The Community Structure and Diversity of Heterotrophic Microorganisms in the Soils of Taiga Forests, China
Abstract
1. Introduction
2. Materials and Methods
2.1. Overview of the Research Site
2.2. Experimental Plot Establishment and Sample Collection
2.3. Determination of Soil Physical and Chemical Properties
2.4. Determination of PLFA Content
2.5. Soil Microbial Determination and Analysis
2.5.1. Microbial DNA Extraction
2.5.2. Microbial DNA Sequencing and Analysis
2.6. Data Analysis
3. Results
3.1. Physical and Chemical Properties of Soil
3.2. Soil Microbial PLFA Content
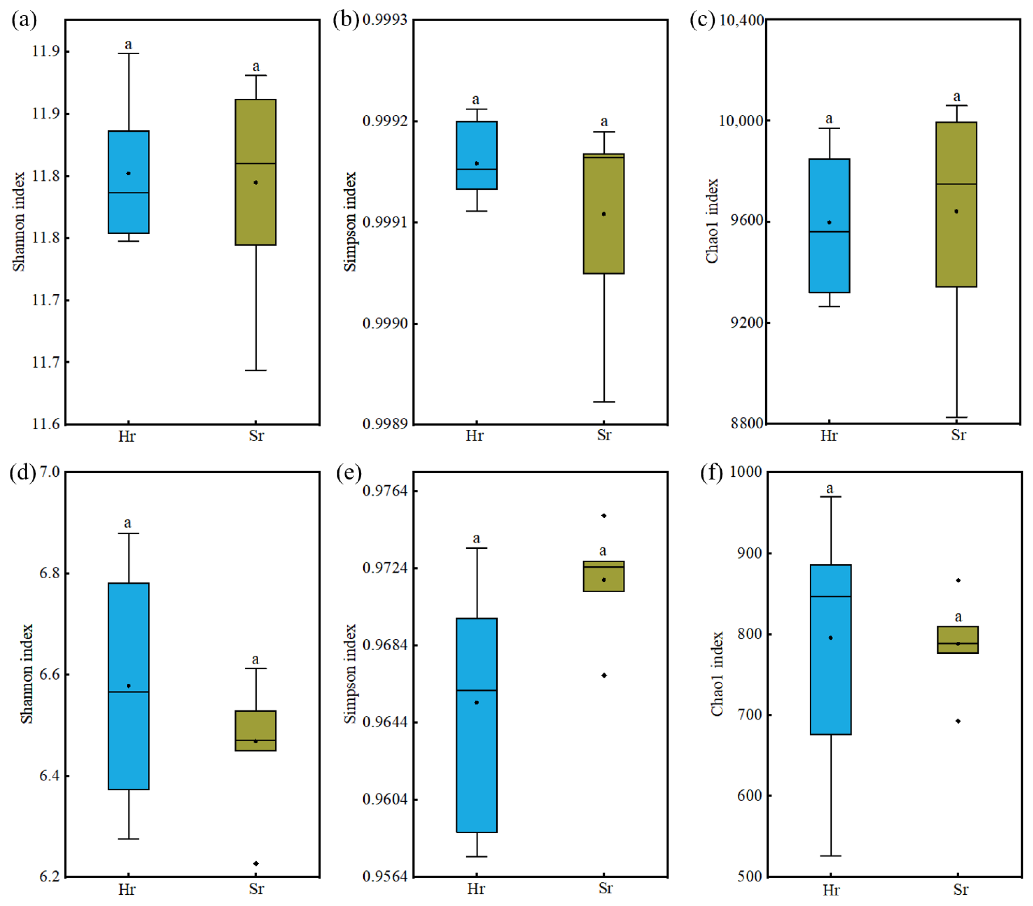
3.3. Microbial Community Composition and Diversity
3.4. Microbial Community Assembly Process
3.5. Contribution of Environmental Variables to the Structure of Microbial Communities
4. Discussion
4.1. Regulation of Environmental Factors by Microbial Functional Groups
4.2. Transformation of Microbial Metabolic Strategies Under Heterotrophic Respiration
4.3. Response Mechanisms of Microbial Community Assembly to Environmental Factors
- (1)
- Seasonal sampling bias may affect microorganism abundance patterns, warranting multi-temporal validation;
- (2)
- Functional inferences lack metagenomic validation; future studies should integrate multi-omics approaches to address these limitations.
5. Conclusions
Author Contributions
Funding
Institutional Review Board Statement
Informed Consent Statement
Data Availability Statement
Conflicts of Interest
References
- Chen, K.; Wang, J.; He, Y.; Zhang, L. Estimations of forest carbon storage and carbon sequestration potential of key state-owned forest region in Daxing’anling, Heilongjiang province. Ecol. Environ. 2022, 31, 1725–1734. [Google Scholar] [CrossRef]
- FAO. Global Forest Resources Assessment 2020—Key Findings; FAO: Rome, Italy, 2020. [Google Scholar]
- Conant, R.T.; Ryan, M.G.; Ågren, G.I.; Birge, H.E.; Davidson, E.A.; Eliasson, P.E.; Evans, S.E.; Frey, S.D.; Giardina, C.P.; Hopkins, F.M. Temperature and soil organic matter decomposition rates–synthesis of current knowledge and a way forward. Glob. Change Biol. 2011, 17, 3392–3404. [Google Scholar] [CrossRef]
- Koponen, H.T.; Jaakkola, T.; Keinänen-Toivola, M.M.; Kaipainen, S.; Tuomainen, J.; Servomaa, K.; Martikainen, P.J. Microbial communities, biomass, and activities in soils as affected by freeze thaw cycles. Soil Biol. Biochem. 2006, 38, 1861–1871. [Google Scholar] [CrossRef]
- Kuzyakov, Y.; Larionova, A.A. Root and rhizomicrobial respiration: A review of approaches to estimate respiration by autotrophic and heterotrophic organisms in soil. J. Plant Nutr. Soil Sci. 2005, 168, 503–520. [Google Scholar] [CrossRef]
- Conant, R.T.; Klopatek, J.M.; Klopatek, C.C. Environmental Factors Controlling Soil Respiration in Three Semiarid Ecosystems. Soil Sci. Soc. Am. J. 2000, 64, 383–390. [Google Scholar] [CrossRef]
- Han, G.; Zhou, G.; Xu, Z.; Yang, Y.; Liu, J.; Shi, K. Biotic and abiotic factors controlling the spatial and temporal variation of soil respiration in an agricultural ecosystem. Soil Biol. Biochem. 2007, 39, 418–425. [Google Scholar] [CrossRef]
- Xiao, H.; Li, Z.; Dong, Y.; Chang, X.; Deng, L.; Huang, J.; Nie, X.; Liu, C.; Liu, L.; Wang, D.; et al. Changes in microbial communities and respiration following the revegetation of eroded soil. Agric. Ecosyst. Environ. 2017, 246, 30–37. [Google Scholar] [CrossRef]
- Xia, Q.; Rufty, T.; Shi, W. Soil microbial diversity and composition: Links to soil texture and associated properties. Soil Biol. Biochem. 2020, 149, 107953. [Google Scholar] [CrossRef]
- Chandel, A.K.; Jiang, L.; Luo, Y. Microbial models for simulating soil carbon dynamics: A review. J. Geophys. Res. Biogeosci. 2023, 128, e2023JG007436. [Google Scholar] [CrossRef]
- He, Y.; Ding, J.; Dorji, T.; Wang, T.; Li, J.; Smith, P. Observation-based global soil heterotrophic respiration indicates underestimated turnover and sequestration of soil carbon by terrestrial ecosystem models. Glob. Change Biol. 2022, 28, 5547–5559. [Google Scholar] [CrossRef] [PubMed]
- Tao, F.; Huang, Y.; Hungate, B.A.; Manzoni, S.; Frey, S. Microbial carbon use efficiency promotes global soil carbon storage. Nature 2023, 618, 981–985. [Google Scholar] [CrossRef] [PubMed]
- Zhang, F.; Zhang, Q. Microbial diversity limits soil heterotrophic respiration and mitigates the respiration response to moisture increase. Soil Biol. Biochem. 2016, 98, 180–185. [Google Scholar] [CrossRef]
- Nottingham, A.T.; Scott, J.J.; Saltonstall, K.; Broders, K.; Montero-Sanchez, M.; Püspök, J.; Bååth, E.; Meir, P. Microbial diversity declines in warmed tropical soil and respiration rise exceed predictions as communities adapt. Nat. Microbiol. 2022, 7, 1650–1660. [Google Scholar] [CrossRef]
- Jiang, X.; Yan, X.; Liu, S.; Fu, L.; Gao, X.; Huang, D. Nitrogen addition decreased respiration and heterotrophic respiration but increased autotrophic respiration in a cabbage (Brassica pekinensis Rupr) experiment in the Northeast Plains. Agriculture 2024, 14, 596. [Google Scholar] [CrossRef]
- Zeng, W.; Chen, J.; Liu, H.; Wang, W. Soil respiration and its autotrophic and heterotrophic components in response to nitrogen addition among different degraded temperate grasslands. Soil Biol. Biochem. 2018, 124, 255–265. [Google Scholar] [CrossRef]
- Wear, E.; Wilbanks, E.; Nelson, C.; Carlson, C. Primer selection impacts specific population abundances but not community dynamics in a monthly time-series 16S rRNA gene amplicon analysis of coastal marine bacterioplankton. Environ. Microbiol. 2018, 20, 2709–2726. [Google Scholar] [CrossRef]
- Min, K.H.; Young, J.J.; Etienne, Y.; Yeon, H.C.; Larry, H.; Sungjin, N.; Gyu, H.S.; Ok-Sun, K.; Jongsik, C.; Kyung, L.Y. Bacterial community structure and soil properties of a subarctic tundra soil in Council, Alaska. FEMS Microbiol. Ecol. 2014, 89, 465–475. [Google Scholar] [CrossRef]
- Shang, W.; Wu, X.; Zhao, L.; Yue, G.; Zhao, Y.; Qiao, Y.; Li, Y. Seasonal variations in labile soil organic matter fractions in permafrost soils with different vegetation types in the central Qinghai–Tibet Plateau. CATENA 2016, 137, 670–678. [Google Scholar] [CrossRef]
- Hu, W.; Zhang, Q.; Li, D.; Cheng, G.; Mu, J.; Wu, Q.; Niu, F.; An, L.; Feng, H. Diversity and community structure of fungi through a permafrost core profile from the Qinghai-Tibet Plateau of China. J. Basic Microb. 2015, 54, 1331–1341. [Google Scholar] [CrossRef] [PubMed]
- Ade, L.; Hu, L.; Zi, H.; Wang, C.; Lerdau, M.; Dong, S. Effect of snowpack on the soil bacteria of alpine meadows in the Qinghai-Tibetan Plateau of China. CATENA 2018, 164, 13–22. [Google Scholar] [CrossRef]
- Drenovsky, R.E.; Elliott, G.N.; Graham, K.J.; Scow, K.M. Comparison of phospholipid fatty acid (PLFA) and total soil fatty acid methyl esters (TSFAME) for characterizing soil microbial communities. Soil Biol. Biochem. 2004, 36, 1793–1800. [Google Scholar] [CrossRef]
- Jain, D.K.; Providenti, M.; Tanner, C.; Cord, I.; Stroes-Gascoyne, S. Characterization of microbial communities in deep groundwater from granitic rock. Can. J. Microbiol. 1997, 43, 272–283. [Google Scholar] [CrossRef]
- Joergensen, R.G.; Potthoff, M. Microbial reaction in activity, biomass, and community structure after long-term continuous mixing of a grassland soil. Soil Biol. Biochem. 2005, 37, 1249–1258. [Google Scholar] [CrossRef]
- Sakamoto, K.; Iijima, T.; Higuchi, R. Use of specific phospholipid fatty acids for identifying and quantifying the external hyphae of the arbuscular mycorrhizal fungus Gigaspora rosea. Soil Biol. Biochem. 2004, 36, 1827–1834. [Google Scholar] [CrossRef]
- Fierer, N. Embracing the unknown: Disentangling the complexities of the soil microbiome. Nat. Rev. Microbiol. 2017, 15, 579–590. [Google Scholar] [CrossRef]
- Bergmann, G.T.; Bates, S.T.; Eilers, K.G.; Lauber, C.L.; Caporaso, J.G.; Walters, W.A.; Knight, R.; Fierer, N. The under-recognized dominance of Verrucomicrobia in soil bacterial communities. Soil Biol. Biochem. 2011, 43, 1450–1455. [Google Scholar] [CrossRef]
- Orellana, L.; Francis, T.; Ferraro, M.; Hehemann, J.; Fuchs, B.; Amann, R. Verrucomicrobiota are specialist consumers of sulfated methyl pentoses during diatom blooms. ISME J. 2021, 16, 630–641. [Google Scholar] [CrossRef]
- Bereczki, K.; Tóth, E.G.; Szili-Kovács, T.; Megyes, M.; Korponai, K.; Lados, B.B.; Illés, G.; Benke, A.; Márialigeti, K. Soil Parameters and Forest Structure Commonly Form the Microbiome Composition and Activity of Topsoil Layers in Planted Forests. Microorganisms 2024, 12, 1162. [Google Scholar] [CrossRef]
- Rakitin, A.L.; Kulichevskaya, I.S.; Beletsky, A.V.; Mardanov, A.V.; Dedysh, S.N.; Ravin, N.V. Verrucomicrobia of the Family Chthoniobacteraceae Participate in Xylan Degradation in Boreal Peat Soils. Microorganisms 2024, 12, 2271. [Google Scholar] [CrossRef]
- Baliyarsingh, B.; Dash, B.; Nayak, S.; Nayak, S.K. Soil verrucomicrobia and their role in sustainable agriculture. In Advances in Agricultural and Industrial Microbiology: Volume 1: Microbial Diversity and Application in Agroindustry; Springer: Berlin/Heidelberg, Germany, 2022; pp. 105–124. [Google Scholar]
- Wang, C.; Dong, D.; Wang, H.; Müller, K.; Qin, Y.; Wang, H.; Wu, W. Metagenomic analysis of microbial consortia enriched from compost: New insights into the role of Actinobacteria in lignocellulose decomposition. Biotechnol. Biofuels 2016, 9, 22. [Google Scholar] [CrossRef]
- Xu, Z.; Li, R.; Zhang, X.; Xu, X.; Wang, S.; Lan, T.; Zhang, K.; He, Q.; Pan, J.; Quan, F. Mechanisms and effects of novel ammonifying microorganisms on nitrogen ammonification in cow manure waste composting. Waste Manag. 2023, 169, 167–178. [Google Scholar] [CrossRef]
- Setälä, H.; McLean, M.A. Decomposition Rate of Organic Substrates in Relation to the Species Diversity of Soil Saprophytic Fungi. Oecologia 2004, 139, 98–107. [Google Scholar] [CrossRef] [PubMed]
- Zheng, J.; Chen, J.; Pan, G.; Wang, G.; Liu, X.; Zhang, X.; Li, L.; Bian, R.; Cheng, K.; Zheng, J. A long-term hybrid poplar plantation on cropland reduces soil organic carbon mineralization and shifts microbial community abundance and composition. Appl. Soil Ecol. 2016, 111, 94–104. [Google Scholar] [CrossRef]
- Razanamalala, K.; Razafimbelo, T.; Maron, P.A.; Ranjard, L.; Chemidlin, N.; Lelièvre, M.; Dequiedt, S.; Ramaroson, V.H.; Marsden, C.; Becquer, T. Soil microbial diversity drives the priming effect along climate gradients: A case study in Madagascar. ISME J. 2018, 12, 451–462. [Google Scholar] [CrossRef]
- Boddy, L. Interspecific combative interactions between wood-decaying basidiomycetes. FEMS Microbiol. Ecol. 2000, 31, 185–194. [Google Scholar] [CrossRef]
- Manici, L.M.; Caputo, F.; Fornasier, F.; Paletto, A.; Ceotto, E.; De Meo, I. Ascomycota and Basidiomycota fungal phyla as indicators of land use efficiency for soil organic carbon accrual with woody plantations. Ecol. Indic. 2024, 160, 111796. [Google Scholar] [CrossRef]
- Manici, L.M.; Caputo, F.; De Sabata, D.; Fornasier, F. The enzyme patterns of Ascomycota and Basidiomycota fungi reveal their different functions in soil. Appl. Soil Ecol. A Sect. Agric. Ecosyst. Environ. 2024, 196, 105323. [Google Scholar] [CrossRef]
- Liang, C.; Schimel, J.P.; Jastrow, J.D. The importance of anabolism in microbial control over soil carbon storage. Nat. Microbiol. 2017, 2, 17105. [Google Scholar] [CrossRef] [PubMed]
- Mooshammer, M.; Wanek, W.; Schnecker, J.; Wild, B.; Leitner, S.; Hofhansl, F.; Blöchl, A.; Hämmerle, I.; Frank, A.H.; Fuchslueger, L. Stoichiometric controls of nitrogen and phosphorus cycling in decomposing beech leaf litter. Ecology 2012, 93, 770–782. [Google Scholar] [CrossRef]
- Wang, Y.; Qu, M.; Wang, J.; Zhu, W.; Li, J. Recovery of bacterial network complexity and stability after simulated extreme rainfall is mediated by K−/r-strategy dominance. Appl. Soil Ecol. A Sect. Agric. Ecosyst. Environ. 2024, 203, 105657. [Google Scholar] [CrossRef]
- Xu, R.; Zhang, Y.; Li, Y.; Song, J.; Liang, Y.; Chen, F.; Wei, X.; Li, C.; Liu, W.; Rensing, C. Linking bacterial life strategies with the distribution pattern of antibiotic resistance genes in soil aggregates after straw addition. J. Hazard. Mater. 2024, 471, 134355. [Google Scholar] [CrossRef]
- Wu, D.; Wang, L.; Wang, F.; Jin, G.; Wei, Z. Effect of rhamnolipids addition on lignocellulosic degradation based on Fenton pretreatment and fungal inoculation during rice straw composting. Chem. Eng. J. 2024, 499, 156072. [Google Scholar] [CrossRef]
- Perkins, A.K.; Rose, A.L.; Grossart, H.; Rojas-Jimenez, K.; Barroso Prescott, S.K.; Oakes, J.M. Oxic and anoxic organic polymer degradation potential of endophytic fungi from the marine macroalga, Ecklonia radiata. Front. Microbiol. 2021, 12, 726138. [Google Scholar] [CrossRef]
- Xu, Y.; Chen, X.; Graco Roza, C.; Soininen, J. Scale dependency of community assembly differs between coastal marine bacteria and fungi. Ecography 2024, 2024, e06863. [Google Scholar] [CrossRef]
- Singh, A.N.; Raghubanshi, A.S.; Singh, J.S. Comparative performance and restoration potential of two Albizia species planted on mine spoil in a dry tropical region, India. Ecol. Eng. 2004, 22, 123–140. [Google Scholar] [CrossRef]
- Martiny, J.B.H.; Bohannan, B.J.M.; Brown, J.H.; Colwell, R.K.; Fuhrman, J.A.; Green, J.L.; Horner-Devine, M.C.; Kane, M.; Krumins, J.A.; Kuske, C.R.; et al. Microbial biogeography: Putting microorganisms on the map. Nat. Rev. Microbiol. 2006, 4, 102–112. [Google Scholar] [CrossRef] [PubMed]
- Powell, J.R.; Karunaratne, S.; Campbell, C.D.; Yao, H.; Robinson, L.; Singh, B.K. Deterministic processes vary during community assembly for ecologically dissimilar taxa. Nat. Commun. 2015, 6, 8444–8453. [Google Scholar] [CrossRef] [PubMed]
- Wang, L.; Lian, C.; Wan, W.; Qiu, Z.; Luo, X.; Huang, Q.; Deng, Y.; Zhang, T.; Yu, K. Salinity-triggered homogeneous selection constrains the microbial function and stability in lakes. Appl. Microbiol. Biot. 2023, 107, 6591–6605. [Google Scholar] [CrossRef]
- Li, Y.; Gao, Y.; Zhang, W.; Wang, C.; Wang, P.; Niu, L.; Wu, H. Homogeneous selection dominates the microbial community assembly in the sediment of the Three Gorges Reservoir. Sci. Total Environ. 2019, 690, 50–60. [Google Scholar] [CrossRef]










| Sample | MC % | pH | MBC mg/kg | SOC g/kg | DOC mg/kg | TN g/kg | AN mg/kg |
|---|---|---|---|---|---|---|---|
| Sr | 18.89 ± 0.12 a | 3.97 ± 0.11 b | 880.40 ± 15.70 a | 47.46 ± 0.34 a | 74.23 ± 1.17 a | 3.18 ± 0.06 a | 253.80 ± 2.81 a |
| Hr | 14.28 ± 0.09 b | 4.64 ± 0.48 a | 549.07 ± 17.12 b | 27.46 ± 0.3 b | 41.30 ± 0.69 b | 2.25 ± 0.11 b | 142.88 ± 3.43 b |
| p-value | p < 0.001 | p = 0.006 | p < 0.001 | p < 0.001 | p < 0.001 | p < 0.001 | p < 0.001 |
Disclaimer/Publisher’s Note: The statements, opinions and data contained in all publications are solely those of the individual author(s) and contributor(s) and not of MDPI and/or the editor(s). MDPI and/or the editor(s) disclaim responsibility for any injury to people or property resulting from any ideas, methods, instructions or products referred to in the content. |
© 2025 by the authors. Licensee MDPI, Basel, Switzerland. This article is an open access article distributed under the terms and conditions of the Creative Commons Attribution (CC BY) license (https://creativecommons.org/licenses/by/4.0/).
Share and Cite
Liu, S.; Cheng, Z.; Gao, M.; Yang, L.; Liu, Y. The Community Structure and Diversity of Heterotrophic Microorganisms in the Soils of Taiga Forests, China. Microorganisms 2025, 13, 1853. https://doi.org/10.3390/microorganisms13081853
Liu S, Cheng Z, Gao M, Yang L, Liu Y. The Community Structure and Diversity of Heterotrophic Microorganisms in the Soils of Taiga Forests, China. Microorganisms. 2025; 13(8):1853. https://doi.org/10.3390/microorganisms13081853
Chicago/Turabian StyleLiu, Siyuan, Zhichao Cheng, Mingliang Gao, Libin Yang, and Yongzhi Liu. 2025. "The Community Structure and Diversity of Heterotrophic Microorganisms in the Soils of Taiga Forests, China" Microorganisms 13, no. 8: 1853. https://doi.org/10.3390/microorganisms13081853
APA StyleLiu, S., Cheng, Z., Gao, M., Yang, L., & Liu, Y. (2025). The Community Structure and Diversity of Heterotrophic Microorganisms in the Soils of Taiga Forests, China. Microorganisms, 13(8), 1853. https://doi.org/10.3390/microorganisms13081853
