Enhanced Detection of Viable Escherichia coli O157:H7 in Romaine Lettuce Wash Water Using On-Filter Propidium Monoazide-Quantitative PCR
Abstract
1. Introduction
2. Materials and Methods
2.1. Preparation of Bacterial Strains
2.2. Preparation of Wash Water
2.3. Inoculation of Wash Water
2.4. On-Filter PMA Pretreatment
2.5. DNA Extraction
2.6. qPCR
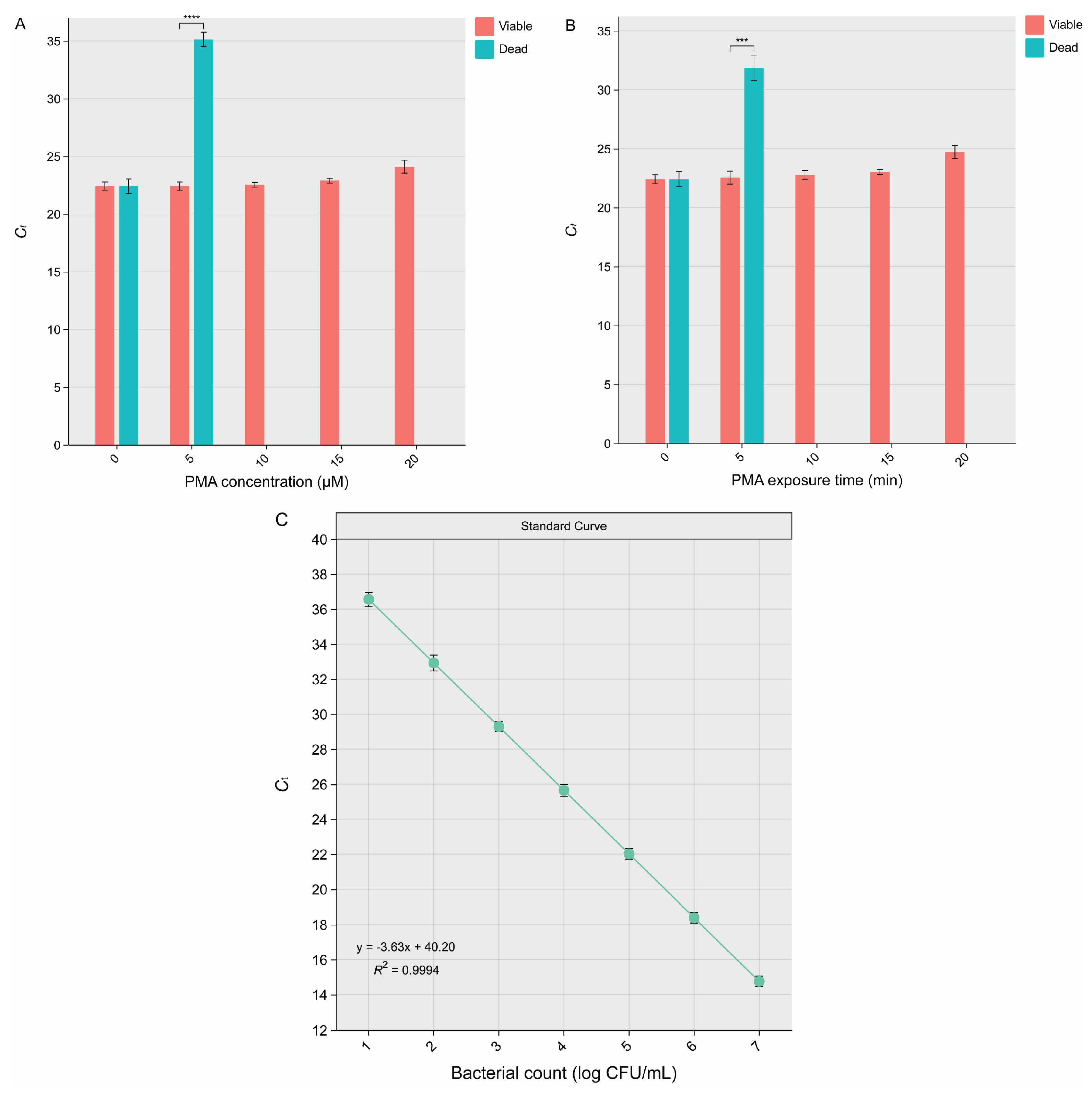
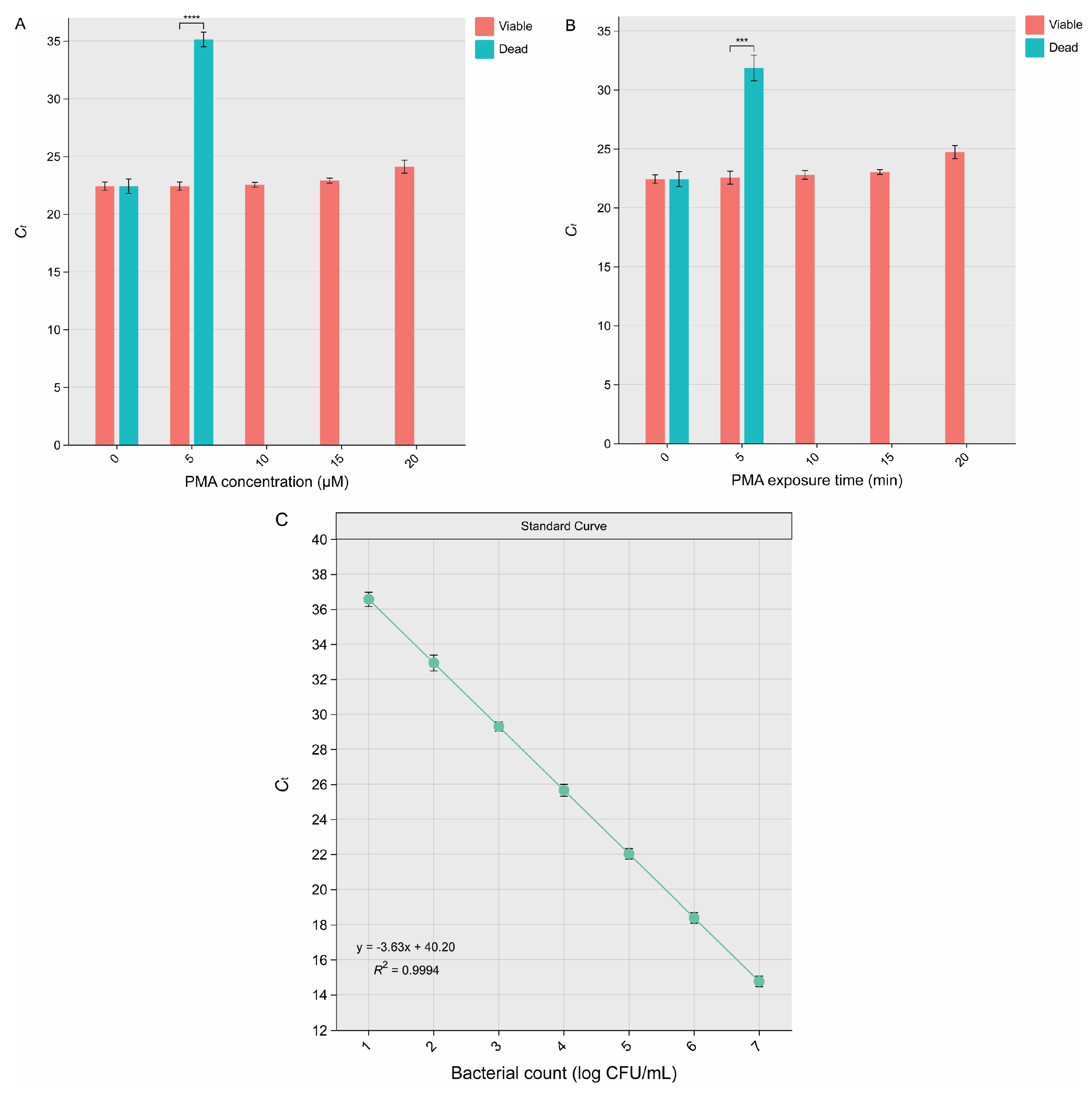
2.7. Optimization of On-Filter PMA Pretreatment
2.8. Statistical Analysis
3. Results and Discussion
3.1. Consistency of On-Filter PMA-qPCR Performance Across Varying COD Levels in Detecting Viable E. coli O157:H7 in Romaine Lettuce Wash Water
3.2. Optimization of On-Filter PMA Pretreatment for Detecting Viable E. coli O157:H7 in Romaine Lettuce Wash Water
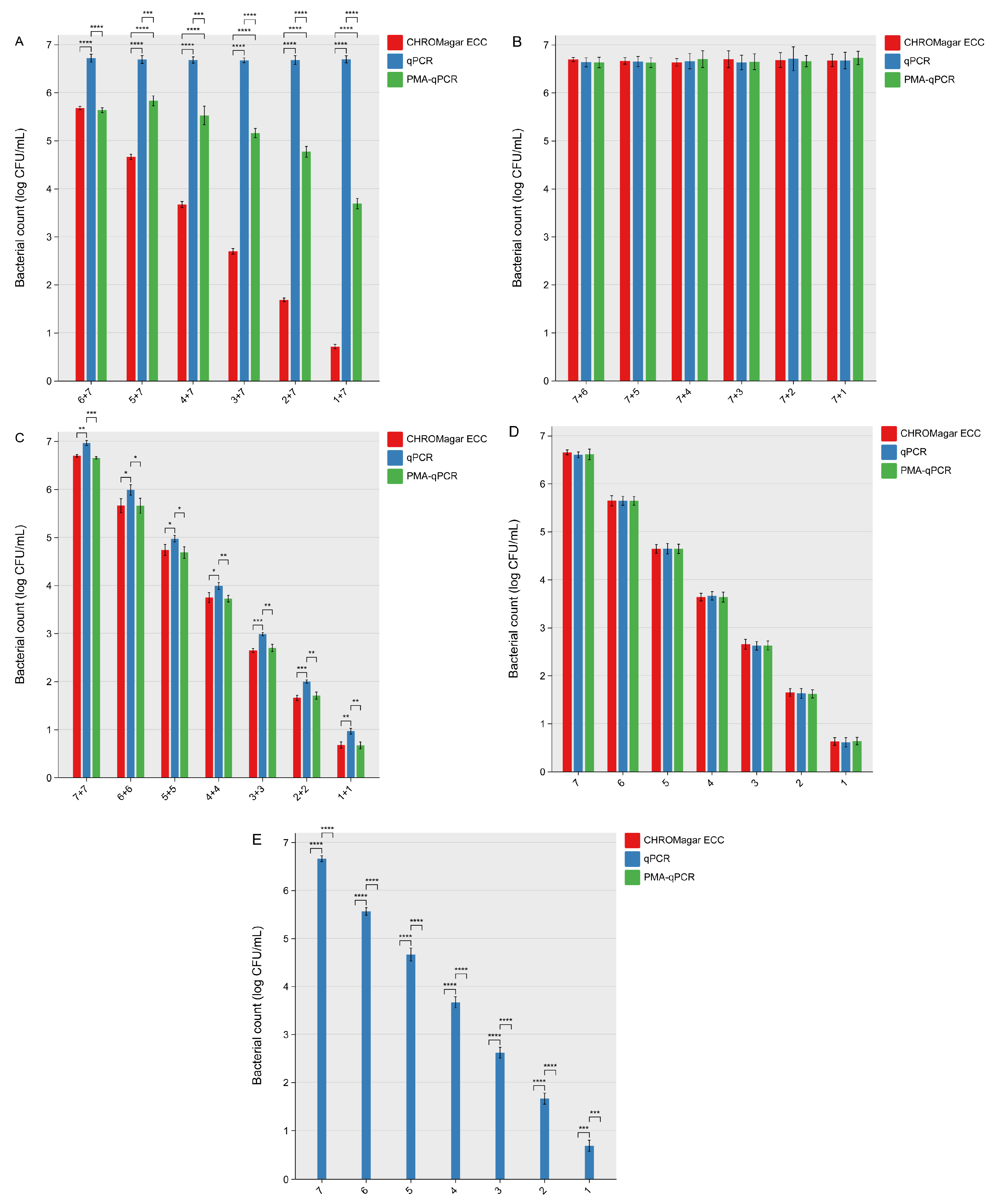
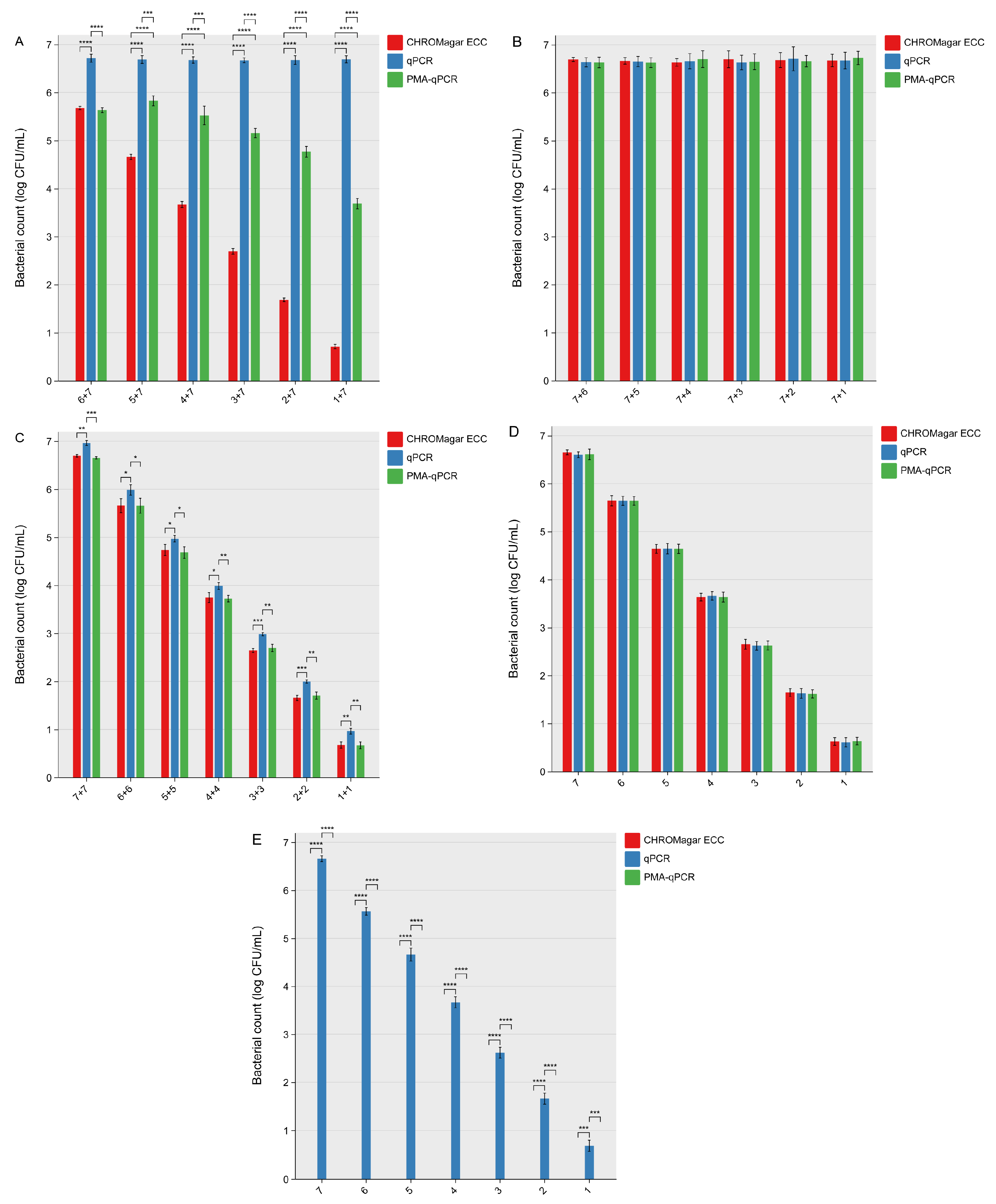
3.3. Sensitivity of On-Filter PMA-qPCR for Detecting Viable E. coli O157:H7 in Romaine Lettuce Wash Water
3.4. Impact of Viable-to-Dead Cell Ratio on PMA-qPCR Accuracy in Detecting Viable E. coli O157:H7 in Romaine Lettuce Wash Water
4. Conclusions
Supplementary Materials
Funding
Institutional Review Board Statement
Informed Consent Statement
Data Availability Statement
Conflicts of Interest
References
- Kintz, E.; Byrne, L.; Jenkins, C.; McCarthy, N.; Vivancos, R.; Hunter, P. Outbreaks of Shiga toxin–producing Escherichia coli linked to sprouted seeds, salad, and leafy greens: A systematic review. J. Food Prot. 2019, 82, 1950–1958. [Google Scholar] [CrossRef] [PubMed]
- Holvoet, K.; De Keuckelaere, A.; Sampers, I.; Van Haute, S.; Stals, A.; Uyttendaele, M. Quantitative study of cross-contamination with Escherichia coli, E. coli O157, MS2 phage and murine norovirus in a simulated fresh-cut lettuce wash process. Food Control 2014, 37, 218–227. [Google Scholar] [CrossRef]
- Gil, M.I.; Selma, M.V.; López-Gálvez, F.; Allende, A. Fresh-cut product sanitation and wash water disinfection: Problems and solutions. Int. J. Food Microbiol. 2009, 134, 37–45. [Google Scholar] [CrossRef] [PubMed]
- López-Gálvez, F.; Allende, A.; Selma, M.V.; Gil, M.I. Prevention of Escherichia coli cross-contamination by different commercial sanitizers during washing of fresh-cut lettuce. Int. J. Food Microbiol. 2009, 133, 167–171. [Google Scholar] [CrossRef] [PubMed]
- Ngwa, G.A.; Schop, R.; Weir, S.; León-Velarde, C.G.; Odumeru, J.A. Detection and enumeration of E. coli O157:H7 in water samples by culture and molecular methods. J. Microbiol. Methods 2013, 92, 164–172. [Google Scholar] [CrossRef] [PubMed]
- Postollec, F.; Falentin, H.; Pavan, S.; Combrisson, J.; Sohier, D. Recent advances in quantitative PCR (qPCR) applications in food microbiology. Food Microbiol. 2011, 28, 848–861. [Google Scholar] [CrossRef] [PubMed]
- Botes, M.; de Kwaadsteniet, M.; Cloete, T.E. Application of quantitative PCR for the detection of microorganisms in water. Anal. Bioanal. Chem. 2013, 405, 91–108. [Google Scholar] [CrossRef]
- Cangelosi, G.A.; Meschke, J.S. Dead or alive: Molecular assessment of microbial viability. Appl. Environ. Microbiol. 2014, 80, 5884–5891. [Google Scholar] [CrossRef] [PubMed]
- Wolffs, P.; Norling, B.; Rådström, P. Risk assessment of false-positive quantitative real-time PCR results in food, due to detection of DNA originating from dead cells. J. Microbiol. Methods 2005, 60, 315–323. [Google Scholar] [CrossRef]
- Elizaquível, P.; Sánchez, G.; Selma, M.V.; Aznar, R. Application of propidium monoazide-qPCR to evaluate the ultrasonic inactivation of Escherichia coli O157: H7 in fresh-cut vegetable wash water. Food Microbiol. 2012, 30, 316–320. [Google Scholar] [CrossRef]
- Nocker, A.; Sossa-Fernandez, P.; Burr, M.D.; Camper, A.K. Use of propidium monoazide for live/dead distinction in microbial ecology. Appl. Environ. Microbiol. 2007, 73, 5111–5117. [Google Scholar] [CrossRef]
- Truchado, P.; Gil, M.I.; Kostic, T.; Allende, A. Optimization and validation of a PMA qPCR method for Escherichia coli quantification in primary production. Food Control 2016, 62, 150–156. [Google Scholar] [CrossRef]
- Miotto, M.; Barretta, C.; Ossai, S.O.; da Silva, H.S.; Kist, A.; Vieira, C.R.W.; Parveen, S. Optimization of a propidium monoazide-qPCR method for Escherichia coli quantification in raw seafood. Int. J. Food Microbiol. 2020, 318, 108467. [Google Scholar] [CrossRef]
- Heise, J.; Nega, M.; Alawi, M.; Wagner, D. Propidium monoazide treatment to distinguish between live and dead methanogens in pure cultures and environmental samples. J. Microbiol. Methods 2016, 121, 11–23. [Google Scholar] [CrossRef]
- Slimani, S.; Robyns, A.; Jarraud, S.; Molmeret, M.; Dusserre, E.; Mazure, C.; Facon, J.P.; Lina, G.; Etienne, J.; Ginevra, C. Evaluation of propidium monoazide (PMA) treatment directly on membrane filter for the enumeration of viable but non cultivable Legionella by qPCR. J. Microbiol. Methods 2012, 88, 319–321. [Google Scholar] [CrossRef]
- Bonetta, S.; Pignata, C.; Bonetta, S.; Meucci, L.; Giacosa, D.; Marino, E.; Gilli, G.; Carraro, E. Viability of Legionella pneumophila in water samples: A comparison of propidium monoazide (PMA) treatment on membrane filters and in liquid. Int. J. Environ. Res. Public Health 2017, 14, 467. [Google Scholar] [CrossRef] [PubMed]
- Samhan, F.A.; Stedtfeld, T.M.; Waseem, H.; Williams, M.R.; Stedtfeld, R.D.; Hashsham, S.A. On-filter direct amplification of Legionella pneumophila for rapid assessment of its abundance and viability. Water Res. 2017, 121, 162–170. [Google Scholar] [CrossRef]
- FDA. Bacteriological Analytical Manual Chapter 4: Enumeration of Escherichia coli and the Coliform Bacteria; FDA: Silver Spring, MD, USA, 2020. [Google Scholar]
- Selma, M.V.; Allende, A.; Lopez-Galvez, F.; Conesa, M.A.; Gil, M.I. Heterogeneous photocatalytic disinfection of wash waters from the fresh-cut vegetable industry. J. Food Prot. 2008, 71, 286–292. [Google Scholar] [CrossRef] [PubMed]
- FDA. Bacteriological Analytical Manual Chapter 4A: Diarrheagenic Escherichia coli; FDA: Silver Spring, MD, USA, 2020. [Google Scholar]
- Wickham, H. ggplot2. Wiley Interdiscip. Rev. Comput. Stat. 2011, 3, 180–185. [Google Scholar] [CrossRef]
- Xie, G.; Hu, L.; Liu, R.; Huang, M.; Liang, T.; Aguilar, Z.P.; Xu, H. Quantitative detection of viable Escherichia coli O157: H7 using a photoreactive DNA-binding dye propidium monoazide in irrigation water. Biochem. Eng. J. 2019, 151, 107354. [Google Scholar] [CrossRef]
- Yuan, Y.; Zheng, G.; Lin, M.; Mustapha, A. Detection of viable Escherichia coli in environmental water using combined propidium monoazide staining and quantitative PCR. Water Res. 2018, 145, 398–407. [Google Scholar] [CrossRef] [PubMed]
- Kantonales Laboratorium. Development of a Method to Distinguish Between DNA from Dead or Living Microorganisms; Kantonales Laboratorium: Frauenfeld, Switzerland, 2009. [Google Scholar]
- Yang, X.; Badoni, M.; Gill, C.O. Use of propidium monoazide and quantitative PCR for differentiation of viable Escherichia coli from E. coli killed by mild or pasteurizing heat treatments. Food Microbiol. 2011, 28, 1478–1482. [Google Scholar] [CrossRef] [PubMed]
- Yokomachi, N.; Yaguchi, J. Enumeration of viable Escherichia coli by real-time PCR with propidium monoazide. Water Sci. Technol. 2012, 66, 2065. [Google Scholar] [CrossRef] [PubMed]
- Yuan, Y. Detection of Viable Escherichia coli in Environmental Water Using a Combined Propidium Monoazide Staining-Real-time PCR. Master’s Thesis, University of Missouri, Columbia, MO, USA, 2015. [Google Scholar]



| Group | Cell Concentration (log CFU/mL) | |
|---|---|---|
| Viable Cells | Dead Cells | |
| Viable cell concentrations lower than dead cell concentrations | 6 | 7 |
| 5 | 7 | |
| 4 | 7 | |
| 3 | 7 | |
| 2 | 7 | |
| 1 | 7 | |
| 0 | 7 | |
| Viable cell concentrations higher than dead cell concentrations | 7 | 6 |
| 7 | 5 | |
| 7 | 4 | |
| 7 | 3 | |
| 7 | 2 | |
| 7 | 1 | |
| 7 | 0 | |
| Viable cell concentrations equal to dead cell concentrations | 7 | 7 |
| 6 | 6 | |
| 5 | 5 | |
| 4 | 4 | |
| 3 | 3 | |
| 2 | 2 | |
| 1 | 1 | |
| 0 | 0 | |
| Only viable cells present | 7 | - a |
| 6 | - | |
| 5 | - | |
| 4 | - | |
| 3 | - | |
| 2 | - | |
| 1 | - | |
| 0 | - | |
| Only dead cells present | - | 7 |
| - | 6 | |
| - | 5 | |
| - | 4 | |
| - | 3 | |
| - | 2 | |
| - | 1 | |
| - | 0 | |
Disclaimer/Publisher’s Note: The statements, opinions and data contained in all publications are solely those of the individual author(s) and contributor(s) and not of MDPI and/or the editor(s). MDPI and/or the editor(s) disclaim responsibility for any injury to people or property resulting from any ideas, methods, instructions or products referred to in the content. |
© 2024 by the author. Licensee MDPI, Basel, Switzerland. This article is an open access article distributed under the terms and conditions of the Creative Commons Attribution (CC BY) license (https://creativecommons.org/licenses/by/4.0/).
Share and Cite
Chen, Z. Enhanced Detection of Viable Escherichia coli O157:H7 in Romaine Lettuce Wash Water Using On-Filter Propidium Monoazide-Quantitative PCR. Microorganisms 2025, 13, 34. https://doi.org/10.3390/microorganisms13010034
Chen Z. Enhanced Detection of Viable Escherichia coli O157:H7 in Romaine Lettuce Wash Water Using On-Filter Propidium Monoazide-Quantitative PCR. Microorganisms. 2025; 13(1):34. https://doi.org/10.3390/microorganisms13010034
Chicago/Turabian StyleChen, Zhao. 2025. "Enhanced Detection of Viable Escherichia coli O157:H7 in Romaine Lettuce Wash Water Using On-Filter Propidium Monoazide-Quantitative PCR" Microorganisms 13, no. 1: 34. https://doi.org/10.3390/microorganisms13010034
APA StyleChen, Z. (2025). Enhanced Detection of Viable Escherichia coli O157:H7 in Romaine Lettuce Wash Water Using On-Filter Propidium Monoazide-Quantitative PCR. Microorganisms, 13(1), 34. https://doi.org/10.3390/microorganisms13010034

