A Novel Marine Pathogen Isolated from Wild Cunners (Tautogolabrus adspersus): Comparative Genomics and Transcriptome Profiling of Pseudomonas sp. Strain J380
Abstract
1. Introduction
2. Materials and Methods
2.1. Pseudomonas sp. Strain J380 Isolation
2.2. Bacterial Growth Conditions
2.3. Biochemical, Enzymatic, and Physiological Characterization
2.4. Siderophores Synthesis
2.5. Fish Capture and Holding
2.6. Infection Assays
2.7. Tissue Sampling and Analysis
2.8. DNA Extraction and Sequencing
2.9. Genome Assembly, Annotation, and Mapping
2.10. Multi-Locus Sequence Analysis (MLSA) Using Housekeeping Genes
2.11. Whole Genome Comparison and Evolutionary Analysis
2.12. Bacterial Growth under Iron-Enriched and -Limited Conditions, and Total RNA Extraction
2.13. Library Preparation and RNA-Sequencing
2.14. RNA-Seq Data Analysis
2.15. Analyses of Enriched Gene Ontology (GO) Terms and KEGG Kyoto Encyclopedia of Genes and Genomes Pathways
2.16. In Silico Tools
2.17. Statistical Analysis
3. Results
3.1. Bacterial Isolation
3.2. Physiological Characteristics of Pseudomonas sp. J380
3.3. Determination of Koch Postulates and Pseudomonas sp. J380’s Host-Range in Lumpfish, and Atlantic Salmon
3.4. Infection Kinetics of Pseudomonas sp. J380 in Different Host Tissues
3.5. Genome of Pseudomonas sp. J380
3.6. Multi-Locus Sequence Analysis (MLSA) of Pseudomonas sp. J380
3.7. Whole Genome Alignment and Phylogenomic Analyses
3.8. Transcriptome Profile of Pseudomonas sp. J380 under Iron-Enriched and -Limited Conditions
3.8.1. Global Profile of DEGs
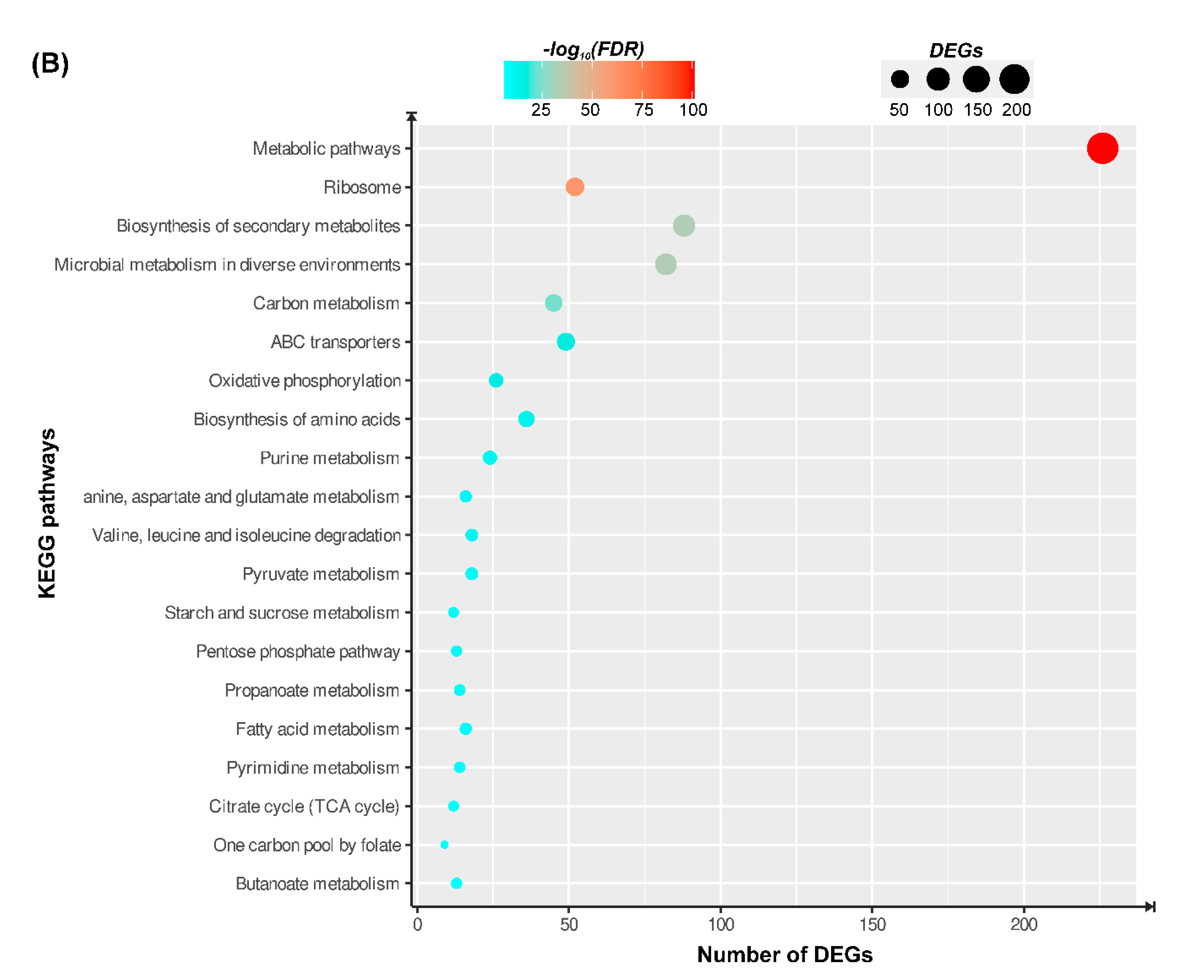
3.8.2. Analyses of Gene Ontology (GO) Terms and KEGG Pathways
4. Discussion
4.1. Characterization of Phenotypic, Physiological, and Biochemical Features
4.2. Characterization of Infectivity and Host-Specificity
4.3. Characterization of Genomic Features, Comparative, and Phylogenomics
4.4. Profile of Iron-Regulated Transcriptome
4.4.1. Fundamental Cellular Functions
4.4.2. Two-Component Systems (TCS)
4.4.3. Hut Pathway
4.4.4. Stress and Oxidative Damage-Related Genes
4.4.5. Iron-Homeostasis
5. Conclusions
Supplementary Materials
Author Contributions
Funding
Institutional Review Board Statement
Informed Consent Statement
Data Availability Statement
Acknowledgments
Conflicts of Interest
References
- Costello, M.J. Ecology of sea lice parasitic on farmed and wild fish. Trends Parasitol. 2006, 22, 475–483. [Google Scholar] [CrossRef]
- Fast, M.D. Fish immune responses to parasitic copepod (namely sea lice) infection. Dev. Comp. Immunol. 2014, 43, 300–312. [Google Scholar] [CrossRef]
- Costello, M. The global economic cost of sea lice to the salmonid farming industry. J. Fish. Dis. 2009, 32, 115. [Google Scholar] [CrossRef]
- Aaen, S.M.; Helgesen, K.O.; Bakke, M.J.; Kaur, K.; Horsberg, T.E. Drug resistance in sea lice: A threat to salmonid aquaculture. Trends Parasitol. 2015, 31, 72–81. [Google Scholar] [CrossRef]
- Overton, K.; Dempster, T.; Oppedal, F.; Kristiansen, T.S.; Gismervik, K.; Stien, L.H. Salmon lice treatments and salmon mortality in Norwegian aquaculture: A review. Rev. Aquac. 2019, 11, 1398–1417. [Google Scholar] [CrossRef]
- Brooks, K. Considerations in developing an integrated pest management programme for control of sea lice on farmed salmon in Pacific Canada. J. Fish. Dis. 2009, 32, 59–73. [Google Scholar] [CrossRef] [PubMed]
- Treasurer, J.W. A review of potential pathogens of sea lice and the application of cleaner fish in biological control. Pest. Manag. Sci. 2002, 58, 546–558. [Google Scholar] [CrossRef]
- Erkinharju, T.; Dalmo, R.A.; Hansen, M.; Seternes, T. Cleaner fish in aquaculture: Review on diseases and vaccination. Rev. Aquac. 2020, 13, 189–237. [Google Scholar] [CrossRef]
- Skiftesvik, A.B.; Blom, G.; Agnalt, A.-L.; Durif, C.M.F.; Browman, H.I.; Bjelland, R.M.; Harkestad, L.S.; Farestveit, E.; Paulsen, O.I.; Fauske, M.; et al. Wrasse (Labridae) as cleaner fish in salmonid aquaculture—The Hardangerfjord as a case study. Mar. Biol. Res. 2014, 10, 289–300. [Google Scholar] [CrossRef]
- Powell, A.; Treasurer, J.W.; Pooley, C.L.; Keay, A.J.; Lloyd, R.; Imsland, A.K.; Garcia de Leaniz, C. Use of lumpfish for sea-lice control in salmon farming: Challenges and opportunities. Rev. Aquac. 2018, 10, 683–702. [Google Scholar] [CrossRef]
- Sayer, M.; Reader, J. Exposure of goldsinny, rock cook and corkwing wrasse to low temperature and low salinity: Survival, blood physiology and seasonal variation. J. Fish. Biol. 1996, 49, 41–63. [Google Scholar] [CrossRef]
- Imsland, A.K.; Reynolds, P.; Eliassen, G.; Hangstad, T.A.; Jónsdóttir, Ó.D.; Elvegård, T.A.; Lemmens, S.C.; Rydland, R.; Nytrø, A.V. Investigation of behavioural interactions between lumpfish (Cyclopterus lumpus) and goldsinny wrasse (Ctenolabrus rupestris) under controlled conditions. Aquac. Int. 2016, 24, 1509–1521. [Google Scholar] [CrossRef]
- Scott, W.B.; Scott, M.G. Atlantic Fishes of Canada; Food and Agriculture Organization of the United Nations: Quebec City, QC, Canada, 1988. [Google Scholar]
- MacKinnon, B. The poor potential of cunner, Tautogolabrus adspersus, to act as cleaner fish in removing sea lice (Caligus elongatus) from farmed salmon in eastern Canada. Can. J. Fish. Aquat. Sci. 1995, 52, 175–177. [Google Scholar] [CrossRef]
- Costa, I.; Hamoutene, D.; Murray, H.; Lush, L.; Burt, K.; Eaves, A.; Ang, K.P. Documentation of Cunner (Tautogolabrus adspersus) Cleaning Behaviour in Tanks with Atlantic Salmon (Salmo salar) Smolts Infested with Sea Lice (Lepeophtheirus salmonis); Fisheries and Oceans Canada = Pêches et océans Canada: Ottawa, ON, Canada, 2016. [Google Scholar]
- Towers, L. Canada invests C$358,000 in cleaner fish research. Available online: https://thefishsite.com/articles/canada-invests-c358000-in-cleaner-fish-research (accessed on 7 December 2020).
- Boyce, D.; Ang, K.; Prickett, R. Cunner and lumpfish as cleaner fish species in Canada. In Cleaner Fish Biology and Aquaculture Applications; Treasurer, J.W., Ed.; 5M Publications: Sheffield, UK, 2018; pp. 444–467. [Google Scholar]
- Sakai, M.; Atsuta, S.; Kobayashi, M. Pseudomonas fluorescens isolated from the diseased rainbow trout, Oncorhynchus mykiss. Kitasato Arch. Exp. Med. 1989, 62, 157–162. [Google Scholar]
- Altinok, I.; Kayis, S.; Capkin, E. Pseudomonas putida infection in rainbow trout. Aquaculture 2006, 261, 850–855. [Google Scholar] [CrossRef]
- Nishimori, E.; Kita-Tsukamoto, K.; Wakabayashi, H. Pseudomonas plecoglossicida sp. nov., the causative agent of bacterial haemorrhagic ascites of ayu, Plecoglossus altivelis. Int. J. Syst. Evol. Microbiol. 2000, 50, 83–89. [Google Scholar] [CrossRef]
- Eissa, N.; Abou El-Ghiet, E.; Shaheen, A.; Abbass, A. Characterization of Pseudomonas species isolated from tilapia Oreochromis niloticus in Qaroun and Wadi-El-Rayan lakes, Egypt. Glob. Vet. 2010, 5, 116–121. [Google Scholar]
- Sheldon, J.R.; Laakso, H.A.; Heinrichs, D.E. Iron acquisition strategies of bacterial pathogens. Virulence Mech. Bact. Pathog. 2016, 43–85. [Google Scholar] [CrossRef]
- Sheldon, J.R.; Heinrichs, D.E. Recent developments in understanding the iron acquisition strategies of Gram positive pathogens. FEMS Microbiol. Rev. 2015, 39, 592–630. [Google Scholar] [CrossRef]
- Lane, D.J. 16S/23S rRNA sequencing. In Nucleic Acid Techniques in Bacterial Systematic; Stackebrandt, E., Goodfellow, M., Eds.; John Wiley and Sons: New York, NY, USA, 1991; pp. 115–175. [Google Scholar]
- Louden, B.C.; Haarmann, D.; Lynne, A.M. Use of blue agar CAS assay for siderophore detection. J. Microbiol. Biol. Educ. 2011, 12, 51–53. [Google Scholar] [CrossRef]
- Myhr, E.; Larsen, J.L.; Lillehaug, A.; Gudding, R.; Heum, M.; Håstein, T. Characterization of Vibrio anguillarum and closely related species isolated from farmed fish in Norway. Appl. Environ. Microbiol. 1991, 57, 2750–2757. [Google Scholar] [CrossRef] [PubMed]
- Ramasamy, P.; Gunasekaran, D.R. Assessment of antibiotic sensitivity and pathogenicity of Vibrio spp. and Aeromonas spp. from aquaculture enviroment. Moj Ecol. Enviromental Sci. 2018, 3, 128–136. [Google Scholar] [CrossRef]
- Schwyn, B.; Neilands, J.B. Universal chemical assay for the detection and determination of siderophores. Anal. Biochem. 1987, 160, 10. [Google Scholar] [CrossRef]
- Santander, J.; Golden, G.; Wanda, S.Y.; Curtiss, R., 3rd. Fur-regulated iron uptake system of Edwardsiella ictaluri and its influence on pathogenesis and immunogenicity in the catfish host. Infect. Immun 2012, 80, 2689–2703. [Google Scholar] [CrossRef]
- Vasquez, I.; Cao, T.; Chakraborty, S.; Gnanagobal, H.; O’Brien, N.; Monk, J.; Boyce, D.; Westcott, J.D.; Santander, J. Comparative Genomics Analysis of Vibrio anguillarum Isolated from Lumpfish (Cyclopterus lumpus) in Newfoundland Reveal Novel Chromosomal Organizations. Microorganisms 2020, 8, 1666. [Google Scholar] [CrossRef]
- Soto-Dávila, M.; Valderrama, K.; Inkpen, S.M.; Hall, J.R.; Rise, M.L.; Santander, J. Effects of Vitamin D2 (ergocalciferol) and D3 (cholecalciferol) on Atlantic salmon (Salmo salar) primary macrophage immune response to Aeromonas salmonicida subsp. salmonicida infection. Front. Immunol. 2020, 10, 3011. [Google Scholar] [CrossRef] [PubMed]
- Chakraborty, S.; Cao, T.; Hossain, A.; Gnanagobal, H.; Vasquez, I.; Boyce, D.; Santander, J. Vibrogen-2 vaccine trial in lumpfish (Cyclopterus lumpus) against Vibrio anguillarum. J. Fish. Dis 2019, 42, 1057–1064. [Google Scholar] [CrossRef] [PubMed]
- Valderrama, K.; Saravia, M.; Santander, J. Phenotype of Aeromonas salmonicida sp. salmonicida cyclic adenosine 3′, 5′-monophosphate receptor protein (Crp) mutants and its virulence in rainbow trout (Oncorhynchus mykiss). J. Fish. Dis. 2017, 40, 1849–1856. [Google Scholar] [CrossRef]
- Vasquez, I.; Cao, T.; Hossain, A.; Valderrama, K.; Gnanagobal, H.; Dang, M.; Leeuwis, R.H.; Ness, M.; Campbell, B.; Gendron, R. Aeromonas salmonicida infection kinetics and protective immune response to vaccination in sablefish (Anoplopoma fimbria). Fish. Shellfish Immunol. 2020, 104, 557–566. [Google Scholar] [CrossRef]
- Aziz, R.K.; Bartels, D.; Best, A.A.; DeJongh, M.; Disz, T.; Edwards, R.A.; Formsma, K.; Gerdes, S.; Glass, E.M.; Kubal, M.; et al. The RAST Server: Rapid annotations using subsystems technology. BMC Genom. 2008, 9, 75. [Google Scholar] [CrossRef]
- Andrews, S. FastQC: A Quality Control Tool for High Throughput Sequence Data. 2010. Available online: https://www.bioinformatics.babraham.ac.uk/projects/fastqc/ (accessed on 28 March 2021).
- Stothard, P.; Grant, J.R.; Van Domselaar, G. Visualizing and comparing circular genomes using the CGView family of tools. Brief. Bioinform. 2019, 20, 1576–1582. [Google Scholar] [CrossRef] [PubMed]
- Vaidya, G.; Lohman, D.J.; Meier, R. SequenceMatrix: Concatenation software for the fast assembly of multi-gene datasets with character set and codon information. Cladistics 2011, 27, 171–180. [Google Scholar] [CrossRef]
- Saitou, N.; Nei, M. The neighbor-joining method: A new method for reconstructing phylogenetic trees. Mol. Biol. Evol. 1987, 4, 406–425. [Google Scholar] [CrossRef] [PubMed]
- Kumar, S.; Stecher, G.; Li, M.; Knyaz, C.; Tamura, K. MEGA X: Molecular evolutionary genetics analysis across computing platforms. Mol. Biol. Evol. 2018, 35, 1547–1549. [Google Scholar] [CrossRef] [PubMed]
- Connors, E.; Soto-Dávila, M.; Hossain, A.; Vasquez, I.; Gnanagobal, H.; Santander, J. Identification and validation of reliable Aeromonas salmonicida subspecies salmonicida reference genes for differential gene expression analyses. Infect. Genet. Evol. 2019, 73, 314–321. [Google Scholar] [CrossRef]
- Li, B.; Ruotti, V.; Stewart, R.M.; Thomson, J.A.; Dewey, C.N. RNA-Seq gene expression estimation with read mapping uncertainty. Bioinformatics 2010, 26, 493–500. [Google Scholar] [CrossRef]
- Teng, M.; Love, M.I.; Davis, C.A.; Djebali, S.; Dobin, A.; Graveley, B.R.; Li, S.; Mason, C.E.; Olson, S.; Pervouchine, D. A benchmark for RNA-seq quantification pipelines. Genome Biol. 2016, 17, 1–12. [Google Scholar] [CrossRef]
- Pereira, M.B.; Wallroth, M.; Jonsson, V.; Kristiansson, E. Comparison of normalization methods for the analysis of metagenomic gene abundance data. BMC Genom. 2018, 19, 274. [Google Scholar] [CrossRef]
- Robinson, M.D.; McCarthy, D.J.; Smyth, G.K. edgeR: A Bioconductor package for differential expression analysis of digital gene expression data. Bioinformatics 2010, 26, 139–140. [Google Scholar] [CrossRef]
- Ge, S.X.; Jung, D.; Yao, R. ShinyGO: A graphical gene-set enrichment tool for animals and plants. Bioinformatics 2020, 36, 2628–2629. [Google Scholar] [CrossRef]
- Wickham, H. ggplot2. Wiley Interdiscip. Rev. Comput. Stat. 2011, 3, 180–185. [Google Scholar] [CrossRef]
- Bindea, G.; Mlecnik, B.; Hackl, H.; Charoentong, P.; Tosolini, M.; Kirilovsky, A.; Fridman, W.-H.; Pagès, F.; Trajanoski, Z.; Galon, J. ClueGO: A Cytoscape plug-in to decipher functionally grouped gene ontology and pathway annotation networks. Bioinformatics 2009, 25, 1091–1093. [Google Scholar] [CrossRef]
- Liu, B.; Zheng, D.; Jin, Q.; Chen, L.; Yang, J. VFDB 2019: A comparative pathogenomic platform with an interactive web interface. Nucleic Acids Res. 2019, 47, D687–D692. [Google Scholar] [CrossRef] [PubMed]
- Münch, R.; Hiller, K.; Grote, A.; Scheer, M.; Klein, J.; Schobert, M.; Jahn, D. Virtual Footprint and PRODORIC: An integrative framework for regulon prediction in prokaryotes. Bioinformatics 2005, 21, 4187–4189. [Google Scholar] [CrossRef] [PubMed]
- Ltd, K.C.S. Utilization of the cunner (Tautogolabrus adspersus), a wrasse, as a means of sea lice removal in commercial salmon farms. Available online: https://dfo-mpo.gc.ca/aquaculture/sustainable-durable/rapports-reports/2011-12/M03-eng.htm (accessed on 1 February 2021).
- Sekhar, S.C.; Threlfall, W. Infection of the Cunner, Tautogolabrus adspersus (Walbaum), with Metacercariae of Cryptocotyle lingua (Creplin, 1825). J. Helminthol. 2009, 44, 189–198. [Google Scholar] [CrossRef]
- Poirier, I.; Hammann, P.; Kuhn, L.; Bertrand, M. Strategies developed by the marine bacterium Pseudomonas fluorescens BA3SM1 to resist metals: A proteome analysis. Aquat. Toxicol. 2013, 128–129, 215–232. [Google Scholar] [CrossRef] [PubMed]
- Mikesell, M.D.; Kukor, J.J.; Olsen, R.H. Metabolic diversity of aromatic hydrocarbon-degrading bacteria from a petroleum-contaminated aquifer. Biodegradation 1993, 4, 249–259. [Google Scholar] [CrossRef]
- Di Simine, C.D.; Sayer, J.A.; Gadd, G.M. Solubilization of zinc phosphate by a strain of Pseudomonas fluorescens isolated from a forest soil. Biol. Fertil. Soils 1998, 28, 87–94. [Google Scholar] [CrossRef]
- Pfeifer, Y.; Cullik, A.; Witte, W. Resistance to cephalosporins and carbapenems in Gram-negative bacterial pathogens. Int. J. Med. Microbiol. 2010, 300, 371–379. [Google Scholar] [CrossRef] [PubMed]
- Dale, G.E.; Broger, C.; D’Arcy, A.; Hartman, P.G.; DeHoogt, R.; Jolidon, S.; Kompis, I.; Labhardt, A.M.; Langen, H.; Locher, H. A single amino acid substitution in Staphylococcus aureus dihydrofolate reductase determines trimethoprim resistance. J. Mol. Biol. 1997, 266, 23–30. [Google Scholar] [CrossRef] [PubMed]
- Pikis, A.; Donkersloot, J.A.; Rodriguez, W.J.; Keith, J.M. A conservative amino acid mutation in the chromosome-encoded dihydrofolate reductase confers trimethoprim resistance in Streptococcus pneumoniae. J. Infect. Dis. 1998, 178, 700–706. [Google Scholar] [CrossRef][Green Version]
- Livermore, D.M. beta-Lactamases in laboratory and clinical resistance. Clin. Microbiol. Rev. 1995, 8, 557–584. [Google Scholar] [CrossRef] [PubMed]
- Fernández, M.; Conde, S.; de la Torre, J.; Molina-Santiago, C.; Ramos, J.-L.; Duque, E. Mechanisms of resistance to chloramphenicol in Pseudomonas putida KT2440. Antimicrob. Agents Chemother. 2012, 56, 1001–1009. [Google Scholar] [CrossRef] [PubMed]
- Neilands, J.B. Siderophores: Structure and function of microbial iron transport compounds. J. Biol. Chem. 1995, 270, 26723–26726. [Google Scholar] [CrossRef] [PubMed]
- Holden, V.I.; Bachman, M.A. Diverging roles of bacterial siderophores during infection. Metallomics 2015, 7, 986–995. [Google Scholar] [CrossRef]
- Scales, B.S.; Dickson, R.P.; LiPuma, J.J.; Huffnagle, G.B. Microbiology, genomics, and clinical significance of the Pseudomonas fluorescens species complex, an unappreciated colonizer of humans. Clin. Microbiol. Rev. 2014, 27, 927–948. [Google Scholar] [CrossRef]
- Cornelis, P. Iron uptake and metabolism in pseudomonads. Appl. Microbiol. Biotechnol. 2010, 86, 1637–1645. [Google Scholar] [CrossRef] [PubMed]
- Andrews, S.C.; Robinson, A.K.; Rodríguez-Quiñones, F. Bacterial iron homeostasis. FEMS Microbiol. Rev. 2003, 27, 215–237. [Google Scholar] [CrossRef]
- Pontes, M.H.; Sevostyanova, A.; Groisman, E.A. When too much ATP is bad for protein synthesis. J. Mol. Biol. 2015, 427, 2586–2594. [Google Scholar] [CrossRef]
- Laursen, B.S.; Sørensen, H.P.; Mortensen, K.K.; Sperling-Petersen, H.U. Initiation of Protein Synthesis in Bacteria. Microbiol. Mol. Biol. Rev. 2005, 69, 101–123. [Google Scholar] [CrossRef]
- Ibraim, I.C.; Parise, M.T.D.; Parise, D.; Sfeir, M.Z.T.; de Paula Castro, T.L.; Wattam, A.R.; Ghosh, P.; Barh, D.; Souza, E.M.; Góes-Neto, A. Transcriptome profile of Corynebacterium pseudotuberculosis in response to iron limitation. BMC Genom. 2019, 20, 1–24. [Google Scholar] [CrossRef] [PubMed]
- Kumar, G.; Hummel, K.; Ahrens, M.; Menanteau-Ledouble, S.; Welch, T.J.; Eisenacher, M.; Razzazi-Fazeli, E.; El-Matbouli, M. Shotgun proteomic analysis of Yersinia ruckeri strains under normal and iron-limited conditions. Vet. Res. 2016, 47, 100. [Google Scholar] [CrossRef]
- Lim, C.K.; Hassan, K.A.; Tetu, S.G.; Loper, J.E.; Paulsen, I.T. The effect of iron limitation on the transcriptome and proteome of Pseudomonas fluorescens Pf-5. PLoS ONE 2012, 7, e39139. [Google Scholar] [CrossRef] [PubMed][Green Version]
- Oexle, H.; Gnaiger, E.; Weiss, G. Iron-dependent changes in cellular energy metabolism: Influence on citric acid cycle and oxidative phosphorylation. Biochim. Biophys. Acta Bioenerg. 1999, 1413, 99–107. [Google Scholar] [CrossRef]
- Groisman, E.A. Feedback control of two-component regulatory systems. Annu. Rev. Microbiol. 2016, 70, 103–124. [Google Scholar] [CrossRef] [PubMed]
- Dean, C.R.; Poole, K. Expression of the ferric enterobactin receptor (PfeA) of Pseudomonas aeruginosa: Involvement of a two-component regulatory system. Mol. Microbiol. 1993, 8, 1095–1103. [Google Scholar] [CrossRef] [PubMed]
- Ochsner, U.A.; Wilderman, P.J.; Vasil, A.I.; Vasil, M.L. GeneChip® expression analysis of the iron starvation response in Pseudomonas aeruginosa: Identification of novel pyoverdine biosynthesis genes. Mol. Microbiol. 2002, 45, 1277–1287. [Google Scholar] [CrossRef] [PubMed]
- Song, Z.; Wu, H.; Ciofu, O.; Kong, K.F.; Høiby, N.; Rygaard, J.; Kharazmi, A.; Mathee, K. Pseudomonas aeruginosa alginate is refractory to Th1 immune response and impedes host immune clearance in a mouse model of acute lung infection. J. Med. Microbiol 2003, 52, 731–740. [Google Scholar] [CrossRef] [PubMed]
- Franklin, M.; Nivens, D.; Weadge, J.; Howell, P. Biosynthesis of the Pseudomonas aeruginosa Extracellular Polysaccharides, Alginate, Pel, and Psl. Front. Microbiol. 2011, 2. [Google Scholar] [CrossRef] [PubMed]
- Bender, R.A. Regulation of the histidine utilization (Hut) system in bacteria. Microbiol. Mol. Biol. Rev. 2012, 76, 565–584. [Google Scholar] [CrossRef] [PubMed]
- Bowden, G.; Mothibeli, M.A.; Robb, F.T.; Woods, D.R. Regulation of Hut Enzymes and Extracellular Protease Activities in Vibrio alginolyticus hut Mutants. Microbiology 1982, 128, 2041–2045. [Google Scholar] [CrossRef] [PubMed]
- Sieira, R.; Arocena, G.M.; Bukata, L.; Comerci, D.J.; Ugalde, R.A. Metabolic control of virulence genes in Brucella abortus: HutC coordinates virB expression and the histidine utilization pathway by direct binding to both promoters. J. Bacteriol. 2010, 192, 217–224. [Google Scholar] [CrossRef]
- Zhang, X.-X.; Rainey, P.B. Dual involvement of CbrAB and NtrBC in the regulation of histidine utilization in Pseudomonas fluorescens SBW25. Genetics 2008, 178, 185–195. [Google Scholar] [CrossRef] [PubMed]
- Karas, V.O.; Westerlaken, I.; Meyer, A.S. The DNA-binding protein from starved cells (Dps) utilizes dual functions to defend cells against multiple stresses. J. Bacteriol. 2015, 197, 3206–3215. [Google Scholar] [CrossRef] [PubMed]
- Ilari, A.; Ceci, P.; Ferrari, D.; Rossi, G.L.; Chiancone, E. Iron incorporation into Escherichia coli Dps gives rise to a ferritin-like microcrystalline core. J. Biol. Chem. 2002, 277, 37619–37623. [Google Scholar] [CrossRef] [PubMed]
- Costa-Paiva, E.M.; Coates, C.J. Recent insights into the diversity and evolution of invertebrate hemerythrins and extracellular globins. In Vertebrate and Invertebrate Respiratory Proteins, Lipoproteins and other Body Fluid Proteins; Hoeger, U., Harris, J.R., Eds.; Springer International Publishing: Cham, Switzerland, 2020; pp. 251–273. [Google Scholar] [CrossRef]
- Isaza, C.E.; Silaghi-Dumitrescu, R.; Iyer, R.B.; Kurtz, D.M.; Chan, M.K. Structural basis for O2 sensing by the hemerythrin-like domain of a bacterial chemotaxis protein: Substrate tunnel and fluxional N terminus. Biochemistry 2006, 45, 9023–9031. [Google Scholar] [CrossRef]
- Alvarez-Carreño, C.; Becerra, A.; Lazcano, A. Molecular evolution of the oxygen-binding hemerythrin domain. PLoS ONE 2016, 11, e0157904. [Google Scholar] [CrossRef]
- Hassan, K.A.; Johnson, A.; Shaffer, B.T.; Ren, Q.; Kidarsa, T.A.; Elbourne, L.D.H.; Hartney, S.; Duboy, R.; Goebel, N.C.; Zabriskie, T.M.; et al. Inactivation of the GacA response regulator in Pseudomonas fluorescens Pf-5 has far-reaching transcriptomic consequences. Environ. Microbiol. 2010, 12, 899–915. [Google Scholar] [CrossRef]
- Lumppio, H.L.; Shenvi, N.V.; Summers, A.O.; Voordouw, G.; Kurtz, D.M. Rubrerythrin and rubredoxin oxidoreductase in Desulfovibrio vulgaris: A novel oxidative stress protection system. J. Bacteriol. 2001, 183, 101–108. [Google Scholar] [CrossRef]
- Coulter, E.D.; Kurtz, D.M. A role for rubredoxin in oxidative stress protection in Desulfovibrio vulgaris: Catalytic electron transfer to rubrerythrin and two-iron superoxide reductase. Arch. Biochem. Biophys. 2001, 394, 76–86. [Google Scholar] [CrossRef]
- Escolar, L.; Pérez-Martín, J.; De Lorenzo, V. Opening the iron box: Transcriptional metalloregulation by the Fur protein. J. Bacteriol. 1999, 181, 6223–6229. [Google Scholar] [CrossRef]
- Cornelis, P.; Matthijs, S.; Van Oeffelen, L. Iron uptake regulation in Pseudomonas aeruginosa. BioMetals 2009, 22, 15–22. [Google Scholar] [CrossRef]
- Hantke, K. Iron and metal regulation in bacteria. Curr. Opin. Microbiol. 2001, 4, 172–177. [Google Scholar] [CrossRef]
- Mossialos, D.; Ochsner, U.; Baysse, C.; Chablain, P.; Pirnay, J.-P.; Koedam, N.; Budzikiewicz, H.; Fernández, D.U.; Schäfer, M.; Ravel, J.; et al. Identification of new, conserved, non-ribosomal peptide synthetases from fluorescent pseudomonads involved in the biosynthesis of the siderophore pyoverdine. Mol. Microbiol. 2002, 45, 1673–1685. [Google Scholar] [CrossRef]
- Potvin, E.; Sanschagrin, F.; Levesque, R.C. Sigma factors in Pseudomonas aeruginosa. FEMS Microbiol. Rev. 2008, 32, 38–55. [Google Scholar] [CrossRef]
- Miethke, M.; Marahiel, M.A. Siderophore-based iron acquisition and pathogen control. Microbiol. Mol. Biol. Rev. 2007, 71, 413–451. [Google Scholar] [CrossRef]
- Yao, H.; Jepkorir, G.; Lovell, S.; Nama, P.V.; Weeratunga, S.; Battaile, K.P.; Rivera, M. Two distinct ferritin-like molecules in Pseudomonas aeruginosa: The product of the bfrA gene is a bacterial ferritin (FtnA) and not a bacterioferritin (Bfr). Biochemistry 2011, 50, 5236–5248. [Google Scholar] [CrossRef]
- Lyles, K.V.; Eichenbaum, Z. From host heme to iron: The expanding spectrum of heme degrading enzymes used by pathogenic bacteria. Front. Cell. Infect. Microbiol. 2018, 8. [Google Scholar] [CrossRef]
- Bronstein, P.A.; Filiatrault, M.J.; Myers, C.R.; Rutzke, M.; Schneider, D.J.; Cartinhour, S.W. Global transcriptional responses of Pseudomonas syringae DC3000 to changes in iron bioavailability in vitro. BMC Microbiol. 2008, 8, 209. [Google Scholar] [CrossRef]
- Rivera, M. Bacterioferritin: Structure, dynamics, and protein–protein interactions at play in iron storage and mobilization. Acc. Chem. Res. 2017, 50, 331–340. [Google Scholar] [CrossRef]
- Chahal, H.K.; Boyd, J.M.; Outten, F.W. Fe–S cluster biogenesis in archaea and bacteria. Met. Cells 2016, 445. [Google Scholar]
- Tokumoto, U.; Takahashi, Y. Genetic analysis of the isc operon in Escherichia coli involved in the biogenesis of cellular iron-sulfur proteins. J. Biochem. 2001, 130, 63–71. [Google Scholar] [CrossRef] [PubMed]
- Puglisi, R.; Pastore, A. The role of chaperones in iron–sulfur cluster biogenesis. FEBS Lett. 2018, 592, 4011–4019. [Google Scholar] [CrossRef] [PubMed]









| Phenotypic Characteristics | Strain J380 |
|---|---|
| Gram stain | − |
| Capsule | − |
| Cell shape | Rod |
| Motility | + |
| Oxidase | + |
| O-129 | Resistant |
| Type-I fimbria | − |
| Hemolysis activity | + (β-hemolysis) |
| Fluorescent siderophores | + |
| Catalase | + |
| Growth characteristics | |
| Growth at 4 °C | + |
| Growth at 15 °C | ++ |
| Growth at 28 °C | +++ |
| Growth at 37 °C | − |
| Growth in LB 0% NaCl | ++ |
| Growth in LB 1% NaCl | ++ |
| Growth in LB 2% NaCl | ++ |
| API20NE | |
| Profile reference and prediction | 0347554; 99.4% confidence, P. fluorescens |
| Reduction of Nitrates | − |
| Indole production | − |
| Fermentation of D-glucose | − |
| Arginine dihydrolase | + |
| Urease | + |
| Esculin Hydrolysis (β-glucosidase) | − |
| Gelatin Hydrolysis (protease) | − |
| β-galactosidase | − |
| Assimilation of: | |
| D-glucose | + |
| L-arabinose | + |
| D-mannose | + |
| D-mannitol | + |
| N-acetyl-glucosamine | + |
| D-Maltose | − |
| Potassium gluconate | + |
| Capric acid | + |
| Adipic acid | − |
| Malate | + |
| Trisodium citrate | − |
| Phenylacetic acid | − |
| API ZYM | |
| Alkaline phosphatase | + |
| Esterase (C-4) | + |
| Esterase Lipase | + |
| Lipase (C-14) | + |
| Leucine arylamidase aminopeptidase | + |
| Valine aminopeptidase arylamidase | + |
| Cystine aminopeptidase arylamidase | − |
| Trypsin | − |
| α-Chymotrypsin | − |
| Acid phosphatase | + |
| Naphthol-AS-BI-phosphohydrolase | + |
| α-galactosidase | − |
| β -galactosidase | − |
| Β-glucuronidase | − |
| α-glucosidase | − |
| β-glucosidase | − |
| N-acetyl-β-glucosaminidase | − |
| α-mannosidase | − |
| α-fucosidase | − |
| Antibiotic resistance (Antibiogram) | |
| Oxytetracycline (OTC) |
|
| Tetracycline (TET) |
|
| Oxolinic acid (OXA) |
|
| Trimethoprim-sulfamethoxazole (SXT) | + (Resistant) |
| Cefotaxime (CTX) | + (Resistant) |
| Ampicillin (AMP) | + (Resistant) |
| Chloramphenicol (CHL) | + (Resistant) |
| Characteristics | In Pseudomonas sp. J380 |
|---|---|
| Annotation Pipeline | NCBI, Prokaryotic Genome Annotation Pipeline (PGAP) |
| Annotation Method | Best-placed reference protein set; GeneMarkS-2+; v4.12 |
| Genes (total) | 5734 |
| CDSs (total) | 5642 |
| Genes (coding) | 5568 |
| CDSs (with protein) | 5568 |
| Genes (RNA) | 92 |
| rRNAs | 7, 6, 6 (5S, 16S, 23S) |
| complete rRNAs | 7, 6, 6 (5S, 16S, 23S) |
| tRNAs | 69 |
| ncRNAs | 4 |
| Pseudo Genes (total) | 74 |
| Locus Tag a | Region b | Gene Symbol | Putative Protein Product c | Log2 FC d | FDR p-Value d |
|---|---|---|---|---|---|
| Ribosomal Proteins | |||||
| FXO12_26170 | 5727130..5727312 | rpmF | 50S ribosomal protein L32 RpmF | −3.48 | 0 |
| FXO12_13410 | complement (2970861..2971289) | rplM | 50S ribosomal protein L13 RplM | −3.04 | 0 |
| FXO12_18260 | 4056006..4056140 | rpmH | 50S ribosomal protein L34 RpmH | −2.79 | 7.9 × 10−15 |
| FXO12_21760 | Complement (4790073..4790288) | rpsU | 30S ribosomal protein S21 RpsU | −3.24 | 0 |
| FXO12_14490 | 3182295..3182573 | rpsT | 30S ribosomal protein S20 RpsT | −3.79 | 0 |
| Protein Synthesis | |||||
| FXO12_23400 | 5120014..5120490 | greA | Transcription elongation factor GreA | −1.09 | 2.2 × 10−3 |
| FXO12_22365 | 49025..4903169 | nrdR | Transcriptional repressor NrdR | −1.26 | 3.3 × 10−6 |
| FXO12_22390 | 4906674..4907174 | nusB | Transcription antitermination protein NusB | −1.39 | 2.2 × 10−5 |
| FXO12_19455 | 4322309..4323568 | rho | Transcription termination factor Rho | −1.41 | 2.5 × 10−4 |
| FXO12_23460 | 5128462..5129943 | nusA | Transcription termination/antitermination protein NusA | −1.82 | 8.9 × 10−8 |
| FXO12_02255 | complement (448479..448697) | infA | Translation initiation factor IF-1 | −3.42 | 0 |
| FXO12_00580 | 95333..95866 | infC | Translation initiation factor IF-3 | −1.47 | 1.1 × 10−4 |
| Cellular Respiration | |||||
| FXO12_26945 | complement (5889113..5889721) | ccoO | Cytochrome-c oxidase, cbb3-type subunit II | −1.11 | 8.7 × 10−3 |
| FXO12_26935 | complement (5887965..5888912) | ccoP | Cytochrome-c oxidase, cbb3-type subunit III | −1.25 | 2.5 × 10−3 |
| FXO12_24070 | 5267129..5267464 | Cytochrome-o ubiquinol oxidase subunit IV | −1.45 | 9.1 × 10−4 | |
| FXO12_26950 | complement (5889732..5891156) | ccoN | Cytochrome-c oxidase | −1.79 | 5.9 × 10−5 |
| FXO12_08875 | complement (2005507..2006142) | ccmA | Cytochrome-c biogenesis heme-transporting ATPase CcmA | −2.11 | 6.2 × 10−9 |
| FXO12_08720 | complement (1974082..1974456) | sdhC | Succinate dehydrogenase cytochrome b556 subunit | −1.38 | 3.4 × 10−6 |
| Two-Component Systems (TCS) | |||||
| FXO12_02805 | 584990..586702 | Histidine kinase | 3.13 | 0 | |
| FXO12_07360 | complement (1672777..1674333) | Histidine kinase | 2.53 | 1.2 × 10−14 | |
| FXO12_15195 | 3323722..3326472 | Histidine kinase (PAS domain-containing protein (serine HK)) | 2.32 | 0 | |
| FXO12_04765 | complement (1011214..1012884) | Histidine kinase | 2.02 | 5.3 × 10−10 | |
| FXO12_17835 | 3965314..3967101 | Histidine kinase (alginate biosynthesis sensor protein KinB)$ | 1.20 | 2.8 × 10−4 | |
| FXO12_05065 | complement (1084240..1085568) | Histidine kinase (HAMP domain-containing protein (HK)) | 1.14 | 3.9 × 10−4 | |
| FXO12_12155 | 2685187..2686566 | Histidine kinase | 1.03 | 1.4 × 10−4 | |
| FXO12_27685 | complement (6046607..6047266) | Response regulator transcription factor | 2.50 | 3.3 × 10−11 | |
| FXO12_15180 | complement (3321856..3322641) | Response regulator transcription factor | 1.79 | 3.1 × 10−7 | |
| FXO12_19295 | 4289028..4289774 | Response regulator transcription factor | 1.69 | 1.6 × 10−5 | |
| FXO12_17830 | 3963957..3965303 | Response regulator | 1.40 | 1.6 × 10−4 | |
| FXO12_14850 | 3247797..3248471 | Heavy metal response regulator transcription factor | 1.25 | 1.8 × 10−3 | |
| FXO12_02395 | 474143..474871 | Response regulator transcription factor | −1.04 | 3.5 × 10−3 | |
| FXO12_19295 | 4289028..4289774 | algR | DNA-binding response regulator (alginate biosynthesis regulatory protein AlgR)$ | 1.69 | 1.6 × 10−5 |
| FXO12_19335 | 4296340..4297539 | algP | Transcriptional regulator (alginate regulatory protein AlgP)$ | 1.01 | 4.4 × 10−4 |
| FXO12_17830 | 3963957..3965303 | algB | Response regulator (two-component response regulator AlgB)$ | 1.40 | 1.6 × 10−4 |
| Histidine Catabolism (Hut Pathway) e | |||||
| FXO12_16485 | complement (3641498..3643036) | hutH | Histidine ammonia-lyase HutH_1 | 1.13 | 3.21 × 10−3 |
| FXO12_16490 | complement (3643063..3644571) | hutH | Histidine ammonia-lyase HutH_2 | 1.37 | 8.83 × 10−5 |
| FXO12_16515 | complement (3649120..3650790) | hutU | Urocanate hydratase HutU | 2.11 | 2.82 × 10−5 |
| FXO12_16470 * | complement (3637890..3638690) | hutG | N-formylglutamate deformylase HutG | 0.64 | 3.04 × 10−2 |
| FXO12_16520 * | complement (3651180..3651740) | hutD | HutD family protein | 0.24 | 5.32 × 10−1 |
| FXO12_16525 * | complement (3651737..3652486) | hutC | Histidine utilization repressor HutC | 0.02 | 9.60 × 10−1 |
| Defense Against Stress and Oxidative Damage | |||||
| FXO12_13240 | complement (2935573..2936184) | sodA | Superoxide dismutase | 2.43 | 1.5 × 10−3 |
| FXO12_17910 | complement (3981967..3984108) | katE | Catalase | 1.95 | 1.4 × 10−9 |
| FXO12_25080 | 5486878..5487351 | dps | DNA-binding protein from starved cells (Dps) | 2.19 | 5.5 × 10−7 |
| FXO12_02520 | 497862..499241 | Iron-containing redox enzyme family protein | 2.19 | 0 | |
| FXO12_06285 | 1385806..1386282 | Hemerythrin domain-containing protein | 1.63 | 1.3 × 10−9 | |
| FXO12_18785 | 4178968..4179135 | rd | Rubredoxin | −1.14 | 7.2 × 10−5 |
| Locus Tag a | Region b | Gene Symbol | Putative Protein Product c | Log2FC d | FDR p-Value d | Conserved Domain e | Putative Function f |
|---|---|---|---|---|---|---|---|
| FXO12_23360 * | 5108033..5108437 | fur | Ferric uptake regulation protein Fur | −0.95 | 1.94 × 10−2 | Fur | Master regulator of Fe3+ uptake |
| FXO12_25165 | 5500602..5502314 | ShlB/FhaC/HecB family hemolysin secretion/activation protein | 1.91 | 1.63 × 10−10 | FhaC | Haemolysin activator | |
| FXO12_15125 | 3311388..3313070 | ShlB/FhaC/HecB family hemolysin secretion/activation protein | −1.28 | 1.58 × 10−7 | FhaC | Haemolysin activator | |
| FXO12_20210 * | Complement (3194188..3195213) | Hemolysin III family protein | 0.93 | 4.70 × 10−3 | HemH | Heme biosynthetic pathway | |
| FXO12_17340 | Complement (3828754..3829305) | RNA polymerase subunit sigma-70 | 1.68 | 7.65 × 10−8 | RpoE; sigma70-ECF | Transcriptional control | |
| FXO12_12235 | 2709169..2709936 | Siderophore-interacting protein | 1.41 | 3.36 × 10−2 | SIP | Siderophore interaction | |
| FXO12_07455 | 1693966..1694364 | Low-affinity iron permease family protein | 3.16 | 0 | Fet4 | Inorganic ion (e.g., Fe) iron transport | |
| FXO12_08250 | 1871305..1872381 | Extracellular solute-binding protein | 1.49 | 3.54 × 10−5 | AfuA | Fe3+ transport | |
| FXO12_04205 | 896184..896987 | ABC transporter ATP-binding protein | 1.31 | 8.75 × 10−6 | TauB | Nitrate/sulfonate/bicarbonate transport | |
| FXO12_08260 | 1873401..1874246 | ABC transporter permease subunit | 1.07 | 1.92 × 10−4 | COG4132 | ABC-type uncharacterized transport system | |
| FXO12_07150 | Complement (1625940..1628069) | TonB-dependent siderophore receptor | −1.12 | 1.22 × 10−4 | PRK10044; CirA | Fe transport | |
| FXO12_06655 * | 1476863..1479025 | TonB-dependent siderophore receptor | −0.94 | 2.23 × 10−3 | PRK10044; CirA | Fe transport | |
| FXO12_24140 | Complement (5282386..5283000) | Biliverdin-producing heme oxygenase | 1.58 | 7.47 × 10−7 | HemeO-bac | Heme oxidation in bacteria | |
| FXO12_15500 | 3405445..3405975 | Bacterioferritin | 2.29 | 5.67 × 10−11 | Bfr | Inorganic ion transport and storage | |
| FXO12_11970 | 2640649..2641119 | bfr | Bacterioferritin | −1.44 | 2.43 × 10−7 | Bacterioferritin | Iron binding, transport and storage |
| FXO12_22240 * | 4873628..4874092 | bfr | Bacterioferritin | −0.88 | 2.15 × 10−2 | Bacterioferritin | Iron binding, transport and storage |
| FXO12_24275 | 5301834..5303696 | hscA | Fe-S protein assembly chaperone HscA | −1.62 | 6.30 × 10−6 | HscA; DnaK; HSP70 | Fe-S cluster biogenesis |
| FXO12_24270 * | 5301261..5301782 | hscB | Co-chaperone HscB | −0.98 | 5.49 × 10−3 | HscB | maturation of iron-sulfur cluster-containing proteins |
| FXO12_24280 | 5303700..5304041 | fdx | ISC system 2Fe-2S type ferredoxin | −1.59 | 2.33 × 10−7 | Fdx_isc | Electron transfer agent |
| FXO12_11905 | 2627651..2627974 | Ferredoxin family protein | −1.97 | 2.54 × 10−12 | DUF3470 | Electron transfer agent | |
| FXO12_19935 | Complement (4427789..4428040) | YfhL family 4Fe-4S dicluster ferredoxin | −1.21 | 2.93 × 10−4 | di_4Fe-4S_YfhL; PRK07118 | Unknwon | |
| FXO12_19255 | 4281501..4281833 | cyaY | Iron donor protein Cyay | −1.18 | 9.09 × 10−5 | CyaY; Frataxin | Iron donor in Fe-S cluster biogenesis |
| FXO12_23050 | 5034033..5034557 | (2Fe-2S)-binding protein | 1.29 | 5.95 × 10−6 | CoxS | Unknwon |
Publisher’s Note: MDPI stays neutral with regard to jurisdictional claims in published maps and institutional affiliations. |
© 2021 by the authors. Licensee MDPI, Basel, Switzerland. This article is an open access article distributed under the terms and conditions of the Creative Commons Attribution (CC BY) license (https://creativecommons.org/licenses/by/4.0/).
Share and Cite
Umasuthan, N.; Valderrama, K.; Vasquez, I.; Segovia, C.; Hossain, A.; Cao, T.; Gnanagobal, H.; Monk, J.; Boyce, D.; Santander, J. A Novel Marine Pathogen Isolated from Wild Cunners (Tautogolabrus adspersus): Comparative Genomics and Transcriptome Profiling of Pseudomonas sp. Strain J380. Microorganisms 2021, 9, 812. https://doi.org/10.3390/microorganisms9040812
Umasuthan N, Valderrama K, Vasquez I, Segovia C, Hossain A, Cao T, Gnanagobal H, Monk J, Boyce D, Santander J. A Novel Marine Pathogen Isolated from Wild Cunners (Tautogolabrus adspersus): Comparative Genomics and Transcriptome Profiling of Pseudomonas sp. Strain J380. Microorganisms. 2021; 9(4):812. https://doi.org/10.3390/microorganisms9040812
Chicago/Turabian StyleUmasuthan, Navaneethaiyer, Katherinne Valderrama, Ignacio Vasquez, Cristopher Segovia, Ahmed Hossain, Trung Cao, Hajarooba Gnanagobal, Jennifer Monk, Danny Boyce, and Javier Santander. 2021. "A Novel Marine Pathogen Isolated from Wild Cunners (Tautogolabrus adspersus): Comparative Genomics and Transcriptome Profiling of Pseudomonas sp. Strain J380" Microorganisms 9, no. 4: 812. https://doi.org/10.3390/microorganisms9040812
APA StyleUmasuthan, N., Valderrama, K., Vasquez, I., Segovia, C., Hossain, A., Cao, T., Gnanagobal, H., Monk, J., Boyce, D., & Santander, J. (2021). A Novel Marine Pathogen Isolated from Wild Cunners (Tautogolabrus adspersus): Comparative Genomics and Transcriptome Profiling of Pseudomonas sp. Strain J380. Microorganisms, 9(4), 812. https://doi.org/10.3390/microorganisms9040812

