Effects of Microencapsulated Blend of Organic Acids and Essential Oils as a Feed Additive on Quality of Chicken Breast Meat
Simple Summary
Abstract
1. Introduction
2. Materials and Methods
2.1. Experimental Design and Diets
2.2. Slaughter Procedures and Meat Sampling
2.3. Analyses of Feeds
2.4. Determination of pH, Drip and Cooking Losses
2.5. Intramuscular Fatty Acid Composition
2.6. Meat Shelf-Life
2.7. Statistical Analyses
3. Results
3.1. Slaughter Performances and Physical Characteristics of Meat
3.2. Intramuscular Fatty Acid Composition
3.3. Microbiological Results
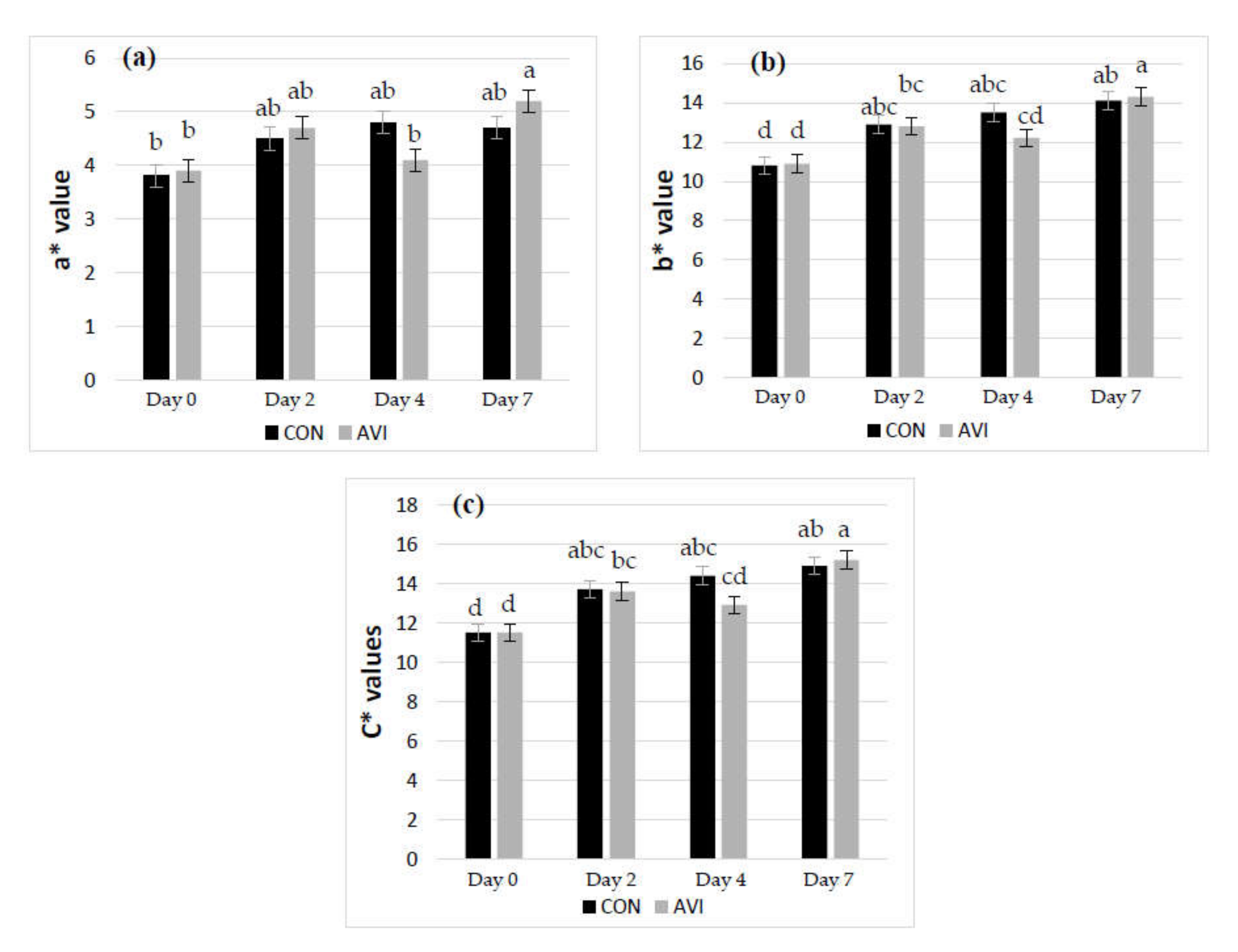
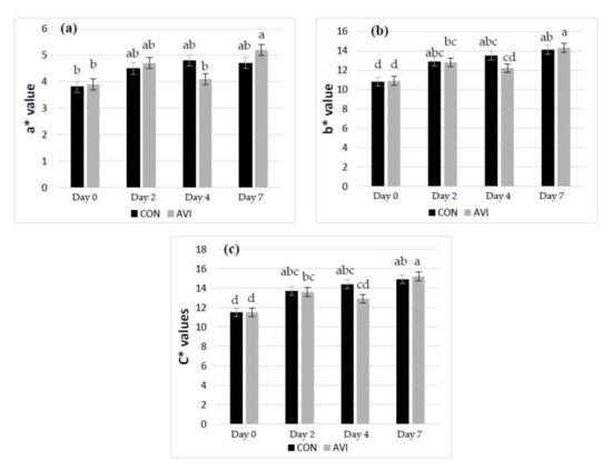
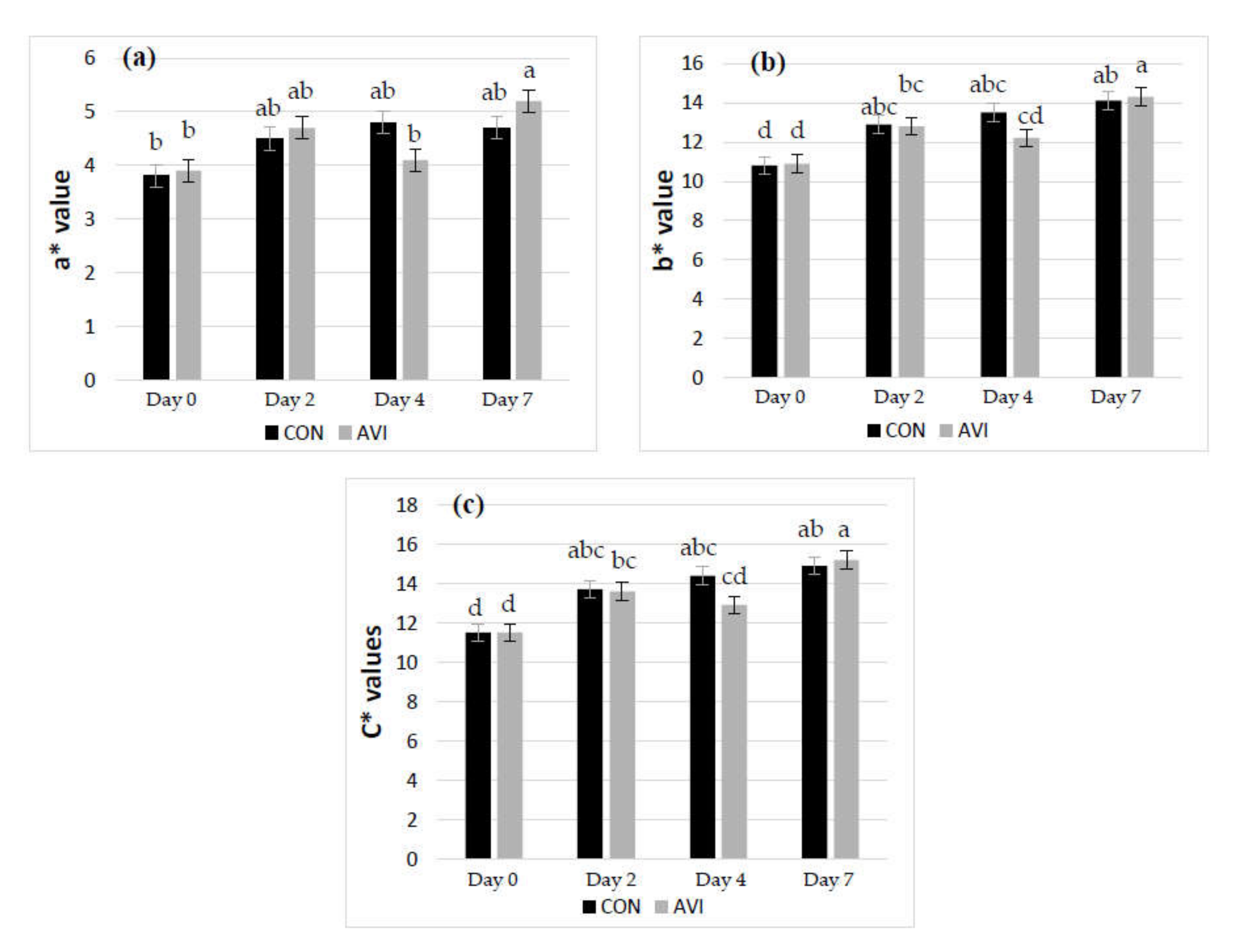
3.4. Meat Oxidative Stability
4. Discussion
5. Conclusions
Supplementary Materials
Author Contributions
Funding
Acknowledgments
Conflicts of Interest
References
- OECD (2019), “Meat consumption” (indicator). Available online: https://doi.org/10.1787/fa290fd0-en (accessed on 27 December 2019).
- Iannetti, L.; Neri, D.; Santarelli, G.A.; Cotturone, G.; Podaliri Vulpiani, M.; Salini, R.; Antoci, S.; Di Serafino, G.; Di Giannatale, E.; Pomilio, F.; et al. Animal welfare and microbiological safety of poultry meat: Impact of different at-farm animal welfare levels on at-slaughterhouse Campylobacter and Salmonella contamination. Food Control 2020, 109, 106921. [Google Scholar] [CrossRef]
- Doulgeraki, A.; Ercolini, D.; Villani, F.; Nychas, G.E. Spoilage microbiota associated to the storage of raw meat in different conditions. Int. J. Food Microbiol. 2012, 157, 130–141. [Google Scholar] [CrossRef]
- Rouger, A.; Tresse, O.; Zagorec, M. Bacterial contaminants of poultry meat: Sources, species, and dynamics. Microorganims 2017, 5, 50. [Google Scholar] [CrossRef]
- Igene, J.O.; Pearson, A.M. Role of phospholipids and triglycerides in warmed-over flavour development in meat model systems. J. Food Sci. 1979, 44, 1285–1290. [Google Scholar] [CrossRef]
- Sheehy, P.J.A.; Morrissey, P.A.; Buckley, D.J. Advances in research and application of vitamin E as an antioxidant for poultry meat. Poult. Meat Qual. 1995, 89, 425–433. [Google Scholar]
- Kolakowska, A. Lipid oxidation in food systems. In Chemical and Functional Properties of Food Lipids; Chapter 8; Sikorski, Z., Kolakowska, A., Eds.; CRC Press: London, UK, 2002; pp. 133–165. [Google Scholar]
- Morrisey, P.A.; Sheehy, P.J.A.; Galvin, K.; Kerry, J.P.; Buckley, D.J. Lipid stability in meat and meat products. Meat Sci. 1998, 49, 73–86. [Google Scholar] [CrossRef]
- Botsoglou, N.A.; Christaki, E.; Florou-Paneri, P.; Giannenas, I.; Papageorgiou, G.; Spais, A. The effect of a mixture of herbal essential oils or α-tocopheryl acetate on performance parameters and oxidation of body lipids in broilers. S. Afr. J. Anim. Sci. 2004, 34, 52–61. [Google Scholar] [CrossRef]
- Govaris, A.; Botsoglou, E.; Florou-Paneri, P.; Moulas, A.; Papageorgiou, G. Dietary supplementation of oregano essential oil and α-tocopheryl acetate on microbial growth and lipid oxidation of turkey breast fillets during storage. Int. J. Poult. Sci. 2005, 4, 4–975. [Google Scholar]
- Luna, A.; Labaque, M.C.; Zygadlo, J.A.; Marin, R.H. Effects of thymol and carvacrol feed supplementation on lipid oxidation in broiler meat. Poultr. Sci. 2010, 89, 366–370. [Google Scholar] [CrossRef]
- Lauridsen, C.; Buckley, D.J.; Morrissey, P.A. Influence of dietary fat and vitamin E supplementation on α-tocopherol levels and fatty acid profiles in chicken muscle membrane fractions and on susceptibility to lipid peroxidation. Meat Sci. 1997, 46, 9–22. [Google Scholar] [CrossRef]
- Hugo, C.; Hugo, A. Current trends in natural preservatives for fresh sausage products. Trends Food Sci. Technol. 2015, 45, 12–23. [Google Scholar] [CrossRef]
- Zhang, H.; Wu, J.; Guo, X. Effects of antimicrobial and antioxidant activities of spice extracts on raw chicken meat quality. Food Sci. Hum. Wellness 2016, 5, 39–48. [Google Scholar] [CrossRef]
- Zhai, H.; Liu, H.; Wang, S.; Wu, J.; Kluenter, A.M. Potential of essential oils for poultry and pigs. Anim. Nutr. 2018, 4, 179–186. [Google Scholar] [CrossRef] [PubMed]
- Luna, A.; Lema-Alba, R.C.; Dambolena, J.S.; Zygadlo, J.A.; Labaque, M.C.; Marin, R.H. Thymol as natural antioxidant additive for poultry feed: oxidative stability improvement. Poultr. Sci. 2017, 96, 3214–3220. [Google Scholar] [CrossRef] [PubMed]
- Lambert, R.J.; Skandamis, W.P.N.; Coote, P.J.; Nychas, G.J.E. A study of the minimum inhibitory concentration and mode of action of oregano essential oil, thymol and carvacrol. J. Appl. Microbiol. 2001, 91, 453–462. [Google Scholar] [CrossRef] [PubMed]
- Yanishlieva, N.V. Inhibiting oxidation. In Antioxidants in Food. Practical Applications; Woodhead Publishing Limited: Cambridge, UK, 2001; pp. 22–70. [Google Scholar]
- Piva, A.; Pizzamiglio, V.; Morlacchini, M.; Tedeschi, M.; Piva, G. Lipid microencapsulation allows slow release of organic acids and natural identical flavors along the swine intestine. J. Anim. Sci. 2007, 85, 486–493. [Google Scholar] [CrossRef] [PubMed]
- Lee, W.K.; Everts, H.; Beynen, A.C. Essential oils in broiler nutrition. Int. J. Poult. Sci. 2004, 3, 738–752. [Google Scholar]
- Doležalová, M.; Molatová, Z.; Bunka, F.; Brezina, P.; Marounek, M. Effect of organic acids on growth of chilled chicken skin microflora. J. Food Saf. 2009, 30, 353–365. [Google Scholar] [CrossRef]
- Hu, S.; Yu, J.; Wang, Z.; Li, L.; Du, Y.; Wang, L.; Liu, Y. Effects of sorbic acid-chitosan microcapsules as antimicrobial agent on the properties of ethylene vinyl alcohol copolymer film for food packaging. J. Food Sci. 2017, 82, 1451–1460. [Google Scholar] [CrossRef]
- Boltona, D.J.; Mereditha, H.; Walsha, D.; McDowell, D.A. The effect of chemical treatments in laboratory and broiler plant studies on the microbial status and shelf-life of poultry. Food Control 2014, 36, 230–237. [Google Scholar] [CrossRef]
- Beier Ross, C.; Byrd, J.A.; Caldwell, D.; Andrews, K.; Crippen, T.L.; Anderson, R.C.; Nisbet, D.J. Inhibition and interactions of Campylobacter jejuni from broiler chicken houses with organic acids. Microorganisms 2019, 7, 223. [Google Scholar] [CrossRef] [PubMed]
- Grilli, E.; Messina, M.R.; Tedeschi, M.; Piva, A. Feeding a microencapsulated blend of organic acids and nature identical compounds to weaning pigs improved growth performance and intestinal metabolism. Livest. Sci. 2010, 133, 173–175. [Google Scholar] [CrossRef]
- Suiryanrayna, M.V.A.N.; Ramana, J.V. A review of the effects of dietary organic acids fed to swine. J. Anim. Sci. Biotechnol. 2015, 6, 45. [Google Scholar] [CrossRef] [PubMed]
- European Commission, Commission Implementing Regulation (EU) No 849/2012. Official Journal of the European Union L 253/8 20.9.2012. Available online: https://eur-lex.europa.eu/LexUriServ/LexUriServ.do?uri=OJ:L:2012:253:0008:0010:EN:PDF. (accessed on 27 March 2020).
- Grilli, E.; Tugnoli, B.; Passey, J.L.; Stahl, C.H.; Piva, A.; Moeser, A.J. Impact of dietary organic acids and botanicals on intestinal integrity and inflammation in weaned pigs. BMC Vet. Res. 2015, 11, 96. [Google Scholar] [CrossRef] [PubMed]
- Gheisar, M.M.; Hosseindoust, A.; Kim, I.H. Evaluating the effect of microencapsulated blends of organic acids and essential oils in broiler chickens diet. J. Appl. Poultry Res. 2015, 24, 511–519. [Google Scholar] [CrossRef]
- Stamilla, A.; Messina, A.; Sallemi, S.; Condorelli, L.; Antoci, F.; Puleio, R.; Loria, G.R.; Cascone, G.; Lanza, M. Effects of Microencapsulated Blends of Organics Acids (OA) and Essential Oil (OA) as Feed Additive for Broiler Chickens. A Focus on Growth Performance, Gut Morphology and Microbiology. Animals 2020, 10, 442. [Google Scholar] [CrossRef]
- NRC. Nutrient Requirement of Poultry; National Academy Press: Washington DC, USA, 1994. [Google Scholar]
- European Commission. Commission Regulation (EC) No 152/2009 of 27 January 2009 Laying down the Methods of Sampling and Analysis for the Official Control of Feed (Text with EEA Relevance); European Commission: Brussels, Belgium, 2009. [Google Scholar]
- Valenti, B.; Luciano, G.; Morbidini, L.; Rossetti, U.; Codini, M.; Avondo, M.; Priolo, A.; Bella, M.; Natalello, A.; Pauselli, M. Dietary pomegranate pulp: effect on ewe milk quality during late lactation. Animals 2019, 9, 283. [Google Scholar] [CrossRef]
- Valenti, B.; Luciano, G.; Pauselli, M.; Mattioli, S.; Biondi, L.; Priolo, A.; Natalello, A.; Morbidini, L.; Lanza, M. Dried tomato pomace supplementation to reduce lamb concentrate intake: Effects on growth performance and meat quality. Meat Sci. 2018, 145, 63–70. [Google Scholar] [CrossRef]
- Marcinkowska-Lesiak, M.; Zdanowska-Sąsiadek, Ż.; Stelmasiak, A.; Damaziak, K.; Michalczuk, M.; Poławska, E.; Wyrwisz, J.; Wierzbicka, A. Effect of packaging method and cold-storage time on chicken meat quality. CyTA J. Food 2016, 14, 41–46. [Google Scholar] [CrossRef]
- Alves, L.A.A.D.S.; Lorenzo, J.M.; Gonçalves, C.A.A.; Santos, B.A.D.; Heck, R.T.; Cichoski, A.J.; Campagnol, P.C.B. Production of healthier Bologna type sausages using pork skin and green banana flour as a fat replacer. Meat Sci. 2016, 121, 73–78. [Google Scholar] [CrossRef]
- Natalello, A.; Luciano, G.; Morbidini, L.; Valenti, B.; Pauselli, M.; Frutos, P.; Biondi, L.; Rufino-Moya, P.J.; Lanza, M.; Priolo, A. Effect of feeding pomegranate byproduct on fatty acid composition of ruminal digesta, liver, and muscle in lambs. J. Agr. Food Chem. 2019, 67, 4472–4482. [Google Scholar] [CrossRef] [PubMed]
- Ulbricht, T.L.V.; Southgate, D.A.T. Coronary heart disease: seven dietary factors. The Lancet 1991, 338, 985–992. [Google Scholar] [CrossRef]
- International Organization for Standardization. Microbiology of the Food Chain—Horizontal Method for the Detection and Enumeration of Campylobacter spp.; ISO 10272-1 (E); International Organization for Standardization: Geneva, Switzerland, 2017. [Google Scholar]
- International Organization for Standardization. Microbiology of the Food Chain—Horizontal Method for the Detection and Enumeration of Listeria monocytogenes and Listeria spp.; ISO 11290-1 (E); International Organization for Standardization: Geneva, Switzerland, 2017. [Google Scholar]
- International Organization for Standardization. Microbiology of the Food Chain—Horizontal Method for the Detection, Enumeration and Serotyping of Salmonella; ISO 6579-1 (E); International Organization for Standardization: Geneva, Switzerland, 2017. [Google Scholar]
- Luciano, G.; Natalello, A.; Mattioli, S.; Pauselli, M.; Sebastiani, B.; Niderkorn, V.; Copani, G.; Benhissi, H.; Amanpour, A.; Valenti, B. Feeding lambs with silage mixtures of grass, sainfoin and red clover improves meat oxidative stability under high oxidative challenge. Meat Sci. 2019, 156, 59–67. [Google Scholar] [CrossRef] [PubMed]
- Sinnhuber, R.O.; Yu, T.C. The 2-thiobarbituric acid reaction, an objective measure of the oxidative deterioration occurring in fats and oils. J. Jpn Soc. Fish Sci. 1977, 26, 259–267. [Google Scholar] [CrossRef]
- Natalello, A.; Priolo, A.; Valenti, B.; Codini, M.; Mattioli, S.; Pauselli, M.; Puccio, M.; Lanza, M.; Stergiadis, S.; Luciano, G. Dietary pomegranate by-product improves oxidative stability of lamb meat. Meat Sci. 2020, 162, 108037. [Google Scholar] [CrossRef] [PubMed]
- Grilli, E.; Vitari, F.; Domeneghini, C.; Palmonari, A.; Tosi, G.; Fantinati, P.; Massi, P.; Piva, A. Development of a feed additive to reduce caecal Campylobacter jejuni in broilers at slaughter age: From in vitro to in vivo, a proof of concept. J. Appl. Microbiol. 2013, 114, 308–317. [Google Scholar] [CrossRef]
- Swatland, H.J. How pH causes paleness or darkness in chicken breast meat. Meat Sci. 2008, 80, 396–400. [Google Scholar] [CrossRef]
- Petracci, M.; Baéza, E. Harmonization of methodologies for the assessment of poultry meat quality features. World’s Poultry Sci. J. 2011, 67, 137–151. [Google Scholar] [CrossRef]
- Radha Krishnan, K.; Babuskin, S.; Azhagu Saravana Babu, P.; Sasikala, M.; Sabina, K.; Archana, G.; Sivarajan, M.; Sukumar, M. Antimicrobial and antioxidant effects of spice extracts on the shelf life extension of raw chicken meat. Int. J. Food Microbiol. 2014, 171, 32–40. [Google Scholar] [CrossRef]
- Xue, S.; Hu, J.; Cheng, H.; Brad Kim, Y.H. Effects of probiotic supplementation and postmortem storage condition on the oxidative stability of Pectoralis major of laying hens. Poultr. Sci. 2019, 0, 1–12. [Google Scholar] [CrossRef]
- Yanishlieva, N.V.; Marinova, E.M.; Gordon, M.H.; Raneva, V.G. Antioxidant activity and mechanism of action of thymol and carvacrol in two lipid systems. Food Chem. 1999, 64, 59–66. [Google Scholar] [CrossRef]
- Muppalla, S.R.; Chawla, S.P. Effect of gum Arabic-polyvinyl alcohol films containing seed cover extract of Zanthoxylum rhetsa on shelf life of refrigerated ground chicken meat. J. Food Saf. 2018, 38, 1–10. [Google Scholar] [CrossRef]
- Yang, H.J.; Lee, J.H.; Lee, K.Y.; Bin Song, K. Antimicrobial effect of an Undaria pinnatifida composite film containing vanillin against Escherichia coli and its application in the packaging of smoked chicken breast. Int. J. Food Sci. Technol. 2016, 52, 398–403. [Google Scholar] [CrossRef]
- Gratta, F.; Fasolato, L.; Birolo, M.; Zomeño, C.; Novelli, E.; Petracci, M.; Pascual, A.; Xiccato, G.; Trocino, A. Effect of breast myopathies on quality and microbial shelf life of broiler meat. Poultr. Sci. 2019, 98, 2641–2651. [Google Scholar] [CrossRef] [PubMed]
- International Commission on the Microbiological Specifications for Foods (ICMSF). Microorganisms in Foods 2. Sampling for Microbiological Analysis: Principles and Specific Applications, 2nd ed; Blackwell Scientific Publications: London, UK, 1986. [Google Scholar]
- Chouliara, E.; Karatapanis, A.; Savvaidis, I.N.; Kontominas, M.G. Combined effect of oregano essential oil and modified atmosphere packaging on shelf-life extension of fresh chicken breast meat, stored at 4 degrees. Food Microbiol. 2007, 24, 607–617. [Google Scholar] [CrossRef] [PubMed]
- Mancabelli, L.; Ferrario, C.; Milani, C.; Mangifesta, M.; Turroni, F.; Duranti, S.; Lugli, G.A.; Viappiani, A.; Ossiprandi, M.C.; van Sinderen, D.; et al. Insights into the biodiversity of the gut microbiota of broiler chickens. Environ. Microbiol. 2016, 18, 4727–4738. [Google Scholar] [CrossRef]
- Ranjitkar, S.; Lawley, B.; Tannock, G.; Engberg, R.M. Bacterial succession in the broiler gastrointestinal tract. Appl. Environ. Microbiol. 2016, 82, 2399–2410. [Google Scholar] [CrossRef]
- Millar, S.J.; Moss, B.W.; Stevenson, M.H. The effect of ionising radiation on the colour of leg and breast of poultry meat. Meat Sci. 2000, 55, 361–370. [Google Scholar] [CrossRef]
- Millar, S.; Wilson, R.; Moss, B.W.; Ledward, D.A. Oxymyoglobin formation in meat and poultry. Meat Sci. 1994, 36, 397–406. [Google Scholar] [CrossRef]
- MacDougall, D.B. Instrumental Assessment of the Appearance of Foods. In Sensory Quality of Food and Beverages; Williams, A.A., Atkin, R.K., Eds.; Ellis Horwood: Chichester, UK, 1983; pp. 121–139. [Google Scholar]
- Kingston, E.R.; Monahan, F.J.; Buckley, D.J.; Lynch, P.B. Lipid oxidation in cooked pork as effected by vitamin E, cooking and storage conditions. J. Food Sci. 1998, 63, 386–389. [Google Scholar] [CrossRef]



| Item | Diet | |||
|---|---|---|---|---|
| Starter (0–12 days) | Grower 1 (12–26 days) | Grower 2 (26–35 days) | Finisher (35–47days) | |
| Ingredients, g/100g as fed | ||||
| Corn | 35 | 50 | 51 | 50 |
| Soybean meal 48% | 27.2 | 28.9 | 26 | 23.5 |
| Soybean | 10 | 3 | 2 | 2 |
| Wheat | 10 | 0 | 0 | 0 |
| Wheat pollard | 9 | 9 | 10 | 15 |
| Animal Fat | 3.9 | 4.5 | 6.4 | 5.3 |
| Dicalcium Phosphate | 1.8 | 1.5 | 1.5 | 1.2 |
| Mineral premix 1 | 0.6 | 0.6 | 0.6 | 0.6 |
| Vitamin premix 2 | 0.1 | 0.1 | 0.1 | 0.1 |
| Calcium carbonate | 0.7 | 0.6 | 0.6 | 0.5 |
| Phosphate dicalcium | 11.1 | 11.3 | 10.7 | 10.5 |
| Chemical composition, g/100g DM | ||||
| Dry matter (DM), g/100g as fed | 88.9 | 88.6 | 89.3 | 90.1 |
| Crude protein | 21.5 | 19.7 | 18.8 | 18.5 |
| Lipid | 8.99 | 7.23 | 7.75 | 7.86 |
| Crude fibre | 3.65 | 3.07 | 3.38 | 3.35 |
| Ash | 5.59 | 5.61 | 5.82 | 5.34 |
| Calcium | 0.87 | 0.84 | 0.78 | 0.63 |
| Sodium | 0.18 | 0.16 | 0.17 | 0.17 |
| Phosphorus | 0.61 | 0.61 | 0.59 | 0.55 |
| Lysine, Lys | 1.37 | 1.44 | 1.42 | 1.29 |
| Methionine, Met | 0.75 | 0.76 | 0.70 | 0.58 |
| Metabolizable energy (kcal/kg) | 3201 | 3060 | 3062 | 3060 |
| Fatty acids, g/100g of total FA | ||||
| C14:0 | 1.41 | 1.08 | 1.25 | 1.02 |
| C16:0 | 18.8 | 19.1 | 18.8 | 17.3 |
| C16:1 cis-9 | 1.42 | 1.72 | 1.55 | 1.59 |
| C18:0 | 9.29 | 9.12 | 9.38 | 7.89 |
| C18:1 cis-9 | 25.9 | 26.6 | 26.9 | 25.0 |
| C18:2 cis-9 cis-12 | 26.8 | 25.8 | 24.3 | 22.6 |
| Phenolic compounds 3, g/kg DM | ||||
| Total Phenols | 8.85 | 7.39 | 6.56 | 7.2 |
| Total Tannins | 6.14 | 4.13 | 3.77 | 4.66 |
| Item | Dietary Treatment 1 | SEM 2 | p-Value 3 | |
|---|---|---|---|---|
| CON | AVI | |||
| Carcass yield (%) | 67.70 | 67.45 | 0.824 | 0.898 |
| Breast yield (%) | 34.49 | 33.60 | 0.489 | 0.420 |
| Thigh yield (%) | 43.37 | 44.13 | 0.333 | 0.299 |
| Wings yield (%) | 18.93 | 18.95 | 0.137 | 0.962 |
| pH of raw meat (at 24 h) | 5.93 | 6.02 | 0.029 | 0.118 |
| pH of cooked meat | 6.03 | 6.023 | 0.024 | 0.892 |
| Drip loss at 72 h (%) | 4.97 | 5.41 | 0.468 | 0.650 |
| Cooking loss (%) | 28.0 | 27.3 | 0.741 | 0.660 |
| Item | Dietary Treatment 1 | SEM 2 | p-Value | |
|---|---|---|---|---|
| CON | AVI | |||
| IMF 3 (g/100g of muscle) | 2.45 | 1.79 | 0.158 | 0.034 |
| C10:0 | 0.13 | 0.17 | 0.032 | 0.539 |
| C12:0 | 0.62 | 0.45 | 0.065 | 0.205 |
| C14:0 | 12.8 | 7.89 | 1.257 | 0.046 |
| C14:1 cis-9 | 1.84 | 1.17 | 0.194 | 0.088 |
| C15:0 | 2.40 | 1.54 | 0.230 | 0.062 |
| C16:0 | 268 | 191 | 24.98 | 0.127 |
| C17:0 iso | 1.10 | 0.62 | 0.104 | 0.018 |
| C16:1 trans-9 | 0.42 | 0.23 | 0.037 | 0.008 |
| C17:0 anteiso | 2.92 | 3.61 | 0.555 | 0.546 |
| C16:1 cis-9 | 40.6 | 28.1 | 4.100 | 0.131 |
| C17:0 | 4.03 | 2.59 | 0.388 | 0.061 |
| C18:0 | 113 | 83.4 | 9.799 | 0.141 |
| Ʃ C18:1 trans-6, 7, 8 | 0.14 | 0.09 | 0.021 | 0.219 |
| C18:1 trans-9 | 2.10 | 1.65 | 0.282 | 0.436 |
| C18:1 trans-10 | 1.81 | 0.90 | 0.201 | 0.020 |
| C18:1 trans-11 | 3.00 | 2.23 | 0.317 | 0.228 |
| C18:1 cis-6 | 1.26 | 1.07 | 0.173 | 0.601 |
| C18:1 cis-9 | 210 | 277 | 51.10 | 0.525 |
| C18:1 cis-11 | 79.3 | 39.4 | 16.01 | 0.220 |
| C18:2 trans-9 trans-12 | 0.03 | 0.13 | 0.025 | 0.038 |
| C18:2 cis-9 cis-12 | 241 | 182 | 23.86 | 0.229 |
| C20:0 | 1.89 | 0.68 | 0.211 | 0.002 |
| C18:3 cis-6 cis-9 cis-12 | 1.25 | 0.94 | 0.137 | 0.265 |
| C20:1 cis-11 | 4.55 | 3.24 | 0.447 | 0.145 |
| C18:3 cis-9 cis-12 cis-15 | 13.9 | 10.3 | 1.539 | 0.254 |
| C20:2 cis-11 cis-14 | 3.93 | 3.19 | 0.307 | 0.233 |
| C22:0 | 0.06 | 0.10 | 0.027 | 0.467 |
| C20:3 n-6 | 4.55 | 3.20 | 0.321 | 0.310 |
| C22:1 cis-13 | 0.25 | 0.26 | 0.029 | 0.944 |
| C20:3 n-3 | 0.33 | 0.33 | 0.055 | 0.989 |
| C20:4 n-6 | 24.6 | 20.5 | 1.505 | 0.182 |
| C22:2 n-6 | 0.02 | 0.11 | 0.024 | 0.048 |
| C20:5 n-3 | 1.59 | 0.88 | 0.124 | 0.002 |
| C22:4 n-6 | 6.23 | 5.22 | 0.447 | 0.269 |
| C22:5 n-6 | 0.78 | 0.75 | 0.070 | 0.792 |
| C22:5 n-3 | 5.41 | 4.45 | 0.372 | 0.208 |
| C22:6 n-3 | 7.01 | 5.57 | 0.521 | 0.174 |
| Ʃ SFA 4 | 396 | 284 | 36.18 | 0.124 |
| Ʃ MUFA 5 | 352 | 360 | 59.14 | 0.945 |
| Ʃ PUFA 6 | 306 | 235 | 27.71 | 0.203 |
| Ʃ PUFA n-3 | 28.2 | 21.5 | 2.281 | 0.147 |
| Ʃ PUFA n-6 | 278 | 213 | 25.51 | 0.209 |
| SFA/PUFA | 1.28 | 1.20 | 0.018 | 0.028 |
| n-6/ n-3 | 9.80 | 9.58 | 0.261 | 0.687 |
| AI 7 | 0.57 | 0.40 | 0.035 | 0.010 |
| TI 8 | 1.10 | 0.84 | 0.055 | 0.013 |
| Microbial Groups | Dietary Treatment (D) 1 | Storage Time (T) | SEM 2 | p-Value 3 | ||||||
|---|---|---|---|---|---|---|---|---|---|---|
| CON | AVI | 0 | 4 | 7 | 11 | D | T | D x T | ||
| Enterobacteriaceae | 6.940 | 7.191 | 4.008 d | 6.582 c | 8.013 b | 9.657 a | 0.316 | 0.416 | <0.001 | 0.521 |
| Escherichia coli | 2.019 | 1.641 | 1.451 | 2.379 | 2.654 | n.d. | 0.295 | 0.789 | 0.017 4 | 0.385 |
| Faecal coliforms | 3.539 | 3.892 | 2.045 b | 2.982 b | 2.595 b | 7.238 a | 0.383 | 0.761 | <0.001 | 0.718 |
| Enterococcus spp. | 4.351 | 5.027 | 1.449 c | 4.335 b | 6.088 a | 6.881 a | 0.362 | 0.373 | <0.001 | <0.001 |
| Mesophilic bacteria | 7.072 | 7.218 | 4.206 d | 6.559 c | 8.194 b | 9.619 a | 0.304 | 0.726 | <0.001 | 0.031 |
| Psychrotrophic bacteria | 6.207 | 5.772 | 2.599 d | 6.006 c | 7.057 b | 8.294 a | 0.324 | 0.149 | <0.001 | 0.008 |
| Coagulase-positive staphylococci | 5.552 | 4.916 | 3.316 b | 5.611 a | 6.242 a | 5.764 a | 0.263 | 0.439 | <0.001 | 0.023 |
| Coagulase negative staphylococci | 5.087 | 4.885 | 3.065 c | 4.345 b | 6.045 a | 6.495 a | 0.406 | 0.698 | <0.001 | 0.080 |
| Lactic Acid Bacteria | 4.059 | 4.197 | 1.846 c | 3.776 b | 5.275 a | 5.612 a | 0.277 | 0.887 | <0.001 | 0.026 |
| Lactococcus spp. | 4.516 | 4.657 | 1.346 b | 5.567 a | 5.828 a | 5.601 a | 0.314 | 0.844 | <0.001 | 0.570 |
| Yeasts/Moulds | 7.143 | 7.121 | 3.772 d | 6.203 c | 8.642 b | 9.908 a | 0.353 | 0.958 | <0.001 | 0.037 |
| Item | Dietary Treatment (D) 1 | Storage Time (T) 2 | SEM3 | p-Value 4 | ||||||
|---|---|---|---|---|---|---|---|---|---|---|
| CON | AVI | 0 | 1 | 2 | 3 | D | T | D x T | ||
| Raw meat | ||||||||||
| TBARS, mg/kg | 0.88 | 0.84 | 0.76 c | 0.84 bc | 0.89 ab | 0.96 a | 0.015 | 0.441 | <0.001 | 0.817 |
| L* values | 49.7 | 49.7 | 48.9 b | 49.1 b | 47.3 b | 53.5 a | 0.480 | 0.994 | <0.001 | 0.874 |
| a* values | 2.97 | 3.59 | 2.35 b | 2.03 b | 2.55 b | 6.18 a | 0.210 | 0.075 | <0.001 | 0.560 |
| b* values | 6.20 | 6.96 | 3.40 c | 4.42 bc | 5.76 b | 12.7 a | 0.439 | 0.284 | <0.001 | 0.490 |
| C* values | 7.24 | 7.87 | 4.19 c | 4.89 c | 6.96 b | 14.2 a | 0.461 | 0.274 | <0.001 | 0.190 |
| H* values | 64.8 | 61.4 | 52.8 b | 65.7 a | 69.8 a | 64.0 a | 0.141 | 0.141 | <0.001 | 0.338 |
| (K/S)572 ÷ (K/S)525 | 0.97 | 0.95 | 1.02 a | 1.00 a | 0.99 a | 0.82 b | 0.010 | 0.051 | <0.001 | 0.428 |
| ΔE 5 values | 6.76 | 6.56 | - | 2.91 c | 4.97 b | 12.1 a | 0.577 | 0.806 | <0.001 | 0.291 |
| Whiteness index (WI) | 48.9 | 48.9 | 48.7 ab | 48.8 ab | 46.8 b | 51.2 a | 0.408 | 0.941 | <0.001 | 0.923 |
| Cooked meat | ||||||||||
| TBARS, mg/kg | 5.10 | 4.00 | 1.20 d | 3.80 c | 5.60 b | 7.70 a | 0.310 | 0.004 | <0.001 | 0.368 |
| L* values | 80.3 | 80.6 | 82.8 a | 79.5 b | 80.3 b | 79.3 b | 0.279 | 0.639 | <0.001 | 0.214 |
| a* values | 4.45 | 4.47 | 3.83 b | 4.60 a | 4.42 ab | 4.99 a | 0.095 | 0.941 | <0.001 | 0.049 |
| b* values | 12.9 | 12.5 | 10.9 c | 12.8 b | 12.9 b | 14.2 a | 0.167 | 0.311 | <0.001 | 0.020 |
| C* values | 13.6 | 13.3 | 11.5 c | 13.7 b | 13.6 b | 15.1 a | 0.183 | 0.417 | <0.001 | 0.019 |
| H* values | 71.0 | 70.6 | 70.7 | 70.5 | 71.2 | 70.8 | 0.242 | 0.526 | 0.674 | 0.257 |
| (K/S)572 ÷ (K/S)525 | 1.11 | 1.07 | 0.96 b | 1.14 a | 1.11 a | 1.16 a | 0.017 | 0.224 | <0.001 | 0.425 |
| ΔE 5 values | 4.60 | 4.47 | - | 4.22 | 4.07 | 5.32 | 0.284 | 0.868 | 0.047 6 | 0.078 |
| Whiteness index (WI) | 76.0 | 76.4 | 79.2 a | 76.0 b | 75.3 b | 74.3 b | 0.300 | 0.535 | <0.001 | 0.062 |
© 2020 by the authors. Licensee MDPI, Basel, Switzerland. This article is an open access article distributed under the terms and conditions of the Creative Commons Attribution (CC BY) license (http://creativecommons.org/licenses/by/4.0/).
Share and Cite
Stamilla, A.; Russo, N.; Messina, A.; Spadaro, C.; Natalello, A.; Caggia, C.; Randazzo, C.L.; Lanza, M. Effects of Microencapsulated Blend of Organic Acids and Essential Oils as a Feed Additive on Quality of Chicken Breast Meat. Animals 2020, 10, 640. https://doi.org/10.3390/ani10040640
Stamilla A, Russo N, Messina A, Spadaro C, Natalello A, Caggia C, Randazzo CL, Lanza M. Effects of Microencapsulated Blend of Organic Acids and Essential Oils as a Feed Additive on Quality of Chicken Breast Meat. Animals. 2020; 10(4):640. https://doi.org/10.3390/ani10040640
Chicago/Turabian StyleStamilla, Alessandro, Nunziatina Russo, Antonino Messina, Carmine Spadaro, Antonio Natalello, Cinzia Caggia, Cinzia L. Randazzo, and Massimiliano Lanza. 2020. "Effects of Microencapsulated Blend of Organic Acids and Essential Oils as a Feed Additive on Quality of Chicken Breast Meat" Animals 10, no. 4: 640. https://doi.org/10.3390/ani10040640
APA StyleStamilla, A., Russo, N., Messina, A., Spadaro, C., Natalello, A., Caggia, C., Randazzo, C. L., & Lanza, M. (2020). Effects of Microencapsulated Blend of Organic Acids and Essential Oils as a Feed Additive on Quality of Chicken Breast Meat. Animals, 10(4), 640. https://doi.org/10.3390/ani10040640

