Screening of Rhizosphere Bacteria and Nematode Populations Associated with Soybean Roots in the Mpumalanga Highveld of South Africa
Abstract
1. Introduction
2. Materials and Methods
2.1. Site Description
2.2. Extraction of PPN from Soybean Roots
2.3. DNA Extraction of Microbial Communities from the Soil
2.4. Next Generation Sequencing of the Soil Bacterial Community 16s rRNA
2.5. NGS Data Bio-Informatics Analysis
2.6. Statistical Analysis of Nematode and Microbial Data
3. Results
3.1. PPN Associated with Soybean Roots
3.2. Rhizosphere Bacterial Community Associated with Soybean
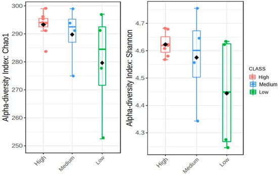
3.2.1. Alpha Diversity
3.2.2. Beta Diversity
3.2.3. Bacterial Populations Associated with Soybean
3.2.4. Linear Discriminant Analysis (LDA) Effect Size (LEfSe)
3.3. Potential Link between Significantly Abundant Rhizosphere Bacteria and PPN Population Density
4. Discussion
5. Conclusions
Supplementary Materials
Author Contributions
Funding
Institutional Review Board Statement
Informed Consent Statement
Data Availability Statement
Acknowledgments
Conflicts of Interest
References
- Lima, F.S.O.; Correa, V.R.; Nogueira, S.R.; Santos, P.R.R. Nematodes affecting soybean and sustainable practices for their management. In Soybean—The Basis of Yield, Biomass and Productivity; Kasai, M., Ed.; InTech: Rijeka, Croatia, 2017; pp. 107–124. [Google Scholar]
- Jones, J.T.; Haegeman, A.; Danchin, E.G.J.; Gaur, H.S.; Helder, J.; Jones, M.G.K.; Kikuchi, T.; Manzanilla-López, R.; Palomares-Rius, J.E.; Wesemael, W.M.L.; et al. Top 10 plant-parasitic nematodes in molecular plant pathology. Mol. Plant Pathol. 2013, 14, 946–961. [Google Scholar] [CrossRef] [PubMed]
- Jones, R.K.; Storey, S.G.; Knoetze, R.; Fourie, H. Nematode pests of potato and other vegetable crops. In Nematology in South Africa: A View from the 21st Century; Fourie, H., Spaull, V.W., Jones, R.K., Daneel, M.S., De Waele, D., Eds.; Springer: Cham, Switzerland, 2017; pp. 231–260. [Google Scholar]
- Fourie, H.; Mc Donald, A.H.; Steenkamp, S.; De Waele, D. Nematode Pests of Leguminous and Oilseed Crops. In Nematology in South Africa: A View from the 21st Century; Fourie, H., Spaull, V.W., Jones, R.K., Daneel, M.S., De Waele, D., Eds.; Springer: Cham, Switzerland, 2017; pp. 201–230. [Google Scholar]
- Onkendi, E.M.; Kariuki, G.M.; Marais, M.; Moleleki, L.N. The threat of root-knot nematodes (Meloidogyne spp.) in Africa: A review. Plant Pathol. 2014, 63, 727–737. [Google Scholar] [CrossRef]
- Kleynhans, K.P.N.; van den Berg, E.; Swart, A.; Marais, M.; Buckley, N.H. Plant Nematodes in South Africa; Plant Protection Research Institute Handbook No. 8; ARC-Plant Protection Research Institute: Pretoria, South Africa, 1996. [Google Scholar]
- Marais, M.; Swart, A.; Buckley, N.H. Overview of the South African Plant-Parasitic Nematode Survey (SAPPNS). In Nematology in South Africa: A View from the 21st Century; Fourie, H., Spaull, V.W., Jones, R.K., Daneel, M.S., De Waele, D., Eds.; Springer: Cham, Switzerland, 2017; pp. 451–458. [Google Scholar]
- Van den Berg, E.; Marais, M.; Swart, A. Nematode Morphology and Classification. In Nematology in South Africa: A View from the 21st Century; Fourie, H., Spaull, V.W., Jones, R.K., Daneel, M.S., De Waele, D., Eds.; Springer: Cham, Switzerland, 2017; pp. 33–71. [Google Scholar]
- Engelbrecht, G.; Claassens, S.; Mienie, C.M.S.; Fourie, H. South Africa: An Important Soybean Producer in Sub-Saharan Africa and the Quest for Managing Nematode Pests of the Crop. Agriculture 2020, 10, 242. [Google Scholar] [CrossRef]
- Fourie, H.; Jones, V.W.; Daneel, R.K.; De Waele, D. Introduction. In Nematology in South Africa: A View from the 21st Century; Fourie, H., Spaull, V.W., Jones, R.K., Daneel, M.S., De Waele, D., Eds.; Springer: Cham, Switzerland, 2017; pp. 1–12. [Google Scholar]
- Grain Market Overview 2021. Available online: http://www.grainsa.co.za (accessed on 6 May 2021).
- Hartman, G.L.; West, E.D.; Herman, T.K. Crops that feed the World 2. Soybean-worldwide production, use, and constrains caused by pathogens and pests. Food Secur. 2011, 3, 5–17. [Google Scholar] [CrossRef]
- Elhady, A.; Heuer, H.; Hallmann, J. Plant parasitic nematodes on soybean in expanding production areas of temperate regions. J. Plant Dis. Prot. 2018, 125, 567–576. [Google Scholar] [CrossRef]
- Shurtleff, W.; Aoyagi, A. History of Soybeans and Soyfoods in Africa (1857–2009): Extensively Annotated Bibliography and Sourcebook; Soyinfo Centre: Lafayette, CA, USA, 2009. [Google Scholar]
- Fourie, H.; McDonald, A.; Loots, G. Plant-parasitic nematodes in field crops in South Africa. 6. Soybean. Nematology 2001, 3, 447–454. [Google Scholar] [CrossRef]
- Fourie, H.; de Waele, D.; Mc Donald, A.H.; Mienie, C.M.S.; Marais, M.; de Beer, A. Nematode pests threatening soybean production in South Africa, with reference to Meloidogyne. S. Afr. J. Sci. 2015, 111, 1–9. [Google Scholar] [CrossRef]
- Swart, A.; Marais, M. Extracting and detecting nematodes. In The Kleynhans Manual: Collecting and Preserving Nematodes; Swart, A., Marais, M., Eds.; ARC-Plant Protection Research Institute: Pretoria, South Africa, 2017; p. 29. [Google Scholar]
- De Grisse, A.T. Redescription ou modifications de quelques techniques ultilisées dans l’étude des nématodes phytoparasitaires. Medelingen Rijksfac. Landbouwwet. 1969, 34, 351–359. [Google Scholar]
- Burbach, K.; Seifert, J.; Pieper, D.H.; Camarinha-Silva, A. Evaluation of DNA extraction kits and phylogenetic diversity of the porcine gastrointestinal tract based on Illumina sequencing of two hypervariable regions. Microbiologyope 2016, 5, 70–82. [Google Scholar] [CrossRef]
- Klindworth, A.; Pruesse, E.; Schweer, T.; Peplies, J.; Quast, C.; Horn, M.; Glöckner, F.O. Evaluation of general 16S ribosomal RNA gene PCR primers for classical and next-generation sequencing-based diversity studies. Nucleic Acids Res. 2013, 41, 1–11. [Google Scholar] [CrossRef]
- Gallego, S.; Devers-Lamrani, M.; Rousidou, K.; Karpouzas, D.G.; Martin-Laurent, F. Assessment of the effects of oxamyl on the bacterial community of an agricultural soil exhibiting enhanced biodegradation. Sci. Total Environ. 2019, 651, 1189–1198. [Google Scholar] [CrossRef] [PubMed]
- Guerrini, C.J.; Botkin, J.R.; McGuire, A.L. Clarify the HIPAA right of access to individuals’ research data. Nat. Biotechnol. 2019, 37, 850–852. [Google Scholar] [CrossRef]
- Quast, C.; Pruesse, E.; Yilmaz, P.; Gerken, J.; Schweer, T.; Yarza, P.; Peplies, J.; Glöckner, F.O. The SILVA ribosomal RNA gene database project: Improved data processing and web-based tools. Nucleic Acids Res. 2012, 41, 590–596. [Google Scholar] [CrossRef]
- Parks, D.H.; Tyson, G.W.; Hugenholtz, P.; Beiko, R.G. STAMP: Statistical analysis of taxonomic and functional profiles. Bioinformatics 2014, 30, 3123–3124. [Google Scholar] [CrossRef] [PubMed]
- Arndt, D.; Xia, J.; Liu, Y.; Zhou, Y.; Guo, A.C.; Cruz, J.A.; Sinelnikov, I.; Budwill, K.; Nesbø, C.L.; Wishart, D.S. METAGENassist: A comprehensive web server for comparative metagenomics. Nucleic Acids. Res. 2012, 40, 88–95. [Google Scholar] [CrossRef]
- Dhariwal, A.; Chong, J.; Habib, S.; King, I.L.; Agellon, L.B.; Xia, J. MicrobiomeAnalyst: A web-based tool for comprehensive statistical, visual and meta-analysis of microbiome data. Nucleic. Acids. Res. 2017, 45, 180–188. [Google Scholar] [CrossRef] [PubMed]
- Chong, J.; Liu, P.; Zhou, G.; Xia, J. Using MicrobiomeAnalyst for comprehensive statistical, functional, and meta-analysis of microbiome data. Nat. Protoc. 2020, 15, 799–821. [Google Scholar] [CrossRef] [PubMed]
- Zhang, J.; Ma, J.-Y.; Li, Q.-H.; Su, H.; Sun, X. Lactobacillus rhamnosus GG induced protective effect on allergic airway inflammation is associated with gut microbiota. Cell. Immunol. 2018, 332, 77–84. [Google Scholar] [CrossRef]
- Karuri, H.W.; Olago, D.; Neilson, R.; Njeri, E.; Opere, A.; Ndegwa, P. Plant parasitic nematode assemblages associated with sweet potato in Kenya and their relationship with environmental variables. Trop. Plant Pathol. 2017, 42, 1–12. [Google Scholar] [CrossRef]
- Meng, Q.; Yang, W.; Men, M.; Bello, A.; Xu, X.; Xu, B.; Deng, L.; Jiang, X.; Sheng, S.; Wu, X.; et al. Microbial community succession and response to environmental variables during cow manure and corn straw composting. Front. Microbiol. 2019, 10, 1–13. [Google Scholar] [CrossRef]
- Holling, C.S. Some characteristics of simple types of predation and parasitism. Can. Entomol. 1959, 91, 385–398. [Google Scholar] [CrossRef]
- Hunt, D.J.; Palomares-Rius, J.E.; Manzanilla-López, R.H. Identification, Morphology and Biology of Plant Parasitic Nematodes. In Plant Parasitic Nematodes in Subtropical and Tropical Agriculture, 3rd ed.; Sikora, R.A., Coyne, D., Hallmann, J., Timper, P., Eds.; CABI: Boston, MA, USA, 2018; pp. 20–61. [Google Scholar]
- Mbatyoti, A.; Daneel, M.S.; Swart, A.; Marais, M.; De Waele, D.; Fourie, H. Plant-parasitic nematode assemblages associated with glyphosate tolerant and conventional soybean cultivars in South Africa. Afr. Zool. 2020, 55, 1–16. [Google Scholar] [CrossRef]
- Mbatyoti, O.A. Soybean Host Status to Meloidogyne incognita and Nematode Biodiversity in Local Soybean Cropping Systems. Ph.D. Dissertation, North-West University, Potchefstroom, South Africa, 2018. [Google Scholar]
- Mc Donald, A.H.; De Waele, D.; Fourie, H. Nematode Pests of Maize and other Cereal Crops. In Nematology in South Africa: A View from the 21st Century; Fourie, H., Spaull, V.W., Jones, R.K., Daneel, M.S., De Waele, D., Eds.; Springer: Cham, Switzerland, 2017; pp. 183–200. [Google Scholar]
- Bridge, J.; Starr, J.L. Plant. Nematodes of Agricultural Importance; Manson Publishing Ltd.: London, UK, 2007. [Google Scholar]
- Lima, F.S.D.O.; Santos, G.R.D.; Nogueira, S.R.; Santos, P.R.R.D.; Correa, V.R. Population dynamics of the root lesion nematode, Pratylenchus brachyurus, in soybean fields in Tocantins State and its effect to soybean yield. Nematropica 2015, 45, 170–177. [Google Scholar]
- Colagiero, M.; Cianco, A. Climate changes and nematodes: Expected effects and perspectives for plant protection. Redia 2011, 94, 113–118. [Google Scholar]
- Bayer. Velum 1GR Product Overview. 2021. Available online: https://www.cropscience.bayer.africa/za/en-za/products/product-detail-page.label.html/insecticides/velum_1_gr.html (accessed on 22 August 2021).
- Xiong, J.; Zhou, Q.; Luo, H.; Xia, L.; Li, L.; Sun, M.; Yu, Z. Systemic nematicidal activity and biocontrol efficacy of Bacillus firmus against the root-knot nematode Meloidogyne incognita. World J. Microbiol. Biotechnol. 2015, 31, 661–667. [Google Scholar] [CrossRef] [PubMed]
- Schneider, S.M.; Rosskopf, E.N.; Leesch, J.G.; Chellemi, D.O.; Bull, C.T.; Mazzola, M. United States Department of Agriculture—Agricultural Research Service research on alternatives to methyl bromide: Pre-plant and post-harvest. Pest. Manag. Sci. 2003, 59, 814–826. [Google Scholar] [CrossRef]
- Naz, I.; Saifullah; Palomares-Rius, J.E.; Khan, S.M.; Ali, S.; Ahmad, M.; Ali, A.; Khan, A. Control of Southern root knot nematode Meloidogyne incognita (Kofoid and White) Chitwood on tomato using green manure of Fumaria parviflora Lam (Fumariaceae). Crop. Prot. 2015, 67, 121–129. [Google Scholar] [CrossRef]
- Dennis, P.G.; Miller, A.J.; Hirsch, P.R. Are root exudates more important than other sources of rhizodeposits in structuring rhizosphere bacterial communities? FEMS Microbiol. Ecol. 2010, 72, 313–327. [Google Scholar] [CrossRef]
- Mashiane, R.A.; Ezeokoli, O.T.; Adeleke, R.A.; Bezuidenhout, C.C. Metagenomic analyses of bacterial endophytes associated with the phyllosphere of a Bt maize cultivar and its isogenic parental line from South Africa. World J. Microbiol. Biotechnol. 2017, 33, 1–13. [Google Scholar] [CrossRef]
- Xiao, X.; Fan, M.; Wang, E.; Chen, W.; Wei, G. Interactions of plant growth-promoting rhizobacteria and soil factors in two leguminous plants. Appl. Microbiol. Biotechnol. 2017, 101, 8485–8497. [Google Scholar] [CrossRef]
- Baetz, U.; Martinoia, E. Root exudates: The hidden part of plant defense. Trends Plant Sci. 2014, 19, 90–98. [Google Scholar] [CrossRef]
- Sugiyama, A.; Ueda, Y.; Zushi, T.; Takase, H.; Yazaki, K. Changes in the bacterial community of soybean rhizospheres during growth in the field. PLoS ONE 2014, 9, e100709. [Google Scholar] [CrossRef]
- Zhang, B.; Zhang, J.; Liu, Y.; Shi, P.; Wei, G. Co-occurrence patterns of soybean rhizosphere microbiome at a continental scale. Soil Biol. Biochem. 2018, 118, 178–186. [Google Scholar] [CrossRef]
- Yu, Z.; Li, Y.; Wang, G.; Liu, J.; Liu, J.; Liu, X.; Herbert, S.J.; Jin, J. Effectiveness of elevated CO2 mediating bacterial communities in the soybean rhizosphere depends on genotypes. Agric. Ecosyst. Environ. 2016, 231, 229–232. [Google Scholar] [CrossRef]
- Chang, C.; Chen, W.; Luo, S.; Ma, L.; Li, X.; Tian, C. Rhizosphere microbiota assemblage associated with wild and cultivated soybeans grown in three types of soil suspensions. Arch. Agron. Soil. Sci. 2019, 65, 74–87. [Google Scholar] [CrossRef]
- Liu, F.; Chi, Y.; Wu, S.; Jia, D.; Yao, K. Simultaneous Degradation of Cypermethrin and Its Metabolite, 3-Phenoxybenzoic Acid, by the Cooperation of Bacillus licheniformis B-1 and Sphingomonas sp. SC-1. J. Agric. Food Chem. 2014, 62, 8256–8262. [Google Scholar] [CrossRef] [PubMed]
- Khan, A.L.; Waqas, M.; Asaf, S.; Kamran, M.; Shahzad, R.; Bilal, S.; Khan, M.A.; Kang, S.-M.; Kim, Y.-H.; Yun, B.-W.; et al. Plant growth-promoting endophyte Sphingomonas sp. LK11 alleviates salinity stress in Solanum pimpinellifolium. Environ. Exp. Bot. 2017, 133, 58–69. [Google Scholar] [CrossRef]
- Adam, M.; Westphal, A.; Hallmann, J.; Heuer, H. Specific Microbial Attachment to Root Knot Nematodes in Suppressive Soil. Appl. Environ. Microbiol. 2014, 80, 2679–2686. [Google Scholar] [CrossRef]
- Giné, A.; Carrasquilla, M.; Martínez-Alonso, M.; Gaju, N.; Sorribas, F.J. Characterization of soil suppressiveness to root-knot nematodes in organic horticulture in plastic greenhouse. Front. Plant Sci. 2016, 7, 1–15. [Google Scholar] [CrossRef]
- Sibponkrung, S.; Kondo, T.; Tanaka, K.; Tittabutr, P.; Boonkerd, N.; Teaumroong, N.; Yoshida, K.-I. Genome sequence of Bacillus velezensis S141, a new strain of plant growth-promoting rhizobacterium isolated from soybean rhizosphere. Genome Announc. 2017, 5, 1–2. [Google Scholar] [CrossRef]
- Castillo, J.D.; Vivanco, J.M.; Manter, D.K. Bacterial Microbiome and Nematode Occurrence in Different Potato Agricultural Soils. Microb. Ecol. 2017, 74, 888–900. [Google Scholar] [CrossRef]
- Toju, H.; Tanaka, Y. Consortia of anti-nematode fungi and bacteria in the rhizosphere of soybean plants attacked by root-knot nematodes. R. Soc. Open Sci. 2019, 6, 1–20. [Google Scholar] [CrossRef]
- Mishek, H.P.; Stock, S.A.; Florick, J.D.E.; Blomberg, W.R.; Franke, J.D. Development of a chemically defined minimal medium for studies on growth and protein uptake of Gemmata obscuriglobus. J. Microbiol. Methods 2018, 145, 40–46. [Google Scholar] [CrossRef]
- Kulichevskaya, I.S.; Ivanova, A.A.; Baulina, O.I.; Rijpstra, W.I.C.; Sinninghe Damsté, J.S.; Dedysh, S.N. Fimbriiglobus ruber gen. nov., sp. nov., a Gemmata-like planctomycete from Sphagnum peat bog and the proposal of Gemmataceae fam. nov. Int. J. Syst. Evol. Microbiol. 2017, 67, 218–224. [Google Scholar] [CrossRef]
- Ward, N.; Rainey, F.A.; Stackebrandt, E.; Schlesner, H. Unraveling the extent of diversity within the order Planctomycetales. Appl. Environ. Microbiol. 1995, 61, 2270–2275. [Google Scholar] [CrossRef]
- Tekere, M.L.; Olivier, J.; Jonker, N.; Venter, S. Metagenomic analysis of bacterial diversity of Siloam hot water spring, Limpopo, South Africa. Afr. J. Biotechnol. 2011, 10, 18005–18012. [Google Scholar] [CrossRef]
- Jeske, O.; Jogler, M.; Petersen, J.; Sikorski, J.; Jogler, C. From genome mining to phenotypic microarrays: Planctomycetes as source for novel bioactive molecules. Antonie Van Leeuwenhoek 2013, 104, 551–567. [Google Scholar] [CrossRef] [PubMed]
- Aleti, G.; Sessitsch, A.; Brader, G. Genome mining: Prediction of lipopeptides and polyketides from Bacillus and related Firmicutes. Comput. Struct. Biotechnol. J. 2015, 13, 192–203. [Google Scholar] [CrossRef]
- Horak, I.; Engelbrecht, G.; van Rensburg, P.J.J.; Claassens, S. Microbial metabolomics: Essential definitions and the importance of cultivation conditions for utilizing Bacillus species as bionematicides. J. Appl. Microbiol. 2019, 127, 326–343. [Google Scholar] [CrossRef] [PubMed]
- Hussain, M.; Hamid, M.I.; Tian, J.; Hu, J.; Zhang, X.; Chen, J.; Xiang, M.; Liu, X. Bacterial community assemblages in the rhizosphere soil, root endosphere and cyst of soybean cyst nematode-suppressive soil challenged with nematodes. FEMS Microbiol. Ecol. 2018, 94, 1–11. [Google Scholar] [CrossRef]
- Liu, F.; Hewezi, T.; Lebeis, S.L.; Pantalone, V.; Grewal, P.S.; Staton, M.E. Soil indigenous microbiome and plant genotypes cooperatively modify soybean rhizosphere microbiome assembly. BMC Microbiol. 2019, 19, 1–19. [Google Scholar] [CrossRef]
- Cha, J.-Y.; Han, S.; Hong, H.-J.; Cho, H.; Kim, D.; Kwon, Y.; Kwon, S.-K.; Crüsemann, M.; Bok Lee, Y.; Kim, J.F.; et al. Microbial and biochemical basis of a Fusarium wilt-suppressive soil. ISME J. 2016, 10, 119–129. [Google Scholar] [CrossRef] [PubMed]
- Hamid, M.I.; Hussain, M.; Wu, Y.; Zhang, X.; Xiang, M.; Liu, X. Successive soybean-monoculture cropping assembles rhizosphere microbial communities for the soil suppression of soybean cyst nematode. FEMS Microbiol. Ecol. 2016, 93, 1–10. [Google Scholar] [CrossRef]
- Siddiqui, Z.A.; Mahmood, I. Role of bacteria in the management of plant parasitic nematodes: A review. Bioresour. Technol. 1999, 69, 167–179. [Google Scholar] [CrossRef]
- Sharma, M.; Jasrotia, S.; Ohri, P.; Manhas, R.K. Nematicidal potential of Streptomyces antibioticus strain M7 against Meloidogyne incognita. AMB Express 2019, 9, 1–8. [Google Scholar] [CrossRef]
- Esnard, J.; Potter, T.L.; Zuckerman, B.M. Streptomyces costaricanus sp. nov., isolated from nematode-suppressive soil. Int. J. Syst. Evol. Microbiol. 1995, 45, 775–779. [Google Scholar] [CrossRef]
- Samac, D.A.; Kinkel, L.L. Suppression of the root-lesion nematode (Pratylenchus penetrans) in alfalfa (Medicago sativa) by Streptomyces spp. Plant Soil 2001, 235, 35–44. [Google Scholar] [CrossRef]
- Huang, Y.; Xu, C.; Ma, L.; Zhang, K.; Duan, C.; Mo, M. Characterisation of volatiles produced from Bacillus megaterium YFM3.25 and their nematicidal activity against Meloidogyne incognita. Eur. J. Plant Pathol. 2010, 126, 417–422. [Google Scholar] [CrossRef]
- Li, J.; Zou, C.; Xu, J.; Ji, X.; Niu, X.; Yang, J.; Huang, X.; Zhang, K.-Q. Molecular mechanisms of nematode-nematophagous microbe interactions: Basis for biological control of plant-parasitic nematodes. Annu. Rev. Phytopathol. 2015, 53, 67–95. [Google Scholar] [CrossRef]
- Lee, Y.S.; Kim, K.Y. Antagonistic potential of Bacillus pumilus L1 against root-knot nematode, Meloidogyne arenaria. J. Phytopathol. 2016, 164, 29–39. [Google Scholar] [CrossRef]
- Engelbrecht, G.; Jansen Van Rensburg, P.J.; Fourie, H.; Claassens, S. In vitro bioassays to determine the effect of Bacillus soli filtrates on the paralysis of Meloidogyne incognita second-stage juveniles. Nematology 2020, 22, 239–243. [Google Scholar] [CrossRef]
- Hu, W.; Strom, N.B.; Haarith, D.; Chen, S.; Bushley, K.E. Seasonal variation and crop sequences shape the structure of bacterial communities in cysts of soybean cyst nematode. Front. Microbiol. 2019, 10, 1–17. [Google Scholar] [CrossRef] [PubMed]
- Van der Meer, M.T.; Schouten, S.; Hanada, S.; Hopmans, E.C.; Damsté, J.S.; Ward, D.M. Alkane-1,2-diol-based glycosides and fatty glycosides and wax esters in Roseiflexus castenholzii and hot spring microbial mats. Arch. Microbiol. 2002, 178, 229–237. [Google Scholar] [CrossRef]
- Topalović, O.; Hussain, M.; Heuer, H. Plants and associated soil microbiota cooperatively suppress plant-parasitic nematodes. Front. Microbiol. 2020, 11, 1–15. [Google Scholar] [CrossRef]
- Amann, R.I.; Ludwig, W.; Schleifer, K.H. Phylogenetic identification and in situ detection of individual microbial cells without cultivation. Microbiol. Rev. 1995, 59, 143–169. [Google Scholar] [CrossRef]
- Rawat, N.; Joshi, G.K. Bacterial community structure analysis of a hot spring soil by next generation sequencing of ribosomal RNA. Genomics 2019, 111, 1053–1105. [Google Scholar] [CrossRef] [PubMed]
- Schisler, D.A.; Slininger, P.J.; Bothast, R.J. Effects of antagonist cell concentration and two-strain mixtures on biological control of Fusarium dry rot of potatoes. Phytopathology 1997, 87, 177–183. [Google Scholar] [CrossRef][Green Version]
- Abdel-Salam, M.S.; Ameen, H.H.; Soliman, G.M.; Elkelany, U.S.; Asar, A.M. Improving the nematicidal potential of Bacillus amyloliquefaciens and Lysinibacillus sphaericus against the root-knot nematode Meloidogyne incognita using protoplast fusion technique. Egypt. J. Biol. Pest. Control. 2018, 28, 1–6. [Google Scholar] [CrossRef]










| Genus and/or Family | Field No. | ||||||||||||||
|---|---|---|---|---|---|---|---|---|---|---|---|---|---|---|---|
| S1 | S2 | S5 | S6 | S7 | S8 | S9 | S11 | S12 | S13 | S14 | S15 | S16 | S17 | S18 | |
| Meloidogyne | 344 | 2548 | 3625 | 1141 | 24,402 | 4913 | 4980 | 7400 | 999 | 5097 | 183 | 21,757 | 1059 | 518 | 394 |
| Pratylenchus | 518 | 9350 | 550 | 784 | 3584 | 655 | 1826 | 107 | 243 | 4331 | 270 | 1004 | 229 | 335 | 7851 |
| Helicotylenchus | 44 | 132 | 28 | 28 | 170 | 28 | 248 | 87 | 28 | 28 | 34 | 110 | 83 | 28 | 0 |
| Scutelonema | 87 | 0 | 66 | 66 | 101 | 34 | 83 | 38 | 110 | 41 | 77 | 41 | 41 | 50 | 28 |
| Hoplolaimus | 96 | 0 | 37 | 105 | 89 | 28 | 118 | 72 | 96 | 34 | 69 | 65 | 143 | 57 | 0 |
| Rotylenchulus | 28 | 0 | 28 | 34 | 60 | 46 | 1000 | 62 | 37 | 0 | 55 | 41 | 0 | 0 | 0 |
| Tylenchorhynchus | 0 | 0 | 0 | 0 | 0 | 0 | 37 | 14 | 0 | 0 | 0 | 193 | 0 | 7 | 69 |
| Ditylenchus | 0 | 0 | 0 | 0 | 28 | 0 | 0 | 0 | 0 | 0 | 0 | 0 | 0 | 0 | 0 |
| Rotylenchus | 0 | 0 | 0 | 0 | 0 | 0 | 39 | 0 | 0 | 94 | 0 | 0 | 0 | 0 | 37 |
| Tylenchus | 0 | 0 | 0 | 0 | 0 | 28 | 55 | 0 | 28 | 0 | 0 | 0 | 0 | 0 | 46 |
| Tylenchida | 0 | 0 | 0 | 0 | 0 | 0 | 0 | 0 | 28 | 0 | 0 | 28 | 0 | 0 | 0 |
| Aphelenchidae | 28 | 0 | 28 | 0 | 0 | 0 | 0 | 0 | 0 | 28 | 0 | 97 | 0 | 0 | 0 |
| Criconematidae | 0 | 0 | 0 | 28 | 0 | 0 | 0 | 14 | 0 | 0 | 0 | 0 | 28 | 0 | 55 |
| Level of Meloidogyne infection | Low | Medium | High | Medium | High | High | High | High | Medium | High | Low | High | Medium | Low | Low |
| Level of Pratylenchus infection | Low | High | Low | Medium | High | Medium | Medium | Low | Low | High | Low | Medium | Low | Low | High |
| Genus and/or Family | b Mean Population Density (MPD) | a Frequency of Occurrence (FO) | c Prominence Value (PV) |
|---|---|---|---|
| Meloidogyne | 5291 | 100 | 5291 |
| Pratylenchus | 2109 | 100 | 2109 |
| Helicotylenchus | 77 | 93 | 74 |
| Scutelonema | 62 | 93 | 60 |
| Hoplolaimus | 78 | 87 | 72 |
| Rotylenchulus | 139 | 67 | 113 |
| Tylenchorhynchus | 64 | 33 | 37 |
| Ditylenchus | 28 | 7 | 7 |
| Rotylenchus | 57 | 20 | 25 |
| Tylenchus | 39 | 27 | 20 |
| Tylenchida | 28 | 13 | 10 |
| Aphelenchidae | 45 | 27 | 23 |
| Criconematidae | 31 | 27 | 16 |
| Phylum | Class | Order | Family | Genus |
|---|---|---|---|---|
| Proteobacteria | Alphaproteobacteria | Rhizobiales | Hyphomicrobiaceae | Ambiguous_taxa10 |
| Proteobacteria | Deltaproteobacteria | Myxococcales | Sandaracinaceae | uncultured15 |
| Firmicutes | Bacilli | Bacillales | Bacillaceae | Ambiguous_taxa16 |
| Planctomycetes | Planctomycetacia | Planctomycetales | Planctomycetaceae | Gemmata1 |
| Planctomycetes | Planctomycetacia | Planctomycetales | Planctomycetaceae | Pirellula3 |
| Chloroflexi | Chloroflexia | Chloroflexales | Roseiflexaceae | Roseiflexus2 |
| Firmicutes | Bacilli | Bacillales | Planococcaceae | uncultured30 |
| Actinobacteria | Actinobacteria | Streptomycetales | Streptomycetaceae | Streptomyces2 |
| Firmicutes | Bacilli | Bacillales | Bacillaceae | Bacillus2 |
Publisher’s Note: MDPI stays neutral with regard to jurisdictional claims in published maps and institutional affiliations. |
© 2021 by the authors. Licensee MDPI, Basel, Switzerland. This article is an open access article distributed under the terms and conditions of the Creative Commons Attribution (CC BY) license (https://creativecommons.org/licenses/by/4.0/).
Share and Cite
Engelbrecht, G.; Claassens, S.; Mienie, C.M.S.; Fourie, H. Screening of Rhizosphere Bacteria and Nematode Populations Associated with Soybean Roots in the Mpumalanga Highveld of South Africa. Microorganisms 2021, 9, 1813. https://doi.org/10.3390/microorganisms9091813
Engelbrecht G, Claassens S, Mienie CMS, Fourie H. Screening of Rhizosphere Bacteria and Nematode Populations Associated with Soybean Roots in the Mpumalanga Highveld of South Africa. Microorganisms. 2021; 9(9):1813. https://doi.org/10.3390/microorganisms9091813
Chicago/Turabian StyleEngelbrecht, Gerhard, Sarina Claassens, Charlotte M. S. Mienie, and Hendrika Fourie. 2021. "Screening of Rhizosphere Bacteria and Nematode Populations Associated with Soybean Roots in the Mpumalanga Highveld of South Africa" Microorganisms 9, no. 9: 1813. https://doi.org/10.3390/microorganisms9091813
APA StyleEngelbrecht, G., Claassens, S., Mienie, C. M. S., & Fourie, H. (2021). Screening of Rhizosphere Bacteria and Nematode Populations Associated with Soybean Roots in the Mpumalanga Highveld of South Africa. Microorganisms, 9(9), 1813. https://doi.org/10.3390/microorganisms9091813

