Effects of Different Nitrogen Fertilizer Application Rates on Soil Microbial Structure in Paddy Soil When Combined with Rice Straw Return
Abstract
1. Introduction
2. Materials and Methods
2.1. Experimental Site, Soil Properties, and Rice Variety
2.2. Experimental Design
2.3. Extraction of Soil Microbial DNA and Metagenomic Sequencing
2.4. Data Analysis
3. Results
3.1. Analysis of Soil Physico-Chemical Properties
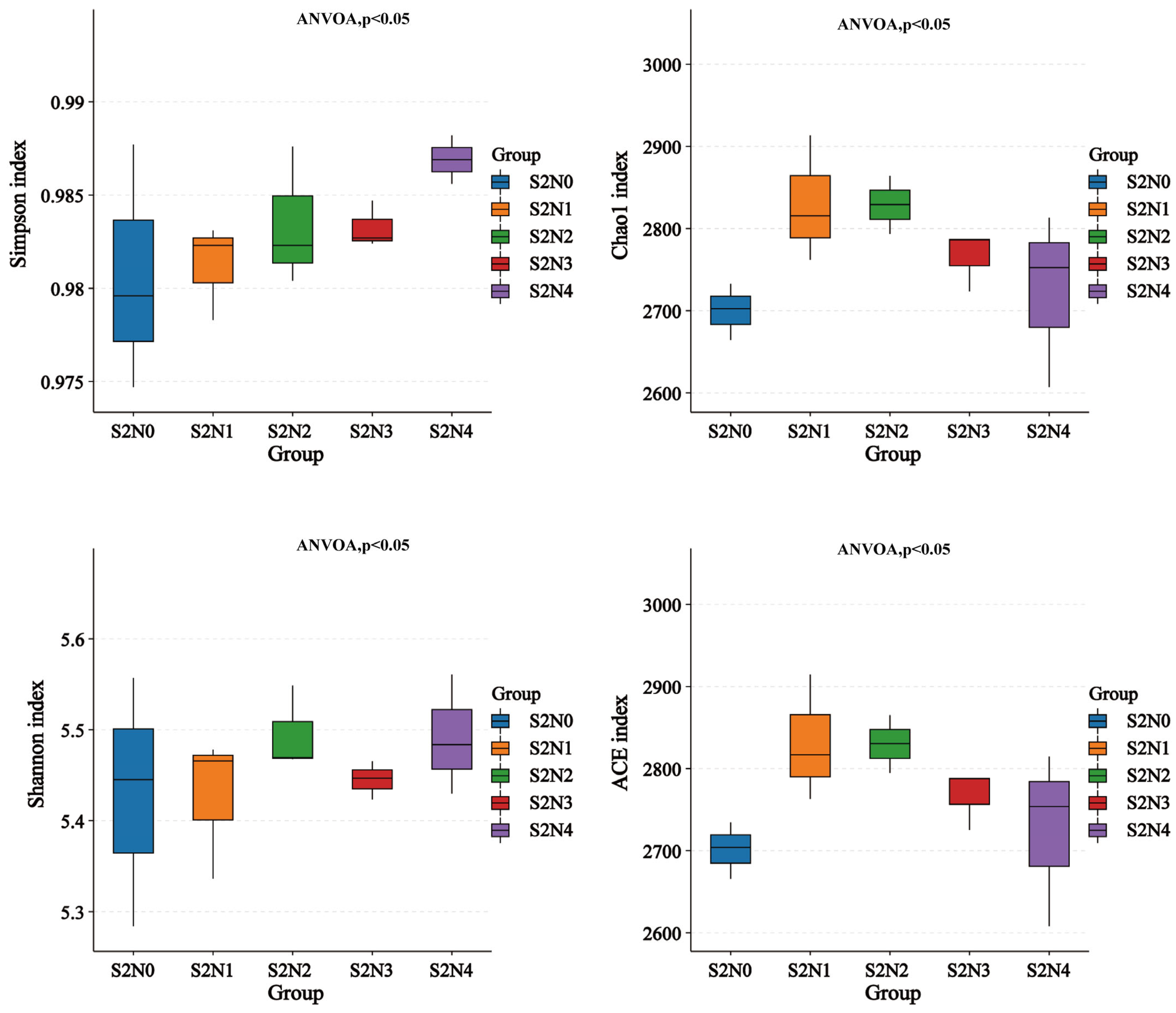
3.2. Analysis of Soil Microbial Diversity
3.3. Analysis of Soil Microbial Taxa
3.4. Correlation Analysis
3.5. Analysis of Significance of Differences Between Groups
4. Discussion
4.1. Soil Microbial Diversity Was Changed by Nitrogen Fertilizer Application Under Straw Return
4.2. Effects of Nitrogen Fertilizer Application on Soil Microbial Composition Under Straw Return
4.3. Effects of Nitrogen Fertilizer Application on Soil Fertility Under Straw Return to Field
4.4. Effects of Nitrogen Fertilizer Application on Soil Alpha Diversity Under Rice Straw Return Conditions
5. Conclusions
Author Contributions
Funding
Data Availability Statement
Conflicts of Interest
References
- Jin, Z.; Shah, T.; Zhang, L.; Liu, H.; Peng, S.; Nie, L. Effect of straw returning on soil organic carbon in rice–wheat rotation system: A review. Food Energy Secur. 2020, 9, e200. [Google Scholar] [CrossRef]
- Yu, H.; Zou, W.; Chen, J.; Chen, H.; Yu, Z.; Huang, J.; Tang, H.; Wei, X.; Gao, B. Biochar amendment improves crop production in problem soils: A review. J. Environ. Manag. 2019, 232, 8–21. [Google Scholar] [CrossRef] [PubMed]
- Hu, Y.; Sun, B.; Wu, S.; Feng, H.; Gao, M.; Zhang, B.; Liu, Y. After-effects of straw and straw-derived biochar application on crop growth, yield, and soil properties in wheat (Triticum aestivum L.)-maize (Zea mays L.) rotations: A four-year field experiment. Sci. Total Environ. 2021, 780, 146560. [Google Scholar] [CrossRef]
- Dong, Q.; Yang, Y.; Yu, K.; Feng, H. Effects of straw mulching and plastic film mulching on improving soil organic carbon and nitrogen fractions, crop yield and water use efficiency in the loess plateau, China. Agric. Water Manag. 2018, 201, 133–143. [Google Scholar] [CrossRef]
- Li, H.; Li, J.; Jiao, X.; Jiang, H.; Liu, Y.; Wang, X.; Ma, C. The Fate and Challenges of the Main Nutrients in Returned Straw: A Basic Review. Agronomy 2024, 14, 698. [Google Scholar] [CrossRef]
- Saharan, B.S.; Dhanda, D.; Mandal, N.K.; Kumar, R.; Sharma, D.; Sadh, P.K.; Duhan, J.S. Microbial contributions to sustainable paddy straw utilization for economic gain and environmental conservation. Curr. Res. Microb. Sci. 2024, 7, 100264. [Google Scholar] [CrossRef] [PubMed]
- Yin, H.; Zhao, W.; Li, T.; Cheng, X.; Liu, Q. Balancing straw returning and chemical fertilizers in China: Role of straw nutrient resources. Renew. Sustain. Energy Rev. 2018, 81, 2695–2702. [Google Scholar] [CrossRef]
- Rahman, F.; Rahman, M.M.; Rahman, G.M.; Saleque, M.A.; Hossain, A.S.; Miah, M.G. Effect of organic and inorganic fertilizers and rice straw on carbon sequestration and soil fertility under a rice–rice cropping pattern. Carbon Manag. 2016, 7, 41–53. [Google Scholar] [CrossRef]
- Zhang, L.; Wang, Y.; Lou, Z.; Hsu, L.; Chen, D.; Piao, R.; Cui, Z. Meta-analysis of factors affecting CN fractions and yield of paddy soils by total straw return and N fertilizer application. Agronomy 2022, 12, 3168. [Google Scholar] [CrossRef]
- Singh, R.; Patel, M. Effective utilization of rice straw in value-added by-products: A systematic review of state of art and future perspectives. Biomass Bioenergy 2022, 159, 106411. [Google Scholar] [CrossRef]
- Liu, W.; Tang, J.; Zhang, D.; Jiang, X.; Lu, B.; Yang, W. Improvement of straw decomposition and rice growth through co-application of straw-decomposing inoculants and ammonium nitrogen fertilizer. BMC Plant Biol. 2023, 23, 244. [Google Scholar] [CrossRef] [PubMed]
- Wang, Z.; Chen, W.H.; Yuan, W.; Zhou, Z.P.; Liu, S.P. Effects of long-term straw returning and tillage ways on yield and quality of rice. China Rice 2021, 27, 17. [Google Scholar]
- Meng, R.X.; Wang, X.L.; Duan, J.J.; Xu, B.; Yang, H.; Mei, T.T. Effects of Continuous Straw Returning on Rice Yield and Nitrogen Utilization. J. Agric. 2023, 13, 37. [Google Scholar]
- Fentie, D.; Mihretie, F.A.; Kohira, Y.; Legesse, S.A.; Lewoyehu, M.; Sato, S. Enhancing Soil Environments and Wheat Production through Water Hyacinth Biochar under Deficit Irrigation in Ethiopian Acidic Silty Loam Soil. Soil Syst. 2024, 8, 72. [Google Scholar] [CrossRef]
- Semida, W.M.; Beheiry, H.R.; Sétamou, M.; Simpson, C.R.; Abd El-Mageed, T.A.; Rady, M.M.; Nelson, S.D. Biochar implications for sustainable agriculture and environment: A review. S. Afr. J. Bot. 2019, 127, 333–347. [Google Scholar] [CrossRef]
- Gong, H.; Zhao, L.; Rui, X.; Hu, J.; Zhu, N. A review of pristine and modified biochar immobilizing typical heavy metals in soil: Applications and challenges. J. Hazard. Mater. 2022, 432, 128668. [Google Scholar] [CrossRef]
- Huang, S.; Zhang, W.J.; Yu, X.C.; Huang, Q.R. Effects of long-term fertilization on corn productivity and its sustainability in an Ultisol of southern China Agric. Ecosyst. Environ. 2010, 138, 44–50. [Google Scholar] [CrossRef]
- Yang, Z.P.; Zheng, S.X.; Nie, J.; Liao, Y.L.; Xie, J. Effects of long-term winter planted green manure on distribution and storage of organic carbon and nitrogen in water-stable aggregates of reddish paddy soil under a double-rice cropping. Syst. J. Integr. Agric. 2014, 13, 1772–1781. [Google Scholar] [CrossRef]
- Marschner, P.; Kandeler, E.; Marschner, B. Structure and function of the soil microbial community in a long-term fertilizer experiment. Soil Biol. Biochem. 2003, 35, 453–461. [Google Scholar] [CrossRef]
- Zhou, J.; Guan, D.; Zhou, B.; Zhao, B.; Ma, M.; Qin, J.; Jiang, X.; Chen, S.; Cao, F.; Shen, D.; et al. Influence of 34-years of fertilization on bacterial communities in an intensively cultivated black soil in northeast China. Soil Biol. Biochem. 2015, 90, 42–51. [Google Scholar] [CrossRef]
- Ding, J.L.; Jiang, X.; Ma, M.C.; Zhou, B.K.; Guan, D.W.; Zhao, B.S.; Zhou, J.; Cao, F.M.; Li, L.; Li, J. Effect of 35 years inorganic fertilizer and manure amendment on structure of bacterial and archaeal communities in black soil of northeast China. Appl. Soil Ecol. 2016, 105, 187–195. [Google Scholar] [CrossRef]
- Wu, Y.; Zhang, X.; Guan, F.; Wu, H.; Zhuo, D.; Li, C.; Xu, L.; Zhou, Y. Research progress on the impact of rice straw return on soil ecological environment in cold land. Jiangsu Agric. Sci. 2023, 51, 1–8. [Google Scholar]
- Xiaozeng, H.A.; Wenxiu, Z.O. Research Footprints and Prospects of Scientific and Technological R&D on the Conservation and Utilization of Black Soil in Northeast China. J. Soil Sci. 2021, 58, 1341–1358. [Google Scholar]
- Meng, X.; Ran, C.; Li, J.; Liu, B.; Zhao, Z.; Zheng, H.; Xu, H.; Yu, J.; Liu, S.; Guo, S. Effects of straw return on soil nutrients and rice yield in the black soil rice area of Northeast China. Northeast. Agric. Sci. 2023, 48, 64–67. [Google Scholar]
- Yujie, Z.; Zhiqiang, W.; Peng, M.; Zhiyuan, Y.; Yongjian, S.; Jun, M. Effects of water-nitrogen coupling on nitrogen uptake and utilization and yield of rice under straw return. China Rice Sci. 2022, 36, 388–398. [Google Scholar]
- Sun, Y.; Zhang, Q.; Sun, Y.; Yin, X.; Liu, F.; Ma, P.; Ma, J. Effects of straw return and water-nitrogen management on nitrogen utilization and soil physicochemical properties of rice. J. Hunan Agric. Univ. Nat. Sci. Ed. 2022, 48, 65–74. [Google Scholar]
- He, B.; Li, C.; Ya, Y.; Liu, Y.; He, J.; Yu, T.; Wang, S.; Chen, D.; Yan, G. Effects of fall harrowing of rice straw on soil and rice traits. China Rice 2023, 29, 66–71. [Google Scholar]
- Wang, S.; Wang, M.; Gao, X.; Zhao, W.; Miao, P.; Liu, Y.; Zhang, R.; Wang, X.; Sui, X.; Li, M.-H. The Diversity and Composition of Soil Microbial Communities Differ in Three Land Use Types of the Sanjiang Plain, Northeastern China. Microorganisms 2024, 12, 780. [Google Scholar] [CrossRef] [PubMed]
- Chen, K.; We, J.; Chen, D.; Wang, C.; Shen, J.; Li, Y.; Wu, J. Effects of fertilizer reduction and straw application on nitrogen-fixing microbial communities in bi-cropping rice fields. Environ. Sci. 2022, 43, 4725–4734. [Google Scholar]
- Rong, H.; Ming, G.; Yingyan, W.; Jiachen, L.; Guoxin, L.; Guoxin, X.; Mei, L.; Chang, X. Response of N2O emission and ammonia-oxidizing microbial community structure in purple soil to reduced corn stover and fertilizer rationing. Environ. Sci. 2019, 40, 401–411. [Google Scholar]
- Liu, X.; Zeng, X.; Zhu, Y.; Wang, W.; Huang, S.; Qiao, X.; Wang, Z.; Di, H.; Qu, J. Degradation of betaine aldehyde dehydrogenase transgenic maize BZ-136 straw and its effects on soil nutrients and fungal community. Front. Microbiol. 2023, 14, 1180310. [Google Scholar] [CrossRef] [PubMed] [PubMed Central]
- Lou, Y.; Xu, M.; Wang, W.; Sun, X.; Zhao, K. Return rate of straw residue affects soil organic c sequestration by chemical fertilization. Soil Till. Res. 2011, 113, 70–73. [Google Scholar] [CrossRef]
- Li, S.; Li, X.; Zhu, W.; Chen, J.; Tian, X.; Shi, J. Does straw return strategy influence soil carbon sequestration and labile fractions? Agron. J. 2019, 111, 897–906. [Google Scholar] [CrossRef]
- Liu, S.; Yan, C.; He, W.; Chen, B.; Zhang, Y.; Liu, Q.; Liu, E. Effects of different tillage practices on soil water-stable aggregation and organic carbon distribution in dryland farming in Northern China. Acta Ecol. Sin. 2015, 35, 65–69. [Google Scholar] [CrossRef]
- Zhao, S.; Li, K.; Zhou, W.; Qiu, S.; Huang, S.; He, P. Changes in soil microbial community, enzyme activities and organic matter fractions under long-term straw return in North-central China. Agric. Ecosyst. Environ. 2016, 216, 82–88. [Google Scholar] [CrossRef]
- Tian, P.; Lian, H.; Wang, Z.; Jiang, Y.; Li, C.; Sui, P.; Qi, H. Effects of deep and shallow tillage with straw incorporation on soil organic carbon, total nitrogen and enzyme activities in Northeast China. Sustainability 2020, 12, 8679. [Google Scholar] [CrossRef]
- Jin, C.H.E.N.; Zheng, M.J.; Pang, D.W.; Yin, Y.P.; Han, M.M.; Li, Y.X.; Luo, Y.L.; Xu, X.U.; Yong, L.I.; Wang, Z.L. Straw return and appropriate tillage method improve grain yield and nitrogen efficiency of winter wheat. J. Integr. Agr. 2017, 16, 1708–1719. [Google Scholar] [CrossRef]
- Chen, L.; Sun, S.; Yao, B.; Peng, Y.; Gao, C.; Qin, T.; Zhou, Y.; Sun, C.; Quan, W. Effects of straw return and straw biochar on soil properties and crop growth: A review. Front. Plant Sci. 2022, 13, 986763. [Google Scholar] [CrossRef] [PubMed] [PubMed Central]
- Liu, N.; Liu, Y.Y.; Cong, P.; Wang, J.; Guo, W.; Pang, H.C.; Zhang, L. Depth of straw incorporation significantly alters crop yield, soil organic carbon and total nitrogen in the north china plain. Soil. Till. Res. 2021, 205, 104772. [Google Scholar] [CrossRef]
- Yuan, L.; Zhang, Z.; Cao, X.; Zhu, S.; Zhang, X.; Wu, L. Responses of rice production, milled rice quality and soil properties to various nitrogen inputs and rice straw incorporation under continuous plastic film mulching cultivation. Field Crops Res. 2013, 155, 164–171. [Google Scholar] [CrossRef]
- Lazcano, C.; Zhu-Barker, X.; Decock, C. Effects of organic fertilizers on the soil microorganisms responsible for N2O emissions: A review. Microorganisms 2021, 9, 983. [Google Scholar] [CrossRef] [PubMed]
- Li, B.B.; Roley, S.S.; Duncan, D.S.; Guo, J.; Quensen, J.F.; Yu, H.Q.; Tiedje, J.M. Long-term excess nitrogen fertilizer increases sensitivity of soil microbial community to seasonal change revealed by ecological network and metagenome analyses. Soil Biol. Biochem. 2021, 160, 108349. [Google Scholar] [CrossRef]
- Song, D.; Chen, L.; Zhang, S.; Zheng, Q.; Ullah, S.; Zhou, W.; Wang, X. Combined biochar and nitrogen fertilizer change soil enzyme and microbial activities in a 2-year field trial. Eur. J. Soil Biol. 2020, 99, 103212. [Google Scholar] [CrossRef]
- Li, S.; Tang, S.; Chen, H.; Jin, K. Soil nitrogen availability drives the response of soil microbial biomass to warming. Sci. Total Environ. 2024, 917, 170505. [Google Scholar] [CrossRef] [PubMed]
- Han, S.; Luo, X.; Hao, X.; Ouyang, Y.; Zeng, L.; Wang, L.; Huang, Q. Microscale heterogeneity of the soil nitrogen cycling microbial functional structure and potential metabolism. Environ. Microbiol. 2021, 23, 1199–1209. [Google Scholar] [CrossRef] [PubMed]
- Kimmel, K.; Furey, G.N.; Hobbie, S.E.; Isbell, F.; Tilman, D.; Reich, P.B. Diversity-dependent soil acidification under nitrogen enrichment constrains biomass productivity. Glob. Change Biol. 2020, 26, 6594–6603. [Google Scholar] [CrossRef] [PubMed]
- Li, X.; Li, B.; Chen, L.; Liang, J.; Huang, R.; Tang, X.; Wang, C. Partial substitution of chemical fertilizer with organic fertilizer over seven years increases yields and restores soil bacterial community diversity in wheat–rice rotation. Eur. J. Agron. 2022, 133, 126445. [Google Scholar] [CrossRef]
- Pahalvi, H.N.; Rafiya, L.; Rashid, S.; Nisar, B.; Kamili, A.N. Chemical fertilizers and their impact on soil health. In Microbiota and Biofertilizers, Vol 2: Ecofriendly Tools for Reclamation of Degraded Soil Environs; Springer: Berlin/Heidelberg, Germany, 2021; pp. 1–20. [Google Scholar]
- Wei, X.; Xie, B.; Wan, C.; Song, R.; Zhong, W.; Xin, S.; Song, K. Enhancing soil health and plant growth through microbial fertilizers: Mechanisms, benefits, and sustainable agricultural practices. Agronomy 2024, 14, 609. [Google Scholar] [CrossRef]
- Zhu, F.; Lin, X.; Guan, S.; Dou, S. Deep incorporation of corn straw benefits soil organic carbon and microbial community composition in a black soil of Northeast China. Soil Use Manag. 2022, 38, 1266–1279. [Google Scholar] [CrossRef]








| Treatment | Amount of Straw Returned to the Field (kg/ha) | Nitrogen Fertilizer Usage (Pure Nitrogen kg/ha) | Phosphorus Fertilizer Usage (Pure Phosphorus kg/ha) | Potassium Fertilizer Usage (Pure Potassium kg/ha) | ||||
|---|---|---|---|---|---|---|---|---|
| Base Fertilizer | Return Fertilizer | Tiller Fertilizer | Total Nitrogen | Base Fertilizer | Base Fertilizer | Tiller Fertilizer | ||
| S2N4 | 7500 | 86.5 | 51.9 | 34.6 | 173 | 46 | 37.5 | 37.5 |
| S2N3 | 7500 | 66.5 | 39.9 | 26.6 | 133 | 46 | 37.5 | 37.5 |
| S2N2 | 7500 | 46.5 | 27.9 | 18.6 | 93 | 46 | 37.5 | 37.5 |
| S2N1 | 7500 | 26.5 | 15.9 | 10.6 | 53 | 46 | 37.5 | 37.5 |
| S2N0 | 7500 | 0 | 0 | 0 | 0 | 46 | 37.5 | 37.5 |
| Treatment | pH | AN (mg/kg) | AP (mg/kg) | AK (mg/kg) | SOC (g/kg) | TN (g/kg) | TP (g/kg) | TK (m/kg) | NH4+ | NO3− |
|---|---|---|---|---|---|---|---|---|---|---|
| S2N0 | 8.26 ± 0.07 ab | 53.26 ± 4.53 a | 26.60 ± 2.91 a | 188.24 ± 17.84 b | 1.73 ± 0.10 a | 1.53 ± 0.06 a | 0.48 ± 0.01 a | 16.06 ± 0.30 a | 16.64 ± 1.73 a | 3.06 ± 1.14 a |
| S2N1 | 8.34 ± 0.04 a | 63.24 ± 5.05 a | 28.60 ± 4.58 a | 243.21 ± 2.92 a | 1.78 ± 0.15 a | 1.74 ± 0.09 ab | 0.50 ± 0.06 a | 17.54 ± 6.23 a | 17.12 ± 1.23 a | 2.72 ± 0.26 a |
| S2N2 | 8.25 ± 0.05 ab | 77.03 ± 70.06 a | 29.55 ± 2.09 a | 192.27 ± 25.71 b | 1.96 ± 0.11 a | 2.01 ± 0.09 ab | 0.51 ± 0.01 a | 19.90 ± 0.90 a | 20.24 ± 3.17 a | 2.85 ± 0.89 a |
| S2N3 | 8.24 ± 0.06 ab | 87.13 ± 7.45 a | 30.74 ± 3.51 a | 204.75 ± 12.65 b | 2.13 ± 0.15 a | 1.91 ± 0.07 b | 0.52 ± 0.01 a | 20.11 ± 0.18 a | 20.21 ± 0.87 a | 3.24 ± 0.44 a |
| S2N4 | 8.19 ± 0.11 b | 80.16 ± 7.47 a | 29.04 ± 3.91 a | 196.50 ± 15.55 b | 2.04 ± 0.50 a | 2.12 ± 0.08 ab | 0.48 ± 0.03 a | 19.90 ± 0.54 a | 19.95 ± 2.87 a | 2.93 ± 0.32a |
| Shannon | Simpson | ACE | Chao1 | |
|---|---|---|---|---|
| pH | 0.03 | −0.25 | 0.57 * | 0.57 * |
| AN | 0.29 | 0.23 | 0.23 | 0.23 |
| AP | −0.05 | −0.27 | 0.20 | 0.20 |
| AK | −0.20 | −0.14 | 0.47 | 0.47 |
| SOC | −0.11 | 0.17 | −0.33 | −0.33 |
| TN | −0.10 | −0.22 | −0.03 | −0.03 |
| TP | 0.17 | −0.03 | 0.67 ** | 0.67 ** |
| TK | −0.07 | 0.00 | 0.01 | 0.01 |
| NH4 | 0.21 | 0.42 | −0.04 | −0.04 |
| NO3 | −0.63 * | −0.48 | −0.20 | −0.20 |
Disclaimer/Publisher’s Note: The statements, opinions and data contained in all publications are solely those of the individual author(s) and contributor(s) and not of MDPI and/or the editor(s). MDPI and/or the editor(s) disclaim responsibility for any injury to people or property resulting from any ideas, methods, instructions or products referred to in the content. |
© 2025 by the authors. Licensee MDPI, Basel, Switzerland. This article is an open access article distributed under the terms and conditions of the Creative Commons Attribution (CC BY) license (https://creativecommons.org/licenses/by/4.0/).
Share and Cite
Zeng, X.; Wang, Q.; Song, Q.; Liang, Q.; Sun, Y.; Song, F. Effects of Different Nitrogen Fertilizer Application Rates on Soil Microbial Structure in Paddy Soil When Combined with Rice Straw Return. Microorganisms 2025, 13, 79. https://doi.org/10.3390/microorganisms13010079
Zeng X, Wang Q, Song Q, Liang Q, Sun Y, Song F. Effects of Different Nitrogen Fertilizer Application Rates on Soil Microbial Structure in Paddy Soil When Combined with Rice Straw Return. Microorganisms. 2025; 13(1):79. https://doi.org/10.3390/microorganisms13010079
Chicago/Turabian StyleZeng, Xiannan, Qi Wang, Qiulai Song, Quanxi Liang, Yu Sun, and Fuqiang Song. 2025. "Effects of Different Nitrogen Fertilizer Application Rates on Soil Microbial Structure in Paddy Soil When Combined with Rice Straw Return" Microorganisms 13, no. 1: 79. https://doi.org/10.3390/microorganisms13010079
APA StyleZeng, X., Wang, Q., Song, Q., Liang, Q., Sun, Y., & Song, F. (2025). Effects of Different Nitrogen Fertilizer Application Rates on Soil Microbial Structure in Paddy Soil When Combined with Rice Straw Return. Microorganisms, 13(1), 79. https://doi.org/10.3390/microorganisms13010079

