What an Escherichia coli Mutant Can Teach Us About the Antibacterial Effect of Chlorophyllin
Abstract
:1. Introduction
2. Materials and Methods
2.1. Bacteria Strains and Cell Culture
2.2. Illumination
2.3. Chlorophyllin Extraction
2.4. Chlorophyllin Stability in Light
2.5. Growth Experiments
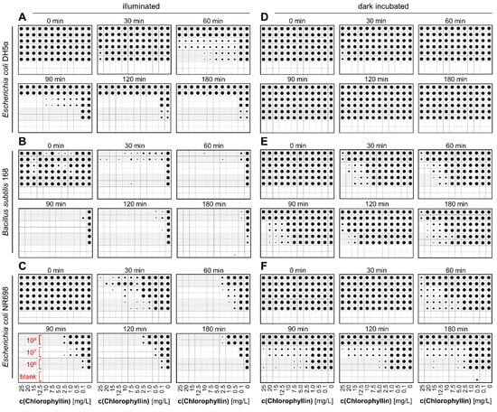
2.6. Determination of Effective Chlorophyllin Concentrations
2.7. Colony-Forming Units (CFU) Assay
2.8. Fluorescence Microscopy
2.9. Data Evaluation and Statistics
3. Results
3.1. A Question of Gram: Effects of Chlorophyllin on the Early Growth Behavior of Different Bacteria
- illuminated cells in LB
- non-illuminated cells in LB
- illuminated cells in LB with evaporated solvent (MeOH/KOH)
- illuminated cells in the presence of 22 mg/L chlorophyllin
- non-illuminated cells in the presence of 22 mg/L chlorophyllin
3.2. Determination of the Minimal Inhibitory Chlorophyllin Concentration
3.3. Examining the Limits of a Photodynamic Therapy With Chlorophyllin
3.3.1. Chlorophyllin Concentration
3.3.2. Chlorophyll Degradation
3.3.3. Light Exposure Time
3.3.4. Light Intensity
3.3.5. Temperature
4. Discussion
4.1. Photodynamic Treatment with Porphyrins
4.2. The Outer Membrane Is a Barrier That Often Impedes Photodynamic Therapies
4.3. Chlorophyllin Is Not Only a Photosensitizer: The Two Modes of Action
5. Conclusions
Supplementary Materials
Author Contributions
Funding
Acknowledgments
Conflicts of Interest
References
- Jori, G.; Brown, S.B. Photosensitized inactivation of microorganisms. Photochem. Photobiol. Sci. 2004, 3, 403–405. [Google Scholar] [CrossRef] [PubMed]
- Tünger, O.; Dinc, G.; Ozbakkaloglu, B.; Atman, U.C.; Algün, U. Evaluation of rational antibiotic use. Int. J. Antimicrob. Agents 2000, 15, 131–135. [Google Scholar] [CrossRef]
- Blair, J.M.; Webber, M.A.; Baylay, A.J.; Ogbolu, D.O.; Piddock, L.J. Molecular mechanisms of antibiotic resistance. Nat. Rev. Microbiol. 2015, 13, 42–51. [Google Scholar] [CrossRef] [PubMed]
- Goossens, H.; Ferech, M.; Vander Stichele, R.; Elseviers, M. Outpatient antibiotic use in Europe and association with resistance: A cross-national database study. Lancet 2005, 365, 579–587. [Google Scholar] [CrossRef]
- Annual Report of the European Antimicrobial Resistance Surveillance Network (EARS-Net). In Surveillance of Antimicrobial Resistance in Europe; European Centre for Disease Prevention and Control: Stockholm, Sweden, 2017. Available online: http://ecdc.europa.eu/sites/portal/files/documents/AMR-surveillance-Europe-2016.pdf (accessed on 31 December 2018).
- Schmithausen, R.M.; Schulze-Geisthoevel, S.V.; Stemmer, F.; El-Jade, M.; Reif, M.; Hack, S.; Meilaender, A.; Montabauer, G.; Fimmers, R.; Parcina, M.; et al. Analysis of Transmission of MRSA and ESBL-E among Pigs and Farm Personnel. PLoS ONE 2015, 10, e0138173. [Google Scholar] [CrossRef] [PubMed]
- Wegener, H.C. Antibiotics in animal feed and their role in resistance development. Curr. Opin. Microbiol. 2003, 6, 439–445. [Google Scholar] [CrossRef]
- Cabello, F.C. Heavy use of prophylactic antibiotics in aquaculture: A growing problem for human and animal health and for the environment. Environ. Microbiol. 2006, 8, 1137–1144. [Google Scholar] [CrossRef] [PubMed]
- Ghosh, S.; LaPara, T.M. The effects of subtherapeutic antibiotic use in farm animals on the proliferation and persistence of antibiotic resistance among soil bacteria. ISME J. 2007, 1, 191–203. [Google Scholar] [CrossRef] [PubMed]
- Nikaido, H. Multidrug resistance in bacteria. Annu. Rev. Biochem. 2009, 78, 119–146. [Google Scholar] [CrossRef] [PubMed]
- Ventola, C.L. The antibiotic resistance crisis: Part 1: Causes and threats. Phram. Ther. 2015, 40, 277–283. [Google Scholar]
- ECDC/EMEA Joint Working Group. ECDC/EMEA Joint Technical Report: The Bacterial Challenge: Time to React; European Centre for Disease Prevention and Control: Stockholm, Sweden, 2009; Available online: http://www.ecdc.europa.eu/en/publications/Publications/Forms/ECDC_DispForm.aspx?ID=444 (accessed on 31 December 2018).
- Cassini, A.; Högberg, L.D.; Plachouras, D.; Quattrocchi, A.; Hoxha, A.; Simonsen, G.S.; Colomb-Cotinat, M.; Kretzschmar, M.E.; Devleesschauwer, B.; Cecchini, M.; et al. Attributable deaths and disability-adjusted life-years caused by infections with antibiotic-resistant bacteria in the EU and the European Economic Area in 2015: A population-level modelling analysis. Lancet Infect. Dis. 2018, 19, 56–66. [Google Scholar] [CrossRef]
- Papp-Wallace, K.M.; Endimiani, A.; Taracila, M.A.; Bonomo, R.A. Carbapenems: Past, Present, and Future. Antimicrob. Agents Chemother. 2011, 55, 4943–4960. [Google Scholar] [CrossRef] [PubMed]
- Iovleva, A.; Doi, Y. Carbapenem-Resistant Enterobacteriaceae. Clin. Lab. Med. 2017, 37, 303–315. [Google Scholar] [CrossRef] [PubMed]
- Lee, J.Y.H.; Monk, I.R.; Gonçalves da Silva, A.; Seemann, T.; Chua, K.Y.L.; Kearns, A.; Hill, R.; Woodford, N.; Bartels, M.D.; Strommenger, B.; et al. Global spread of three multidrug-resistant lineages of Staphylococcus epidermidis. Nat. Microbiol. 2018, 3, 1175–1185. [Google Scholar] [CrossRef] [PubMed]
- Tzouvelekis, L.S.; Markogiannakis, A.; Psichogiou, M.; Tassios, P.T.; Daikos, G.L. Carbapenemases in Klebsiella pneumoniae and other Enterobacteriaceae: An evolving crisis of global dimensions. Clin. Microbiol. Rev. 2012, 25, 682–707. [Google Scholar] [CrossRef] [PubMed]
- The Review on Antimicrobial Resistance, Chaired by Jim O’Neill. Antimicrobial Resistance: Tackling a Crisis for the Health and Wealth of Nations. 2014. Available online: http://www.jpiamr.eu/wp-content/uploads/2014/12/AMR-Review-Paper-Tackling-a-crisis-for-the-health-and-wealth-of-nations_1-2.pdf (accessed on 31 December 2018).
- Falagas, M.E.; Bliziotis, I.A. Pandrug-resistant Gram-negative bacteria: The dawn of the post-antibiotic era? Int. J. Antimicrob. Agents 2007, 29, 630–636. [Google Scholar] [CrossRef] [PubMed]
- Livermore, D.M. Has the era of untreatable infections arrived? J. Antimicrob. Chemother. 2009, 64 (Suppl. 1), i29–i36. [Google Scholar] [CrossRef] [PubMed]
- Hornsey, M.; Ellington, M.J.; Doumith, M.; Hudson, S.; Livermore, D.M.; Woodford, N. Tigecycline resistance in Serratia marcescens associated with up-regulation of the SdeXY-HasF efflux system also active against ciprofloxacin and cefpirome. J. Antimicrob. Chemother. 2010, 65, 479–482. [Google Scholar] [CrossRef]
- Diene, S.M.; Merhej, V.; Henry, M.; El Filali, A.; Roux, V.; Robert, C.; Azza, S.; Gavory, F.; Barbe, V.; La Scola, B.; et al. The rhizome of the multidrug-resistant Enterobacter aerogenes genome reveals how new “killer bugs” are created because of a sympatric lifestyle. Mol. Biol. Evol. 2013, 30, 369–383. [Google Scholar] [CrossRef]
- Linkevicius, M.; Sandegren, L.; Andersson, D.I. Mechanisms and fitness costs of tigecycline resistance in Escherichia coli. J. Antimicrob. Chemother. 2013, 68, 2809–2819. [Google Scholar] [CrossRef]
- Rasheed, J.K.; Kitchel, B.; Zhu, W.; Anderson, K.F.; Clark, N.C.; Ferraro, M.J.; Savard, P.; Humphries, R.M.; Kallen, A.J.; Limbago, B.M. New Delhi metallo-beta-lactamase-producing Enterobacteriaceae, United States. Emerg. Infect. Dis. 2013, 19, 870–878. [Google Scholar] [CrossRef] [PubMed]
- Ling, L.L.; Schneider, T.; Peoples, A.J.; Spoering, A.L.; Engels, I.; Conlon, B.P.; Mueller, A.; Schaberle, T.F.; Hughes, D.E.; Epstein, S.; et al. A new antibiotic kills pathogens without detectable resistance. Nature 2015, 517, 455–459. [Google Scholar] [CrossRef] [PubMed]
- Wainwright, M. Photodynamic antimicrobial chemotherapy (PACT). J. Antimicrob. Chemother. 1998, 42, 13–28. [Google Scholar] [CrossRef]
- Stojiljkovic, I.; Evavold, B.D.; Kumar, V. Antimicrobial properties of porphyrins. Expert Opin. Investig. Drugs 2001, 10, 309–320. [Google Scholar] [CrossRef]
- Wainwright, M.; Maisch, T.; Nonell, S.; Plaetzer, K.; Almeida, A.; Tegos, G.P.; Hamblin, M.R. Photoantimicrobials-are we afraid of the light? Lancet Infect. Dis. 2017, 17, e49–e55. [Google Scholar] [CrossRef]
- Redmond, R.W.; Gamlin, J.N. A compilation of singlet oxygen yields from biologically relevant molecules. Photochem. Photobiol. 1999, 70, 391–475. [Google Scholar] [CrossRef] [PubMed]
- Cieplik, F.; Deng, D.; Crielaard, W.; Buchalla, W.; Hellwig, E.; Al-Ahmad, A.; Maisch, T. Antimicrobial photodynamic therapy—What we know and what we don’t. Crit. Rev. Microbiol. 2018, 44, 571–589. [Google Scholar] [CrossRef]
- Kohanski, M.A.; Dwyer, D.J.; Hayete, B.; Lawrence, C.A.; Collins, J.J. A common mechanism of cellular death induced by bactericidal antibiotics. Cell 2007, 130, 797–810. [Google Scholar] [CrossRef]
- Keren, I.; Wu, Y.; Inocencio, J.; Mulcahy, L.R.; Lewis, K. Killing by bactericidal antibiotics does not depend on reactive oxygen species. Science 2013, 339, 1213–1216. [Google Scholar] [CrossRef]
- Liu, Y.; Imlay, J.A. Cell death from antibiotics without the involvement of reactive oxygen species. Science 2013, 339, 1210–1213. [Google Scholar] [CrossRef]
- Minnock, A.; Vernon, D.I.; Schofield, J.; Griffiths, J.; Parish, J.H.; Brown, S.B. Mechanism of uptake of a cationic water-soluble pyridinium zinc phthalocyanine across the outer membrane of Escherichia coli. Antimicrob. Agents Chemother. 2000, 44, 522–527. [Google Scholar] [CrossRef] [PubMed]
- Konan, Y.N.; Gurny, R.; Allémann, E. State of the art in the delivery of photosensitizers for photodynamic therapy. J. Photochem. Photobiol. B 2002, 66, 89–106. [Google Scholar] [CrossRef]
- Huang, L.; Xuan, Y.; Koide, Y.; Zhiyentayev, T.; Tanaka, M.; Hamblin, M.R. Type i and type ii mechanisms of antimicrobial photodynamic therapy: An in vitro study on gram-negative and gram-positive bacteria. Lasers Surg. Med. 2012, 44, 490–499. [Google Scholar] [CrossRef] [PubMed]
- Taraszkiewicz, A.; Fila, G.; Grinholc, M.; Nakonieczna, J. Innovative strategies to overcome biofilm resistance. Biomed. Res. Int. 2013, 2013, 150653. [Google Scholar] [CrossRef] [PubMed]
- Cieplik, F.; Pummer, A.; Regensburger, J.; Hiller, K.-A.; Späth, A.; Tabenski, L.; Buchalla, W.; Maisch, T. The impact of absorbed photons on antimicrobial photodynamic efficacy. Front. Microbiol. 2015, 6, 706. [Google Scholar] [CrossRef] [PubMed]
- Cieplik, F.; Steinwachs, V.S.; Muehler, D.; Hiller, K.A.; Thurnheer, T.; Belibasakis, G.N.; Buchalla, W.; Maisch, T. Phenalen-1-one-mediated antimicrobial photodynamic therapy: Antimicrobial efficacy in a periodontal biofilm model and flow cytometric evaluation of cytoplasmic membrane damage. Front. Microbiol. 2018, 9, 688. [Google Scholar] [CrossRef] [PubMed]
- Esteban Florez, F.L.; Mendonca de Oliveira, M.R.; de Oliveira Junior, O.B.; Hiers, R.D.; Khajotia, S.S.; Pretel, H. Bioluminescence analysis of antibacterial photodynamic therapy using methylene blue mediated by low-intensity level laser against cariogenic biofilms. Photomed. Laser Surg. 2018, 36, 258–265. [Google Scholar] [CrossRef]
- Maisch, T.; Eichner, A.; Späth, A.; Gollmer, A.; König, B.; Regensburger, J.; Bäumler, W. Fast and effective photodynamic inactivation of multiresistant bacteria by cationic riboflavin derivatives. PLoS ONE 2014, 9, e111792. [Google Scholar] [CrossRef]
- Schempp, C.M.; Pelz, K.; Wittmer, A.; Schopf, E.; Simon, J.C. Antibacterial activity of hyperforin from st john’s wort, against multiresistant Staphylococcus aureus and gram-positive bacteria. Lancet 1999, 353, 2129. [Google Scholar] [CrossRef]
- Jiang, X.; Fan, Z.; Yu, Y.; Shao, C.; Suo, Y.; Wei, X.; Zhou, Y. Toluidine blue o and porphyrin-mediated photodynamic therapy on three main pathogenic bacteria of periodontitis using portable led phototherapy device. J. Innov. Opt. Health Sci. 2014, 8, 1550017. [Google Scholar] [CrossRef]
- Muehler, D.; Sommer, K.; Wennige, S.; Hiller, K.A.; Cieplik, F.; Maisch, T.; Späth, A. Light-activated phenalen-1-one bactericides: Efficacy, toxicity and mechanism compared with benzalkonium chloride. Future Microbiol. 2017, 12, 1297–1310. [Google Scholar] [CrossRef] [PubMed]
- Caminos, D.A.; Durantini, E.N. Photodynamic inactivation of escherichia coli immobilized on agar surfaces by a tricationic porphyrin. Bioorg. Med. Chem. 2006, 14, 4253–4259. [Google Scholar] [CrossRef] [PubMed]
- Martins, D.; Mesquita, M.Q.; Neves, M.; Faustino, M.A.F.; Reis, L.; Figueira, E.; Almeida, A. Photoinactivation of Pseudomonas syringae pv. Actinidiae in kiwifruit plants by cationic porphyrins. Planta 2018. [Google Scholar] [CrossRef] [PubMed]
- Pereira, M.A.; Faustino, M.A.; Tome, J.P.; Neves, M.G.; Tome, A.C.; Cavaleiro, J.A.; Cunha, A.; Almeida, A. Influence of external bacterial structures on the efficiency of photodynamic inactivation by a cationic porphyrin. Photochem. Photobiol. Sci. 2014, 13, 680–690. [Google Scholar] [CrossRef] [PubMed]
- Ferro, S.; Ricchelli, F.; Monti, D.; Mancini, G.; Jori, G. Efficient photoinactivation of methicillin-resistant Staphylococcus aureus by a novel porphyrin incorporated into a poly-cationic liposome. Int. J. Biochem. Cell Biol. 2007, 39, 1026–1034. [Google Scholar] [CrossRef]
- Park, J.H.; Moon, Y.H.; Bang, I.S.; Kim, Y.C.; Kim, S.A.; Ahn, S.G.; Yoon, J.H. Antimicrobial effect of photodynamic therapy using a highly pure chlorin e6. Lasers Med. Sci. 2010, 25, 705–710. [Google Scholar] [CrossRef]
- Park, J.H.; Ahn, M.Y.; Kim, Y.C.; Kim, S.A.; Moon, Y.H.; Ahn, S.G.; Yoon, J.H. In vitro and in vivo antimicrobial effect of photodynamic therapy using a highly pure chlorin e6 against Staphylococcus aureus xen29. Biol. Pharm. Bull. 2012, 35, 509–514. [Google Scholar] [CrossRef]
- Luksiene, Z.; Buchovec, I.; Paskeviciute, E. Inactivation of several strains of Listeria monocytogenes attached to the surface of packaging material by Na-chlorophyllin-based photosensitization. J. Photochem. Photobiol. B 2010, 101, 326–331. [Google Scholar] [CrossRef]
- Luksiene, Z.; Buchovec, I.; Paskeviciute, E. Inactivation of Bacillus cereus by Na-chlorophyllin-based photosensitization on the surface of packaging. J. Appl. Microbiol. 2010, 109, 1540–1548. [Google Scholar] [CrossRef]
- Aponiene, K.; Luksiene, Z. Effective combination of led-based visible light, photosensitizer and photocatalyst to combat gram (−) bacteria. J. Photochem. Photobiol. B 2015, 142, 257–263. [Google Scholar] [CrossRef]
- Fiedor, L.; Gorman, A.A.; Hamblett, I.; Rosenbach-Belkin, V.; Salomon, Y.; Scherz, A.; Tregub, I. A pulsed laser and pulse radiolysis study of amphiphilic chlorophyll derivatives with pdt activity toward malignant melanoma. Photochem. Photobiol. 1993, 58, 506–511. [Google Scholar] [CrossRef] [PubMed]
- Erzinger, G.S.; Wohllebe, S.; Vollrath, F.; Souza, S.C.; Richter, P.; Lebert, M.; Häder, D.P. Optimizing conditions for the use of chlorophyll derivatives for photodynamic control of parasites in aquatic ecosystems. Parasitol. Res. 2011, 109, 781–786. [Google Scholar] [CrossRef] [PubMed]
- Wohllebe, S.; Richter, R.; Richter, P.; Häder, D.P. Photodynamic control of human pathogenic parasites in aquatic ecosystems using chlorophyllin and pheophorbid as photodynamic substances. Parasitol. Res. 2009, 104, 593–600. [Google Scholar] [CrossRef] [PubMed]
- Ruiz, N.; Falcone, B.; Kahne, D.; Silhavy, T.J. Chemical conditionality: A genetic strategy to probe organelle assembly. Cell 2005, 121, 307–317. [Google Scholar] [CrossRef] [PubMed]
- Sambrook, J.; Fritsch, E.F.; Maniatis, T. Molecular Cloning: A Laboratory Manual; Cold Spring Harbor Laboratory Press: Cold Spring Harbor, NY, USA, 1989; pp. xxxviii + 1546. [Google Scholar]
- Lichtenthaler, H.K.; Wellburn, A.R. Determinations of total carotenoids and chlorophylls a and b of leaf extracts in different solvents. Biochem. Soc. Trans. 1983, 11, 591–592. [Google Scholar] [CrossRef]
- Jen, J.J.; Mackinney, G. On the photodecomposition of chlorophyll in vitro reaction rates. Photochem. Photobiol. 1970, 11, 297–302. [Google Scholar] [CrossRef] [PubMed]
- Llewellyn, C.A.; Mantoura, R.F.C.; Brereton, R.G. Products of chlorophyll photodegradation–2. Structural identification. Photochem. Photobiol. 1990, 52, 1043–1047. [Google Scholar] [CrossRef]
- Buchovec, I.; Lukseviciute, V.; Kokstaite, R.; Labeikyte, D.; Kaziukonyte, L.; Luksiene, Z. Inactivation of gram (-) bacteria Salmonella enterica by chlorophyllin-based photosensitization: Mechanism of action and new strategies to enhance the inactivation efficiency. J. Photochem. Photobiol. B 2017, 172, 1–10. [Google Scholar] [CrossRef]
- Maclean, M.; Macgregor, S.J.; Anderson, J.G.; Woolsey, G.A. The role of oxygen in the visible-light inactivation of Staphylococcus aureus. J. Photochem. Photobiol. B 2008, 92, 180–184. [Google Scholar] [CrossRef]
- Alves, E.; Faustino, M.A.F.; Tomé, J.P.C.; Neves, M.G.P.M.S.; Tomé, A.C.; Cavaleiro, J.A.S.; Cunha, Â.; Gomes, N.C.M.; Almeida, A. Photodynamic antimicrobial chemotherapy in aquaculture: Photoinactivation studies of Vibrio fischeri. PLoS ONE 2011, 6, e20970. [Google Scholar] [CrossRef]
- Nikaido, H. Prevention of drug access to bacterial targets: Permeability barriers and active efflux. Science 1994, 264, 382–388. [Google Scholar] [CrossRef] [PubMed]
- Sperandio, F.F.; Huang, Y.Y.; Hamblin, M.R. Antimicrobial photodynamic therapy to kill gram-negative bacteria. Recent Pat. Antiinfect. Drug Discov. 2013, 8, 108–120. [Google Scholar] [CrossRef] [PubMed]
- Nikaido, H.; Vaara, M. Molecular basis of bacterial outer membrane permeability. Microbiol. Rev. 1985, 49, 1–32. [Google Scholar] [CrossRef] [PubMed]
- Bertoloni, G.; Salvato, B.; Dall’Acqua, M.; Vazzoler, M.; Jori, G. Hematoporphyrin-sensitized photoinactivation of Streptococcus faecalis. Photochem. Photobiol. 1984, 39, 811–816. [Google Scholar] [CrossRef] [PubMed]
- Venezio, F.R.; DiVincenzo, C.; Sherman, R.; Reichman, M.; Origitano, T.C.; Thompson, K.; Reichman, O.H. Bactericidal effects of photoradiation therapy with hematoporphyrin derivative. J. Infect. Dis. 1985, 151, 166–169. [Google Scholar] [CrossRef] [PubMed]
- Bertoloni, G.; Reddi, E.; Gatta, M.; Burlini, C.; Jori, G. Factors influencing the haematoporphyrin-sensitized photoinactivation of Candida albicans. J. Gen. Microbiol. 1989, 135, 957–966. [Google Scholar] [CrossRef] [PubMed]
- Malik, Z.; Hanania, J.; Nitzan, Y. Bactericidal effects of photoactivated porphyrins—An alternative approach to antimicrobial drugs. J. Photochem. Photobiol. B 1990, 5, 281–293. [Google Scholar] [CrossRef]
- Shawar, R.; Cooper, B.H. Comparative kinetics of hematoporphyrin derivative uptake and susceptibility of Bacillus subtilis and Streptococcus faecalis to photodynamic action. Photochem. Photobiol. 1990, 52, 825–830. [Google Scholar] [CrossRef]
- Nitzan, Y.; Ladan, H.; Gozansky, S.; Malik, Z. Characterization of hemin antibacterial action on Staphylococcus aureus. FEMS Microbiol. Lett. 1987, 48, 401–406. [Google Scholar] [CrossRef]
- Nitzan, Y.; Ladan, H.; Malik, Z. Growth-inhibitory effect of hemin on staphylococci. Curr. Microbiol. 1987, 14, 279–284. [Google Scholar] [CrossRef]
- Banfi, S.; Caruso, E.; Buccafurni, L.; Battini, V.; Zazzaron, S.; Barbieri, P.; Orlandi, V. Antibacterial activity of tetraaryl-porphyrin photosensitizers: An in vitro study on gram negative and gram positive bacteria. J. Photochem. Photobiol. B 2006, 85, 28–38. [Google Scholar] [CrossRef] [PubMed]
- Nitzan, Y.; Gutterman, M.; Malik, Z.; Ehrenberg, B. Inactivation of gram-negative bacteria by photosensitized porphyrins. Photochem. Photobiol. 1992, 55, 89–96. [Google Scholar] [CrossRef] [PubMed]
- Buchovec, I.; Lukseviciute, V.; Marsalka, A.; Reklaitis, I.; Luksiene, Z. Effective photosensitization-based inactivation of gram (-) food pathogens and molds using the chlorophyllin-chitosan complex: Towards photoactive edible coatings to preserve strawberries. Photochem. Photobiol. Sci. 2016, 15, 506–516. [Google Scholar] [CrossRef] [PubMed]
- Vaara, M. Agents that increase the permeability of the outer membrane. Microbiol. Rev. 1992, 56, 395–411. [Google Scholar] [PubMed]
- Helander, I.M.; Alakomi, H.L.; Latva-Kala, K.; Koski, P. Polyethyleneimine is an effective permeabilizer of gram-negative bacteria. Microbiology 1997, 143 Pt 10, 3193–3199. [Google Scholar] [CrossRef]
- Dai, T.; Tegos, G.P.; Zhiyentayev, T.; Mylonakis, E.; Hamblin, M.R. Photodynamic therapy for methicillin-resistant Staphylococcus aureus infection in a mouse skin abrasion model. Lasers Surg. Med. 2010, 42, 38–44. [Google Scholar] [CrossRef]
- Wainwright, M.; Antczak, J.; Baca, M.; Loughran, C.; Meegan, K. Phenothiazinium photoantimicrobials with basic side chains. J. Photochem. Photobiol. B 2015, 150, 38–43. [Google Scholar] [CrossRef]
- Kreitner, M.; Wagner, K.H.; Alth, G.; Ebermann, R.; Foißy, H.; Elmadfa, I. Haematoporphyrin- and sodium chlorophyllin-induced phototoxicity towards bacteria and yeasts—A new approach for safe foods. Food Control 2001, 12, 529–533. [Google Scholar] [CrossRef]
- MacFadden, D.R.; McGough, S.F.; Fisman, D.; Santillana, M.; Brownstein, J.S. Antibiotic resistance increases with local temperature. Nat. Clim. Chang. 2018, 8, 510–514. [Google Scholar] [CrossRef]
- Rahmati-Bahram, A.; Magee, J.T.; Jackson, S.K. Temperature-dependent aminoglycoside resistance in Stenotrophomonas (xanthomonas) maltophilia; alterations in protein and lipopolysaccharide with growth temperature. J. Antimicrob. Chemother. 1996, 37, 665–676. [Google Scholar] [CrossRef]
- Luksiene, Z.; Paskeviciute, E. Microbial control of food-related surfaces: Na-chlorophyllin-based photosensitization. J. Photochem. Photobiol. B 2011, 105, 69–74. [Google Scholar] [CrossRef] [PubMed]
- Luksiene, Z.; Paskeviciute, E. Novel approach to the microbial decontamination of strawberries: Chlorophyllin-based photosensitization. J. Appl. Microbiol. 2011, 110, 1274–1283. [Google Scholar] [CrossRef] [PubMed]
- Smith, L.W.; Livingston, A.E. Wound healing: An expe rimental study of water soluble chlorophyll derivatives in conjunction with various antibacterial agents. Am. J. Surg. 1945, 67, 30–39. [Google Scholar] [CrossRef]
- Gruskin, B. Chlorophyll—Its therapeutic place in acute and suppurative disease: Preliminary report of clinical use and rationale. Am. J. Surg. 1940, 49, 49–55. [Google Scholar] [CrossRef]
- Yoshida, A.; Yokono, O.; Oda, T. Therapeutic effect of chlorophyll-a in the treatment of patients with chronic pancreatitis. Gastroenterol. Jpn. 1980, 15, 49–61. [Google Scholar] [CrossRef] [PubMed]
- Tegos, G.P.; Hamblin, M.R. Phenothiazinium antimicrobial photosensitizers are substrates of bacterial multidrug resistance pumps. Antimicrob. Agents Chemother. 2006, 50, 196–203. [Google Scholar] [CrossRef]
- Schryvers, A.B.; Stojiljkovic, I. Iron acquisition systems in the pathogenic Neisseria. Mol. Microbiol. 1999, 32, 1117–1123. [Google Scholar] [CrossRef] [PubMed]
- Wandersman, C.; Stojiljkovic, I. Bacterial heme sources: The role of heme, hemoprotein receptors and hemophores. Curr. Opin. Microbiol. 2000, 3, 215–220. [Google Scholar] [CrossRef]







| Photosensitizer | Bacteria | Gram | Results | Ref. |
|---|---|---|---|---|
| Riboflavin, FLASH-01a, FLASH-07a | MRSA | + | FLASH-01a and -07a destroyed bacteria very effectively; no effect on human keratinocytes | [41] |
| EHEC | − | |||
| Pseudomonas aeruginosa | − | |||
| Acinetobacter baumannii | − | |||
| Hyperforin | PRSA/MRSA | + | Growth inhibition in all Gram-positive bacteria, but not Gram-negative bacteria and Candida albicans | [42] |
| Enterococcus faecalis | + | |||
| Corynebacterium diphtheriae | + | |||
| Pseudomonas aeruginosa | − | |||
| Toluidine blue O + blue LED light; Porphyrin + red LED light | Prevotella melaninogenica | − | Reduced survival rate | [43] |
| Porphyromonas gingivalis | − | |||
| Aggregatibacter actinomycetemcomitans | − | |||
| Phenalen-1-one derivatives (e.g., SAPYR) | S. aureus, MRSA | + | Pronounced antimicrobial efficacy of different phenalen-1-one derivatives | [44] |
| Escherichia coli | − | |||
| Pseudomonas aeruginosa | − | |||
| {Enterococcus faecalis | + | SAPYR is effective against in vitro biofilms in light | [38] | |
| Actinomycesnaes lundii} | + | |||
| {Actinomyces naeslundii | + | SAPYR exhibits neither uptake nor strong attachment toward bacteria | [39] | |
| Fusobacterium nucleatum | − | |||
| Porphyromonas gingivalis} | − | |||
| Cationic porphyrins | Escherichia coli | − | Inactivation of localized cells | [45] |
| Pseudomonas syringe | − | In vitro: strong effect after about 15 min of irradiation (≥107-fold cfu decrease); Ex vivo: about 103-fold cfu decrease | [46] | |
| meso-substituted cationic porphyrins | Escherichia coli | − | Chemical composition of external structures seems to have stronger effect on aPDT efficacy than complexity and the number of layers of the bacterial coating. | [47] |
| Aeromonas salmonicida | − | |||
| Aeromonas hydrophila | − | |||
| Rhodopirellula sp. | − | |||
| Staphylococcus aureus | + | |||
| Truepera radiovictrix | + | |||
| Deinococcus geothermalis | + | |||
| Deinococcus radiodurans | + | |||
| Hematoporphyrin, Chlorophyll a encapsulated in DOTAP, DPPC, or DMPC vesicles | MRSA | + | Encapsulated chlorophyll has no significant effect of bacteria development (in contrast to free chlorophyll) | [48] |
| Chlorin e6 | Staphylococcus aureus | + | Photoinactivation, | [49] |
| decreased biofilm formation ability | [50] | |||
| Pseudomonas aeruginosa | − | Photoinactivation | ||
| Escherichia coli | − | Minor effect | ||
| Salmonella enterica sv. Typhimurium | − | Minor effect | ||
| Chlorophyllin | Listeria monocytogenes | + | Photoinactivation | [51] |
| Bacillus cereus | + | Photoinactivation | [52] | |
| Escherichia coli | − | Photoinactivation in presence of ZnO nanoparticles | [53] |
| Titer [cfu/mL] | Escherichia coli DH5α | Bacillus subtilis 168 | Escherichia coli NR698 | |||
|---|---|---|---|---|---|---|
| Light | Dark | Light | Dark | Light | Dark | |
| 1 × 108 | >25 mg/L | >25 mg/L | 0.5 mg/L | 5 mg/L | 1 mg/L | >25 mg/L |
| 1 × 107 | >25 mg/L | >25 mg/L | 0.5 mg/L | 2.5 mg/L | 0.5 mg/L | >25 mg/L |
| 1 × 106 | 0.5–1 mg/L | >25 mg/L | 0.5 mg/L | 2.5 mg/L | 0.5 mg/L | 5 mg/L |
| 1 × 105 | ≤0.1 mg/L | >25 mg/L | ≤0.1 mg/L | 2.5 mg/L | ≤0.1 mg/L | 2.5 mg/L |
| 1 × 104 | ≤0.1 mg/L | >25 mg/L | ≤0.1 mg/L | 2.5 mg/L | ≤0.1 mg/L | 2.5 mg/L |
| 1 × 103 | ≤0.1 mg/L | >25 mg/L | ≤0.1 mg/L | 2.5 mg/L | ≤0.1 mg/L | 2.5 mg/L |
| 1 × 102 | ≤0.1 mg/L | >25 mg/L | ≤0.1 mg/L | 2.5 mg/L | ≤0.1 mg/L | 2.5 mg/L |
| Titer [cfu/mL] | Escherichia coli DH5α | Bacillus subtilis 168 | ||
|---|---|---|---|---|
| Light | Dark | Light | Dark | |
| 1 × 108 | 7.5 mg/L | 12.5 mg/L | <0.1 mg/L | 2.5 mg/L |
| 1 × 106 | 5 mg/L | 12.5 mg/L | <0.1 mg/L | 2.5 mg/L |
| 1 × 105 | 5 mg/L | 12.5 mg/L | <0.1 mg/L | 2.5 mg/L |
| Exposure [h] | Escherichia coli DH5α | Bacillus subtilis 168 | Escherichia coli NR698 | |||
|---|---|---|---|---|---|---|
| Light | Dark | Light | Dark | Light | Dark | |
| 1 | n.d. | n.d. | 0.00 | 2.68 | 0,01 | 2.21 |
| 2 | n.d. | n.d. | 0.00 | 1.74 | 0.09 | 1.25 |
| 3 | n.d. | n.d. | 0.01 | 0.82 | 0.01 | 0.71 |
| 24 | n.d. | n.d. | 0.29 | 0.99 | 0.25 | n.d. |
| Temp. | Titer [cfu/mL] | Bacillus subtilis 168 | |||
|---|---|---|---|---|---|
| Light | Dark | ||||
| 28 °C | 1 × 108 | ▼ | ≤0.1 mg/L | ▼ | 2.5 mg/L |
| 1 × 106 | ▼ | ≤0.1 mg/L | 2.5 mg/L | ||
| 1 × 105 | ≤0.1 mg/L | 2.5 mg/L | |||
| 37 °C | 1 × 108 | 0.5 mg/L | 5 mg/L | ||
| 1 × 106 | 0.5 mg/L | 2.5 mg/L | |||
| 1 × 105 | ≤0.1 mg/L | 2.5 mg/L | |||
| 42 °C | 1 × 108 | 0.5 mg/L | ▲ | 12.5 mg/L | |
| 1 × 106 | ▼ | ≤0.1 mg/L | ▲ | 7.5 mg/L | |
| 1 × 105 | ≤0.1 mg/L | ▲ | 5 mg/L | ||
© 2019 by the authors. Licensee MDPI, Basel, Switzerland. This article is an open access article distributed under the terms and conditions of the Creative Commons Attribution (CC BY) license (http://creativecommons.org/licenses/by/4.0/).
Share and Cite
Krüger, M.; Richter, P.; Strauch, S.M.; Nasir, A.; Burkovski, A.; Antunes, C.A.; Meißgeier, T.; Schlücker, E.; Schwab, S.; Lebert, M. What an Escherichia coli Mutant Can Teach Us About the Antibacterial Effect of Chlorophyllin. Microorganisms 2019, 7, 59. https://doi.org/10.3390/microorganisms7020059
Krüger M, Richter P, Strauch SM, Nasir A, Burkovski A, Antunes CA, Meißgeier T, Schlücker E, Schwab S, Lebert M. What an Escherichia coli Mutant Can Teach Us About the Antibacterial Effect of Chlorophyllin. Microorganisms. 2019; 7(2):59. https://doi.org/10.3390/microorganisms7020059
Chicago/Turabian StyleKrüger, Marcus, Peter Richter, Sebastian M. Strauch, Adeel Nasir, Andreas Burkovski, Camila A. Antunes, Tina Meißgeier, Eberhard Schlücker, Stefan Schwab, and Michael Lebert. 2019. "What an Escherichia coli Mutant Can Teach Us About the Antibacterial Effect of Chlorophyllin" Microorganisms 7, no. 2: 59. https://doi.org/10.3390/microorganisms7020059
APA StyleKrüger, M., Richter, P., Strauch, S. M., Nasir, A., Burkovski, A., Antunes, C. A., Meißgeier, T., Schlücker, E., Schwab, S., & Lebert, M. (2019). What an Escherichia coli Mutant Can Teach Us About the Antibacterial Effect of Chlorophyllin. Microorganisms, 7(2), 59. https://doi.org/10.3390/microorganisms7020059

