Effects of Perennial Alfalfa on the Structure and Function of Soil Micro-Food Webs in the Loess Plateau
Abstract
1. Introduction
- Assess the impact of different planting durations on soil microbial and nematode community structures.
- Elucidate the influence of planting years on decomposition pathways within the soil micro-food web.
- Identify optimal planting durations for enhancing soil fertility and ecosystem stability.
2. Material and Methods
2.1. Site Description
2.2. Experimental Design and Soil Sampling
2.3. Analysis of Soil Physicochemical Properties
2.4. DNA Extraction and High-Throughput Sequencing
2.5. Analysis of Soil Nematode Communities
2.6. Ecological Function Index Calculation
2.7. Metabolic Footprinting and Faunal Analysis of Nematodes
2.8. Soil Food Web Carbon Flow Analyses
2.9. Statistical Analysis
3. Results
3.1. Environmental Factors
3.2. Composition and Differences of Microbial and Nematode Communities
3.3. Principal Component Analysis of Soil Microorganisms and Nematodes
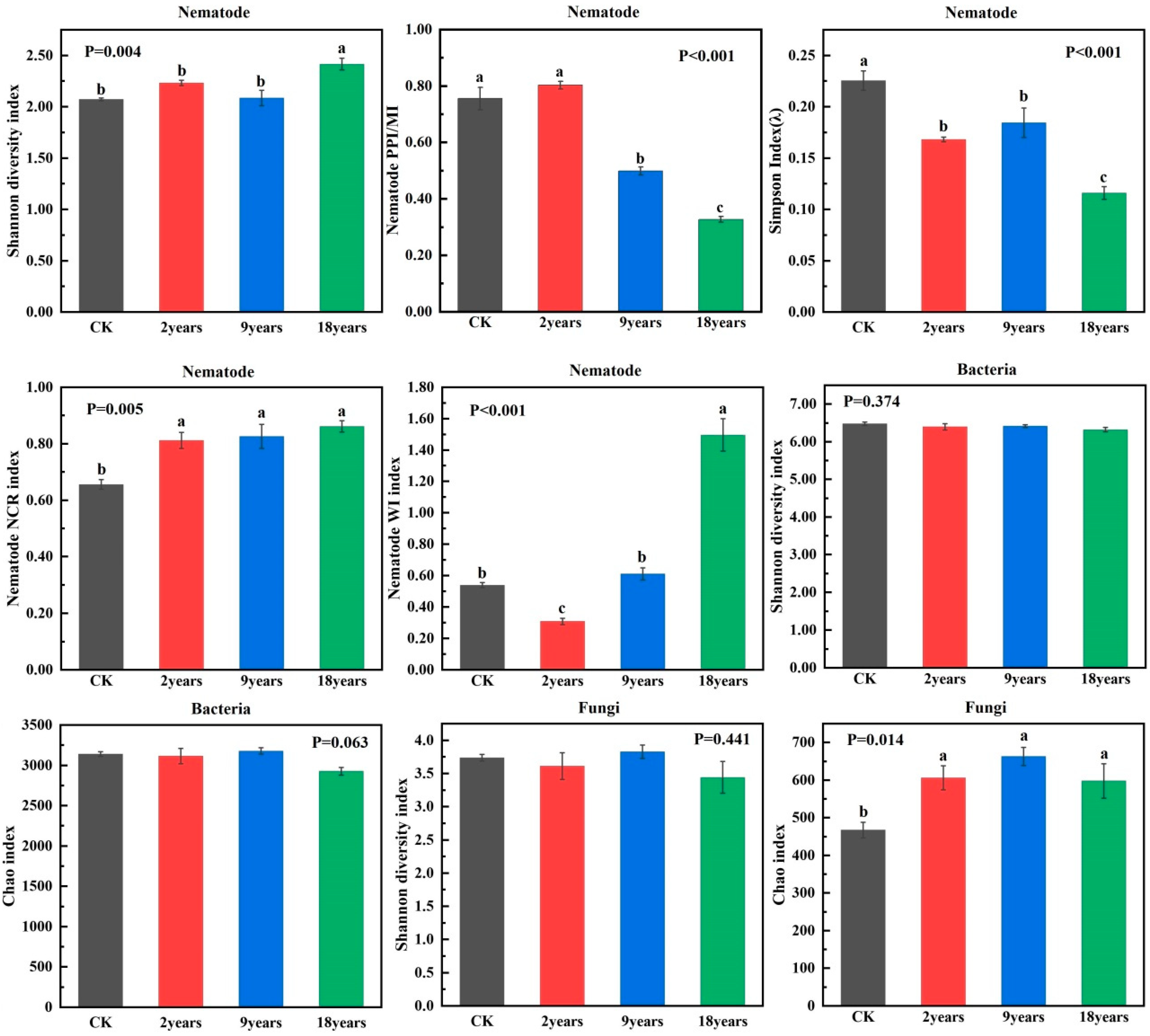
3.4. Ecological Function Index of Soil Microorganisms and Nematode Communities
3.5. Soil Nematode Metabolic Footprint and Carbon Flow Within the Food Web
3.6. Symbiotic Relationship Between Soil Microorganisms and Nematodes
3.7. Analysis of the Correlation Between Soil Microbial and Nematode Communities and Environmental Factors
4. Discussion
4.1. Effects of Different Planting Years on Soil Microorganisms and Nematodes
4.2. Effects of Different Planting Years on Soil Food Web Metabolic Activities and Carbon Flow
4.3. Ecological Impact and Limitations of This Study
5. Conclusions
Supplementary Materials
Author Contributions
Funding
Institutional Review Board Statement
Data Availability Statement
Acknowledgments
Conflicts of Interest
References
- Lehmann, J.; Kleber, M. The contentious nature of soil organic matter. Nature 2015, 528, 60–68. [Google Scholar] [CrossRef] [PubMed]
- Bernal, B.; McKinley, D.C.; Hungate, B.A.; White, P.M.; Mozdzer, T.J.; Megonigal, J.P. Limits to soil carbon stability; Deep, ancient soil carbon decomposition stimulated by new labile organic inputs. Soil Biol. Biochem. 2016, 98, 85–94. [Google Scholar] [CrossRef]
- Jackson, R.B.; Lajtha, K.; Crow, S.E.; Hugelius, G.; Kramer, M.G.; Pineiro, G. The Ecology of Soil Carbon: Pools, Vulnerabilities, and Biotic and Abiotic Controls. In Annual Review of Ecology, Evolution, and Systematics; Futuyma, D.J., Ed.; Annual Reviews: Palo Alto, CA, USA, 2017; Volume 48, pp. 419–445. [Google Scholar]
- Coleman, D.C.; Geisen, S.; Wall, D. Soil fauna: Occurrence, biodiversity, and roles in ecosystem function. In Soil Microbiology, Ecology and Biochemistry; Elsevier: Amsterdam, The Netherlands, 2024; pp. 131–159. [Google Scholar]
- Andres, P.; Moore, J.C.; Cotrufo, F.; Denef, K.; Haddix, M.L.; Molowny-Horas, R.; Riba, M.; Wall, D.H. Grazing and edaphic properties mediate soil biotic response to altered precipitation patterns in a semiarid prairie. Soil Biol. Biochem. 2017, 113, 263–274. [Google Scholar] [CrossRef]
- Six, J.; Frey, S.D.; Thiet, R.K.; Batten, K.M. Bacterial and fungal contributions to carbon sequestration in agroecosystems. Soil Sci. Soc. Am. J. 2006, 70, 555–569. [Google Scholar] [CrossRef]
- Danger, M.; Gessner, M.O.; Barlocher, F. Ecological stoichiometry of aquatic fungi: Current knowledge and perspectives. Fungal Ecol. 2016, 19, 100–111. [Google Scholar] [CrossRef]
- Hu, P.L.; Xiao, J.; Zhang, W.; Xiao, L.M.; Yang, R.; Xiao, D.; Zhao, J.; Wang, K.L. Response of soil microbial communities to natural and managed vegetation restoration in a subtropical karst region. Catena 2020, 195, 104849. [Google Scholar] [CrossRef]
- Deng, Y.; Jiang, Y.H.; Yang, Y.F.; He, Z.L.; Luo, F.; Zhou, J.Z. Molecular ecological network analyses. Bmc Bioinform. 2012, 13, 1–20. [Google Scholar] [CrossRef]
- Tian, J.; He, N.P.; Kong, W.D.; Deng, Y.; Feng, K.; Green, S.M.; Wang, X.B.; Zhou, J.Z.; Kuzyakov, Y.; Ye, G.R. Deforestation decreases spatial turnover and alters the network interactions in soil bacterial communities. Soil Biol. Biochem. 2018, 123, 80–86. [Google Scholar] [CrossRef]
- Ferris, H. Form and function: Metabolic footprints of nematodes in the soil food web. Eur. J. Soil Biol. 2010, 46, 97–104. [Google Scholar] [CrossRef]
- Ferris, H.; Sánchez-Moreno, S.; Brennan, E. Structure, functions and interguild relationships of the soil nematode assemblage in organic vegetable production. Appl. Soil Ecol. 2012, 61, 16–25. [Google Scholar] [CrossRef]
- Guan, P.; Zhang, X.; Yu, J.; Cheng, Y.; Li, Q.; Andriuzzi, W.S.; Liang, W. Soil microbial food web channels associated with biological soil crusts in desertification restoration: The carbon flow from microbes to nematodes. Soil Biol. Biochem. 2018, 116, 82–90. [Google Scholar] [CrossRef]
- Zhang, X.; Guan, P.; Wang, Y.; Li, Q.; Zhang, S.; Zhang, Z.; Bezemer, T.M.; Liang, W. Community composition, diversity and metabolic footprints of soil nematodes in differently-aged temperate forests. Soil Biol. Biochem. 2015, 80, 118–126. [Google Scholar] [CrossRef]
- Hu, N.; Li, H.; Tang, Z.; Li, Z.; Tian, J.; Lou, Y.; Li, J.; Li, G.; Hu, X. Community diversity, structure and carbon footprint of nematode food web following reforestation on degraded Karst Soil. Sci. Rep. 2016, 6, 28138. [Google Scholar] [CrossRef] [PubMed]
- Liu, B.X.; Shao, M.A. Estimation of soil water storage using temporal stability in four land uses over 10 years on the Loess Plateau, China. J. Hydrol. 2014, 517, 974–984. [Google Scholar] [CrossRef]
- Zhou, J.; Fu, B.J.; Gao, G.Y.; Lu, Y.H.; Liu, Y.; Lu, N.; Wang, S. Effects of precipitation and restoration vegetation on soil erosion in a semi-arid environment in the Loess Plateau, China. Catena 2016, 137, 1–11. [Google Scholar] [CrossRef]
- Chen, L.D.; Huang, Z.L.; Gong, J.; Fu, B.J.; Huang, Y.L. The effect of land cover/vegetation on soil water dynamic in the hilly area of the loess plateau, China. Catena 2007, 70, 200–208. [Google Scholar] [CrossRef]
- Zhao, H.; He, H.; Wang, J.; Bai, C.; Zhang, C. Vegetation restoration and its environmental effects on the Loess Plateau. Sustainability 2018, 10, 4676. [Google Scholar] [CrossRef]
- Hu, L.; Li, Q.; Yan, J.; Liu, C.; Zhong, J. Vegetation restoration facilitates belowground microbial network complexity and recalcitrant soil organic carbon storage in southwest China karst region. Sci. Total Environ. 2022, 820, 153137. [Google Scholar] [CrossRef]
- Yu, Y.; Zhao, W.; Martinez-Murillo, J.F.; Pereira, P. Loess Plateau: From Degradation to Restoration; Elsevier: Amsterdam, The Netherlands, 2020; Volume 738, p. 140206. [Google Scholar]
- Yang, X.; Kay, B. Rotation and tillage effects on soil organic carbon sequestration in a typic Hapludalf in Southern Ontario. Soil Tillage Res. 2001, 59, 107–114. [Google Scholar] [CrossRef]
- Whitbread, A.M.; Blair, G.J.; Lefroy, R.D.B. Managing legume leys, residues and fertilisers to enhance the sustainability of wheat cropping systems in Australia 1. The effects on wheat yields and nutrient balances. Soil Tillage Res. 2000, 54, 63–75. [Google Scholar] [CrossRef]
- Ma, J.; Huangfu, W.; Yang, X.; Xu, J.; Zhang, Y.; Wang, Z.; Zhu, X.; Wang, C.; Shi, Y.; Cui, Y. “King of the forage”—Alfalfa supplementation improves growth, reproductive performance, health condition and meat quality of pigs. Front. Vet. Sci. 2022, 9, 1025942. [Google Scholar] [CrossRef] [PubMed]
- Singer, S.D.; Weselake, R.J.; Acharya, S. Molecular enhancement of alfalfa: Improving quality traits for superior livestock performance and reduced environmental impact. Crop Sci. 2018, 58, 55–71. [Google Scholar] [CrossRef]
- Gu, Y.-J.; Han, C.-L.; Fan, J.-W.; Shi, X.-P.; Kong, M.; Shi, X.-Y.; Siddique, K.H.; Zhao, Y.-Y.; Li, F.-M. Alfalfa forage yield, soil water and P availability in response to plastic film mulch and P fertilization in a semiarid environment. Field Crops Res. 2018, 215, 94–103. [Google Scholar] [CrossRef]
- Wardle, D.A.; Yeates, G.W.; Williamson, W.; Bonner, K.I. The response of a three trophic level soil food web to the identity and diversity of plant species and functional groups. Oikos 2003, 102, 45–56. [Google Scholar] [CrossRef]
- Farrell, H.L.; Léger, A.; Breed, M.F.; Gornish, E.S. Restoration, soil organisms, and soil processes: Emerging approaches. Restor. Ecol. 2020, 28, S307–S310. [Google Scholar] [CrossRef]
- Sanmanee, N.; Suwannaoin, P. Investigation of Organic Carbon using Rapid Dichromate Oxidation in Comparison with Dry Combustion Techniques among Three Groups of Two Different Sizes of Soils. Environ. Asia 2009, 2, 11–14. [Google Scholar]
- Brookes, P.; Landman, A.; Pruden, G.; Jenkinson, D. Chloroform fumigation and the release of soil nitrogen: A rapid direct extraction method to measure microbial biomass nitrogen in Soil. Soil Biol. Biochem. 1985, 17, 837–842. [Google Scholar] [CrossRef]
- Levine, H.; Rowe, J.J.; Grimaldi, F.S. Molybdenum blue reaction and determination of phosphorus in waters containing arsenic, silicon, and germanium. Anal. Chem. 1955, 27, 258–262. [Google Scholar] [CrossRef]
- Do, M.; Horta, C.; Torrent, J.; Superior, E.; Ria, A.; Sra, Q.; Rcules, C.; Branco, P.; Torrent. The Olsen P method as an agronomic and environmental test for predicting phosphate release from acid soils. Nutr. Cycl. Agroecosyst. 2007, 77, 283–292. [Google Scholar]
- Ma, Z.P.; Yue, Y.J.; Feng, M.X.; Li, Y.S.; Ma, X.; Zhao, X.; Wang, S.Q. Mitigation of ammonia volatilization and nitrate leaching via loss control urea triggered H-bond forces. Sci. Rep. 2019, 9, 15140. [Google Scholar] [CrossRef]
- Porazinska, D.L.; Giblin-Davis, R.M.; Faller, L.; Farmerie, W.; Kanzaki, N.; Morris, K.; Powers, T.O.; Tucker, A.E.; Sung, W.; Thomas, W.K. Evaluating high-throughput sequencing as a method for metagenomic analysis of nematode diversity. Mol. Ecol. Resour. 2009, 9, 1439–1450. [Google Scholar] [CrossRef] [PubMed]
- Wang, G.C.; Wang, Y. The frequency of chimeric molecules as a consequence of PCR co-amplification of 16S rRNA genes from different bacterial species. Microbiology 1996, 142, 1107–1114. [Google Scholar] [CrossRef] [PubMed]
- Yang, Y.; Dou, Y.; Huang, Y.; An, S. Links between soil fungal diversity and plant and soil properties on the Loess Plateau. Front. Microbiol. 2017, 8, 2198. [Google Scholar] [CrossRef] [PubMed]
- Sinclair, L.; Osman, O.A.; Bertilsson, S.; Eiler, A. Microbial Community Composition and Diversity via 16S rRNA Gene Amplicons: Evaluating the Illumina Platform. PLoS ONE 2015, 10, e0116955. [Google Scholar] [CrossRef] [PubMed]
- Mueller, R.C.; Paula, F.S.; Mirza, B.S.; Rodrigues, J.L.M.; Nuesslein, K.; Bohannan, B.J.M. Links between plant and fungal communities across a deforestation chronosequence in the Amazon rainforest. ISME J. 2014, 8, 1548–1550. [Google Scholar] [CrossRef]
- Bongers, T. De Nematoden van Nederland; Stichting Uitgeverij Koninklijke Nederlandse Natuurhistorische Vereniging: Utrecht, The Netherlands, 1988. [Google Scholar]
- Yeates, G.W.; Bongers, T.; De Goede, R.G.; Freckman, D.W.; Georgieva, S. Feeding habits in soil nematode families and genera—An outline for soil ecologists. J. Nematol. 1993, 25, 315. [Google Scholar]
- Shannon, C.E. A mathematical theory of communication. Bell Syst. Tech. J. 1948, 27, 379–423. [Google Scholar] [CrossRef]
- Yeates, G.; Bongers, T. Nematode diversity in agroecosystems. In Invertebrate Biodiversity as Bioindicators of Sustainable Landscapes; Elsevier: Amsterdam, The Netherlands, 1999; pp. 113–135. [Google Scholar]
- Bongers, T. The maturity index: An ecological measure of environmental disturbance based on nematode species composition. Oecologia 1990, 83, 14–19. [Google Scholar] [CrossRef]
- Ferris, H.; Bongers, T.; de Goede, R.G. A framework for soil food web diagnostics: Extension of the nematode faunal analysis concept. Appl. Soil Ecol. 2001, 18, 13–29. [Google Scholar] [CrossRef]
- Zhao, F.; Bai, L.; Wang, J.; Deng, J.; Ren, C.; Han, X.; Yang, G.; Wang, J. Change in soil bacterial community during secondary succession depend on plant and soil characteristics. Catena 2019, 173, 246–252. [Google Scholar] [CrossRef]
- Jackson, L.; Bowles, T.; Ferris, H.; Margenot, A.; Hollander, A.; Garcia-Palacios, P.; Daufresne, T.; Sánchez-Moreno, S. Plant and soil microfaunal biodiversity across the borders between arable and forest ecosystems in a Mediterranean landscape. Appl. Soil Ecol. 2019, 136, 122–138. [Google Scholar] [CrossRef]
- Zhang, W.; Qiao, W.; Gao, D.; Dai, Y.; Deng, J.; Yang, G.; Han, X.; Ren, G. Relationship between soil nutrient properties and biological activities along a restoration chronosequence of Pinus tabulaeformis plantation forests in the Ziwuling Mountains, China. CATENA 2018, 161, 85–95. [Google Scholar] [CrossRef]
- Cui, Y.; Fang, L.; Guo, X.; Wang, X.; Wang, Y.; Li, P.; Zhang, Y.; Zhang, X. Responses of soil microbial communities to nutrient limitation in the desert-grassland ecological transition zone. Sci. Total Environ. 2018, 642, 45–55. [Google Scholar] [CrossRef] [PubMed]
- Campos-Herrera, R.; Blanco-Pérez, R.; Bueno-Pallero, F.Á.; Duarte, A.; Nolasco, G.; Sommer, R.J.; Rodríguez Martín, J.A. Vegetation drives assemblages of entomopathogenic nematodes and other soil organisms: Evidence from the Algarve, Portugal. Soil Biol. Biochem. 2019, 128, 150–163. [Google Scholar] [CrossRef]
- Van Den Hoogen, J.; Geisen, S.; Routh, D.; Ferris, H.; Traunspurger, W.; Wardle, D.A.; De Goede, R.G.; Adams, B.J.; Ahmad, W.; Andriuzzi, W.S. Soil nematode abundance and functional group composition at a global scale. Nature 2019, 572, 194–198. [Google Scholar] [CrossRef] [PubMed]
- Rooney, D.; Clipson, N. Phosphate Addition and Plant Species Alters Microbial Community Structure in Acidic Upland Grassland Soil. Microb. Ecol. 2008, 57, 4–13. [Google Scholar] [CrossRef]
- Zhong, W.; Gu, T.; Wang, W.; Zhang, B.; Lin, X.; Huang, Q.; Shen, W. The effects of mineral fertilizer and organic manure on soil microbial community and diversity. Plant Soil 2010, 326, 511–522. [Google Scholar] [CrossRef]
- Cleveland, C.C.; Townsend, A.R.; Schmidt, S.K. Phosphorus Limitation of Microbial Processes in Moist Tropical Forests: Evidence from Short-term Laboratory Incubations and Field Studies. Ecosystems 2002, 5, 0680–0691. [Google Scholar] [CrossRef]
- Cheng, Y.; Jiang, Y.; Wu, Y.; Valentine, T.A.; Li, H. Soil nitrogen status modifies rice root response to nematode-bacteria interactions in the rhizosphere. PLoS ONE 2016, 11, e0148021. [Google Scholar] [CrossRef]
- Larsen, J.; Jaramillo-López, P.; Nájera-Rincon, M.; González-Esquivel, C. Biotic interactions in the rhizosphere in relation to plant and soil nutrient dynamics. J. Soil Sci. Plant Nutr. 2015, 15, 449–463. [Google Scholar] [CrossRef]
- Banning, N.C.; Gleeson, D.B.; Grigg, A.H.; Grant, C.D.; Andersen, G.L.; Brodie, E.L.; Murphy, D. Soil microbial community successional patterns during forest ecosystem restoration. Appl. Environ. Microbiol. 2011, 77, 6158–6164. [Google Scholar] [CrossRef] [PubMed]
- Vick-Majors, T.J.; Priscu, J.C.; Amaral-Zettler, L.A. Modular community structure suggests metabolic plasticity during the transition to polar night in ice-covered Antarctic lakes. ISME J. 2014, 8, 778–789. [Google Scholar] [CrossRef] [PubMed]
- Hernandez, D.J.; David, A.S.; Menges, E.S.; Searcy, C.A.; Afkhami, M.E. Environmental stress destabilizes microbial networks. ISME J. 2021, 15, 1722–1734. [Google Scholar] [CrossRef] [PubMed]
- Wainright, C.A.; Muhlfeld, C.C.; Elser, J.J.; Bourret, S.L.; Devlin, S.P. Species invasion progressively disrupts the trophic structure of native food webs. Proc. Natl. Acad. Sci. USA 2021, 118, e2102179118. [Google Scholar] [CrossRef]
- De Vries, F.T.; Liiri, M.E.; Bjørnlund, L.; Bowker, M.A.; Christensen, S.; Setälä, H.M.; Bardgett, R.D. Land use alters the resistance and resilience of soil food webs to drought. Nat. Clim. Change 2012, 2, 276–280. [Google Scholar] [CrossRef]
- Kuiper, J.J.; Van Altena, C.; De Ruiter, P.C.; Van Gerven, L.P.; Janse, J.H.; Mooij, W.M. Food-web stability signals critical transitions in temperate shallow lakes. Nat. Commun. 2015, 6, 7727. [Google Scholar] [CrossRef]
- LI, X.-y.; SONG, B.-a. Progress in the development and application of plant-based antiviral agents. J. Integr. Agric. 2017, 16, 2772–2783. [Google Scholar] [CrossRef]
- Hodson, A.K.; Ferris, H.; Hollander, A.D.; Jackson, L.E. Nematode food webs associated with native perennial plant species and soil nutrient pools in California riparian oak woodlands. Geoderma 2014, 228, 182–191. [Google Scholar] [CrossRef]
- Martin, M.; Morin, H.; Fenton, N.J. Secondary disturbances of low and moderate severity drive the dynamics of eastern Canadian boreal old-growth forests. Ann. For. Sci. 2019, 76, 1–16. [Google Scholar] [CrossRef]
- Fabian, J.; Zlatanovic, S.; Mutz, M.; Premke, K. Fungal–bacterial dynamics and their contribution to terrigenous carbon turnover in relation to organic matter quality. ISME J. 2017, 11, 415–425. [Google Scholar] [CrossRef]
- Merino-Martín, L.; Stokes, A.; Gweon, H.S.; Moragues-Saitua, L.; Staunton, S.; Plassard, C.; Oliver, A.; Le Bissonnais, Y.; Griffiths, R.I. Interacting effects of land use type, microbes and plant traits on soil aggregate stability. Soil Biol. Biochem. 2021, 154, 108072. [Google Scholar] [CrossRef]
- Morrissey, E.M.; Kane, J.; Tripathi, B.M.; Rion, M.S.I.; Hungate, B.A.; Franklin, R.; Walter, C.; Sulman, B.; Brzostek, E. Carbon acquisition ecological strategies to connect soil microbial biodiversity and carbon cycling. Soil Biol. Biochem. 2023, 177, 108893. [Google Scholar] [CrossRef]
- Scharroba, A.; Kramer, S.; Kandeler, E.; Ruess, L. Spatial and temporal variation of resource allocation in an arable soil drives community structure and biomass of nematodes and their role in the micro-food web. Pedobiologia 2016, 59, 111–120. [Google Scholar] [CrossRef]
- Jia, Y.; Li, F.-M.; Wang, X.-L.; Xu, J.-Z. Dynamics of soil organic carbon and soil fertility affected by alfalfa productivity in a semiarid agro-ecosystem. Biogeochemistry 2006, 80, 233–243. [Google Scholar] [CrossRef]
- Zhang, X.; Ferris, H.; Mitchell, J.; Liang, W. Ecosystem services of the soil food web after long-term application of agricultural management practices. Soil Biol. Biochem. 2017, 111, 36–43. [Google Scholar] [CrossRef]
- Li, T.; Wan, S.; Chen, G.; Cui, Z.; Wang, J.; Fan, Z.; Zhai, Y. Effects of planting Density and nitrogen application on soil greenhouse gas fluxes in the Jujube–alfalfa intercropping System in arid areas. Agronomy 2024, 14, 273. [Google Scholar] [CrossRef]
- Schmitz, O.J.; Leroux, S.J. Food webs and ecosystems: Linking species interactions to the carbon cycle. Annu. Rev. Ecol. Evol. Syst. 2020, 51, 271–295. [Google Scholar] [CrossRef]
- Li, S.; Hu, M.; Shi, J.; Tian, X. Improving long-term crop productivity and soil quality through integrated straw-return and tillage strategies. Agron. J. 2022, 114, 1500–1511. [Google Scholar] [CrossRef]







Disclaimer/Publisher’s Note: The statements, opinions and data contained in all publications are solely those of the individual author(s) and contributor(s) and not of MDPI and/or the editor(s). MDPI and/or the editor(s) disclaim responsibility for any injury to people or property resulting from any ideas, methods, instructions or products referred to in the content. |
© 2024 by the authors. Licensee MDPI, Basel, Switzerland. This article is an open access article distributed under the terms and conditions of the Creative Commons Attribution (CC BY) license (https://creativecommons.org/licenses/by/4.0/).
Share and Cite
Li, L.; Tian, J.; Luo, Z.; Li, L.; Niu, Y.; Haider, F.U.; Nian, L.; Zhang, Y.; He, R.; Liu, J. Effects of Perennial Alfalfa on the Structure and Function of Soil Micro-Food Webs in the Loess Plateau. Microorganisms 2024, 12, 2268. https://doi.org/10.3390/microorganisms12112268
Li L, Tian J, Luo Z, Li L, Niu Y, Haider FU, Nian L, Zhang Y, He R, Liu J. Effects of Perennial Alfalfa on the Structure and Function of Soil Micro-Food Webs in the Loess Plateau. Microorganisms. 2024; 12(11):2268. https://doi.org/10.3390/microorganisms12112268
Chicago/Turabian StyleLi, Liangliang, Jianxia Tian, Zhuzhu Luo, Lingling Li, Yining Niu, Fasih Ullah Haider, Lili Nian, Yaoquan Zhang, Renyuan He, and Jiahe Liu. 2024. "Effects of Perennial Alfalfa on the Structure and Function of Soil Micro-Food Webs in the Loess Plateau" Microorganisms 12, no. 11: 2268. https://doi.org/10.3390/microorganisms12112268
APA StyleLi, L., Tian, J., Luo, Z., Li, L., Niu, Y., Haider, F. U., Nian, L., Zhang, Y., He, R., & Liu, J. (2024). Effects of Perennial Alfalfa on the Structure and Function of Soil Micro-Food Webs in the Loess Plateau. Microorganisms, 12(11), 2268. https://doi.org/10.3390/microorganisms12112268

