Development of a Multicomponent Microbiological Soil Inoculant and Its Performance in Sweet Potato Cultivation
Abstract
1. Introduction
2. Materials and Methods
2.1. Microorganisms
2.2. Measurements of Extracellular Enzyme Activities of Trichoderma Strains
2.3. Measurement of Fungicide Tolerance of Trichoderma Strains
2.4. Measurement of the Effect of pH, Temperature and Water Activity on the Growth of Trichoderma Strains
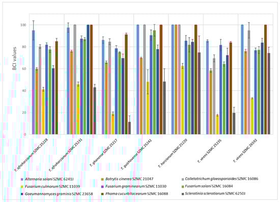
2.5. In Vitro Antagonistic Test of Trichoderma Strains
2.6. Antagonisms Tests of Bacillus Strains against Strains of Fungal Species Known as Plant Pathogens
2.7. Evaluation of Growth of Potentially N2-Fixing Bacteria in Nitrogen Source Free Medium
2.8. Characterization of Bacterial Isolates
2.9. Production of Microbial Inoculum for Field Experiments
2.10. Field Experiments
2.11. Statistical Analysis
3. Results
3.1. Selection of Microorganisms
3.1.1. Characterization of Trichoderma Strains
3.1.2. Selection of Antagonistic and Potentially N-Fixing Bacteria
3.1.3. Indole-3-Acetic Acid Production and Stress Tolerance of Bacterial Isolates
3.1.4. Selection of Microbial Components for a Soil Inoculant
3.2. Performance of the Assembled Soil Inoculant in Sweet Potato Cultivation
4. Discussion
5. Conclusions
Author Contributions
Funding
Data Availability Statement
Acknowledgments
Conflicts of Interest
References
- Helepciuc, F.E.; Todor, A. Evaluating the effectiveness of the EU’s approach to the sustainable use of Pesticides. PLoS ONE 2021, 16, e0256719. [Google Scholar] [CrossRef] [PubMed]
- Savci, S. Investigation of effect of chemical fertilizers on environment. APCBEE Procedia 2012, 1, 287–292. [Google Scholar] [CrossRef]
- Weltje, L.; Simpson, P.; Gross, M.; Crane, M.; Wheeler, J.R. Comparative acute and chronic sensitivity of fish and amphibians: A critical review of data. Environ. Toxicol. Chem. 2023, 32, 984–994. [Google Scholar] [CrossRef]
- Bruni, I.; Gentili, R.; De Mattia, F.; Cortis, P.; Rossi, G.; Labra, M. A multi-level analysis to evaluate the extinction risk of and conservation strategy for the aquatic fern Marsilea quadrifolia L. in Europe. Aquat. Bot. 2013, 111, 35–42. [Google Scholar] [CrossRef]
- Wang, S.; Seiwert, B.; Kästner, M.; Miltner, A.; Schäffer, A.; Reemtsma, T.; Yang, Q.; Nowak, K.M. (Bio)degradation of glyphosate in water-sediment microcosms—A stable isotope co-labeling approach. Water Res. 2016, 99, 91–100. [Google Scholar] [CrossRef]
- Mukherjee, M.; Mukherjee, P.K.; Horwitz, B.A.; Zachow, C.; Berg, G.; Zeilinger, S. Trichoderma–plant–pathogen interactions: Advances in genetics of biological control. Indian Microbiol. 2012, 52, 522–529. [Google Scholar] [CrossRef]
- Poveda, J.; Abril-Urias, P.; Escobar, C. Biological control of plant-parasitic nematodes by filamentous fungi inducers of resistance: Trichoderma, mycorrhizal and endophytic fungi. Front. Microbiol. 2020, 11, 992. [Google Scholar] [CrossRef]
- Srinivasan, R.; Sevgan, S.; Ekesi, S.; Tamò, M. Biopesticide based sustainable pest management for safer production of vegetable legumes and brassicas in Asia and Africa. Pest Manag. Sci. 2019, 75, 2446–2454. [Google Scholar] [CrossRef]
- Allaga, H.; Bóka, B.; Poór, P.; Nagy, V.D.; Szűcs, A.; Stankovics, I.; Takó, M.; Manczinger, L.; Vágvölgyi, C.; Kredics, L.; et al. A composite bioinoculant based on the combined application of beneficial bacteria and fungi. Agronomy 2020, 10, 220. [Google Scholar] [CrossRef]
- Wilkes, T.I.; Warner, D.J.; Edmonds-Brown, V.; Davies, K.G.; Denholm, I. The tripartite Rhizobacteria-AM fungal-host plant relationship in winter wheat: Impact of multi-species inoculation, tillage regime and naturally occurring Rhizobacteria species. Plants 2021, 10, 1357. [Google Scholar] [CrossRef]
- Zin, N.A.; Badaluddin, N.A. Biological functions of Trichoderma spp. for agriculture applications. Ann. Agric. Sci. 2020, 65, 168–178. [Google Scholar] [CrossRef]
- Anees, M.; Tronsmo, A.; Edel-Hermann, V.; Hjeljord, L.G.; Héraud, C.; Steinberg, C. Characterization of field isolates of Trichoderma antagonistic against Rhizoctonia solani. Fungal Biol. 2010, 114, 691–701. [Google Scholar] [CrossRef] [PubMed]
- Hashem, A.; Tabassum, B.; Abd_Allah, E.F. Bacillus subtilis: A plant-growth promoting rhizobacterium that also impacts biotic stress. Saudi J. Biol. Sci. 2019, 26, 1291–1297. [Google Scholar] [CrossRef]
- Penha, R.O.; Vandenberghe, L.P.; Faulds, C.; Soccol, V.T.; Soccol, C.R. Bacillus lipopeptides as powerful pest control agents for a more sustainable and healthy agriculture: Recent studies and innovations. Planta 2020, 251, 70. [Google Scholar] [CrossRef] [PubMed]
- Adeniji, A.A.; Loots, D.T.; Babalola, O.O. Bacillus velezensis: Phylogeny, useful applications, and avenues for exploitation. Appl. Microbiol. Biotechnol. 2019, 103, 3669–3682. [Google Scholar] [CrossRef]
- Qessaoui, R.; Bouharroud, R.; Furze, J.N.; El Aalaoui, M.; Akroud, H.; Amarraque, A.; Van Vaerenbergh, J.; Tahzima, R.; Mayad, E.H.; Chebli, B. Applications of new rhizobacteria Pseudomonas isolates in agroecology via fundamental processes complementing plant growth. Sci. Rep. 2019, 9, 12832. [Google Scholar] [CrossRef]
- Buettner, C.; von Bergen, M.; Jehmlich, N.; Noll, M. Pseudomonas spp. are key players in agricultural biogas substrate degradation. Sci. Rep. 2019, 9, 12871. [Google Scholar] [CrossRef]
- Nguyen, H.C.; Chen, C.C.; Lin, K.H.; Chao, P.Y.; Lin, H.H.; Huang, M.Y. Bioactive compounds, antioxidants, and health benefits of sweet potato leaves. Molecules 2021, 26, 820. [Google Scholar] [CrossRef]
- Bovell-Benjamin, A.C. Sweet potato: A review of its past, present, and future role in human nutrition. Adv. Food Nutr. Res. 2007, 52, 1–59. [Google Scholar] [CrossRef]
- Daryanto, S.; Wang, L.; Jacinthe, P.A. Drought effects on root and tuber production: A meta-analysis. Agric. Water Manag. 2016, 176, 122–131. [Google Scholar] [CrossRef]
- Zhang, C.; Liu, D.; Wu, L.; Zhang, J.; Li, X.; Wu, W. Chemical characterization and antioxidant properties of ethanolic extract and its fractions from sweet potato (Ipomoea batatas L.) leaves. Foods 2019, 9, 15. [Google Scholar] [CrossRef] [PubMed]
- Gong, Y.; Liu, J.Q.; Xu, M.J.; Zhang, C.M.; Gao, J.; Li, C.G.; Xing, K.; Qin, S. Antifungal volatile organic compounds from Streptomyces setonii WY228 control black spot disease of sweet potato. Appl. Environ. Microb. 2022, 88, e02317-21. [Google Scholar] [CrossRef]
- Abd El-Mageed, T.A.; Gyushi, M.A.; Hemida, K.A.; El-Saadony, M.T.; Abd El-Mageed, S.A.; Abdalla, H.; AbuQamar, S.F.; El-Tarabily, K.A.; Abdelkhalik, A. Coapplication of effective microorganisms and nanomagnesium boosts the agronomic, physio-biochemical, osmolytes, and antioxidants defenses against salt stress in Ipomoea batatas. Front. Plant Sci. 2022, 13, 883274. [Google Scholar] [CrossRef] [PubMed]
- Dawwam, G.E.; Elbeltagy, A.; Emara, H.M.; Abbas, I.H.; Hassan, M.M. Beneficial effect of plant growth promoting bacteria isolated from the roots of potato plant. Ann. Agric. Sci. 2013, 58, 195–201. [Google Scholar] [CrossRef]
- Yasmin, F.; Othman, R.; Maziz, M.N.H. Yield and nutrient content of sweet potato in response of plant growth-promoting rhizobacteria (PGPR) inoculation and N fertilization. Jordan J. Biol. Sci. 2020, 13, 117–122. [Google Scholar]
- Huynh, T.; Vörös, M.; Kedves, O.; Turbat, A.; Sipos, G.; Leitgeb, B.; Kredics, L.; Vágvölgyi, C.; Szekeres, A. Discrimination between the two closely related species of the operational group B. amyloliquefaciens based on whole-cell fatty acid profiling. Microorganisms 2022, 10, 418. [Google Scholar] [CrossRef] [PubMed]
- Zhumakayev, A.R.; Vörös, M.; Szekeres, A.; Rakk, D.; Vágvölgyi, C.; Szűcs, A.; Kredics, L.; Škrbić, B.D.; Hatvani, L. Comprehensive characterization of stress tolerant bacteria with plant growth-promoting potential isolated from glyphosate-treated environment. World J. Microbiol. Biotechnol. 2021, 37, 94. [Google Scholar] [CrossRef]
- Zhumakayev, A.R. Comprehensive Examination of Glyphosate-Tolerant Bacteria with Plant Growth-Promoting and Biocontrol Potential. Ph.D. Thesis, University of Szeged, Szeged, Hungary, 2022; 123p. Available online: https://doktori.bibl.u-szeged.hu/id/eprint/11293/1/Thesis_Zhumakayev.pdf (accessed on 27 March 2023).
- Hatvani, L.; Homa, M.; Chenthamara, K.; Cai, F.; Kocsubé, S.; Atanasova, L.; Milinaric-Missoni, E.; Manikandan, P.; Revathi, R.; Dóczi, I.; et al. Agricultural systems as potential sources of emerging human mycoses caused by Trichoderma: A successful, common phylotype of Trichoderma longibrachiatum in the frontline. FEMS Microbiol. Lett. 2019, 366, fnz246. [Google Scholar] [CrossRef]
- Reva, O.N.; Dixelius, C.; Meijer, J.; Priest, F.G. Taxonomic characterization and plant colonizing abilities of some bacteria related to Bacillus amyloliquefaciens and Bacillus subtilis. FEMS Microbiol. Ecol. 2004, 48, 249–259. [Google Scholar] [CrossRef]
- Baker, G.C.; Smith, J.J.; Cowan, D.A. Review and re-analysis of domain-specific 16S primers. J. Microbiol. Methods 2003, 55, 541–555. [Google Scholar] [CrossRef]
- Chen, L.; Bóka, B.; Kedves, O.; Nagy, V.D.; Szűcs, A.; Champramary, S.; Roszik, R.; Patocskai, Z.; Münsterkötter, M.; Huynh, T.; et al. Towards the biological control of devastating forest pathogens from the genus Armillaria. Forests 2019, 10, 1013. [Google Scholar] [CrossRef]
- Britton, H.T.S.; Robinson, R.A. CXCVIII.—Universal buffer solutions and the dissociation constant of veronal. J. Chem. Soc. 1931, 1456–1462. [Google Scholar] [CrossRef]
- Resnik, S.L.; Chirife, J. Proposed theoretical water activity values at various temperatures for selected solutions to be used as reference sources in the range of microbial growth. J. Food Prot. 1988, 51, 419–423. [Google Scholar] [CrossRef]
- Szekeres, A.; Leitgeb, B.; Kredics, L.; Manczinger, L.; Vágvölgyi, C. A novel, image analysis-based method for the evaluation of in vitro antagonism. J. Microbiol. Methods 2006, 65, 619–622. [Google Scholar] [CrossRef]
- Vörös, M.; Manczinger, L.; Kredics, L.; Szekeres, A.; Shine, K.; Alharbi, N.S.; Khaled, J.M.; Vágvölgyi, C. Influence of agro-environmental pollutants on a biocontrol strain of Bacillus velezensis. Microbiol. Open 2019, 8, e00660. [Google Scholar] [CrossRef]
- Patel, K.S.; Naik, J.H.; Chaudhari, S.; Amaresan, N. Characterization of culturable bacteria isolated from hot springs for plant growth promoting traits and effect on tomato (Lycopersicon esculentum) seedling. Comptes Rendus Biol. 2017, 340, 244–249. [Google Scholar] [CrossRef]
- Devi, N.S.A.; Kumutha, K.; Anandham, R.; Krishnamoorthy, R.; Babu, R.; Gnanachitra, M. Plant growth promoting traits of firmibacteria under drought stress. Res. J. Agric. Sci. 2018, 9, 1294–1299. [Google Scholar]
- Michel, B.E.; Kaufmann, M.R. The osmotic potential of polyethylene glycol 6000. Plant Physiol. 1973, 51, 914–916. [Google Scholar] [CrossRef]
- Shrivastava, U.P.; Kumar, A. A simple and rapid plate assay for the screening of indole-3-acetic acid (IAA) producing microorganisms. Int. J. Appl. Biol. Pharmacol. Technol. 2011, 2, 120–123. [Google Scholar]
- Bric, J.M.; Bostock, R.M.; Silverstone, S.E. Rapid in situ assay for indoleacetic acid production by bacteria immobilized on a nitrocellulose membrane. Appl. Environ. Microbiol. 1991, 57, 535–538. [Google Scholar] [CrossRef] [PubMed]
- Yang, J.W.; Nam, S.S.; Lee, H.U.; Choi, K.H.; Hwang, S.G.; Paul, N.C. Fusarium root rot caused by Fusarium solani on sweet potato (Ipomoea batatas) in South Korea. Can. J. Plant Pathol. 2018, 40, 90–95. [Google Scholar] [CrossRef]
- Xiong, J.; Xie, L.; Ojaghian, S. First record of white rot on Ipomoea batatas caused by Sclerotinia sclerotiorum in China. Arch. Phytopathol. Plant Prot. 2021, 54, 354–358. [Google Scholar] [CrossRef]
- Kihurani, A.W.; Gatumbi, R.W.; Skoglund, L.G. Storage diseases of sweet potato (Ipomoea batatas L.) in Kenya. In Proceedings of the Symposium on Tropical Root Crops in a Developing Economy, Accra, Ghana, 20–26 October 1991; Ofori, F., Hahn, S.K., Eds.; International Society for Horticultural Science: Corbeekhoeve, Belgium, 1991; Volume 380, p. 517. [Google Scholar] [CrossRef]
- Ndamage, G. Development et amelioration de la production de la patate douce (Ipomoea batatas L.) au Burundi. In Improvement of Sweetpotato in East Africa, Proceedings of the Workshop on Sweetpotato Improvement in Africa, Nairobi, Kenya, 11–13 November 1997; CIP: Lima, Peru, 1998; pp. 167–184. [Google Scholar]
- Dania, O.V. Pathogenicity of Colletotrichum coccodes causing anthracnose disease and its effect on growth and yield of sweet potato [Ipomoea batatas (L.) Lam]. Ghana J. Agric. Sci. 2022, 57, 1–14. [Google Scholar] [CrossRef]
- Schuster, A.; Schmoll, M. Biology and biotechnology of Trichoderma. Appl. Microbiol. Biotechnol. 2010, 87, 787–799. [Google Scholar] [CrossRef]
- Zafra, G.; Cortés-Espinosa, D.V. Biodegradation of polycyclic aromatic hydrocarbons by Trichoderma species: A mini review. Environ. Sci. Pollut. Res. 2015, 22, 19426–19433. [Google Scholar] [CrossRef]
- Strakowska, J.; Błaszczyk, L.; Chełkowski, J. The significance of cellulolytic enzymes produced by Trichoderma in opportunistic lifestyle of this fungus. J. Basic Microbiol. 2014, 54, S2–S13. [Google Scholar] [CrossRef]
- Sood, M.; Kapoor, D.; Kumar, V.; Sheteiwy, M.S.; Ramakrishnan, M.; Landi, M.; Araniti, F.; Sharma, A. Trichoderma: The “secrets” of a multitalented biocontrol agent. Plants 2020, 9, 762. [Google Scholar] [CrossRef]
- Quecine, M.C.; Araujo, W.L.; Marcon, J.; Gai, C.S.; Azevedo, J.D.; Pizzirani-Kleiner, A.A. Chitinolytic activity of endophytic Streptomyces and potential for biocontrol. Lett. Appl. Microbiol. 2008, 47, 486–491. [Google Scholar] [CrossRef]
- Chernin, L.; Ismailov, Z.; Haran, S.; Chet, I. Chitinolytic Enterobacter agglomerans antagonistic to fungal plant pathogens. Appl. Environ. Microbiol. 1995, 61, 1720–1726. [Google Scholar] [CrossRef]
- Aktuganov, G.E.; Melent’ev, A.I.; Kuz’mina, L.Y.; Galimzyanova, N.F.; Shirokov, A.V. The chitinolytic activity of Bacillus Cohn bacteria antagonistic to phytopathogenic fungi. Microbiology 2003, 72, 313–317. [Google Scholar] [CrossRef]
- Yan, H.; Qiu, Y.; Yang, S.; Wang, Y.; Wang, K.; Jiang, L.; Wang, H. Antagonistic activity of Bacillus velezensis SDTB038 against Phytophthora infestans in Potato. Plant Dis. 2021, 105, 1738–1747. [Google Scholar] [CrossRef] [PubMed]
- Zhang, D.F.; Xiong, X.L.; Wang, Y.J.; Gao, Y.X.; Ren, Y.; Wang, Q.; Shi, C.B. Bacillus velezensis WLYS23 strain possesses antagonistic activity against hybrid snakehead bacterial pathogens. J. Appl. Microbiol. 2021, 131, 3056–3068. [Google Scholar] [CrossRef] [PubMed]
- Lim, S.M.; Yoon, M.Y.; Choi, G.J.; Choi, Y.H.; Jang, K.S.; Shin, T.S.; Park, H.W.; Yu, N.H.; Kim, Y.H.; Kim, J.C. Diffusible and volatile antifungal compounds produced by an antagonistic Bacillus velezensis G341 against various phytopathogenic fungi. Plant Pathol. J. 2017, 33, 488. [Google Scholar] [CrossRef]
- Bhattacharjee, R.B.; Singh, A.; Mukhopadhyay, S.N. Use of nitrogen-fixing bacteria as biofertiliser for non-legumes: Prospects and challenges. Appl. Microbiol. Biotechnol. 2008, 80, 199–209. [Google Scholar] [CrossRef]
- Sellstedt, A.; Richau, K.H. Aspects of nitrogen-fixing Actinobacteria, in particular free-living and symbiotic Frankia. FEMS Microbiol. Lett. 2013, 342, 179–186. [Google Scholar] [CrossRef] [PubMed]
- Khan, N.; Bano, A.M.; Babar, A. Impacts of plant growth promoters and plant growth regulators on rainfed agriculture. PLoS ONE 2020, 15, e0231426. [Google Scholar] [CrossRef] [PubMed]
- Khare, E.; Arora, N.K. Effect of indole-3-acetic acid (IAA) produced by Pseudomonas aeruginosa in suppression of charcoal rot disease of chickpea. Curr. Microbiol. 2010, 61, 64–68. [Google Scholar] [CrossRef]
- Kuklinsky-Sobral, J.; Araújo, W.L.; Mendes, R.; Geraldi, I.O.; Pizzirani-Kleiner, A.A.; Azevedo, J.L. Isolation and characterization of soybean-associated bacteria and their potential for plant growth promotion. Environ. Microbiol. 2004, 6, 1244–1251. [Google Scholar] [CrossRef]
- Dimkpa, C.O.; Zeng, J.; McLean, J.E.; Britt, D.W.; Zhan, J.; Anderson, A.J. Production of indole-3-acetic acid via the indole-3-acetamide pathway in the plant-beneficial bacterium Pseudomonas chlororaphis O6 is inhibited by ZnO nanoparticles but enhanced by CuO nanoparticles. Appl. Environ. Microbiol. 2012, 78, 1404–1410. [Google Scholar] [CrossRef]
- Chen, B.; Luo, S.; Wu, Y.; Ye, J.; Wang, Q.; Xu, X.; Pan, F.; Khan, K.Y.; Feng, Y.; Yang, X. The effects of the endophytic bacterium Pseudomonas fluorescens Sasm05 and IAA on the plant growth and cadmium uptake of Sedum alfredii Hance. Front. Microbiol. 2017, 8, 2538. [Google Scholar] [CrossRef]
- Adhikari, P.; Jain, R.; Sharma, A.; Pandey, A. Plant growth promotion at low temperature by phosphate-solubilizing Pseudomonas spp. isolated from high-altitude Himalayan soil. Microb. Ecol. 2021, 82, 677–687. [Google Scholar] [CrossRef] [PubMed]
- McClerklin, S.A.; Lee, S.G.; Harper, C.P.; Nwumeh, R.; Jez, J.M.; Kunkel, B.N.; Mackey, D. Indole-3-acetaldehyde dehydrogenase-dependent auxin synthesis contributes to virulence of Pseudomonas syringae strain DC3000. PLoS Pathog. 2018, 14, e1006811. [Google Scholar] [CrossRef] [PubMed]
- Bhanja, E.; Das, R.; Begum, Y.; Mondal, S.K. Study of pyrroloquinoline quinine from phosphate-solubilizing microbes responsible for plant growth: In silico approach. Front. Agron. 2021, 3, 667339. [Google Scholar] [CrossRef]
- Jaiswal, D.K.; Gawande, S.J.; Soumia, P.S.; Krishna, R.; Vaishnav, A.; Ade, A.B. Biocontrol strategies: An eco-smart tool for integrated pest and diseases management. BMC Microbiol. 2022, 22, 324. [Google Scholar] [CrossRef] [PubMed]
- Luna Castellanos, L.L.; Sánchez López, D.B.; García Peña, J.A. Effect of the inoculation of nitrogen-fixing rhizobacteria in the sweet potato crop (Ipomoea batatas Lam.). Horticult. Int. J. 2020, 4, 35–40. [Google Scholar] [CrossRef]
- Mortley, D.G.; Hill, W.A. Sweetpotato growth and nitrogen content following nitrogen application and inoculation with Azospirillum. HortScience 1990, 25, 758–759. [Google Scholar] [CrossRef]
- Salehin, A.; Hafiz, M.H.R.; Hayashi, S.; Adachi, F.; Itoh, K. Effects of the biofertilizer OYK (Bacillus sp.) inoculation on endophytic microbial community in sweet potato. Horticulturae 2020, 6, 81. [Google Scholar] [CrossRef]
- Fehér, B. Hazánkban Is Termeszthető a Batata. 2016. Available online: https://magyarmezogazdasag.hu/2016/01/06/hazankban-termesztheto-batata (accessed on 27 March 2023).









| SZMC * Number | Taxon | Basis of Identification | Origin of Soil Sample | Cultivated Crop | Reference |
|---|---|---|---|---|---|
| Bacteria | |||||
| SZMC 25080 | Arthrobacter globiformis | 16S rDNA (OP964023) | Totovo Selo (SRB) | pepper | this study |
| SZMC 25081 | Arthrobacter globiformis | 16S rDNA (OP964024) | Totovo Selo (SRB) | pepper | this study |
| SZMC 25084 | Variovorax paradoxus | 16S rDNA (OP964025) | Čantavir (SRB) | pepper | this study |
| SZMC 25085 | Nocardia sp. | 16S rDNA (OP964026) | Čantavir (SRB) | pepper | this study |
| SZMC 25093 | Peribacillus simplex | 16S rDNA (OP964027) | Čantavir (SRB) | pepper | this study |
| SZMC 25094 | Mycobacterium sp. | 16S rDNA (OP964028) | Čantavir (SRB) | tomato | this study |
| SZMC 25098 | Rhizobium radiobacter | 16S rDNA (OP964029) | Madaras (HU) | carrot | this study |
| SZMC 25100 | Rhodococcus sp. | 16S rDNA (OP964030) | Madaras (HU) | pepper | this study |
| SZMC 25101 | Rhodococcus sp. | 16S rDNA (OP964031) | Madaras (HU) | pepper | this study |
| SZMC 25102 | Arthrobacter oryzae | 16S rDNA (OP964032) | Madaras (HU) | pepper | this study |
| SZMC 25103 | Williamsia muralis | 16S rDNA (OP964033) | Madaras (HU) | pepper | this study |
| SZMC 25106 | Paenarthrobacter sp. | 16S rDNA (OP964034) | Čenej (SRB) | carrot | this study |
| SZMC 25107 | Streptomyces sp. | 16S rDNA (OP964035) | Čenej (SRB) | carrot | this study |
| SZMC 25108 | Variovorax paradoxus | 16S rDNA (OP964036) | Glozan (SRB) | carrot | this study |
| SZMC 25110 | Rhodococcus erythropolis | 16S rDNA (OP964037) | Temerin (SRB) | sweet potato | this study |
| SZMC 25116 | Priestia sp. | 16S rDNA (OP964038) | Čenej (SRB) | pepper | this study |
| SZMC 25117 | Pseudarthrobacter sp. | 16S rDNA (OP964039) | Čenej (SRB) | pepper | this study |
| SZMC 25124 | Rhodococcus sp. | 16S rDNA (OP964040) | Madaras (HU) | pepper | this study |
| SZMC 25125 | Olivibacter soli | 16S rDNA (OP964041) | Madaras (HU) | pepper | this study |
| SZMC 25126 | Priestia megaterium | 16S rDNA (OP964042) | Madaras (HU) | pepper | this study |
| SZMC 24978 | Bacillus mojavensis | gyrA (OP970235) | Totovo Selo (SRB) | tomato | this study |
| SZMC 24981 | Bacillus velezensis | gyrA (OK256098) rpoB (OK256116) fatty acid profiling | Totovo Selo (SRB) | pepper | [26] |
| SZMC 24982 | Bacillus velezensis | gyrA (OK256099) rpoB (OK256117) fatty acid profiling | Totovo Selo (SRB) | pepper | [26] |
| SZMC 24983 | Bacillus velezensis | gyrA (OK256100) rpoB (OK256118) fatty acid profiling | Totovo Selo (SRB) | pepper | [26] |
| SZMC 24984 | Bacillus velezensis | gyrA (OK256101) rpoB (OK256119) fatty acid profiling | Čantavir (SRB) | pepper | [26] |
| SZMC 24985 | Bacillus velezensis | gyrA (OK256102) rpoB (OK256120) fatty acid profiling | Čantavir (SRB) | pepper | [26] |
| SZMC 24986 | Bacillus velezensis | gyrA (OK256103) rpoB (OK256121) fatty acid profiling | Čantavir (SRB) | tomato | [26] |
| SZMC 24995 | Bacillus velezensis | gyrA (OK256104) rpoB (OK256122) fatty acid profiling | Čantavir (SRB) | tomato | [26] |
| SZMC 25001 | Bacillus mojavensis | gyrA (OP970243) | Madaras (HU) | pepper | this study |
| SZMC 25003 | Bacillus velezensis | gyrA (OP970244) | Madaras (HU) | pepper | this study |
| SZMC 25007 | Bacillus mojavensis | gyrA (OP970245) | Čenej (SRB) | carrot | this study |
| SZMC 25018 | Bacillus mojavensis | gyrA (OP970246) | Čenej (SRB) | tomato | this study |
| SZMC 25020 | Bacillus velezensis | gyrA (OK256105) rpoB (OK256123) | Čenej (SRB) | tomato | [26] |
| SZMC 25856 | Ensifer adhaerens | 16S rDNA (MT950353) genome sequencing | Bačka region (SRB) | tomato | [27,28] |
| SZMC 25871 | Ensifer adhaerens | 16S rDNA (MT950357) | Bačka region (SRB) | tomato | [27] |
| SZMC 25863 | Pseudomonas resinovorans | rpoB (MT955648) | Bačka region (SRB) | tomato | [27] |
| SZMC 25870 | Pseudomonas resinovorans | rpoB (MT955649) | Bačka region (SRB) | tomato | [27] |
| SZMC 25872 | Pseudomonas resinovorans | rpoB (MT955650) genome sequencing | Bačka region (SRB) | tomato | [27,28] |
| Fungi | |||||
| SZMC 25217 | Trichoderma ghanense | rpb2 (OP970255) | Čantavir (SRB) | tomato | this study |
| tef1α (OP970248) | |||||
| SZMC 25220 | Trichoderma harzianum | rpb2 (OP970256) | Székkutas (HU) | carrot | this study |
| tef1α (OP970249) | |||||
| SZMC 25228 | Trichoderma afroharzianum | rpb2 (OP970257) | Glozan (SRB) | carrot | this study |
| tef1α (OP970250) | |||||
| SZMC 25231 | Trichoderma afroharzianum | rpb2 (OP970258) | Glozan (SRB) | carrot | this study |
| tef1α (OP970251) | |||||
| SZMC 25235 | Trichoderma virens | rpb2 (OP970259) | Temerin (SRB) | batata | this study |
| tef1α (OP970252) | |||||
| SZMC 25242 | Trichoderma guizhouense | rpb2 (OP970260) | Glozan (SRB) | tomato | this study |
| tef1α (OP970253) | |||||
| SZMC 25242 | Trichoderma virens | rpb2 (OP970261) tef1α OP970254 | Glozan (SRB) | tomato | this study |
| Carboxin | Bromoxinil | Thiram | Amitraz | Cyproconazole | Folpet | Imazalil | Penconazole | |
|---|---|---|---|---|---|---|---|---|
| T. afroharzianum | 250 | 250 | 125 | 7.8125 | 125 | 31.25 | 7.8125 | 31.25 |
| SZMC 25228 | ||||||||
| T. afroharzianum | 250 | 250 | 125 | 7.8125 | 125 | 31.25 | 7.8125 | 31.25 |
| SZMC 25231 | ||||||||
| T. ghanense | 250 | 125 | 250 | 62.5 | 62.5 | 250 | 62.5 | 125 |
| SZMC 25217 | ||||||||
| T. guizhouense | 250 | 250 | 250 | 7.8125 | 125 | 250 | 15.625 | 125 |
| SZMC 25242 | ||||||||
| T. harzianum | 250 | 250 | 62.5 | 250 | 31.25 | 62.5 | 3.9625 | 15.625 |
| SZMC 25220 | ||||||||
| T. virens | 250 | 250 | 125 | 250 | 125 | 125 | 62.5 | 62.5 |
| SZMC 25235 | ||||||||
| T. virens | 250 | 250 | 125 | 250 | 62.5 | 250 | 3.9625 | 7.8125 |
| SZMC 26592 |
| Scheme 25080 | SZMC * Numbers | Colony Size |
|---|---|---|
| Arthrobacter globiformis | SZMC 25080 | + |
| Arthrobacter globiformis | SZMC 25081 | +++ |
| Variovorax paradoxus | SZMC 25084 | ++ |
| Nocardia sp. | SZMC 25085 | + |
| Peribacillus simplex | SZMC 25093 | + |
| Mycobacterium sp. | SZMC 25094 | ++ |
| Agrobacterium tumefaciens | SZMC 25098 | ++ |
| Rhodococcus sp. | SZMC 25100 | + |
| Rhodococcus sp. | SZMC 25101 | + |
| Arthrobacter oryzae | SZMC 25102 | ++ |
| Williamsia limnetica | SZMC 25103 | + |
| Paenarthrobacter sp. | SZMC 25106 | + |
| Streptomyces sp. | SZMC 25107 | + |
| Variovorax paradoxus NBRC 151 | SZMC 25108 | ++ |
| Rhodococcus erythropolis | SZMC 25110 | + |
| Priestia sp. | SZMC 25116 | + |
| Pseudarthrobacter sp. | SZMC 25117 | + |
| Rhodococcus sp. | SZMC 25124 | + |
| Olivibacter soli | SZMC 25125 | + |
| Priestia megaterium | SZMC 25126 | + |
| Pesticide | Highest Tolerated Concentration, µg mL−1 |
|---|---|
| Herbicides | |
| Bensulfuron-methyl | >25 |
| Chlorotoluron | >25 |
| Chlorpropham | >25 |
| Chlorsulfuron | >25 |
| Cinosulfuron | >25 |
| Diuron | >25 |
| Dimethachlor | >25 |
| Fenuron | >25 |
| Ethoxysulfuron | 12.5 |
| Glyphosate | >25 |
| Glyphosate (Glialka Star) | >25 |
| Isoproturon | >25 |
| Linuron | >25 |
| MCPA | >25 |
| Primisulfuron-methyl | >25 |
| Propham | >25 |
| Triasulfuron | >25 |
| 2,4-D | >25 |
| Fungicides | |
| Captan | 6.25 |
| Carbendazim | >25 |
| Carboxin | >25 |
| Fenarimol | >25 |
| Flutriafol | >25 |
| Imazalil | >25 |
| Mancozeb | <6.25 |
| Maneb | <6.25 |
| Penconazole | >25 |
| Tebuconazole | >25 |
| Thiabendazole | >25 |
| Thiram | 6.25 |
| Thiophanate-methyl | >25 |
| Zineb | 6.25 |
| Insecticide | |
| Diflubenzuron | >25 |
Disclaimer/Publisher’s Note: The statements, opinions and data contained in all publications are solely those of the individual author(s) and contributor(s) and not of MDPI and/or the editor(s). MDPI and/or the editor(s) disclaim responsibility for any injury to people or property resulting from any ideas, methods, instructions or products referred to in the content. |
© 2023 by the authors. Licensee MDPI, Basel, Switzerland. This article is an open access article distributed under the terms and conditions of the Creative Commons Attribution (CC BY) license (https://creativecommons.org/licenses/by/4.0/).
Share and Cite
Nagy, V.D.; Zhumakayev, A.; Vörös, M.; Bordé, Á.; Szarvas, A.; Szűcs, A.; Kocsubé, S.; Jakab, P.; Monostori, T.; Škrbić, B.D.; et al. Development of a Multicomponent Microbiological Soil Inoculant and Its Performance in Sweet Potato Cultivation. Microorganisms 2023, 11, 914. https://doi.org/10.3390/microorganisms11040914
Nagy VD, Zhumakayev A, Vörös M, Bordé Á, Szarvas A, Szűcs A, Kocsubé S, Jakab P, Monostori T, Škrbić BD, et al. Development of a Multicomponent Microbiological Soil Inoculant and Its Performance in Sweet Potato Cultivation. Microorganisms. 2023; 11(4):914. https://doi.org/10.3390/microorganisms11040914
Chicago/Turabian StyleNagy, Viktor Dávid, Anuar Zhumakayev, Mónika Vörös, Ádám Bordé, Adrienn Szarvas, Attila Szűcs, Sándor Kocsubé, Péter Jakab, Tamás Monostori, Biljana D. Škrbić, and et al. 2023. "Development of a Multicomponent Microbiological Soil Inoculant and Its Performance in Sweet Potato Cultivation" Microorganisms 11, no. 4: 914. https://doi.org/10.3390/microorganisms11040914
APA StyleNagy, V. D., Zhumakayev, A., Vörös, M., Bordé, Á., Szarvas, A., Szűcs, A., Kocsubé, S., Jakab, P., Monostori, T., Škrbić, B. D., Mohai, E., Hatvani, L., Vágvölgyi, C., & Kredics, L. (2023). Development of a Multicomponent Microbiological Soil Inoculant and Its Performance in Sweet Potato Cultivation. Microorganisms, 11(4), 914. https://doi.org/10.3390/microorganisms11040914

