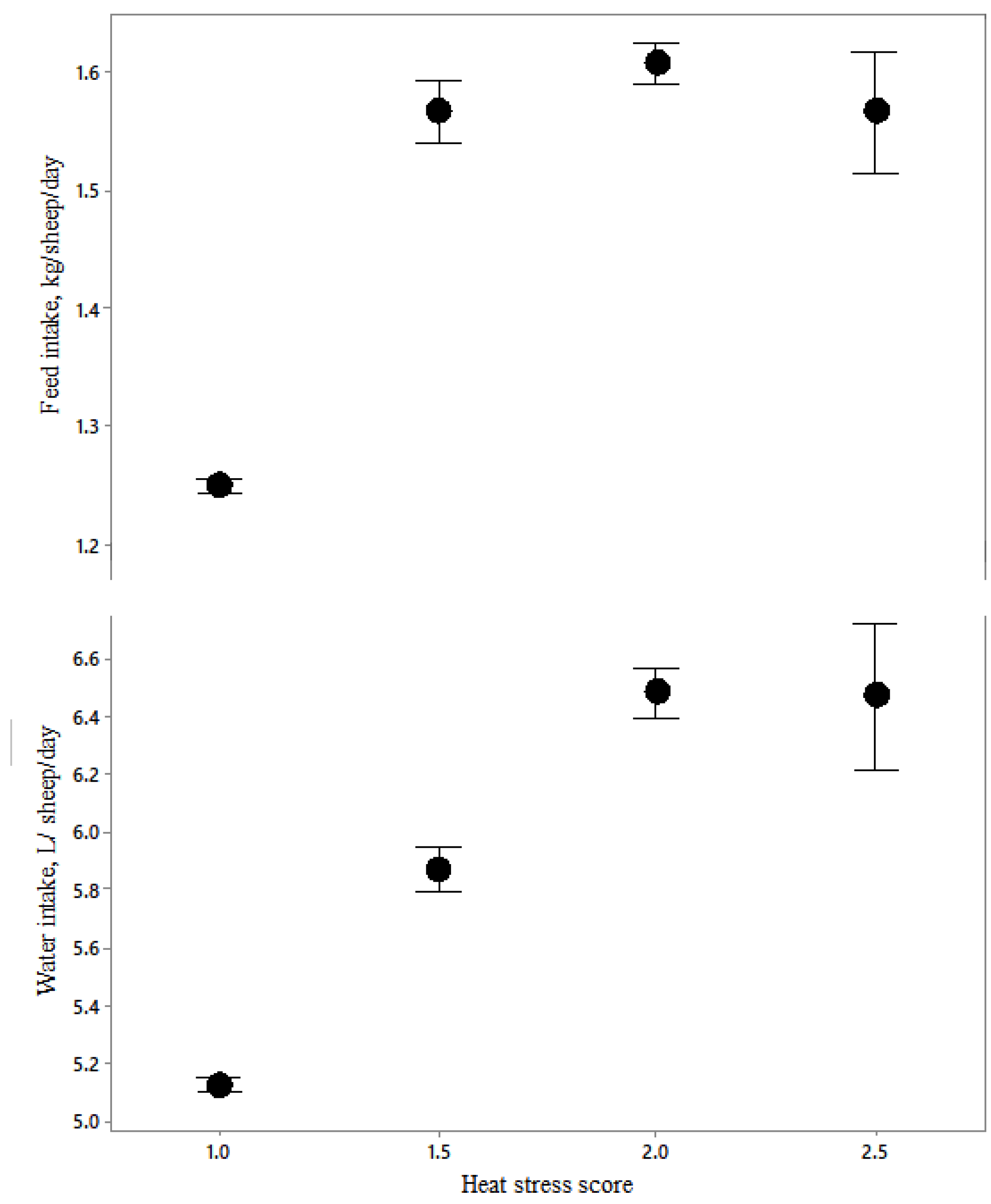
Parameters Related to Heat Stress Scores
4. Discussion
Limitations
5. Conclusions
Author Contributions
Funding
Acknowledgments
Conflicts of Interest
Appendix A
| Voyages N° | N° Tot Sheep (Head) | Departure Load Port | Duration (d) N° Total Stops | First Stop N°day Data Location-Days in Port | Second Stop N°day Data Location-Day in Port | Third Stop N°day Data Location-Day in Port | Fourth Stop N°day Data Location-Day in Port |
|---|---|---|---|---|---|---|---|
| 1 | 69,322 | 04/07/16 Fremantle | 25 4 | d 14 17/07/16 Doha-2 d | d 18 21/07/16 Kuwait-1 d | d 20 23/07/16 Dubai-1 d | d 22 25/07/16 Muscat-2 d |
| 2 | 44,999 | 15/05/17 Fremantle | 22 3 | d 15 29/05/17 Doha-2 d | d 19 02/06/17 Kuwait-3 d | d 22 05/06/17 Muscat 1 d | - |
| 3 | 63,038 | 22/06/17 Fremantle | 23 3 | d 16 07/07/17 Doha-3 d | d 19 10/07/17 Kuwait-3 d | d 23 14/07/17 Dubai-1 d | - |
| 4 | 63,804 | 02/08/17 Fremantle | 24 3 | d 15 16/08/17 Doha-1 d | d 17 18/08/17 Kuwait-4 d | d 21 22/08/17 Dubai-3 d | - |
| 5 | 59,823 | 14/09/17 Fremantle | 20 3 | d 15 28/09/17 Doha-2 d | d 18 01/10/17 Kuwait-1 d | d 20 03/10/17 Dubai-1 d | - |
| 6 | 17,917 | 15/08/16 Adelaide-Fremantle | 25 2 | d 19 02/09/16 Muscat-3 d | d 23 06/09/16 Kuwait-2 d | - | - |
| 7 | 77,998 | 14/11/17 Fremantle | 22 4 | d 15 28/11/17 Dubai-4 d | d 20 03/12/17 Kuwait-1 d | d 21 04/12/17 Doha-1 d | d 22 05/12/17 Muscat-1 d |
| 8 | 6669 | 14/11/17 Fremantle | 23 4 | d 15 28/11/17 Dubai-1 d | d 17 30/11/17 Kuwait-4 d | d 21 04/12/17 Doha-2 d | d 23 06/12/17 Muscat-1 d |
| 9 | 73,591 | 26/09/17 Fremantle | 24 4 | d 17 12/10/17 Kuwait-3 d | d 20 15/10/17 Doha-3 d | d 22 17/10/1 Duba-2 d | d 24 19/10/17 Muscat-1 d |
| 10 | 4466 | 26/09/17 Fremantle | 17 1 | d 17 12/10/17 Kuwait-2 d | - | - | - |
| 11 | 39,390 | 04/05/18 Fremantle | 24 2 | d 19 22/05/18 Eilat-2 d | d 21 24/05/18 Aqaba-1 d | - | |
| 12 | 15,325 | 04/05/18 Fremantle | 13 1 | d 13 16/05/18 Muscat-1 d | - | - | - |
| 13 | 57,208 | 10/05/18 Adelaide | 30 3 | d 24 02/06/18 Kuwait-3 d | d 27 05/06/18 Doha-2 d | d 29 07/06/18 Dubai-1 d | - |
| 14 | 57,428 | 07/06/18 Fremantle | 19 3 | d 14 20/06/18 Kuwait-3 d | d 17 23/06/18 Doha-2 d | d 19 25/06/18 Dubai-1 d | - |
References
- Department of Agriculture, Water and the Environment (DAWE) 2019. Available online: https://www.agriculture.gov.au/export/controlled-goods/live-animals/live-animal-export-statistics/reports-to-parliament (accessed on 4 March 2020).
- Food and Agriculture Organisation of the United Nations (FAOSTAT). 2016. Data. Available online: http://www.fao.org/faostat/en/#data (accessed on 4 March 2020).
- Phillips, C.J.C. The welfare of livestock during sea transport. In Long Distance Transport and Welfare of Farm Animals; Appleby, M., Cussen, V., Garces, L., Lambert, L.A., Turner, J., Eds.; CAB International: Wallingford, UK, 2008; pp. 137–156. [Google Scholar]
- Pines, M.K.; Petherick, J.C.; Gaughan, J.B.; Phillips, C.J.C. Stakeholders’ assessment of welfare indicators for sheep and cattle exported by sea from Australia. Anim. Welf. 2007, 16, 489–498. [Google Scholar]
- Zhang, Y.; Guinnefollau, L.; Sullivan, M.; Phillips, C.J.C. Behaviour and physiology of sheep exposed to ammonia at a similar concentration to those experienced by sheep during export by sea. Appl. Anim. Behav. Sci. 2018, 205, 34–43. [Google Scholar] [CrossRef]
- Santurtun, E.; Moreau, V.; Marchant-Forde, J.N.; Phillips, C.J.C. Physiological and behavioral responses of sheep to simulated sea transport motions. J. Anim. Sci. 2015, 93, 1250–1257. [Google Scholar] [CrossRef] [PubMed]
- Australian Government. Draft Report by the Independent Heat Stress Risk Assessment Technical Reference Panel. Available online: https://www.agriculture.gov.au/sites/default/files/sitecollectiondocuments/biosecurity/export/live-animals/hsra-technical-panel-draft-report.docx (accessed on 4 March 2020).
- Zhang, Y.; Phillips, C.J.C. Climatic influences on the mortality of sheep during long-distance sea transport. Animal 2018, 13, 1054–1062. [Google Scholar] [CrossRef] [PubMed]
- Alexander, G. Heat loss from sheep. In Heat Loss from Animals and Man: Assessment and Control; Monteith, J.L., Mount, L.E., Eds.; Butterworth: London, UK, 1974; pp. 176–186. [Google Scholar]
- Norris, R.T.; Richards, R.B.; Creeper, J.H.; Jubb, T.F.; Madin, B.; Kerr, J.W. Cattle deaths during sea transport from Australia. Aust. Vet. J. 2003, 81, 156–161. [Google Scholar] [CrossRef] [PubMed]
- Department of Agriculture, Water and the Environment (DAWE). Explanatory note—Decision to Extend the Prohibition of Live Sheep Exports to, or through the Middle East until 22 September, 2019 Item 27B. Available online: https://www.agriculture.gov.au/sites/default/files/sitecollectiondocuments/explanatory-note.pdf (accessed on 4 March 2020).
- Caulfield, M.P.; Cambridge, H.; Foster, S.F.; McGreevy, P.D. Heat stress: A major contributor to poor animal welfare associated with long-haul live export voyages. Vet. J. 2014, 199, 223–228. [Google Scholar] [CrossRef] [PubMed]
- Norris, R.T.; Richards, R.B. Deaths in sheep exported by sea from Western Australia analysis of ship masters’ reports. Aust. Vet. J. 1989, 66, 97–102. [Google Scholar] [CrossRef] [PubMed]
- McCarthy, M. Pilot Monitoring of Shipboard Environmental Conditions and Animal Performance; Meat and Livestock Australia: North Sydney, NSW, Australia, 2005. [Google Scholar]
- Bruce, B. Detailed Temperature and Humidity Climatology for Middle East Ports; Meat and Livestock Australia: North Sydney, Australia, 2009. [Google Scholar]
- Australian Standards for the Export of Livestock Version 2.3; (ASEL): Canberra, Australia, 2011. Available online: http://www.agriculture.gov.au/SiteCollectionDocuments/animal-plant/animal-welfare/standards/version2-3/australian-standards-v2.3.pdf (accessed on 2 April 2020).
- Ferguson, D.; Fisher, A.; White, B.; Casey, R.; Mayer, B. Review of the Livestock Export Heat Stress Risk Assessment model (HotStuff); Meat and Livestock Australia: North Sydney, Australia, 2008. [Google Scholar]
- Stacey, C. Investigations of Ventilation Efficacy on Livestock Vessels; Meat and Livestock Australia: Brisbane, Australia, 2000. [Google Scholar]
- Stacey, C. Development of a Heat Stress Risk Management Model; Meat and Livestock Australia: Brisbane, Australia, 2003. [Google Scholar]
- Australian Government. Marine Order 43 (Cargo and Handling—Livestock) 2018. Division 11.1, Section 58. Available online: https://www.legislation.gov.au/Details/F2018L00875 (accessed on 3 April 2020).
- Phillips, C.J.C. The welfare risks and impacts of heat stress on sheep shipped from Australia to the Middle East. Vet. J. 2016, 218, 78–85. [Google Scholar] [CrossRef] [PubMed]
- Marai, I.F.M.; El-Darawany, A.A.; Fadiel, A.; Abdel-Hafez, M.A.M. Physiological traits as affected by heat stress in sheep—A review. Small Rumin. Res. 2007, 71, 1–12. [Google Scholar] [CrossRef]
- Brody, S. Bioenergetics and Growth; Hafner Press: New York, NY, USA, 1945; p. 283. [Google Scholar]
- Richards, R.B.; Norris RTDunlop, R.H.; McQuade, N.C. Causes of death in sheep exported live by sea. Aust. Vet. J. 1989, 66, 33–38. [Google Scholar] [CrossRef] [PubMed]
- Matthews, J.B.R. Comparing historical and modern methods of sea surface temperature measurement—Part 1: Review of methods, field comparisons and dataset adjustments. Ocean Sci. 2013, 9, 683–694. [Google Scholar] [CrossRef]
- Kent, E.C.; Woodruff, S.D.; Berry, D.I. Metadata from WMO publication No. 47 and an assessment of voluntary observing ship observation heights in ICOADS. J. Atmos. Oceanic Technol. 2006, 24, 214–234. [Google Scholar] [CrossRef]
- Zhang, Y.; Lisle, A.; Phillips, C.J.C. Development of an effective sampling strategy for ammonia, temperature and relative humidity measurement during sheep transport by ship. Biosyst. Eng. 2017, 155, 12–23. [Google Scholar] [CrossRef]
















| Sheep Population | No. Exported/Year × 106 | No. Imported/Year × 106 | |||
|---|---|---|---|---|---|
| China | 162.1 | Sudan | 4.84 | Saudi Arabia | 7.17 |
| Australia | 67.5 | Romania | 2.55 | Kuwait | 1.18 |
| India | 64.3 | Somalia | 2.16 | Italy | 1.1 |
| Nigeria | 42.1 | Australia | 1.87 | Greece | 0.54 |
| Iran | 41.8 | Spain | 1.13 | Qatar | 0.53 |
| Sudan | 40.5 | Hungary | 0.55 | Oman | 0.40 |
| UK | 33.9 | France | 0.48 | Yemen | 0.38 |
| Ethiopia | 30.6 | Mauritania | 0.20 | France | 0.26 |
| Pakistan | 29.8 | Saudi Arabia | 0.18 | Lebanon | 0.16 |
| Indicator | Normal | Moderate | Severe |
|---|---|---|---|
| Respiration rate, breaths/min | 15–70 | 70–160 | >160 |
| Panting | None | Visible panting, some open mouth | Shallow panting, all open mouth |
| Distress | None | Some | Severe |
| Drooling | None | Some | White, sticky thick foam |
| Eating | Normal | Reduced | Unable to eat, choking and no interest in food |
| Drinking | Normal | Small regular drinks | Cannot drink without choking. Loss of interest in drinking |
| Neck position | Relaxed | Extended to improve airflow | Extended towards passageways, head over water trough |
| Movement | Normal | Reduced | Reluctant to move, crowding around railings/vents/smothering/climbing on each other |
| Stance | Normal | Front legs splayed | Front legs splayed sideways; front legs also extended forwards and back legs backwards |
| Variable 1 | No. Records | Mean | SD | Minimum | Maximum |
|---|---|---|---|---|---|
| Mortality rate %/deck/day | 3026 | 0.048 | 0.12 | 0.00 | 1.84 |
| Deck TDB, °C | 2728 | 29.8 | 4.73 | 12.0 | 43.0 |
| Deck TWB, °C | 2724 | 26.7 | 4.63 | 9.0 | 39.0 |
| Deck RH, % | 2724 | 77.4 | 10.85 | 23.0 | 93.0 |
| Deck THI | 2724 | 28.8 | 4.46 | 4.5 | 41.0 |
| Bridge TDB, °C | 3534 | 28.8 | 6.03 | 12.0 | 49.0 |
| Bridge TWB, °C | 3534 | 24.8 | 5.08 | 8.0 | 40.0 |
| Bridge Relative humidity, % | 3534 | 71.9 | 12.58 | 15.0 | 92.0 |
| Bridge THI | 3534 | 27.5 | 5.22 | 12.2 | 41.5 |
| Feed intake, kg/sheep/day | 3581 | 1.34 | 0.22 | 0.8 | 2.0 |
| Water intake, L/sheep/day | 3573 | 5.22 | 0.91 | 1.63 | 7.2 |
| Variable | F-Value | p-Value |
|---|---|---|
| Day of voyage | 23.22 | <0.0001 |
| Sheep number, head/deck | 17.19 | <0.0001 |
| Deck TWB, °C | 22.08 | <0.0001 |
| Water intake, L/head/day | 20.31 | <0.0001 |
| Exporter | 2.67 | 0.014 |
| Faeces score | 41.06 | <0.0001 |
| Day of voyagex sheep number | 18.53 | <0.0001 |
| Day of voyage × Deck TWB | 23.89 | <0.0001 |
| Day of voyage × Water intake | 22.17 | <0.0001 |
| Sheep number × Deck TWB | 16.02 | <0.0001 |
| Sheep number × Water intake | 13.96 | <0.0001 |
| Deck TWB × Water intake | 19.50 | <0.0001 |
| Day of voyage × Exporter | 7.01 | <0.0001 |
| Day of voyage × Deck number | 6.13 | <0.0001 |
| Heat Stress Score | Odds Ratio | % 95 CI | Coef | p-Value | |
|---|---|---|---|---|---|
| Lower | Upper | ||||
| Water intake, L/sheep/day | 0.37 | 0.18 | 0.75 | −0.997216 | 0.005 |
| Feed intake, kg/sheep/day | 0.00 | 0.00 | 0.00 | −8.10772 | <0.0001 |
| Bridge TWB, °C | 0.31 | 0.14 | 0.72 | −1.15803 | 0.006 |
| Vessel humidity, % | 1.18 | 1.03 | 1.37 | 0.169587 | 0.021 |
© 2020 by the authors. Licensee MDPI, Basel, Switzerland. This article is an open access article distributed under the terms and conditions of the Creative Commons Attribution (CC BY) license (http://creativecommons.org/licenses/by/4.0/).
Share and Cite
Carnovale, F.; Phillips, C.J.C. The Effects of Heat Stress on Sheep Welfare during Live Export Voyages from Australia to the Middle East. Animals 2020, 10, 694. https://doi.org/10.3390/ani10040694
Carnovale F, Phillips CJC. The Effects of Heat Stress on Sheep Welfare during Live Export Voyages from Australia to the Middle East. Animals. 2020; 10(4):694. https://doi.org/10.3390/ani10040694
Chicago/Turabian StyleCarnovale, Francesca, and Clive J. C. Phillips. 2020. "The Effects of Heat Stress on Sheep Welfare during Live Export Voyages from Australia to the Middle East" Animals 10, no. 4: 694. https://doi.org/10.3390/ani10040694
APA StyleCarnovale, F., & Phillips, C. J. C. (2020). The Effects of Heat Stress on Sheep Welfare during Live Export Voyages from Australia to the Middle East. Animals, 10(4), 694. https://doi.org/10.3390/ani10040694
