Antibiotic Resistance and Genetic Variability of Acinetobacter spp. from Wastewater Treatment Plant in Kokšov-Bakša (Košice, Slovakia)
Abstract
1. Introduction
2. Materials and Methods
2.1. Sampling
2.2. Bacteria Isolation and Cultivation
2.3. MALDI-TOF MS Identification
2.4. Antimicrobial Susceptibility Testing
2.5. Genetic Variability Determination of Acinetobacter spp.
2.6. Amplification of 16S rRNA Gene
2.7. Amplified Ribosomal DNA Restriction Analysis
2.8. Identification Using 16S rDNA Sequence Analysis
2.9. Data Analysis
3. Results
3.1. Bacteria Isolation and Cultivation
3.2. Identification of Isolates Using MALDI-TOF MS
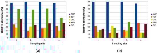
3.3. Antimicrobial Susceptibility Testing
3.4. Identification and Genetic Variability Determination of Acinetobacter spp.
4. Discussion
5. Conclusions
Supplementary Materials
Author Contributions
Funding
Data Availability Statement
Acknowledgments
Conflicts of Interest
References
- Bouvet, P.J.M.; Joly-Guillou, M.L. Acinetobacter spp. In Summary of Clinical Bacteriology; Freney, J., Renaud, F., Hansen, W., Bollet, C., Eds.; Eska: Paris, France, 2000; pp. 34–86. [Google Scholar]
- Barbe, V.; Vallenet, D.; Fonknechten, N.; Kreimeyer, A.; Oztas, S.; Labarre, L.; Cruveiller, S.; Robert, C.; Duprat, S.; Wincker, P.; et al. Unique features revealed by the genome sequence of Acinetobacter sp. ADP1, a versatile and naturally transformation competent bacterium. Nucleic Acids Res. 2004, 32, 5766–5779. [Google Scholar] [CrossRef] [PubMed]
- Doughari, H.J.; Ndakidemi, P.A.; Human, I.S.; Benade, S. The ecology, biology and pathogenesis of Acinetobacter spp.: An overview. Microbes Environ. 2011, 26, 101–112. [Google Scholar] [CrossRef] [PubMed]
- Parte, A.C.; Sardà Carbasse, J.; Meier-Kolthoff, J.P.; Reimer, L.C.; Göker, M. List of prokaryotic names with standing in nomenclature (LPSN) moves to the DSMZ. Int. J. Syst. Evol. Microbiol. 2020, 70, 5607–5612. [Google Scholar] [CrossRef]
- Ghaima, K.K.; Lateef, N.S.; Khaz’al, Z.T. Heavy metal and antibiotic resistance of Acinetobacter spp. isolated from diesel fuel polluted soil. J. Adv. Lab. Res. Biol. 2018, 9, 58–64. [Google Scholar]
- Ekwanzala, M.D.; Dewar, J.B.; Momba, M.N.B. Environmental resistome risks of wastewaters and aquatic environments deciphered by shotgun metagenomic assembly. Ecotoxicol. Environ. Saf. 2020, 197, 110612. [Google Scholar] [CrossRef]
- Bassetti, M.; Righi, E.; Esposito, S.; Petrosillo, N.; Nicolini, L. Drug treatment for multidrug-resistant Acinetobacter baumannii infections. Future Microbiol. 2008, 3, 649–660. [Google Scholar] [CrossRef]
- Zarei-Baygi, A.; Smith, A.L. Intracellular versus extracellular antibiotic resistance genes in the environment: Prevalence, horizontal transfer, and mitigation strategies. Bioresour. Technol. 2021, 319, 124181. [Google Scholar] [CrossRef]
- Sihag, S.; Sharma, S.; Pathak, H.; Dave, S.; Jaroli, D.P. Biodegradation of engine oil by Acinetobacter calcoaceticus BD4, isolated from coastal area Mumbai. Int. J. Biotechnol. Bioeng. Res. 2013, 4, 235–242. [Google Scholar]
- Mapipa, Q.; Digban, T.O.; Nnolim, N.E.; Nontongana, N.; Okoh, A.I.; Nwodo, U.U. Molecular characterization and antibiotic susceptibility profile of Acinetobacter baumannii recovered from hospital wastewater effluents. Curr. Microbiol. 2022, 79, 123. [Google Scholar] [CrossRef]
- Jain, R.; Danziger, L.H. Multi-drug resistant Acinetobacter infections: An emerging challenge to clinicians. Ann. Pharmacother. 2004, 38, 1449–1459. [Google Scholar] [CrossRef]
- Eze, E.C.; El Zowalaty, M.E.; Falgenhauer, L.; Pillay, M. Genome sequence of a carbapenemase-encoding Acinetobacter baumannii isolate of the sequence type 231 isolated from hospital wastewater in South Africa. J. Glob. Antimicrob. Resist. 2022, 29, 150–154. [Google Scholar] [CrossRef]
- Vila, J.; Ribera, A.; Marco, F.; Ruiz, J.; Mensa, J.; Chaves, J.; Hernandez, G.; De Anta, M.T.J. Activity of clinafloxacin, compared with six other quinolones, against Acinetobacter baumanni clinical isolates. J. Antimicrob. Chemother. 2002, 49, 471–477. [Google Scholar] [CrossRef]
- Rathinavelu, S.; Zavros, Y.; Merchant, J.L. Acinetobacter lwoffii infection and gastritis. Microbes Infect. 2003, 5, 651–657. [Google Scholar] [CrossRef] [PubMed]
- Rizzo, L.; Manala, C.; Merlin, C.; Schwartz, T.; Dagot, C.; Ploy, M.C.; Michael, I.; Fatta-Kassinos, D. Urban wastewater treatment plants as hotspots for antibiotic resistant bacteria and genes spread into the environment: A review. Sci. Total Environ. 2013, 447, 345–360. [Google Scholar] [CrossRef]
- Chen, S.; He, S.; Wu, C.; Du, D. Characteristics of heterotrophic nitrification and aerobic denitrification bacterium Acinetobacter sp. T1 and its application for pig farm wastewater treatment. J. Biosci. Bioeng. 2019, 127, 201–205. [Google Scholar] [CrossRef]
- Chen, H.; Zhou, W.; Zhu, S.; Liu, F.; Qin, L.; Xu, C.; Wang, Z. Biological nitrogen and phosphorus removal by a phosphorus-accumulating bacteria Acinetobacter sp. strain C-13 with the ability of heterotrophic nitrification-aerobic denitrification. Bioresour. Technol. 2021, 322, 124507. [Google Scholar] [CrossRef] [PubMed]
- EUCAST. Breakpoint Tables for Interpretation of MICs and Zone Diameters Version 8.0, 2018; The European Committee on Antimicrobial Testing: Växjö, Sweden, 2018. [Google Scholar]
- CLSI. M100—Performance Standards for Antimicrobial Susceptibility Testing, 28th ed.; Clinical and Laboratory Standards Institute: Wayne, NY, USA, 2018. [Google Scholar]
- Kong, B.H.; Hanifah, Y.A.; Yusof, M.Y.; Thong, K.L. Application of amplified ribosomal DNA restriction analysis in identification of Acinetobacter baumannii from a tertiary teaching hospital, Malaysia. Trop. Biomed. 2011, 28, 563–568. [Google Scholar] [PubMed]
- Weisburg, W.G.; Barns, S.M.; Pelletier, D.A.; Lane, D.J. 16S ribosomal DNA amplification for phylogenetic study. J. Bacteriol. 1991, 173, 697–703. [Google Scholar] [CrossRef]
- Huang, X.; Madan, A. CAP3: A DNA sequence assembly program. Genome Res. 1999, 9, 868–877. [Google Scholar] [CrossRef]
- Kumar, S.; Stecher, G.; Li, M.; Knyaz, C.; Tamura, K. MEGA X: Molecular evolutionary genetics analysis across computing platforms. Mol. Biol. Evol. 2018, 35, 1547–1549. [Google Scholar] [CrossRef]
- Kimura, M. A simple method for estimating evolutionary rate of base substitutions through comparative studies of nucleotide sequences. J. Mol. Evol. 1980, 16, 111–120. [Google Scholar] [CrossRef] [PubMed]
- Hammer, Ø.; Harper, D.A.T.; Ryan, P.D. PAST: Paleontological statistics software package for education and data analysis. Palaeontol. Electron. 2001, 4, 1–9. [Google Scholar]
- Metsalu, T.; Vilo, J. ClustVis: A web tool for visualizing clustering of multivariate data using principal component analysis and heatmap. Nucleic Acids Res. 2015, 43, W566–W570. [Google Scholar] [CrossRef] [PubMed]
- Martínez, J.L. Antibiotics and antibiotic resistance genes in natural environments. Science 2008, 321, 365–367. [Google Scholar] [CrossRef] [PubMed]
- CDC. Antibiotic Resistance Threats in the United States; U.S. Department of Health and Human Services, Centers for Disease Control and Prevention: Atlanta, GA, USA, 2019. [Google Scholar]
- Molnar, A. Antimicrobial resistance awareness and games. Trends Microbiol. 2019, 27, 1–3. [Google Scholar] [CrossRef] [PubMed]
- Yang, Y.; Li, B.; Zou, S.; Fang, H.H.; Zhang, T. Fate of antibiotic resistance genes in sewage treatment plant revealed by metagenomic approach. Water Res. 2014, 62, 97–106. [Google Scholar] [CrossRef]
- Zhang, S.; Han, B.; Gu, J.; Wang, C.; Wang, P.; Ma, Y.; Cao, J.; He, Z. Fate of antibiotic resistant cultivable heterotrophic bacteria and antibiotic resistance genes in wastewater treatment processes. Chemosphere 2015, 135, 138–145. [Google Scholar] [CrossRef]
- Ju, F.; Beck, K.; Yin, X.; Maccagnan, A.; McArdell, C.S.; Singer, H.P.; Johnson, D.R.; Zhang, T.; Bürgmann, H. Wastewater treatment plant resistomes are shaped by bacterial composition, genetic exchange, and upregulated expression in the effluent microbiomes. ISME J. 2019, 13, 346–360. [Google Scholar] [CrossRef]
- Sarkar, N.; Sharma, R.S.; Kaushik, M. Chapter 11—Exploitation of antibiotics: Mechanism of resistance, consequences, challenges of conventional remediation, and promise of nanomaterials in mitigation. In Nano-Materials as Photocatalysts for Degradation of Environmental Pollutants; Singh, P., Borthakur, A., Mishra, P.K., Tiwary, D., Eds.; Elsevier: Amsterdam, The Netherlands, 2020; pp. 195–209. [Google Scholar] [CrossRef]
- Barancheshme, F.; Munir, M. Development of antibiotic resistance in wastewater treatment plants. In Antimicrobial Resistance; Kumar, J., Ed.; IntechOpen: Rijeka, Croatia, 2019; pp. 75–92. [Google Scholar] [CrossRef]
- Koivunen, J.; Siitonen, A.; Heinonen-Tanski, H. Elimination of enteric bacteria in biological-chemical wastewater treatment and tertiary filtration units. Water Res. 2003, 37, 690–698. [Google Scholar] [CrossRef]
- Birošová, L.; Mackuľak, T.; Bodík, I.; Ryba, J.; Škubák, J.; Grabic, R. Pilot study of seasonal occurrence and distribution of antibiotics and drug resistant bacteria in wastewater treatment plants in Slovakia. Sci. Total Environ. 2014, 490, 440–444. [Google Scholar] [CrossRef]
- Manchanda, V.; Sinha, S.; Singh, N. Multidrug resistant Acinetobacter. J. Glob. Infect. Dis. 2010, 2, 291–304. [Google Scholar] [CrossRef] [PubMed]
- Al-Jassim, N.; Ansari, M.I.; Harb, M.; Hong, P.Y. Removal of bacterial contaminants and antibiotic resistance genes by conventional wastewater treatment processes in Saudi Arabia: Is the treated wastewater safe to reuse for agricultural irrigation? Water Res. 2015, 73, 277–290. [Google Scholar] [CrossRef] [PubMed]
- Hubeny, J.; Korzeniewska, E.; Buta-Hubeny, M.; Zieliński, W.; Rolbiecki, D.; Harnisz, M. Characterization of carbapenem resistance in environmental samples and Acinetobacter spp. isolates from wastewater and river water in Poland. Sci. Total Environ. 2022, 822, 153437. [Google Scholar] [CrossRef] [PubMed]
- Liu, H.; Lu, Q.; Wang, Q.; Liu, W.; Wei, Q.; Ren, H.; Ming, C.; Min, M.; Chen, P.; Ruan, R. Isolation of a bacterial strain, Acinetobacter sp. from centrate wastewater and study of its cooperation with algae in nutrients removal. Bioresour. Technol. 2017, 235, 59–69. [Google Scholar] [CrossRef] [PubMed]
- Jumat, M.R.; Haroon, M.F.; Al-Jassim, N.; Cheng, H.; Hong, P.-Y. An Increase of abundance and transcriptional activity for Acinetobacter junii post wastewater treatment. Water 2018, 10, 436. [Google Scholar] [CrossRef]
- Zhang, L.; Ma, X.; Luo, L.; Hu, N.; Duan, J.; Tang, Z.; Zhong, R.; Li, Y. The prevalence and characterization of extended-spectrum β-lactamase- and carbapenemase-producing bacteria from hospital sewage, treated effluents and receiving rivers. Int. J. Environ. Res. Public Health 2020, 17, 1183. [Google Scholar] [CrossRef] [PubMed]
- Hrenovic, J.; Goic-Barisic, I.; Kazazic, S.; Kovacic, A.; Ganjto, M.; Tonkic, M. Carbapenem-resistant isolates of Acinetobacter baumannii in a municipal wastewater treatment plant, Croatia, 2014. Euro Surveill. 2016, 21, 30195. [Google Scholar] [CrossRef]
- Higgins, P.G.; Hrenovic, J.; Seifert, H.; Dekic, S. Characterization of Acinetobacter baumannii from water and sludge line of secondary wastewater treatment plant. Water Res. 2018, 140, 261–267. [Google Scholar] [CrossRef]
- Fan, N.; Yang, M.; Jin, R.; Qi, R. Isolation and genomic characterization of an Acinetobacter johnsonii bacteriophage AJO2 from bulking activated sludge. Front. Microbiol. 2019, 10, 266. [Google Scholar] [CrossRef]
- Pulami, D.; Kämpfer, P.; Glaeser, S.P. High diversity of the emerging pathogen Acinetobacter baumannii and other Acinetobacter spp. in raw manure, biogas plants digestates, and rural and urban wastewater treatment plants with system specific antimicrobial resistance profiles. Sci. Total Environ. 2023, 859 Pt 1, 160182. [Google Scholar] [CrossRef]
- Li, X.; Tang, Y.; Lu, X. Insight into identification of Acinetobacter species by matrix-assisted laser desorption/ionization time of flight mass spectrometry (MALDI-TOF MS) in the clinical laboratory. J. Am. Soc. Mass Spectrom. 2018, 29, 1546–1553. [Google Scholar] [CrossRef] [PubMed]
- Qin, J.; Feng, Y.; Lü, X.; Zong, Z. Precise species identification for Acinetobacter: A genome-based study with description of two novel Acinetobacter species. mSystems 2021, 6, e0023721. [Google Scholar] [CrossRef] [PubMed]
- Zhang, Y.; Marrs, C.F.; Simon, C.; Xi, C. Wastewater treatment contributes to selective increase of antibiotic resistance among Acinetobacter spp. Sci. Total Environ. 2009, 407, 3702–3706. [Google Scholar] [CrossRef] [PubMed]




| Sampling Site | Title CFU a Per mL Wastewater | Simpson’s Index | Shannon’s Index |
|---|---|---|---|
| 1. inflow | 353 × 103 | 0.5418 | 1.278 |
| 2. mechanical treatment | 116 × 104 | 0.4986 | 1.194 |
| 3. biological treatment | 61 × 103 | 0.5716 | 1.226 |
| 4. outflow | 3.6 × 103 * | 0.7372 | 1.800 |
| Number of Antibiotics | Number of Resistant Isolates (%) | |||
|---|---|---|---|---|
| 1. (n a = 18) | 2. (n = 15) | 3. (n = 27) | 4. (n = 35) | |
| 2 | 1 (5.56) | 2 (13.33) | 7 (25.93) | 9 (25.71) |
| 3 | 1 (5.56) | 1 (6.67) | 1 (3.70) | 1 (2.86) |
| 4 | 1 (5.56) | 0 (0) | 1 (3.70) | 0 (0) |
| MALDI Group | Genotype (Representative Strain) | Accession No. (GenBank) | Restriction Enzyme | Number of Isolates in Sampling Site (%) | Best Hit Blastn Against 16S rDNA Sequence Database (Similarity) | |||||
|---|---|---|---|---|---|---|---|---|---|---|
| AluI | MspI | RsaI | 1. a | 2. | 3. | 4. | ||||
| I | G1 (4-66) b | OK235617 | 3 c | 3 | 4 | 0 | 0 | 0 | 1 (2.86) | A. lwoffii JCM 6840 (100%) |
| II | G2 (2-14) | OK235610 | 4 | 2 | 4 | 0 | 1 (6.67) | 0 | 0 | A. pitii LMG 1035 (100%) |
| III | G3 (1-55) | OK235608 | 3 | 1 | 2 | 1 (5.56) | 0 | 0 | 1 (2.86) | A. johnsonii ATCC 17909 (99.92%) |
| G4 (1-44) | OK235607 | 3 | 3 | 2 | 2 (11.11) | 0 | 0 | 0 | A. johnsonii ATCC 17909 (99.93%) | |
| IV | G3 (2-97) | OK235612 | 3 | 1 | 2 | 2 (11.11) | 2 (13.33) | 4 (14.81) | 1 (2.86) | A. johnsonii ATCC 17909 (99.85%) |
| G4 (2-01) | OK235609 | 3 | 3 | 2 | 10 (55.56) | 10 (66.67) | 14 (51.85) | 9 (25.71) | A. johnsonii ATCC 17909 (99.92%) | |
| G5 (1-08) | OK235605 | 1 | 1 | 1 | 1 (5.56) | 0 | 1 (3.70) | 0 | A. johnsonii ATCC 17909 (99.92%) | |
| V | G6 (1-24) | OK235606 | 2 | 2 | 2 | 1 (5.56) | 0 | 0 | 0 | A. junii ATCC 17908 (99.93%) |
| G7 (3-97) | OK235615 | 8 | 2 | 2 | 0 | 0 | 2 (7.41) | 0 | A. junii ATCC 17908 (100%) | |
| VI | G8 (4-67) | OK235618 | 5 | 3 | 5 | 0 | 0 | 0 | 1 (2.86) | A. bouvetii DSM 14964 (99.12%) |
| VII | G9 (2-16) | OK235611 | 3 | 3 | 4 | 0 | 1 (6.67) | 0 | 0 | A. pragensis ANC 4149 (99.71%) |
| VIII | G10 (4-78) | OK235619 | 3 | 2 | 5 | 0 | 0 | 0 | 1 (2.86) | A. chinensis WCHAc010005 (99.04%) |
| IX | G11 (4-91) | OK235620 | 5 | 3 | 4 | 1 (5.56) | 0 | 0 | 4 (11.43) | A. johnsonii ATCC1 7909 (98.23%) |
| X | G12 (3-93) | OK235614 | 7 | 3 | 5 | 0 | 0 | 1 (3.7) | 0 | A. kyonggiensis KSL5401-037 (98.05%) |
| XI | G13 (4-06) | OK235616 | 3 | 2 | 4 | 0 | 0 | 0 | 1 (2.86) | A. seohaensis SW-100 (98.82%) |
| XII | G14 (3-75) | OK235613 | 6 | 3 | 2 | 0 | 1 (6.67) | 5 (18.52) | 16 (45.71) | A. movanagherensis Movanagher 4 (99.41%) |
| Total number of isolates | 18 | 15 | 27 | 35 | ||||||
| Chi-square test | p < 0.05 d | |||||||||
| Diversity Index | Analysis | Sampling Site | |||
|---|---|---|---|---|---|
| 1. | 2. | 3. | 4. | ||
| Simpson’s | MALDI-TOF MS | 0.5185 | 0.5333 | 0.7462 | 0.7069 |
| ARDRA | 0.5185 | 0.5244 | 0.6667 | 0.7053 | |
| 16S rRNA gene | 0.2037 | 0.3467 | 0.4636 | 0.6759 | |
| Shannon’s | MALDI-TOF MS | 1.051 | 1.173 | 1.739 | 1.564 |
| ARDRA | 1.051 | 1.081 | 1.373 | 1.525 | |
| 16S rRNA gene | 0.426 | 0.720 | 0.874 | 1.376 | |
Disclaimer/Publisher’s Note: The statements, opinions and data contained in all publications are solely those of the individual author(s) and contributor(s) and not of MDPI and/or the editor(s). MDPI and/or the editor(s) disclaim responsibility for any injury to people or property resulting from any ideas, methods, instructions or products referred to in the content. |
© 2023 by the authors. Licensee MDPI, Basel, Switzerland. This article is an open access article distributed under the terms and conditions of the Creative Commons Attribution (CC BY) license (https://creativecommons.org/licenses/by/4.0/).
Share and Cite
Kisková, J.; Juhás, A.; Galušková, S.; Maliničová, L.; Kolesárová, M.; Piknová, M.; Pristaš, P. Antibiotic Resistance and Genetic Variability of Acinetobacter spp. from Wastewater Treatment Plant in Kokšov-Bakša (Košice, Slovakia). Microorganisms 2023, 11, 840. https://doi.org/10.3390/microorganisms11040840
Kisková J, Juhás A, Galušková S, Maliničová L, Kolesárová M, Piknová M, Pristaš P. Antibiotic Resistance and Genetic Variability of Acinetobacter spp. from Wastewater Treatment Plant in Kokšov-Bakša (Košice, Slovakia). Microorganisms. 2023; 11(4):840. https://doi.org/10.3390/microorganisms11040840
Chicago/Turabian StyleKisková, Jana, Adam Juhás, Soňa Galušková, Lenka Maliničová, Mariana Kolesárová, Mária Piknová, and Peter Pristaš. 2023. "Antibiotic Resistance and Genetic Variability of Acinetobacter spp. from Wastewater Treatment Plant in Kokšov-Bakša (Košice, Slovakia)" Microorganisms 11, no. 4: 840. https://doi.org/10.3390/microorganisms11040840
APA StyleKisková, J., Juhás, A., Galušková, S., Maliničová, L., Kolesárová, M., Piknová, M., & Pristaš, P. (2023). Antibiotic Resistance and Genetic Variability of Acinetobacter spp. from Wastewater Treatment Plant in Kokšov-Bakša (Košice, Slovakia). Microorganisms, 11(4), 840. https://doi.org/10.3390/microorganisms11040840

