Clinical Features and Outcomes of Enterococcal Bone and Joint Infections and Factors Associated with Treatment Failure over a 13-Year Period in a French Teaching Hospital
Abstract
:1. Introduction
2. Materials and Methods
2.1. Study Design and Setting
2.2. Study Definitions
- Relapse: recurrence of the same BJI with the same pathogen at any time after the initiation of the treatment and until the end of follow-up;
- Reinfection: recurrence of an infection at the same site with the same bacterial species but a different antimicrobial susceptibility testing or with another bacterial species at any time after the initiation of the treatment and until the end of follow-up;
- Death directly related to BJI.
2.3. Patients
2.4. Microbiological Analyses
2.5. Data Collection
2.6. Outcomes
2.7. Statistical Analysis
2.8. Ethics Approval
3. Results
3.1. Population
3.2. Microbiological Characteristics
3.3. Management and Outcomes of Enterococcal BJIs
3.4. Factors Associated with Enterococcal BJI Treatment Failure
4. Discussion
5. Conclusions
Supplementary Materials
Author Contributions
Funding
Data Availability Statement
Acknowledgments
Conflicts of Interest
References
- Agudelo Higuita, N.I.; Huycke, M.M. Enterococcal Disease, Epidemiology, and Implications for Treatment. In Enterococci: From Commensals to Leading Causes of Drug Resistant Infection; Gilmore, M.S., Clewell, D.B., Ike, Y., Shankar, N., Eds.; Massachusetts Eye and Ear Infirmary: Boston, MA, USA, 2014. [Google Scholar]
- Kristich, C.J.; Rice, L.B.; Arias, C.A. Enterococcal Infection—Treatment and Antibiotic Resistance. In Enterococci: From Commensals to Leading Causes of Drug Resistant Infection; Gilmore, M.S., Clewell, D.B., Ike, Y., Shankar, N., Eds.; Massachusetts Eye and Ear Infirmary: Boston, MA, USA, 2014. [Google Scholar]
- Moellering, R.C. Emergence of Enterococcus as a Significant Pathogen. Clin. Infect. Dis. 1992, 14, 1173–1176. [Google Scholar] [CrossRef] [PubMed]
- Kheir, M.M.; Tan, T.L.; Higuera, C.; George, J.; Della Valle, C.J.; Shen, M.; Parvizi, J. Periprosthetic Joint Infections Caused by Enterococci Have Poor Outcomes. J. Arthroplast. 2017, 32, 933–947. [Google Scholar] [CrossRef] [PubMed]
- Rasouli, M.R.; Tripathi, M.S.; Kenyon, R.; Wetters, N.; Della Valle, C.J.; Parvizi, J. Low Rate of Infection Control in Enterococcal Periprosthetic Joint Infections. Clin. Orthop. 2012, 470, 2708–2716. [Google Scholar] [CrossRef] [PubMed]
- Thompson, O.; Rasmussen, M.; Stefánsdóttir, A.; Christensson, B.; Åkesson, P. A Population-Based Study on the Treatment and Outcome of Enterococcal Prosthetic Joint Infections. A Consecutive Series of 55 Cases. J. Bone Jt. Infect. 2019, 4, 285–291. [Google Scholar] [CrossRef]
- Ascione, T.; Balato, G.; Mariconda, M.; Fantoni, M.; Giovannenze, F.; Pagliano, P. Clinical and Prognostic Features of Prosthetic Joint Infections Caused by Enterococcus Spp. Eur. Rev. Med. Pharmacol. Sci. 2019, 23, 59–64. [Google Scholar] [CrossRef]
- Tornero, E.; Senneville, E.; Euba, G.; Petersdorf, S.; Rodriguez-Pardo, D.; Lakatos, B.; Ferrari, M.C.; Pilares, M.; Bahamonde, A.; Trebse, R.; et al. Characteristics of Prosthetic Joint Infections Due to Enterococcus Sp. and Predictors of Failure: A Multi-National Study. Clin. Microbiol. Infect. 2014, 20, 1219–1224. [Google Scholar] [CrossRef]
- Renz, N.; Trebse, R.; Akgün, D.; Perka, C.; Trampuz, A. Enterococcal Periprosthetic Joint Infection: Clinical and Microbiological Findings from an 8-Year Retrospective Cohort Study. BMC Infect. Dis. 2019, 19, 1083. [Google Scholar] [CrossRef]
- Couderc, M.; Bart, G.; Coiffier, G.; Godot, S.; Seror, R.; Ziza, J.-M.; Coquerelle, P.; Darrieutort-Laffite, C.; Lormeau, C.; Salliot, C.; et al. 2020 French Recommendations on the Management of Septic Arthritis in an Adult Native Joint. Jt. Bone Spine 2020, 87, 538–547. [Google Scholar] [CrossRef]
- McNally, M.; Sousa, R.; Wouthuyzen-Bakker, M.; Chen, A.F.; Soriano, A.; Vogely, H.C.; Clauss, M.; Higuera, C.A.; Trebše, R. The EBJIS Definition of Periprosthetic Joint Infection: A Practical Guide for Clinicians. Bone Jt. J. 2021, 103-B, 16–17. [Google Scholar] [CrossRef]
- Osmon, D.R.; Berbari, E.F.; Berendt, A.R.; Lew, D.; Zimmerli, W.; Steckelberg, J.M.; Rao, N.; Hanssen, A.; Wilson, W.R.; Infectious Diseases Society of America. Diagnosis and Management of Prosthetic Joint Infection: Clinical Practice Guidelines by the Infectious Diseases Society of America. Clin. Infect. Dis. 2013, 56, e1–e25. [Google Scholar] [CrossRef]
- Zimmerli, W. Clinical Presentation and Treatment of Orthopaedic Implant-Associated Infection. J. Intern. Med. 2014, 276, 111–119. [Google Scholar] [CrossRef]
- Lipsky, B.A.; Berendt, A.R.; Cornia, P.B.; Pile, J.C.; Peters, E.J.G.; Armstrong, D.G.; Deery, H.G.; Embil, J.M.; Joseph, W.S.; Karchmer, A.W.; et al. 2012 Infectious Diseases Society of America Clinical Practice Guideline for the Diagnosis and Treatment of Diabetic Foot Infectionsa. Clin. Infect. Dis. 2012, 54, e132–e173. [Google Scholar] [CrossRef]
- EUCAST: Clinical Breakpoints and Dosing of Antibiotics. Available online: https://www.eucast.org/clinical_breakpoints/ (accessed on 1 March 2023).
- Charlson, M.E.; Pompei, P.; Ales, K.L.; MacKenzie, C.R. A New Method of Classifying Prognostic Comorbidity in Longitudinal Studies: Development and Validation. J. Chronic Dis. 1987, 40, 373–383. [Google Scholar] [CrossRef] [PubMed]
- Blanco, J.F.; Díaz, A.; Melchor, F.R.; da Casa, C.; Pescador, D. Risk Factors for Periprosthetic Joint Infection after Total Knee Arthroplasty. Arch. Orthop. Trauma Surg. 2020, 140, 239–245. [Google Scholar] [CrossRef] [PubMed]
- Bojan, B.; Perni, S.; Prokopovich, P. Systematic Review and Meta-Analysis of Tobacco Use as a Risk Factor for Prosthetic Joint Infection After Total Hip Replacement. Arthroplast. Today 2020, 6, 959–971. [Google Scholar] [CrossRef]
- Koch, J.A.; Pust, T.M.; Cappellini, A.J.; Mandell, J.B.; Ma, D.; Shah, N.B.; Brothers, K.M.; Urish, K.L. Staphylococcus Epidermidis Biofilms Have a High Tolerance to Antibiotics in Periprosthetic Joint Infection. Life 2020, 10, E253. [Google Scholar] [CrossRef]
- Büttner, H.; Mack, D.; Rohde, H. Structural Basis of Staphylococcus Epidermidis Biofilm Formation: Mechanisms and Molecular Interactions. Front. Cell. Infect. Microbiol. 2015, 5, 14. [Google Scholar] [PubMed]
- Ali, L.; Goraya, M.U.; Arafat, Y.; Ajmal, M.; Chen, J.-L.; Yu, D. Molecular Mechanism of Quorum-Sensing in Enterococcus Faecalis: Its Role in Virulence and Therapeutic Approaches. Int. J. Mol. Sci. 2017, 18, 960. [Google Scholar] [CrossRef]
- Pilmis, B.; Lécuyer, H.; Lortholary, O.; Charlier, C. Enterococcus Faecalis-Related Prostatitis Successfully Treated with Moxifloxacin. Antimicrob. Agents Chemother. 2015, 59, 7156–7157. [Google Scholar] [CrossRef] [PubMed]
- Naciri, T.; Monnin, B.; Pantel, A.; Roger, C.; Kinowski, J.-M.; Loubet, P.; Lavigne, J.-P.; Sotto, A.; Larcher, R. Outcomes of Beta-Lactam Allergic and Non-Beta-Lactam Allergic Patients with Intra-Abdominal Infection: A Case–Control Study. Antibiotics 2022, 11, 1786. [Google Scholar] [CrossRef] [PubMed]
- Euba, G.; Lora-Tamayo, J.; Murillo, O.; Pedrero, S.; Cabo, J.; Verdaguer, R.; Ariza, J. Pilot Study of Ampicillin-Ceftriaxone Combination for Treatment of Orthopedic Infections Due to Enterococcus Faecalis. Antimicrob. Agents Chemother. 2009, 53, 4305–4310. [Google Scholar] [CrossRef] [PubMed]
- El Helou, O.C.; Berbari, E.F.; Marculescu, C.E.; El Atrouni, W.I.; Razonable, R.R.; Steckelberg, J.M.; Hanssen, A.D.; Osmon, D.R. Outcome of Enterococcal Prosthetic Joint Infection: Is Combination Systemic Therapy Superior to Monotherapy? Clin. Infect. Dis. 2008, 47, 903–909. [Google Scholar] [CrossRef] [PubMed]

| Characteristics (N = 90) | N (%) or Median (IQR) |
|---|---|
| Age | 69 (54; 82) |
| Sex, male | 54 (60%) |
| Comorbidities 1 | |
| Chronic kidney disease | 11 (12%) |
| Liver failure | 2 (2%) |
| Heart failure | 29 (32%) |
| Immunodepression | 4 (4%) |
| Diabetes | 21 (23%) |
| Cirrhosis | 3 (3%) |
| Cancer chemotherapy | 3 (3%) |
| Obesity 2 | 32 (36%) |
| HIV 3 or hepatitis | 6 (6%) |
| Tobacco consumption | 32 (36%) |
| Charlson comorbidity index | 4 (2; 4) |
| Clinical features: | |
| Purulent discharge | 53 (59%) |
| Local inflammation | 33 (37%) |
| Local pain | 23 (26%) |
| Fever (≥38.5 °C) | 8 (9%) |
| Bacteremia/septic metastasis | 2 (2%) |
| Bones and joints involved: | |
| Hip | 26 (29%) |
| Knee | 18 (20%) |
| Shin | 13 (14%) |
| Ankle | 11 (12%) |
| Foot | 13 (14%) |
| Others 4 | 8 (9%) |
| Native BJI | 11 (12%) |
| Implant-associated infection | 39 (43%) |
| Prosthetic joint infection (PJI) | 40 (44%) |
| Infection delay (months) | 2 (1; 23) |
| Early onset | 24 (27%) |
| Delayed onset | 25 (28%) |
| Late onset | 30 (33%) |
| Characteristics | Overall (N = 90) N (%) | Native BJI (N = 11) N (%) | Implant-Associated Infection (N = 39) N (%) | PJI (N = 40) N (%) |
|---|---|---|---|---|
| Enterococcal species | ||||
| Enterococcus faecalis | 82 (91%) | 11 (100%) | 34 (87%) | 37 (93%) |
| Enterococcus faecium | 8 (9%) | 0 (0%) | 5 (13%) | 3 (7%) |
| Enterococcus gallinarum | 2 (2%) | 0 (0%) | 1 (3%) | 1 (3%) |
| Enterococcus avium | 1 (1%) | 0 (0%) | 1 (3%) | 0 (0%) |
| Enterococcus casseliflavus | 1 (1%) | 0 (0%) | 1 (3%) | 0 (0%) |
| Polymicrobial infections 1 | 75 (83%) | 11 (100%) | 36 (92%) | 28 (70%) |
| Staphylococcus aureus | 34 (38%) | 2 (18%) | 19 (49%) | 13 (33%) |
| Staphylococcus epidermidis | 10 (11%) | 0 (0%) | 6 (15%) | 4 (10%) |
| Staphylococcus lugdunensis | 5 (6%) | 1 (9%) | 2 (5%) | 2 (5%) |
| Streptococcus sp. | 8 (9%) | 3 (27%) | 4 (10%) | 1 (3%) |
| Corynebacterium sp. | 11 (12%) | 3 (27%) | 5 (13%) | 3 (8%) |
| Enterobacterales | 40 (44%) | 9 (82%) | 15 (38%) | 18 (45%) |
| Pseudomonas aeruginosa | 15 (17%) | 2 (18%) | 7 (18%) | 6 (15%) |
| Finelgodia magna | 6 (7%) | 1 (9%) | 4 (10%) | 1 (3%) |
| Propionibacterium acnes | 2 (2%) | 0 (0%) | 1 (3%) | 1 (3%) |
| Peptostreptococcus anaerobius | 1 (1%) | 0 (0%) | 0 (0%) | 1 (3%) |
| Other anaerobes | 11 (12%) | 6 (55%) | 2 (5%) | 3 (8%) |
| Characteristics | Overall (N = 90) N (%) |
|---|---|
| Antimicrobial therapy: | |
| Duration of 6 weeks | 36 (40%) |
| Duration of 12 weeks | 50 (56%) |
| Duration > 12 weeks | 4 (4%) |
| Oral route | 76 (84%) |
| Amoxicillin | 43 (48%) |
| Levofloxacin | 11 (12%) |
| Linezolid | 10 (11%) |
| Piperacillin | 8 (9%) |
| Vancomycin | 6 (7%) |
| Teicoplanin | 5 (6%) |
| Imipenem | 3 (3%) |
| Daptomycin | 1 (1%) |
| Rifampicin combination therapy | 37 (41%) |
| Non-anti-enterococcal antibiotics * | 38 |
| Surgical management: | |
| Debridement of native bone/joint | 10 (11%) |
| Debridement and implant retention (DAIR) | 52 (58%) |
| 1-step exchange procedure | 1 (1%) |
| 2-step exchange procedure | 4 (4%) |
| Implant removal | 16 (18%) |
| Arthrodesis | 1 (1%) |
| Amputation | 4 (4%) |
| None | 2 (2%) |
| Outcomes: | |
| Treatment failure | 35 (39%) |
| Relapse | 32 (36%) |
| Reinfection | 1 (1%) |
| Death | 2 (2%) |
| Enterococcal Species | Percentage of Susceptible Strain | |||||||||
|---|---|---|---|---|---|---|---|---|---|---|
| AMP | AMX | PIP | IPM | VAN | TEC | LZD | LVX | SXT | RIF | |
| E. faecalis (N = 82) | 100% | 100% | 100% | 100% | 100% | 100% | 100% 1 | 89% 1 | 53% 2 | 79% 3 |
| E. faecium (N = 8) | 63% | 63% | 40% 4 | 40% 4 | 100% | 100% | 100% | 100% 5 | 50% | 0% |
| E. gallinarum (N = 2) | 100% | 100% | 0% | 100% | 0% | 100% | 100% | 100% 6 | 50% | 0% 6 |
| E. avium (N = 1) | 100% | 100% | 0% | 100% | 100% | 100% | 100% | - | 100% | 100% |
| E. casseliflavus (N = 1) | 100% | 100% | 0% | 100% | 0% | 100% | 100% | - | 0% | 0% |
| Characteristics (N = 90) | Success N (%) | Failure N (%) | Univariate Analysis | Multivariable Analysis | ||||
|---|---|---|---|---|---|---|---|---|
| HR | 95% CI | p-Value | aHR | 95% CI | p-Value | |||
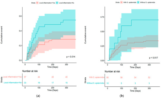
| Local inflammation | 15 (45.5%) | 18 (54.5%) | 2.32 | (1.05; 5.12) | 0.02 | 2.39 | (1.22; 4.69) | 0.01 |
| SCN * coinfections | 4 (33.3%) | 8 (66.7%) | 2.32 | (1.05; 5.12) | 0.04 | |||
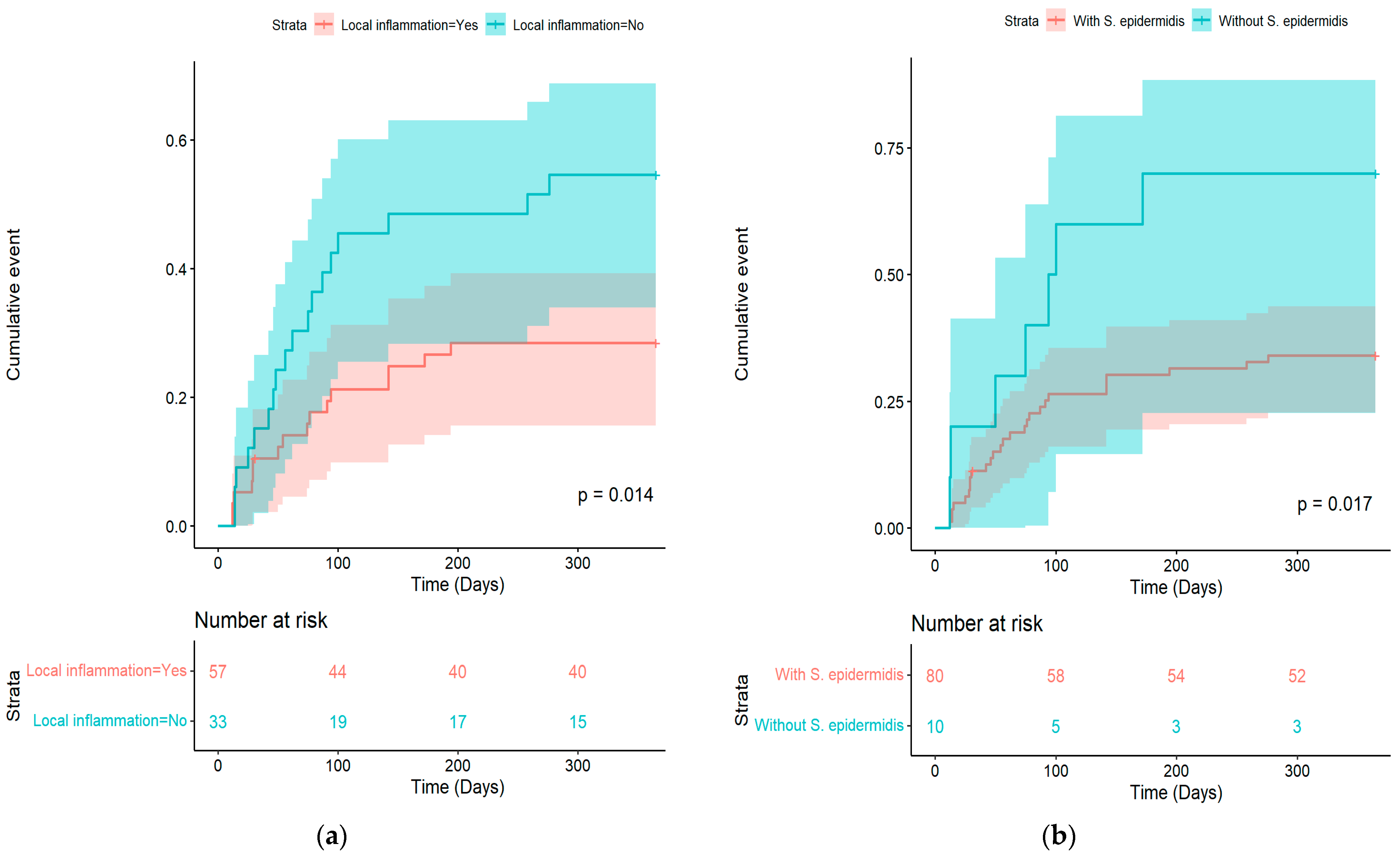
| S. epidermidis coinfections | 3 (30%) | 7 (70%) | 2.59 | (1.13; 5.95) | 0.02 | 3.04 | (1.31; 7.07) | 0.01 |
Disclaimer/Publisher’s Note: The statements, opinions and data contained in all publications are solely those of the individual author(s) and contributor(s) and not of MDPI and/or the editor(s). MDPI and/or the editor(s) disclaim responsibility for any injury to people or property resulting from any ideas, methods, instructions or products referred to in the content. |
© 2023 by the authors. Licensee MDPI, Basel, Switzerland. This article is an open access article distributed under the terms and conditions of the Creative Commons Attribution (CC BY) license (https://creativecommons.org/licenses/by/4.0/).
Share and Cite
Martin, A.; Loubet, P.; Salipante, F.; Laffont-Lozes, P.; Mazet, J.; Lavigne, J.-P.; Cellier, N.; Sotto, A.; Larcher, R. Clinical Features and Outcomes of Enterococcal Bone and Joint Infections and Factors Associated with Treatment Failure over a 13-Year Period in a French Teaching Hospital. Microorganisms 2023, 11, 1213. https://doi.org/10.3390/microorganisms11051213
Martin A, Loubet P, Salipante F, Laffont-Lozes P, Mazet J, Lavigne J-P, Cellier N, Sotto A, Larcher R. Clinical Features and Outcomes of Enterococcal Bone and Joint Infections and Factors Associated with Treatment Failure over a 13-Year Period in a French Teaching Hospital. Microorganisms. 2023; 11(5):1213. https://doi.org/10.3390/microorganisms11051213
Chicago/Turabian StyleMartin, Aurélie, Paul Loubet, Florian Salipante, Paul Laffont-Lozes, Julien Mazet, Jean-Philippe Lavigne, Nicolas Cellier, Albert Sotto, and Romaric Larcher. 2023. "Clinical Features and Outcomes of Enterococcal Bone and Joint Infections and Factors Associated with Treatment Failure over a 13-Year Period in a French Teaching Hospital" Microorganisms 11, no. 5: 1213. https://doi.org/10.3390/microorganisms11051213
APA StyleMartin, A., Loubet, P., Salipante, F., Laffont-Lozes, P., Mazet, J., Lavigne, J.-P., Cellier, N., Sotto, A., & Larcher, R. (2023). Clinical Features and Outcomes of Enterococcal Bone and Joint Infections and Factors Associated with Treatment Failure over a 13-Year Period in a French Teaching Hospital. Microorganisms, 11(5), 1213. https://doi.org/10.3390/microorganisms11051213

