Rumen Fermentation and Fatty Acid Composition of Milk of Mid Lactating Dairy Cows Grazing Chicory and Ryegrass
Simple Summary
Abstract
1. Introduction
2. Materials and Methods
2.1. Experimental Site and Design
2.2. Animals and Management
2.3. Herbage Measurements
2.4. Milk Yield and Composition Measurements
2.5. Grazing Behaviour
2.6. Rumen Sampling
2.7. Statistics and Calculations
3. Results
3.1. Herbage Characteristics
3.2. Dry Matter Intake and Grazing Behaviour
3.3. Milk Production and Composition
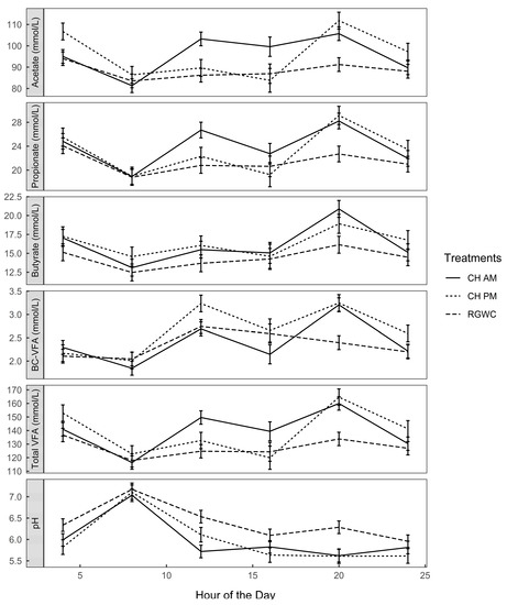
3.4. Rumen Fermentation Parameters
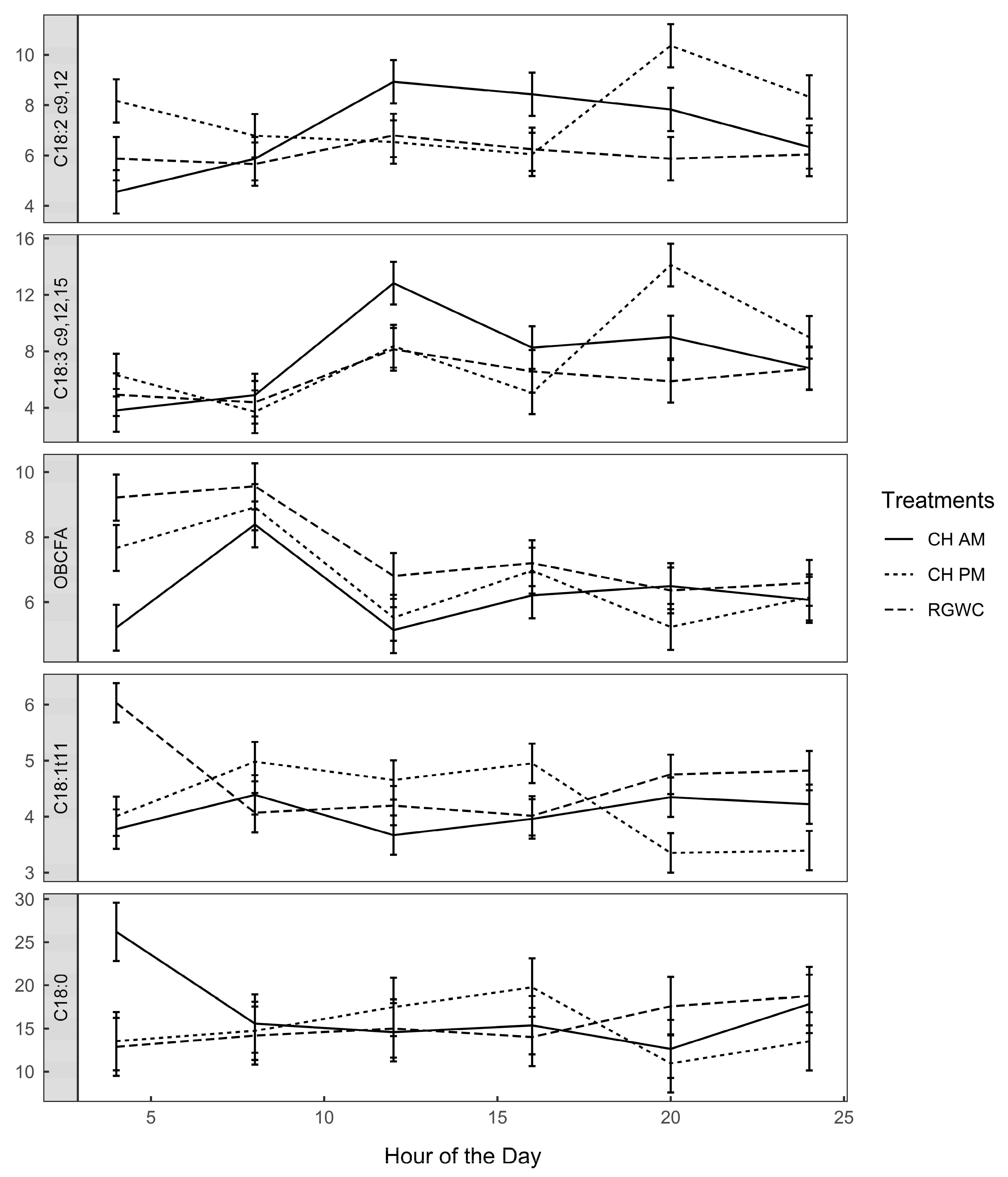
3.5. Rumen Long-Chain FA Composition
4. Discussion
4.1. Milk Production and Rumen Fermentation
4.2. Milk and Rumen Digesta FA Composition
5. Conclusions
Supplementary Materials
Author Contributions
Funding
Acknowledgments
Conflicts of Interest
References
- Chilliard, Y.; Ferlay, A.; Mansbridge, R.M.; Doreau, M. Ruminant milk fat plasticity: nutritional control of saturated, polyunsaturated, trans and conjugated fatty acids. Ann. Zootech. 2000, 49, 181–205. [Google Scholar] [CrossRef]
- National Research Council. Linn Factors affecting the composition of milk from dairy cows. In Designing Foods: Animal Product Options in the Marketplace; National Academy Press: Washington, DC, USA, 1988; pp. 224–241. ISBN 0-309-53552-2. [Google Scholar]
- Knutsen, T.M.; Olsen, H.G.; Tafintseva, V.; Svendsen, M.; Kohler, A.; Kent, M.P.; Lien, S. Unravelling genetic variation underlying de novo-synthesis of bovine milk fatty acids. Sci. Rep. 2018, 8, 2179. [Google Scholar] [CrossRef] [PubMed]
- Lock, A.L.; Bauman, D.E. Modifying Milk Fat Composition of Dairy Cows to Enhance Fatty Acids Beneficial to Human Health. Lipids 2004, 39, 1197–1206. [Google Scholar] [CrossRef] [PubMed]
- Bauman, D.E.; Griinari, J.M. Ntritional Regulation of Milk Fat Synthesis. Annu. Rev. Nutr. 2003, 23, 203–227. [Google Scholar] [CrossRef]
- Vlaeminck, B.; Fievez, V.; Cabrita, A.R.J.; Fonseca, A.J.M.; Dewhurst, R.J. Factors affecting odd- and branched-chain fatty acids in milk: A review. Anim. Feed Sci. Technol. 2006, 131, 389–417. [Google Scholar] [CrossRef]
- Palmquist, D.L. Milk fat: Origin of fatty acids and influence of nutritional factors thereon. In Advanced Dairy Chemistry; Springer: New York, NY, USA, 2009; Volume 2, pp. 43–92. ISBN 0387263640. [Google Scholar]
- Jenkins, T.C.; Wallace, R.J.; Moate, P.J.; Mosley, E.E. Board-Invited Review: Recent advances in biohydrogenation of unsaturated fatty acids within the rumen microbial ecosystem. J. Anim. Sci. 2008, 86, 397–412. [Google Scholar] [CrossRef]
- Toral, P.G.; Monahan, F.J.; Hervas, G.; Frutos, P.; Moloney, A.P. Review: Modulating ruminal lipid metabolism to improve the fatty acid composition of meat and milk. challenges and opportunities. Animal 2018, 12, S272–S281. [Google Scholar] [CrossRef]
- Chouinard, P.Y.; Corneau, L.; Barbano, D.M.; Metzger, L.E.; Bauman, D.E. Conjugated linoleic acids alter milk fatty acid composition and inhibit milk fat secretion in dairy cows. J. Nutr. 1999, 129, 1579–1584. [Google Scholar] [CrossRef]
- Kolver, E.S.; De Veth, M.J. Prediction of ruminal pH from pasture-based diets. J. Dairy Sci. 2002, 85, 1255–1266. [Google Scholar] [CrossRef]
- Li, G.; Kemp, P.D. Forage Chicory (Cichorium intybus L.): A Review of Its Agronomy and Animal Production. Adv. Agron. 2005, 88, 187–222. [Google Scholar]
- Barry, T.N. The feeding value of chicory (Cichorium intybus) for ruminant livestock. J. Agric. Sci. 1998, 131, 251–257. [Google Scholar] [CrossRef]
- Crush, J.R.; Evans, J.P.M. Shoot growth and herbage element concentrations of “Grasslands Puna” chicory (Cichorium intybus L.) under varying soil pH. Proc. N. Z. Grassl. Assoc. 1990, 51, 163–166. [Google Scholar]
- Nobilly, F.; Bryant, R.H.; McKenzie, B.A.; Edwards, G.R. Productivity of rotationally grazed simple and diverse pasture mixtures under irrigation in Canterbury. Proc. N. Z. Grassl. Assoc. 2013, 75, 165–172. [Google Scholar]
- Minneé, E.M.K.; Clark, C.E.F.; Clark, D.A. Herbage production from five grazeable forages. Proc. N. Z. Grassl. Assoc. 2013, 75, 245–250. [Google Scholar]
- Glassey, C.B.; Clark, C.E.F.; Roach, C.G.; Lee, J.M. Herbicide application and direct drilling improves establishment and yield of chicory and plantain. Grass Forage Sci. 2013, 68, 178–185. [Google Scholar] [CrossRef]
- Minneé, E.M.K.; Waghorn, G.C.; Lee, J.M.; Clark, C.E.F. Including chicory or plantain in a perennial ryegrass/white clover-based diet of dairy cattle in late lactation: Feed intake, milk production and rumen digestion. Anim. Feed Sci. Technol. 2017, 227, 52–61. [Google Scholar] [CrossRef]
- Mangwe, M.C.; Bryant, R.H.; Beck, M.R.; Fleming, A.E.; Gregorini, P. Grazed chicory, plantain or ryegrass-white clover alters milk yield and fatty acid composition of late-lactating dairy cows. Anim. Prod. Sci. 2018, 60, 107–113. [Google Scholar] [CrossRef]
- Chapman, D.; Tharmaraj, J.; Nie, Z. Milk-production potential of different sward types in a temperate southern Australian environment. Grass Forage Sci. 2008, 63, 221–233. [Google Scholar] [CrossRef]
- Mangwe, M.C.; Bryant, R.H.; Beck, M.R.; Beale, N.; Bunt, C.; Gregorini, P. Forage herbs as an alternative to ryegrass-white clover to alter urination patterns in grazing dairy systems. Anim. Feed Sci. Technol. 2019, 252, 11–22. [Google Scholar] [CrossRef]
- Totty, V.K.; Greenwood, S.L.; Bryant, R.H.; Edwards, G.R. Nitrogen partitioning and milk production of dairy cows grazing simple and diverse pastures. J. Dairy Sci. 2013, 96, 141–149. [Google Scholar] [CrossRef]
- Bryant, R.H.; Miller, M.E.; Greenwood, S.L.; Edwards, G.R. Milk yield and nitrogen excretion of dairy cows grazing binary and multispecies pastures. Grass Forage Sci. 2017, 72, 806–817. [Google Scholar] [CrossRef]
- Muir, S.K.; Ward, G.N.; Jacobs, J.L. Milk production and composition of mid-lactation cows consuming perennial ryegrass-and chicory-based diets. J. Dairy Sci. 2014, 97, 1005–1015. [Google Scholar] [CrossRef] [PubMed]
- Gregorini, P. Diurnal grazing pattern: Its physiological basis and strategic management. Anim. Prod. Sci. 2012, 52, 416–430. [Google Scholar] [CrossRef]
- Abrahamse, P.A.; Tamminga, S.; Dijkstra, J. Effect of daily movement of dairy cattle to fresh grass in morning or afternoon on intake, grazing behaviour, rumen fermentation and milk production. J. Agric. Sci. 2009, 147, 721–730. [Google Scholar] [CrossRef]
- MAFF. Carbohydrates, soluble, in herbage. In The Analysis of Agricultural Materials; Her Majesty’s Stationery Office: London, UK, 1986; pp. 43–45. [Google Scholar]
- Van Soest, P.J.; Robertson, J.B.; Lewis, B.A. Methods for Dietary Fiber, Neutral Detergent Fiber, and Nonstarch Polysaccharides in Relation to Animal Nutrition. J. Dairy Sci. 1991, 74, 3583–3597. [Google Scholar] [CrossRef]
- Iowerth, D.; Jones, H.; Hayward, M.V. The effect of pepsin pretreatment of herbage on the prediction of dry matter digestibility from solubility in fungal cellulase solutions. J. Sci. Food Agric. 1975, 26, 711–718. [Google Scholar] [CrossRef]
- Muir, S.K.; Ward, G.N.; Jacobs, J.L. Herbage intake and milk production of late-lactation dairy cows offered a second-year chicory crop during summer. J. Dairy Sci. 2015, 98, 8825–8835. [Google Scholar] [CrossRef]
- Clark, D.A.; Anderson, C.B.; Hongwen, G. Liveweight gain and intake of friesian bulls grazing ‘grasslands puna’ chicory (Cichorium intybus L.) or pasture. N. Z. J. Agric. Res. 1990, 33, 219–224. [Google Scholar] [CrossRef]
- Bergman, E.N. Energy contributions of volatile fatty acids from the gastrointestinal tract in various species. Physiol. Rev. 1990, 70, 567–590. [Google Scholar] [CrossRef]
- Liu, Q.; Wang, C.; Guo, G.; Huo, W.J.; Zhang, S.L.; Pei, C.X.; Zhang, Y.L.; Wang, H. Effects of branched-chain volatile fatty acids on lactation performance and mRNA expression of genes related to fatty acid synthesis in mammary gland of dairy cows. Animal 2018, 12, 2071–2079. [Google Scholar] [CrossRef]
- Orr, R.J.; Rutter, S.M.; Penning, P.D.; Rook, A.J. Matching grass supply to grazing patterns for dairy cows. Grass Forage Sci. 2001, 56, 352–361. [Google Scholar] [CrossRef]
- Pulido, R.G.; Ruiz-Albarrán, M.; Balocchi, O.A.; Nannig, P.; Wittwer, F. Effect of timing of pasture allocation on production, behavior, rumen function, and metabolism of early lactating dairy cows during autumn. Livest. Sci. 2015, 177, 43–51. [Google Scholar] [CrossRef]
- Russell, J.B.; Wilson, D.B. Why Are Ruminal Cellulolytic Bacteria Unable to Digest Cellulose at Low pH? J. Dairy Sci. 1996, 79, 1503–1509. [Google Scholar] [CrossRef]
- Gäbel, G.; Aschenbach, J.R.; Müll, F. Transfer of energy substrates across the ruminal epithelium: Implications and limitations. Anim. Heal. Res. Rev. 2002, 3, 15–30. [Google Scholar] [CrossRef] [PubMed]
- Penner, G.B.; Oba, M.; Gäbel, G.; Aschenbach, J.R. A single mild episode of subacute ruminal acidosis does not affect ruminal barrier function in the short term. J. Dairy Sci. 2010, 93, 4838–4845. [Google Scholar] [CrossRef]
- de Veth, M.J.; Kolver, E.S. Digestion of Ryegrass Pasture in Response to Change in pH in Continuous Culture. J. Dairy Sci. 2001, 84, 1449–1457. [Google Scholar] [CrossRef]
- Blondeau, N.; Lipsky, R.H.; Bourourou, M.; Duncan, M.W.; Gorelick, P.B.; Marini, A.M. Alpha-linolenic acid: An omega-3 fatty acid with neuroprotective properties—Ready for use in the stroke clinic? BioMed Res. Int. 2015, 2015. [Google Scholar] [CrossRef]
- Quang, V.N.; Bunmi, S.; Malau-Aduli, J.C. Enhancing Omega-3 Long-Chain Polyunsaturated Human Consumption. Nutrients 2019, 743, 1–23. [Google Scholar]
- de Goede, J.; Verschuren, W.M.M.; Boer, J.M.A.; Kromhout, D.; Geleijnse, J.M. Alpha-linolenic acid intake and 10-year incidence of coronary heart disease and stroke in 20,000 middle-aged men and women in the Netherlands. PLoS ONE 2011, 6, 4–11. [Google Scholar] [CrossRef]
- Rajaram, S. Health benefits of plant-derived α-linolenic acid. Am. J. Clin. Nutr. 2014, 100, 443S–448S. [Google Scholar] [CrossRef]
- Elgersma, A. Grazing increases the unsaturated fatty acid concentration of milk from grass-fed cows: A review of the contributing factors, challenges and future perspectives. Eur. J. Lipid Sci. Technol. 2015, 117, 1345–1369. [Google Scholar] [CrossRef]
- Szczechowiak, J.; Szumacher-Strabel, M.; El-Sherbiny, M.; Pers-Kamczyc, E.; Pawlak, P.; Cieslak, A. Rumen fermentation, methane concentration and fatty acid proportion in the rumen and milk of dairy cows fed condensed tannin and/or fish-soybean oils blend. Anim. Feed Sci. Technol. 2016, 216, 93–107. [Google Scholar] [CrossRef]
- Chilliard, Y.; Glasser, F.; Ferlay, A.; Bernard, L.; Rouel, J.; Doreau, M. Diet, rumen biohydrogenation and nutritional quality of cow and goat milk fat. Eur. J. Lipid Sci. Technol. 2007, 109, 828–855. [Google Scholar] [CrossRef]
- Lourenço, M.; Van Ranst, G.; Vlaeminck, B.; De Smet, S.; Fievez, V. Influence of different dietary forages on the fatty acid composition of rumen digesta as well as ruminant meat and milk. Anim. Feed Sci. Technol. 2008, 145, 418–437. [Google Scholar] [CrossRef]
- Bryszak, M.; Szumacher-Strabel, M.; El-Sherbiny, M.; Stochmal, A.; Oleszek, W.; Roj, E.; Patra, A.K.; Cieslak, A. Effects of berry seed residues on ruminal fermentation, methane concentration, milk production, and fatty acid proportions in the rumen and milk of dairy cows. J. Dairy Sci. 2018, 102, 1257–1273. [Google Scholar] [CrossRef] [PubMed]
- Elgersma, A.; Tamminga, S.; Ellen, G. Modifying milk composition through forage. Anim. Feed Sci. Technol. 2006, 131, 207–225. [Google Scholar] [CrossRef]




| Herbage | Chicory Herbage | Ryegrass/White Clover Herbage | SEM 5 | p-Value | |||||
|---|---|---|---|---|---|---|---|---|---|
| Treatments | CHAM 1 | CHPM 1 | CHAM 1 | CHPM 1 | RGWC 1 | Treatment | Herbage | T x H | |
| Pre-graze mass (kg/ha DM) | 2985 | 3150 | 2958 | 2960 | 3277 | 175 | 0.375 | 0.541 | 0.645 |
| Post-graze mass (kg/ha DM) | 1372 | 1402 | 1670 | 1740 | 1687 | 83 | 0.282 | <0.001 | 0.812 |
| Organic matter (g/kg DM) | 868 | 881 | 922 | 921 | 918 | 5.1 | <0.001 | <0.001 | 0.152 |
| Dry matter (g/kg DM) | 119 | 135 | 220 | 194 | 212 | 5.4 | <0.001 | <0.001 | 0.004 |
| Water soluble carbohydrates (g/kg DM) | 145 | 197 | 233 | 210 | 206 | 7.8 | 0.196 | 0.011 | 0.075 |
| Crude protein (g/kg DM) | 146 | 127 | 157 | 153 | 165 | 6.4 | 0.024 | 0.014 | 0.293 |
| Neutral detergent fibre (g/kg DM) | 296 | 246 | 446 | 473 | 455 | 9.4 | <0.001 | <0.001 | <0.001 |
| Acid detergent fibre (g/kg DM) | 230 | 214 | 263 | 268 | 262 | 4.2 | 0.1 | <0.001 | 0.191 |
| Dry matter digestibility (g/kg DM) | 782 | 798 | 743 | 736 | 748 | 5.2 | 0.373 | <0.001 | 0.281 |
| DOMD 2 (g/kg DM) | 710 | 757 | 737 | 706 | 729 | 10.4 | 0.579 | 0.112 | <0.001 |
| Crude fat (g/kg DM) | 38.8 | 41.8 | 41.8 | 45.1 | 42.6 | 0.8 | 0.248 | 0.099 | 0.942 |
| NFC 3 (g/kg DM) | 401 | 454 | 277 | 250 | 256 | 11.5 | <0.001 | <0.001 | 0.002 |
| Fatty acids (mg/g DM) | |||||||||
| C14:0 | 0.06 | 0.062 | 0.10 | 0.09 | 0.08 | 0.01 | 0.501 | <0.001 | 0.503 |
| C16:0 | 4.76 | 4.62 | 3.51 | 3.35 | 3.14 | 0.3 | 0.034 | <0.001 | 0.968 |
| C18:0 | 0.23 | 0.23 | 0.32 | 0.31 | 0.29 | 0.02 | 0.562 | <0.001 | 0.692 |
| C18:1 c9 | 0.39 | 0.39 | 0.39 | 0.38 | 0.41 | 0.03 | 0.844 | 0.902 | 0.921 |
| C18:2 c9,12 | 6.71 | 6.48 | 3.23 | 3.13 | 2.99 | 0.38 | <0.001 | <0.001 | 0.864 |
| C18:3 c9,12,15 | 11.1 | 12.2 | 10.9 | 10.8 | 10.1 | 1.25 | 0.438 | 0.295 | 0.395 |
| Saturated FA | 5.49 | 5.34 | 4.33 | 4.14 | 3.91 | 0.33 | 0.056 | 0.002 | 0.968 |
| Monounsaturated FA | 0.53 | 0.53 | 0.61 | 0.58 | 0.58 | 0.46 | 0.86 | 0.20 | 0.81 |
| Polyunsaturated FA | 18.8 | 17.7 | 14 | 14.1 | 13.1 | 1.56 | 0.137 | 0.005 | 0.471 |
| Others 4 | 0.65 | 0.62 | 0.66 | 0.64 | 0.610 | 0.03 | 0.530 | 0.705 | 0.869 |
| Total FA | 24.9 | 23.6 | 19 | 18.8 | 17.5 | 1.89 | 0.122 | 0.005 | 0.561 |
| Item | CHAM 1 | CHPM 1 | RGWC 1 | SEM 2 | p-Value |
|---|---|---|---|---|---|
| Chicory intake | 9.00 | 9.31 | - | 0.57 | 0.578 |
| Ryegrass intake | 7.34b | 6.81b | 16.6a | 0.23 | <0.0001 |
| Total DMI | 16.3 | 16.1 | 16.6 | 0.25 | 0.122 |
| Milk yield (kg/cow per day) | 21.0ab | 22.0a | 19.9b | 0.43 | <0.0001 |
| Milk solids (kg/day) | 1.84b | 1.96a | 1.71c | 0.03 | <0.0001 |
| Fat (g/100 g of milk) | 4.95 | 5.14 | 4.92 | 0.10 | 0.051 |
| Protein (g/100 g of milk) | 3.85a | 3.75b | 3.71b | 0.03 | 0.002 |
| Lactose (g/100 g of milk) | 5.06 | 5.05 | 5.07 | 0.02 | 0.662 |
| Protein: Fat | 0.79a | 0.74b | 0.76b | 0.01 | 0.004 |
| Fat yield (kg/day) | 1.04b | 1.13a | 0.97b | 0.02 | <0.0001 |
| Protein yield (kg/day) | 0.82a | 0.83a | 0.74b | 0.02 | <0.0001 |
| Lactose yield (kg/day) | 1.06ab | 1.11a | 1.01b | 0.02 | <0.0001 |
| Item | CHAM | CHPM | RGWC | SEM 4 | p-Value |
|---|---|---|---|---|---|
| C4:0:C12:0 | 17.2 | 15.8 | 15.5 | 0.44 | 0.406 |
| C14:0 | 11.5 | 11.1 | 11.0 | 0.3 | 0.131 |
| C14:0iso | 0.09b | 0.10b | 0.11a | 0.004 | 0.003 |
| C15:0iso | 0.28b | 0.27b | 0.32a | 0.007 | <0.0001 |
| C15:0 | 1.19 | 1.15 | 1.17 | 0.025 | 0.368 |
| C15:0anteiso | 0.56 | 0.56 | 0.62 | 0.053 | 0.589 |
| C16:0 | 31.9 | 32.8 | 32.8 | 0.67 | 0.369 |
| C16:0iso | 0.23 | 0.23 | 0.24 | 0.007 | 0.512 |
| C17:0 | 0.55b | 0.55b | 0.59a | 0.026 | 0.02 |
| C17:0iso | 0.43b | 0.44b | 0.49a | 0.036 | 0.008 |
| C17:0anteiso | 0.56 | 0.55 | 0.54 | 0.014 | 0.611 |
| C18:0 | 11.2 | 11.7 | 12.3 | 0.5 | 0.723 |
| C18:1t11 | 2.49b | 2.43b | 3.02a | 0.333 | 0.007 |
| C18.1c9 | 16.4 | 17.1 | 16.7 | 0.563 | 0.553 |
| C18:2 c9,12 | 1.16a | 1.21a | 0.90b | 0.059 | <0.0001 |
| C18:3 c9,12,15 | 1.12a | 1.18a | 0.94b | 0.04 | <0.0001 |
| c9 t11 CLA | 0.94 | 0.87 | 1.10 | 0.068 | 0.059 |
| C20:0 | 0.12 | 0.11 | 0.26 | 0.005 | 0.0007 |
| C22:0 | 0.08 | 0.08 | 0.08 | 0.008 | 0.945 |
| C20:5 c5,8,11,14,17 | 0.11a | 0.10b | 0.10b | 0.003 | 0.033 |
| C22:5 c7,10,13,16,19 | 0.12 | 0.12 | 0.11 | 0.004 | 0.619 |
| Saturated FA | 73.4 | 72.2 | 72.4 | 0.581 | 0.954 |
| Monounsaturated FA | 22.2 | 23.5 | 23.7 | 0.588 | 0.6 |
| Polyunsaturated FA | 4.28a | 4.38a | 3.9b | 0.074 | <0.0001 |
| de novo2 | 25.9 | 24.9 | 24.7 | 0.69 | 0.051 |
| Omega-3 | 1.35a | 1.39a | 1.15b | 0.042 | <0.0001 |
| Omega-6 | 1.16a | 1.21a | 0.90b | 0.059 | <0.0001 |
| Trans | 3.74ab | 3.51b | 4.11a | 0.16 | 0.025 |
| Others 3 | 6.01 | 6.2 | 5.3 | 0.89 | 0.114 |
© 2020 by the authors. Licensee MDPI, Basel, Switzerland. This article is an open access article distributed under the terms and conditions of the Creative Commons Attribution (CC BY) license (http://creativecommons.org/licenses/by/4.0/).
Share and Cite
Mangwe, M.; Bryant, R.; Gregorini, P. Rumen Fermentation and Fatty Acid Composition of Milk of Mid Lactating Dairy Cows Grazing Chicory and Ryegrass. Animals 2020, 10, 169. https://doi.org/10.3390/ani10010169
Mangwe M, Bryant R, Gregorini P. Rumen Fermentation and Fatty Acid Composition of Milk of Mid Lactating Dairy Cows Grazing Chicory and Ryegrass. Animals. 2020; 10(1):169. https://doi.org/10.3390/ani10010169
Chicago/Turabian StyleMangwe, Mancoba, Racheal Bryant, and Pablo Gregorini. 2020. "Rumen Fermentation and Fatty Acid Composition of Milk of Mid Lactating Dairy Cows Grazing Chicory and Ryegrass" Animals 10, no. 1: 169. https://doi.org/10.3390/ani10010169
APA StyleMangwe, M., Bryant, R., & Gregorini, P. (2020). Rumen Fermentation and Fatty Acid Composition of Milk of Mid Lactating Dairy Cows Grazing Chicory and Ryegrass. Animals, 10(1), 169. https://doi.org/10.3390/ani10010169

