Fatty Acid Profile and Enterolactone Content of Early and Commercial Milk of Dairy Cows Supplemented with Flaked Flaxseed during the Dry Period
Abstract
Simple Summary
Abstract
1. Introduction
2. Materials and Methods
2.1. Ethic Statement
2.2. Animals and Feeeding
2.3. Data and Sample Collection
2.4. Sample Analysis
2.5. Statistical Analysis
3. Results
3.1. Milk Yield
3.2. Quality of Early and Commercial Milk
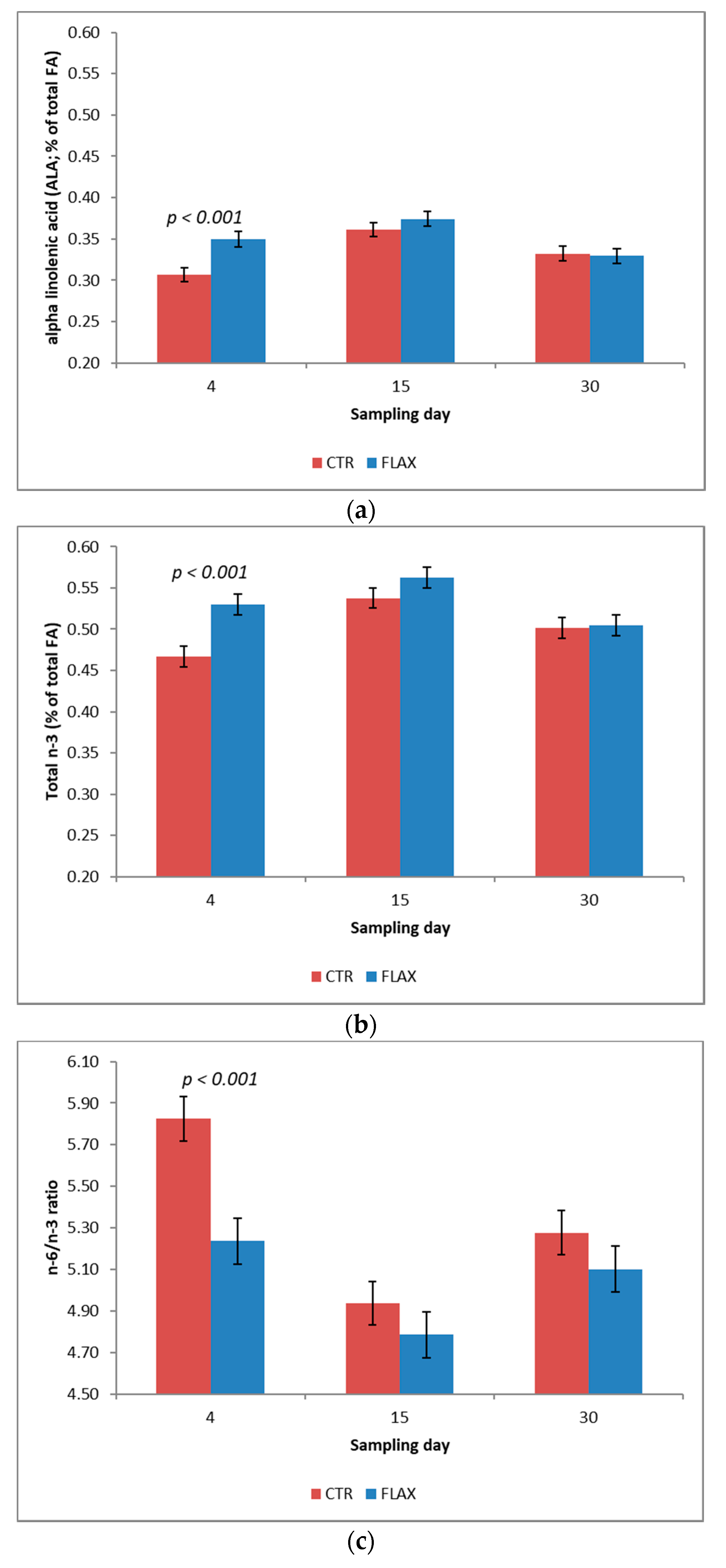
3.3. Fatty Acid Profile of Early and Commercial Milk
3.4. Enterolactone in Plasma and Early and Commercial Milk
4. Discussion
5. Conclusions
Author Contributions
Funding
Conflicts of Interest
References
- Sinclair, A.J.; Attar-Bashi, N.M.; Li, D. What is the role of αt-linolenic acid for mammals? Lipids 2003, 37, 1113–1123. [Google Scholar] [CrossRef] [PubMed]
 - Parikh, M.; Maddaford, T.G.; Austria, J.A.; Aliani, M.; Netticadan, T.; Pierce, G.N. Dietary flaxseed as a strategy for improving human health. Nutrients 2019, 11, 1171. [Google Scholar] [CrossRef]
 - Mordenti, A.L.; Brogna, N.; Canestrari, G.; Bonfante, E.; Eusebi, S.; Mammi, L.M.E.; Giaretta, E.; Formigoni, A. Effects of breed and different lipid dietary supplements on beef quality. Anim. Sci. J. 2019, 90, 619–627. [Google Scholar] [CrossRef]
 - Giaretta, E.; Mordenti, A.; Palmonari, A.; Brogna, N.; Canestrari, G.; Belloni, P.; Cavallini, D.; Mammi, L.; Cabbri, R.; Formigoni, A. NIRs calibration models for chemical composition and fatty acid families of raw and freeze-dried beef: A comparison. J. Food Compos. Anal. 2019, 83, 103257. [Google Scholar] [CrossRef]
 - Ehr, I.J.; Persia, M.E.; Bobeck, E.A. Comparative omega-3 fatty acid enrichment of egg yolks from first-cycle laying hens fed flaxseed oil or ground flaxseed. Poult. Sci. 2017, 96, 1791–1799. [Google Scholar] [CrossRef] [PubMed]
 - Wall, R.; Ross, R.P.; Fitzgerald, G.F.; Stanton, C. Fatty acids from fish: The anti-inflammatory potential of long-chain omega-3 fatty acids. Nutr. Rev. 2010, 68, 280–289. [Google Scholar] [CrossRef] [PubMed]
 - Petit, H. V Review: Feed intake, milk production and milk composition of dairy cows fed flaxseed. Can. J. Anim. Sci. 2010, 90, 115–127. [Google Scholar] [CrossRef]
 - Brito, A.F.; Zang, Y. A review of lignan metabolism, milk enterolactone concentration, and antioxidant status of dairy cows fed flaxseed. Molecules 2019, 24, 41. [Google Scholar] [CrossRef]
 - Isenberg, B.J.; Soder, K.J.; Pereira, A.B.D.; Standish, R.; Brito, A.F. Production, milk fatty acid profile, and nutrient utilization in grazing dairy cows supplemented with ground flaxseed. J. Dairy Sci. 2019, 102, 1294–1311. [Google Scholar] [CrossRef]
 - Cattani, M.; Mantovani, R.; Schiavon, S.; Bittante, G.; Bailoni, L. Recovery of n-3 polyunsaturated fatty acids and conjugated linoleic acids in ripened cheese obtained from milk of cows fed different levels of extruded flaxseed. J. Dairy Sci. 2014, 97, 123–135. [Google Scholar] [CrossRef]
 - Moallem, U. Invited review: Roles of dietary n-3 fatty acids in performance, milk fat composition, and reproductive and immune systems in dairy cattle. J. Dairy Sci. 2018, 101, 8641–8661. [Google Scholar] [CrossRef] [PubMed]
 - Dirandeh, E.; Ghaffari, J. Effects of feeding a source of omega-3 fatty acid during the early postpartum period on the endocannabinoid system in the bovine endometrium. Theriogenology 2018, 121, 141–146. [Google Scholar] [CrossRef]
 - Hayirli, A.; Keisler, D.H.; Doepel, L. Peripartum responses of dairy cows to prepartal feeding level and dietary fatty acid source. J. Dairy Sci. 2011, 94, 917–930. [Google Scholar] [CrossRef] [PubMed]
 - Badiei, A.; Aliverdilou, A.; Amanlou, H.; Beheshti, M.; Dirandeh, E.; Masoumi, R.; Moosakhani, F.; Petit, H.V. Postpartum responses of dairy cows supplemented with n-3 fatty acids for different durations during the peripartal period. J. Dairy Sci. 2014, 97, 6391–6399. [Google Scholar] [CrossRef] [PubMed]
 - Lerch, S.; Pires, J.A.A.; Delavaud, C.; Shingfield, K.J.; Pomiès, D.; Martin, B.; Chilliard, Y.; Ferlay, A. Rapeseed or linseed in dairy cow diets over 2 consecutive lactations: Effects on adipose fatty acid profile and carry-over effects on milk fat composition in subsequent early lactation. J. Dairy Sci. 2015, 98, 1005–1018. [Google Scholar] [CrossRef] [PubMed]
 - Santschi, D.E.; Lacroix, R.; Durocher, J.; Duplessis, M.; Moore, R.K.; Lefebvre, D.M. Prevalence of elevated milk β-hydroxybutyrate concentrations in Holstein cows measured by Fourier-transform infrared analysis in Dairy Herd Improvement milk samples and association with milk yield and components. J. Dairy Sci. 2016, 99, 9263–9270. [Google Scholar] [CrossRef] [PubMed]
 - Do Prado, R.M.; Palin, M.F.; do Prado, I.N.; dos Santos, G.T.; Benchaar, C.; Petit, H.V. Milk yield, milk composition, and hepatic lipid metabolism in transition dairy cows fed flaxseed or linola. J. Dairy Sci. 2016, 99, 8831–8846. [Google Scholar] [CrossRef] [PubMed]
 - Gandra, J.R.; Mingoti, R.D.; Barletta, R.V.; Takiya, C.S.; Verdurico, L.C.; Freitas, J.E.; Paiva, P.G.; Jesus, E.F.; Calomeni, G.D.; Rennó, F.P. Effects of flaxseed, raw soybeans and calcium salts of fatty acids on apparent total tract digestibility, energy balance and milk fatty acid profile of transition cows. Animal 2016, 10, 1303–1310. [Google Scholar] [CrossRef]
 - Saarinen, N.M.; Smeds, A.; Mäkelä, S.I.; Ämmälä, J.; Hakala, K.; Pihlava, J.M.; Ryhänen, E.L.; Sjöholm, R.; Santti, R. Structural determinants of plant lignans for the formation of enterolactone in vivo. J. Chromatogr. B Anal. Technol. Biomed. Life Sci. 2002, 777, 311–319. [Google Scholar] [CrossRef]
 - Gagnon, N.; Côrtes, C.; Da Silva, D.; Kazama, R.; Benchaar, C.; Dos Santos, G.; Zeoula, L.; Petit, H.V. Ruminal metabolism of flaxseed (Linum usitatissimum) lignans to the mammalian lignan enterolactone and its concentration in ruminal fluid, plasma, urine and milk of dairy cows. Br. J. Nutr. 2009, 102, 1015–1023. [Google Scholar] [CrossRef]
 - Council, N.R. Nutrient Requirements of Dairy Cattle; National Academies Press: Washington, DC, USA, 2001. [Google Scholar]
 - AOAC. Official Methods of Analysis of AOAC International; Association of Official Analysis Chemists International: Rockville, MD, USA, 1990; Volume II, pp. 1058–1059. ISBN 0935584544. [Google Scholar]
 - Robertson, J.B.; Van Soest, P.J. The detergent system of analysis. In The Analysis of Dietary Fiber in Food; James, W.P.T., Theander, O., Eds.; Marcel Dekker: New York, NY, USA, 1981. [Google Scholar]
 - Bouchard, J.; Chornet, E.; Overend, R.P. High-performance liquid chromatographic monitoring of carbohydrate fractions in partially hydrolyzed corn starch. J. Agric. Food Chem. 1988, 36, 1188–1192. [Google Scholar] [CrossRef]
 - Pellattiero, E.; Cecchinato, A.; Tagliapietra, F.; Schiavon, S.; Bittante, G. The use of 2-dimensional gas chromatography to investigate the effect of rumen-protected conjugated linoleic acid, breed, and lactation stage on the fatty acid profile of sheep milk. J. Dairy Sci. 2015, 98, 2088–2102. [Google Scholar] [CrossRef] [PubMed]
 - International Dairy Federation. International IDF Standard 141C. Determination of Milk Fat, Protein and Lactose Content. Guidance on the Operation of Mid-Infrared Instruments; International Dairy Federation: Brussels, Belgium, 2000. [Google Scholar]
 - International Dairy Federation. International IDF Standard 148A. Milk Enumeration of Somatic Cells; International Dairy Federation: Brussels, Belgium, 1995. [Google Scholar]
 - Stumpf, K.; Uehara, M.; Nurmi, T.; Adlercreutz, H. Changes in the time-resolved fluoroimmunoassay of plasma enterolactone. Anal. Biochem. 2000, 284, 153–157. [Google Scholar] [CrossRef] [PubMed]
 - Gagnon, N.; Côrtes, C.; Petit, H.V. Weekly excretion of the mammalian lignan enterolactone in milk of dairy cows fed flaxseed meal. J. Dairy Res. 2009, 76, 455–458. [Google Scholar] [CrossRef] [PubMed]
 - SAS Institute. SAS User’s Guide: Basics; SAS Institute Inc.: Cary, NC, USA, 2009. [Google Scholar]
 - Hao, M.; Beta, T. Qualitative and quantitative analysis of the major phenolic compounds as antioxidants in barley and flaxseed hulls using HPLC/MS/MS. J. Sci. Food Agric. 2012, 92, 2062–2068. [Google Scholar] [CrossRef] [PubMed]
 - Santschi, D.E.; Wettstein, H.-R.; Leiber, F.; Witschi, A.-K.M.; Kreuzer, M. Colostrum and milk fatty acids of dairy cows as influenced by extruded linseed supplementation during the transition period. Can. J. Anim. Sci. 2009, 89, 383–392. [Google Scholar] [CrossRef]
 - Bailoni, L.; Prevedello, G.; Schiavon, S.; Mantovani, R.; Bittante, G. CLA content and n-3/n-6 ratio in dairy milk as affected by farm size and management. In Indicators of Milk and Beef Quality; Hocquette, J.F., Gigli, S., Eds.; EAAP: Rome, Italy, 2005; pp. 333–338. [Google Scholar]
 - Palmquist, D.L.; Denise Beaulieu, A.; Barbano, D.M. Feed and animal factors influencing milk fat composition. J. Dairy Sci. 1993, 76, 1753–1771. [Google Scholar] [CrossRef]
 - Chilliard, Y.; Ferlay, A.; Mansbridge, R.M.; Doreau, M. Ruminant milk fat plasticity: Nutritional control of saturated, polyunsaturated, trans and conjugated fatty acids. Anim. Res. 2000, 49, 181–205. [Google Scholar] [CrossRef]
 - Lee, J.M.; Lee, H.; Kang, S.B.; Park, W.J. Fatty acid desaturases, polyunsaturated fatty acid regulation, and biotechnological advances. Nutrients 2016, 8, 23. [Google Scholar] [CrossRef]
 - Leiber, F.; Hochstrasser, R.; Wettstein, H.R.; Kreuzer, M. Feeding transition cows with oilseeds: Effects on fatty acid composition of adipose tissue, colostrum and milk. Livest. Sci. 2011, 138, 1–12. [Google Scholar] [CrossRef][Green Version]
 - Rabiee, A.R.; Breinhild, K.; Scott, W.; Golder, H.M.; Block, E.; Lean, I.J. Effect of fat additions to diets of dairy cattle on milk production and components: A meta-analysis and meta-regression. J. Dairy Sci. 2012, 95, 3225–3247. [Google Scholar] [CrossRef] [PubMed]
 - Petit, H.V.; Rioux, R.; Ouellet, D.R. Milk production and intake of lactating cows fed raw or extruded peas. J. Dairy Sci. 1997, 80, 3377–3385. [Google Scholar] [CrossRef]
 - Doreau, M.; Laverroux, S.; Normand, J.; Chesneau, G.; Glasser, F. Effect of linseed fed as rolled seeds, extruded seeds or oil on fatty acid rumen metabolism and intestinal digestibility in cows. Lipids 2009, 44, 53–62. [Google Scholar] [CrossRef] [PubMed]
 - Turner, T.D.; Mitchell, A.; Duynisveld, J.; Pickova, J.; Doran, O.; McNiven, M.A. Influence of oilseed supplement ranging in n-6/n-3 ratio on fatty acid composition and δ5-, δ6-desaturase protein expression in steer muscles. Animal 2012, 6, 1973–1984. [Google Scholar] [CrossRef]
 - Safaei, K.; Ghorbani, G.R.; Alikhani, M.; Sadeghi-Sefidmazgi, A.; Yang, W.Z. Response of lactating dairy cows to degree of steam-flaked barley grain in low-forage diets. J. Anim. Physiol. Anim. Nutr. 2017, 101, e87–e97. [Google Scholar] [CrossRef]
 - Santos, J.E.P.; Huber, J.T.; Theurer, C.B.; Nussio, L.G.; Tarazon, M.; Santos, F.A.P. Nutrition, feeding, and calves: Response of lactating dairy cows to steam-flaked sorghum, steam-flaked corn, or steam-rolled corn and protein sources of differing degradability. J. Dairy Sci. 1999, 82, 728–737. [Google Scholar] [CrossRef]
 - Harnack, K.; Andersen, G.; Somoza, V. Quantitation of alpha-linolenic acid elongation to eicosapentaenoic and docosahexaenoic acid as affected by the ratio of n6/n3 fatty acids. Nutr. Metab. 2009, 6, 1–11. [Google Scholar] [CrossRef]
 - Garcia, M.; Greco, L.F.; Favoreto, M.G.; Marsola, R.S.; Martins, L.T.; Bisinotto, R.S.; Shin, J.H.; Lock, A.L.; Block, E.; Thatcher, W.W.; et al. Effect of supplementing fat to pregnant nonlactating cows on colostral fatty acid profile and passive immunity of the newborn calf. J. Dairy Sci. 2014, 97, 392–405. [Google Scholar] [CrossRef]
 - Petit, H.V.; Gagnon, N. Concentration of the mammalian lignans enterolactone and enterodiol in milk of cows fed diets containing different concentrations of whole flaxseed. Animal 2009, 3, 1428–1435. [Google Scholar] [CrossRef]
 - Petit, H.V.; Gagnon, N. Production performance and milk composition of dairy cows fed different concentrations of flax hulls. Anim. Feed Sci. Technol. 2011, 169, 46–52. [Google Scholar] [CrossRef]
 - Schogor, A.L.B.; Palin, M.F.; Santos, G.T.; Benchaar, C.; Petit, H.V. β-glucuronidase activity and enterolactone concentration in ruminal fluid, plasma, urine, and milk of Holstein cows fed increased levels of flax (Linum usitatissimum) meal. Anim. Feed Sci. Technol. 2017, 223, 23–29. [Google Scholar] [CrossRef]
 



| Chemical Composition | Dry Period | Lactation Period | ||||
|---|---|---|---|---|---|---|
| CTR 1 | FLAX 2 | |||||
| Mean | SD | Mean | SD | Mean | SD | |
| DM, % | 49.0 | 8.47 | 49.4 | 8.49 | 54.3 | 4.70 | 
| Crude protein | 12.2 | 0.76 | 12.4 | 0.73 | 16.7 | 0.30 | 
| Ether extract | 2.64 | 0.64 | 3.10 | 0.68 | 4.80 | 0.60 | 
| Ash | 6.82 | 1.08 | 6.75 | 1.06 | 5.86 | 0.71 | 
| NDF | 49.1 | 6.56 | 48.5 | 6.47 | 34.0 | 4.10 | 
| ADF | 28.1 | 4.30 | 27.7 | 4.22 | 18.9 | 2.91 | 
| Starch | 12.2 | 2.85 | 12.0 | 2.79 | 24.2 | 2.30 | 
| MFU 3 no./kg DM | 0.78 | 0.04 | 0.78 | 0.04 | 097 | 0.02 | 
| Chemical Composition | Mean | SD | 
|---|---|---|
| DM, % | 93.2 | 1.69 | 
| Crude protein | 22.3 | 1.37 | 
| Ether extract | 44.1 | 2.05 | 
| Ash | 3.25 | 0.47 | 
| NDF | 13.4 | 0.75 | 
| ADF | 7.13 | 0.23 | 
| MFU 1 no./kg DM | 0.98 | - | 
| Fatty acid profile | ||
| SFA | 10.9 | 0.75 | 
| MUFA | 16.8 | 2.80 | 
| PUFA | 67.9 | 3.46 | 
| n-3 | 53.9 | 3.65 | 
| C18:3 n3 | 53.8 | 3.63 | 
| n-6 | 15.9 | 0.46 | 
| n-6/n-3 | 0.31 | 0.03 | 
| Item | Diet | Sampling Day | Parity | Residual | ||||||||
|---|---|---|---|---|---|---|---|---|---|---|---|---|
| CTR 3 | FLAX 4 | p | 4 | 15 | 30 | p | 2nd | 3rd | >3rd | p | ||
| Milk quality | ||||||||||||
| Fat, % | 4.65 | 4.79 | 0.614 | 6.25 | 4.01 | 3.88 | <0.001 | 4.79 | 4.77 | 4.59 | 0.796 | 1.518 | 
| Protein, % | 3.55 | 3.54 | 0.881 | 4.40 | 3.20 | 3.03 | <0.001 | 3.62 | 3.49 | 3.53 | 0.504 | 0.396 | 
| Casein, % | 2.75 | 2.75 | 0.968 | 3.35 | 2.50 | 2.40 | <0.001 | 2.83 | 2.70 | 2.74 | 0.302 | 0.228 | 
| Lactose, % | 4.72 | 4.69 | 0.431 | 4.47 | 4.79 | 4.85 | <0.001 | 4.75 | 4.67 | 4.68 | 0.175 | 0.021 | 
| SCS 1, score | 3.04 | 2.89 | 0.648 | 3.91 | 2.53 | 2.46 | <0.001 | 2.56 | 2.97 | 3.37 | 0.078 | 2.352 | 
| MUN 2, mg/dL | 18.77 | 18.70 | 0.941 | 15.52 | 19.71 | 20.99 | <0.001 | 18.71 | 18.16 | 19.35 | 0.619 | 24.206 | 
| Item | Diet | Sampling Day | Parity | Residual | ||||||||
|---|---|---|---|---|---|---|---|---|---|---|---|---|
| CTR 4 | FLAX 5 | p | 4 | 15 | 30 | p | 2nd | 3rd | >3rd | p | ||
| SFA 1, % of total FA 2 | ||||||||||||
| C4:0 | 3.05 | 3.09 | 0.492 | 3.29 | 3.08 | 2.84 | <0.001 | 3.05 | 3.15 | 3.01 | 0.216 | 0.123 | 
| C6:0 | 1.88 | 1.89 | 0.735 | 1.69 | 2.03 | 1.94 | <0.001 | 1.93 | 1.85 | 1.87 | 0.256 | 0.056 | 
| C8:0 | 1.05 | 1.04 | 0.963 | 0.84 | 1.15 | 1.14 | <0.001 | 1.09 | 1 | 1.05 | 0.122 | 0.028 | 
| C10:0 | 2.17 | 2.14 | 0.778 | 1.61 | 2.3 | 2.56 | <0.001 | 2.27 | 2.02 | 2.18 | 0.117 | 0.196 | 
| C11:0 | 0.08 | 0.08 | 0.535 | 0.03 | 0.11 | 0.1 | <0.001 | 0.09 | 0.07 | 0.08 | 0.137 | 0.001 | 
| C12:0 | 2.43 | 2.39 | 0.747 | 1.83 | 2.5 | 2.9 | <0.001 | 2.54 | 2.24 | 2.45 | 0.116 | 0.271 | 
| C13:0 | 0.12 | 0.12 | 0.508 | 0.06 | 0.15 | 0.15 | <0.001 | 0.13 | 0.11 | 0.12 | 0.133 | 0.002 | 
| C14:0 | 8.92 | 8.89 | 0.894 | 8.16 | 8.87 | 9.69 | <0.001 | 9.22 | 8.71 | 8.79 | 0.175 | 2.096 | 
| C15:0 | 0.89 | 0.86 | 0.509 | 0.62 | 0.94 | 1.06 | <0.001 | 0.91 | 0.85 | 0.85 | 0.251 | 0.037 | 
| C16:0 | 29.4 | 29.1 | 0.627 | 30.5 | 28.3 | 28.9 | <0.001 | 29.1 | 29.5 | 29.1 | 0.785 | 6.037 | 
| C17:0 | 0.7 | 0.7 | 0.904 | 0.73 | 0.72 | 0.65 | <0.001 | 0.7 | 0.7 | 0.7 | 0.889 | 0.008 | 
| C18:0 | 11.1 | 11.1 | 0.902 | 11.5 | 10.9 | 10.9 | 0.074 | 10.9 | 11.8 | 10.5 | 0.012 | 2.501 | 
| C19:0 | 0.06 | 0.06 | 0.72 | 0.04 | 0.06 | 0.08 | <0.001 | 0.06 | 0.06 | 0.05 | 0.222 | 0.001 | 
| C20:0 | 0.15 | 0.15 | 0.466 | 0.11 | 0.17 | 0.18 | <0.001 | 0.15 | 0.16 | 0.15 | 0.089 | 0.001 | 
| C22:0 | 0.04 | 0.04 | 0.352 | 0.02 | 0.04 | 0.06 | <0.001 | 0.04 | 0.04 | 0.04 | 0.318 | 0 | 
| Others SFA 1 | 2.2 | 2.17 | 0.432 | 1.81 | 2.43 | 2.31 | <0.001 | 2.23 | 2.14 | 2.2 | 0.227 | 0.05 | 
| MUFA 3 % of total FA 2 | ||||||||||||
| C10:1 | 0.18 | 0.18 | 0.459 | 0.1 | 0.2 | 0.24 | <0.001 | 0.18 | 0.16 | 0.19 | 0.041 | 0.002 | 
| C12:1 | 0.06 | 0.06 | 0.427 | 0.03 | 0.06 | 0.08 | <0.001 | 0.06 | 0.05 | 0.06 | 0.026 | 0 | 
| C14:1 | 0.36 | 0.33 | 0.101 | 0.46 | 0.57 | 0.01 | <0.001 | 0.35 | 0.32 | 0.36 | 0.228 | 0.016 | 
| C16:1 | 0.11 | 0.1 | 0.815 | 0.18 | 0.07 | 0.06 | <0.001 | 0.11 | 0.1 | 0.1 | 0.586 | 0.004 | 
| C17:1n-10 | 0.02 | 0.01 | 0.041 | 0.02 | 0.02 | 0.01 | <0.001 | 0.02 | 0.01 | 0.02 | 0.21 | 0 | 
| C17:1n-9 | 0.02 | 0.01 | 0.15 | 0.01 | 0.02 | 0.02 | <0.001 | 0.01 | 0.01 | 0.01 | 0.973 | 0 | 
| C17:1 cis n-7 | 0.4 | 0.41 | 0.567 | 0.42 | 0.44 | 0.35 | <0.001 | 0.4 | 0.38 | 0.42 | 0.3 | 0.005 | 
| C18:1 trans n-7 | 1.4 | 1.48 | 0.472 | 0.95 | 1.72 | 1.66 | <0.001 | 1.62 | 1.42 | 1.28 | 0.028 | 0.544 | 
| C18:1 cis n-9 | 23.7 | 23.9 | 0.828 | 26.1 | 23.5 | 21.7 | <0.001 | 23.1 | 23.7 | 24.57 | 0.231 | 10.01 | 
| C18:1n-6 | 0.32 | 0.32 | 0.995 | 0.22 | 0.36 | 0.39 | <0.001 | 0.33 | 0.33 | 0.3 | 0.283 | 0.005 | 
| C18:1 cis n-2 | 0.06 | 0.06 | 0.964 | 0.04 | 0.07 | 0.08 | <0.001 | 0.06 | 0.06 | 0.05 | 0.038 | 0 | 
| C20:1n-12 | 0.1 | 0.1 | 0.338 | 0.06 | 0.12 | 0.12 | <0.001 | 0.1 | 0.1 | 0.1 | 0.695 | 0.001 | 
| Others MUFA 3 | 4.68 | 4.75 | 0.554 | 4.41 | 4.5 | 5.23 | <0.001 | 4.67 | 4.64 | 4.83 | 0.471 | 0.214 | 
| PUFA 6, % of total FA | ||||||||||||
| C18:2 trans-9, cis-12 5 | 0.031 | 0.035 | 0.424 | 0.03 | 0.04 | 0.03 | 0.346 | 0.04 | 0.03 | 0.03 | 0.034 | 0.001 | 
| C18:2n-6 cis | 2.243 | 2.239 | 0.927 | 2.29 | 2.24 | 2.19 | 0.124 | 2.23 | 2.15 | 2.34 | 0.064 | 0.074 | 
| C18:2 | 0.022 | 0.017 | 0.04 | 0.03 | 0.02 | 0.01 | <0.001 | 0.02 | 0.02 | 0.02 | 0.348 | 0 | 
| C18:2 cis-9, trans-11 | 0.329 | 0.329 | 0.994 | 0.26 | 0.37 | 0.35 | <0.001 | 0.34 | 0.31 | 0.32 | 0.03 | 0.005 | 
| CLA 7 | ||||||||||||
| C18:2 trans-10, cis-12 | 0.014 | 0.014 | 0.833 | 0.01 | 0.02 | 0.01 | <0.001 | 0.01 | 0.01 | 0.01 | 0.862 | 0 | 
| CLA 7 | ||||||||||||
| C18:3n-3 | 0.334 | 0.353 | 0.059 | 0.33 | 0.37 | 0.33 | <0.001 | 0.34 | 0.33 | 0.35 | 0.317 | 0.002 | 
| C18:3n-6 | 0.05 | 0.046 | 0.219 | 0.04 | 0.05 | 0.05 | 0.001 | 0.05 | 0.05 | 0.05 | 0.213 | 0 | 
| C20:2 | 0.044 | 0.04 | 0.395 | 0.03 | 0.03 | 0.07 | <0.001 | 0.04 | 0.04 | 0.04 | 0.831 | 0.001 | 
| C20:3n-6 | 0.12 | 0.108 | 0.035 | 0.1 | 0.12 | 0.12 | <0.001 | 0.11 | 0.12 | 0.11 | 0.424 | 0.001 | 
| C20:4n-6 | 0.21 | 0.211 | 0.95 | 0.23 | 0.22 | 0.18 | <0.001 | 0.21 | 0.21 | 0.22 | 0.284 | 0.002 | 
| C20:5n-3 | 0.048 | 0.055 | 0.018 | 0.05 | 0.06 | 0.05 | 0.072 | 0.05 | 0.05 | 0.05 | 0.992 | 0 | 
| Others PUFA 3 | 0.99 | 1.01 | 0.444 | 0.82 | 1.09 | 1.1 | <0.001 | 1.01 | 0.97 | 1.02 | 0.426 | 0.022 | 
| SFA 1 | 64.2 | 63.9 | 0.695 | 62.8 | 63.8 | 65.5 | <0.001 | 64.5 | 64.4 | 63.1 | 0.327 | 13.32 | 
| MUFA 3 | 31.4 | 31.7 | 0.731 | 33 | 31.7 | 30 | <0.001 | 31.1 | 31.3 | 32.3 | 0.393 | 12.14 | 
| PUFA 6 | 4.42 | 4.47 | 0.609 | 4.22 | 4.61 | 4.51 | <0.001 | 4.45 | 4.3 | 4.57 | 0.121 | 0.184 | 
| SFA 1/(MUFA 3 + PUFA 6) | 1.85 | 1.81 | 0.598 | 1.73 | 1.8 | 1.95 | <0.001 | 1.86 | 1.86 | 1.75 | 0.358 | 0.086 | 
| n-6 | 2.66 | 2.65 | 0.886 | 2.71 | 2.66 | 2.59 | 0.048 | 2.63 | 2.57 | 2.77 | 0.048 | 0.082 | 
| n-3 | 0.5 | 0.53 | 0.022 | 0.5 | 0.55 | 0.5 | <0.001 | 0.52 | 0.51 | 0.52 | 0.757 | 0.004 | 
| n-6/n-3 | 5.35 | 5.04 | 0.006 | 5.53 | 4.86 | 5.19 | <0.001 | 5.11 | 5.08 | 5.4 | 0.043 | 0.3 | 
Publisher’s Note: MDPI stays neutral with regard to jurisdictional claims in published maps and institutional affiliations.   | 
© 2020 by the authors. Licensee MDPI, Basel, Switzerland. This article is an open access article distributed under the terms and conditions of the Creative Commons Attribution (CC BY) license (http://creativecommons.org/licenses/by/4.0/).
Share and Cite
Bailoni, L.; Da Dalt, L.; Gabai, G.; Giaretta, E.; Guzzo, N.; Mantovani, R. Fatty Acid Profile and Enterolactone Content of Early and Commercial Milk of Dairy Cows Supplemented with Flaked Flaxseed during the Dry Period. Animals 2020, 10, 2394. https://doi.org/10.3390/ani10122394
Bailoni L, Da Dalt L, Gabai G, Giaretta E, Guzzo N, Mantovani R. Fatty Acid Profile and Enterolactone Content of Early and Commercial Milk of Dairy Cows Supplemented with Flaked Flaxseed during the Dry Period. Animals. 2020; 10(12):2394. https://doi.org/10.3390/ani10122394
Chicago/Turabian StyleBailoni, Lucia, Laura Da Dalt, Gianfranco Gabai, Elisa Giaretta, Nadia Guzzo, and Roberto Mantovani. 2020. "Fatty Acid Profile and Enterolactone Content of Early and Commercial Milk of Dairy Cows Supplemented with Flaked Flaxseed during the Dry Period" Animals 10, no. 12: 2394. https://doi.org/10.3390/ani10122394
APA StyleBailoni, L., Da Dalt, L., Gabai, G., Giaretta, E., Guzzo, N., & Mantovani, R. (2020). Fatty Acid Profile and Enterolactone Content of Early and Commercial Milk of Dairy Cows Supplemented with Flaked Flaxseed during the Dry Period. Animals, 10(12), 2394. https://doi.org/10.3390/ani10122394
        
